Next Article in Journal
Information Bottleneck Driven Deep Video Compression—IBOpenDVCW
Next Article in Special Issue
Quantum Control Design by Lyapunov Trajectory Tracking and Optimal Control
Previous Article in Journal
Information FOMO: The Unhealthy Fear of Missing Out on Information—A Method for Removing Misleading Data for Healthier Models
Previous Article in Special Issue
Optimal Estimation of a Signal Generated Using a Dynamical System Modeled with McKean–Vlasov Stochastic Differential Equations
 
 
Font Type:
Arial Georgia Verdana
Font Size:
Aa Aa Aa
Line Spacing:
Column Width:
Background:
Article

Distributed Adaptive Optimization Algorithm for High-Order Nonlinear Multi-Agent Stochastic Systems with Lévy Noise

College of Air Transportation, Shanghai University of Engineering Science, Shanghai 201620, China
*
Author to whom correspondence should be addressed.
Entropy 2024, 26(10), 834; https://doi.org/10.3390/e26100834
Submission received: 31 July 2024 / Revised: 26 September 2024 / Accepted: 29 September 2024 / Published: 30 September 2024
(This article belongs to the Special Issue Information Theory in Control Systems, 2nd Edition)

Abstract

An adaptive neural network output-feedback control strategy is proposed in this paper for the distributed optimization problem (DOP) of high-order nonlinear stochastic multi-agent systems (MASs) driven by Lévy noise. On the basis of the penalty-function method, the consensus constraint is removed and the global objective function (GOF) is reconstructed. The stability of the system is analyzed by combining the generalized Itô’s formula with the Lyapunov function method. Moreover, the command filtering mechanism is introduced to solve the “complexity explosion” problem in the process of designing virtual controller, and the filter errors are compensated by introducing compensating signals. The proposed algorithm has been proved that the outputs of all agents converge to the optimal solution of the DOP with bounded errors. The simulation results demonstrate the effectiveness of the proposed approach.

1. Introduction

Research of stochastic systems has gained considerable attention in recent years. For example, Liang [1] constructed a common output feedback controller, independent of the switching signal, using the backstepping method to solve the global output feedback probability stability problem for a class of switching random nonlinear systems under arbitrary switching. Fang [2] explored a novel adaptive optimal control strategy for a class of sophisticated discrete-time nonlinear Markov jump systems via Takagi–Sugeno fuzzy models and reinforcement learning techniques. Furthermore, the usual sense stochastic noise is just driven by continuous Brownian motion [3,4], which may be a description of continuous stochastic volatility.
However, numerous types of discontinuous noise exist in many physical systems, for instance, random faults, abrupt changes, and sudden disruptions [5]. Furthermore, yet, there is a distinct type of noise, namely “Lévy noise”, which can characterize both Brownian motion and Poisson jump processes [6]. To date, there have been advancements in filed of control the stochastic systems with Lévy noise [7,8,9,10], but there has been no research of the consensus problem for MASs with Lévy noise. Furthermore, consensus control algorithms for MASs with stochastic noise which is not Lévy noise have developed rapidly and a substantial body of literature has been produced. For example, Refs. [11,12,13] discussed the stochastic linear MASs. Ref. [11] developed a two-step algorithm for each agent in order to dynamically estimate the states of its neighbors. Controllers based on the error between the estimated states of the neighbors and the complete state of the agent were designed by [12], aimed at resolving the limited consensus problem in continuous-time linear MASs with additive systems and communication noise. Ref. [13] introduced the innovative notion of the sub-accessibility of the sliding motion approaching a particular sliding surface for generic MASs which are driven by Brownian motion. References [14,15,16,17] discussed the stochastic nonlinear MASs. In detail, Ref. [14] investigated the consensus tracking problem for the MASs which have outputs, partial state constraints, and saturated inputs, where the unmodeled dynamics are evaluated by the use of RBFNN. In [15], the authors explored a class of fuzzy adaptive leader–follower tracking control problems for MASs with stochastic noise which have unknown dead-zone inputs, where the stochastic disturbances and uncertain functions of the MAS are approximated by introducing a fuzzy logic system. Furthermore, to ensure that all agents reach a consensus within a limited time frame, Ref. [16] has developed a distributed control algorithm based on stochastic stability theorems in finite-time and has integrated a power integrator technique. To achieve the consensus of stochastic nonlinear MASs under directional communication topology, Ref. [17] put forward a distributed adaptive fuzzy control scheme, which employs the integral mean theorem and the approximation properties of fuzzy logic systems.
In the above works, the research of MASs only focus on reaching the basic consensus behavior. However, distributed optimization is commonly preferred for real applications. The DOP is an expansion of the MASs consensus problem and refers to addressing the DOP on the basis of consensus. The main goal of DOP is to achieve the minimization of the GOF, which is the summary of all the local objective functions [18]. The result is that all of the agents are cooperating in trying to achieve the optimal value of the GOF. One of the key goals of DOP for MASs is the design of adequately distributed controllers [19], so that all MASs can converge cooperatively under a certain communication topology, and achieve the optimal solution of distributed optimization after convergence.
There have been several work applications to the study of designing distributed optimization algorithms based on first-order MASs and second-order MASs for solving the DOP [20,21,22,23,24]. Based on event-triggered strategies, Ref. [20] designed a distributed optimization algorithm to solve the DOP of continuous-time first-order MASs with external disturbances and discrete communication. Ref. [23] proposed an improved distributed continuous-time algorithm to design an event-triggered algorithm for the solution of a generalized DOP. However, numerous realistic systems, like manipulators and helicopters, cannot be represented by these low-order dynamics. Therefore, the DOP of high-order nonlinear MASs has attracted the attention of some scholars. For example, Ref. [25] constructed a bounded local control law for achieving global optimal consensus in MASs under the assumption that all agents reach an agreement on the condition of minimizing the summary of all agents’ objective function. An adaptive Lyapunov-based backstepping method was proposed by [26] to decompose the DOP of high-order MASs into an optimization or control problem for solving multiple first-order subsystems. Ref. [27] looked into the subject of the optimal output consensus and proposed an embedded control system which using an optimal signal generation technique. Ref. [28] investigated a distributed optimization algorithm of bipartite containment control for high-order MASs with state constraints. However, DOP research for high-order nonlinear stochastic systems has not yet been conducted.
Motivated by the above analysis, an adaptive NNs backstepping controller which is based on the command filter is developed in this article to solve the DOP of high-order nonlinear MASs which contain the Lévy stochastic noise. The significant contributions of this work in comparison to previous research are listed below.
(1)
In contrast to [29,30,31], which only applied the adaptive control method based on observer to address the consensus problem, we focus on resolving the DOP for MASs with unmeasurable states. A distributed optimal adaptive controller is introduced to solve this problem, which utilizes the penalty function and the negative gradient. The objective of this controller is to ensure that the outputs of all the agents will progressively arrive at the optimal value of the GOF.
(2)
All of Refs. [32,33,34] only solved the low-order MASs consensus problem with stochastic noise; in this article, a distributed optimal backstepping controller is proposed to solve the DOP for high-order MASs with unmeasurable states and Lévy noise.
(3)
Different from our study, Refs. [25,27,35,36,37] did not combine neural networks (NNs), observers, and command filtering to solve the DOP for MASs with Lévy noise. NNs are used for approximation of unknown nonlinear functions and stochastic noise, and observers are used to obtain unmeasured states. We combine the command-filtered control technology with the error compensation technology to solve the problem of “explosion of complexity” and eliminate the effect of filtering errors.

2. Preliminaries

2.1. Graph Theory

Consider the MASs involving n agents, we take an undirected graph Q = M , Z , A ¯ to represent the relationship between agents, where M = m 1 , , m N is a node set, Z = m i , m j M × M stands for the edge set and A ¯ = a i j R N × N is the adjacency matrix. An edge m i , m j Z , if and only if a i j = 0 . Denote N i = j m i , m j Z as the neighbor set of node ß and the matrix D = d i a g d 1 , , d N , d i = j n = N i a i j as the degree matrix. The Laplacian matrix L = D A ¯ .

2.2. Multi-Agent System

Take the MASs involving n agents and the dynamic for agent i with Lévy noise is:
d x i , m ( t ) = [ x i , m + 1 + h i , m ( X i , m ) ] d t + F i , n ( X i , n ( t ) , t ) d w ( t ) + R G i , m ( X i , n ( t ) , t , ζ ) N ( d t , d ζ ) d x i , n ( t ) = [ u i ( t ) + h i , n ( X i , n ) ] d t + F i , n ( X i , n ( t ) , t ) d w ( t ) + R G i , n ( X i , n ( t ) , t , ζ ) N ( d t , d ζ ) y i ( t ) = x i , 1 ( t )
where m = 1 , , n , X i , m = ( x i , 1 , x i , 2 , , x i , m ) T R m are the system states vectors, u i is the control input of the system, y i represent system outputs, and h i , m ( X i , m ) are unknown nonlinear functions.
Assume that Ω , F t , F t 0 , P is a complete probability space. Furthermore, w t be a one-dimensional F t -adapted Brownian motion. N t , ζ is a F t -adapted Poisson random measure defined on with intensity measure π and a compensator N ˜ . We decide that N is not related to B and ϑ is a Lévy measure with N ˜ d t , d ζ : = N d t , d ζ ϑ d ζ d t , where the pair B , N is called a Lévy noise.

2.3. Problem Formulation

Communication topology for undirected connected, DOP is portrayed as:
min x R N £ i ( x i ) , s . t . L x = 0 N
where x = x 1 , , x N T . The approximate optimization problem is formulated using the principles of penalty function theory, which is described below:
min x R N i = 1 N £ i ( x i ) + 1 2 η x T L x
where η > 0 is a constant penalty parameter and 1 2 η x T L x is the penalty term for a violation of the consensus constraint L x = 0 N .
This article deals with DOP, the GOF £ : R N R is defined as the sum of the strictly convex objective function £ i :
£ x 1 = i = 1 N £ i ( x i , 1 ) .
where x 1 = x 1 , 1 x 2 , 1 x N , 1 T . According to [38], 1 N is the eigenvector of the Laplacian matrix for the eigenvalue 0; when α R , if x 1 = α · 1 N , we can get:
L x 1 = 0 .
x 1 T L x 1 = 0 .
Then, based on (4) and (6), we can define the penalty function as:
P ( x 1 ) = i = 1 N £ i ( x i , 1 ) + x 1 T L x 1 .
This paper intends to develop a control input u i in order that each agent lim t x i , 1 t x i , 1 * . Let the optimal solution x 1 * = x 1 , 1 * , , x N , 1 * . Define the optimal solution x i , 1 * for agent i as:
x 1 , 1 * , , x N , 1 * = arg min x 1 , 1 , , x N , 1 P ( x 1 ) .
According (7) and (8), when the MASs receive the optimal solution x 1 * we will get that all agents will achieve consensus and synchronously arrive at the optimal solution.
Then, we can develop the local objective function for agent i as:
£ i ( x i , 1 ) = m i x i , 1 2 + τ i x i , 1 + n i
where m i > 0 and n i and τ i are constants, with 1 i N .
Remark 1.
From (7), we can see the penalty function consists of two parts. Where i = 1 N £ i ( x i , 1 ) is the GOF and x 1 T L x 1 is the penalty term which can make all agents to the consensus. The purpose of this article is to construct a controller that can be satisfied to minimize the penalty function while minimizing the GOF and ensure the agents achieve consensus.
The following lemmas are used to facilitate the calculation.
Lemma 1
([10]). Let V x , t C 2 , 1 R n × R + ; R , that can be continuously differentiated twice in x and once in t, and then we can design the operator L V as follows:
L V x , t = V t x , t + V x x , t τ x , t + 1 2 t r σ T x , t V x x x , t σ x , t + R V x + κ x , t , ζ V x , t ϑ d ζ
where
V x x , t = V x , t x 1 , , V x , t x n V x x x , t = 2 V x , t x k x l n × n V t x , t = V x , t t
and τ x , t represent the parameters of drift term, σ x , t represent the Brownian motion term, and κ x , t , ζ for the Poisson jump term.
Lemma 2
([39]). The command filter is defined as:
a ¯ ˙ i , 1 = κ n a ¯ i , 2 a ¯ ˙ i , 2 = 2 ς κ n a ¯ i , 2 κ n a ¯ i , 1 α i
where ς 0 , 1 and κ n > 0 are the positive parameters to be designed and a ¯ i , 1 and α i express the command filter output signal and input signal.
a ¯ i , 1 0 = α i 0 ,   a ¯ i , 2 0 = 0 .
Lemma 3
([40]). Any H 1 , H 2 R n , satisfied that:
H 1 T H 2 λ ϖ ϖ H 1 ϖ + 1 ψ λ ψ H 2 ψ
where ϖ > 1 , λ > 0 , ψ > 1 , and ϖ 1 ψ 1 = 1 .
Lemma 4
([41]). A function V x , t C 2 , two functions Υ 1 and Υ 2 K , two positive constant ℑ and I , t > t 0 , we can get that:
Υ 1 x V x Υ 2 x L V x , t V x , t + I
for x R n . Thereafter, the system exists as a distinct solution and is E V t V 0 e A t + B / A compliant. Then, all signals have probability bounds.
Lemma 5.
Under [7], the experimental solution of the (1) is said to be:
1. 
At the origin it is almost certainly globally stable when 0 , 1 , a class K -function κ exists let P X i , l t < κ X i , l t 0 + 0 > 1 , for all t [ t 0 , ) and X i , l t 0 R n , 0 is a nonnegative constant.
2. 
At the origin, it is almost certainly the global real K -index that is stable and X i , l t κ X i , l t 0 e t t 0 + 0 , for all X i , l t 0 R n , κ is a category K -function, ℘ is a positive constant, and 0 is a nonnegative constant.

3. Main Results

3.1. Observer Design

Since only y i is measurable in the system, we need a state observer to estimate the unmeasurable state. Before designing the observer, the system is rewritten for agent i as:
d X i , n = [ A i X i , n + K i y i + l = 1 n B i , l h i , l ( X i , l ) + B i u i ( t ) y i ] d t + B i , l { F i ( X i , l ( t ) , t ) d w ( t ) + R G i ( X i , l ( t ) , t , ζ ) N ( d t , d ζ ) } y i ( t ) = C i X i , n
where A i = ι i , l I n 1 ι i , n 0 0 , K i = ι i , 1 ι i , n , B i = 0 1 , B i , l = 0 1 0 T , C i = 1 0 0 .
There subsists a positive matrix P i T = P i which satisfies A i T P i + P i A i = 2 Q i with respect to the given positive matrix Q i T = Q i .
Since the nonlinear functions h i , l X i , l are unknown, we can take a lemma as follows.
Lemma 6
([42]). Being an excellent means of approximating continuous functions, the paper makes use of RBFNN to compensate for the nonlinear functions h i , l , i = 1 , , n . The unknown function may be displayed as follows:
h i , l X i , l | ψ i , l = ψ i , l T φ i , l X i , l
where X i , l is the input vector, 1 i n , φ i , l X i , l is the Gaussian basis function vector, and ψ i , l is the ideal constant vector.
The state of the MASs (1) are assumed not to be provided in this article. Therefore, agent i’s states must be estimated by an observer. Under these condition, we can define the observer:
X ^ ˙ i , n = A i X ^ i , n + K i y i + l = 1 n B i , l h ^ i , l X ^ i , l | ψ i , l + B i u i ( t ) y i ^ = C i X ^ i , n
where X ^ i , l represents the estimated values of X i , l .
According to (14) and (16), we will get:
d e i ( t ) = [ A i e i + l = 1 n B i , l [ h i , l ( X ^ i , l ) h ^ i , l ( X ^ i , l ψ i , l ) + Δ h i , l ] ] d t + B i , l ( F i ( X i , l ( t ) , t ) d w ( t ) + R G i ( X i , l ( t ) , t , ζ ) N ( d t , d ζ ) )
where Δ h i , l = h i , l X i , l h i , l X ^ i , l and e i = X i , n X ^ i , n is the error in observing the state of the system (1).
According to lemma 6, we can get that:
h ^ i , l X ^ i , l ψ i , l = ψ i , l T φ i , l ( X ^ i , l ) .
The optimal parameter vectors are defined as:
ψ i , l * = arg min θ i , l Ω i , l sup X ^ i , l U i , l h ^ i , l X ^ i , l ψ i , l h i , l X ^ i , l
Define the parameter estimation error ψ ˜ i , l and parameter estimation ε i , l as:
ψ ˜ i , l = ψ i , l * ψ i , l , l = 1 , 2 , , n . ε i , l = h i , l X ^ i , l h ^ i , l X ^ i , l θ i , l *
Assumption 1
([43,44]). The errors of the optimal approximation remain bounded and there are positive constants ε i 0 satisfying ε i , l ε i 0 .
Assumption 2.
There exist some known constants γ i which are related as follows:
h i , l X i , l h i , l X ^ i , l γ i , l X i , l X ^ i , l .
By Equations (16) and (17), we have:
d e i ( t ) = [ A i e i + Δ h i + ε i + l = 1 n B i , l [ ψ ˜ i , l T φ i , l ( X ^ i , l ) ] ] d t + B i , l ( F i ( X i , l ( t ) , t ) d w ( t ) + R G i ( X i , l ( t ) , t , ζ ) N ( d t , d ζ ) )
where ε i = ε i , 1 , , ε i , n T , Δ h i = Δ h 1 , , Δ h n T .
The first Lyapunov function be constructed:
V 0 = i = 1 N V i , 0 = i = 1 N 1 2 e i T P i e i .
By Lemma 1, we obtain:
L V 0 i = 1 N { 1 2 e i T ( P i A i T + A i P i ) e i + e i T P i ( ε i + Δ h i ) + l = 1 n e i T P i B i , l [ ψ ˜ i , l T φ i , l ] + B i , l ( 1 2 t r ( F i T P i F i ) + 1 2 R ( G i T P i G i + 2 e i T P i G i ) ϑ ( d ζ ) ) } i = 1 N { e i T Q i e i + e i T P i ( ε i + Δ h i ) + e i T P i l = 1 n B i , l ψ ˜ i , l T φ i , l + B i , l ( 1 2 t r ( F i T P i F i ) + 1 2 R ( G i T P i G i + 2 e i T P i G i ) ϑ ( d ζ ) ) }
Through Lemma 3 and Assumption 2, we obtain:
e i T P i ( ε i + Δ h i ) e i T P i ε i + e i T P i Δ g i e i 2 + 1 2 P i ε i 2 + 1 2 P i 2 l = 1 n Δ h i , l 2 e i 2 + 1 2 e i 2 P i 2 l = 1 n γ i , l 2 + 1 2 P i ε i 2 e i 2 ( 1 + 1 2 P i 2 l = 1 n γ i , l 2 ) + 1 2 P i ε i 2
and
e i T P i l = 1 n B i , l ψ ˜ i , l T φ i , l ( X ^ i , l ) 1 2 e i T P i T P i e i + 1 2 l = 1 n ψ ˜ i , l T φ i , l ( X ^ i , l ) φ i , l T ( X ^ i , l ) ψ ˜ i , l 1 2 λ i , max 2 ( P i ) e i 2 + 1 2 l = 1 n ψ ˜ i , l T ψ ˜ i , l
where λ i , m a x ( P i ) is the maximum eigenvalue of the positive matrix P i . According to (24)–(26), we can obtain that:
L V 0 i = 1 N { q i , 0 e i 2 + 1 2 P i ε i q 2 + 1 2 l = 1 n ψ ˜ i , l T ψ ˜ i , l + 1 2 ( t r ( F i T P i F i ) + R ( G i T P i G i + 2 e i T P i G i ) ϑ ( d ζ ) ) }
Assumption 3
([6,9]). There are two known constants μ 1 , μ 2 , such that the stochastic noise parameters F i , G i satisfy:
t r ( F i T ( X i , l , t ) F i ( X i , l , t ) ) μ 1 X i , l 2 R G i T X i , l , t , ζ G i X i , l , t , ζ ϑ d ζ μ 2 X i , l 2
According to Lemma 3 and Assumption 3, we can get that:
1 2 t r ( F i T P i F i ) + 1 2 R ( G i T P i G i + 2 e i T P i G i ) ϑ ( d ζ ) μ 1 λ i , max 2 ( P i ) 2 X i , l 2 + μ 2 λ i , max 2 ( P i ) X i , l 2 + 1 2 λ i , max 2 ( P i ) e i 2
so we have:
L V 0 i = 1 N { q i , 0 e i 2 + 1 2 P i ε i 2 + 1 2 l = 1 n ψ ˜ i , l T ψ ˜ i , l + μ λ i , max P i X i , l 2 }
where q i , 0 = λ i , min ( P i ) ( 1 + 1 2 P i 2 l = 1 n γ i , l 2 ) and μ = μ 1 2 + μ 2 .
Under Lemma 5, we can get that:
X i , l κ X i , l t 0 e t t 0 + 0

3.2. Controller Design

Theorem 1.
With Assumptions 1–3, the system (1), and the development of state observer (16), virtual control laws (37)–(39), together with adaptive laws (41)–(43), compensation items (33)–(36) and an adaptive neural network controller through command-filtered method (40), all signals x i , 1 in the MASs remain semi-global uniformly ultimately bounded (SGUUB) and the errors between outputs and the optimal solution are adequately small.
Proof. 
Define the error variables:
s i , 1 = 2 m i ( x i , 1 b i ) + j N i a i j ( x i , 1 x j , 1 ) s i , l = x ^ i , l a ¯ i , l z i , l = s i , l ξ i , l
where b i = 1 / 2 m i τ i , s i , l represents the tracking error, a ¯ i , l is the command filter output which is relative to the virtual controller a i , l , and ξ i , l is the error compensation signal, designed as:
ξ ˙ i , 1 = d i ( ξ i , 2 + a ¯ i , 2 a i , 1 ) c i , 1 ξ i , 1 ξ i , 1
ξ ˙ i , 2 = a ¯ i , 3 a i , 2 d i ξ i , 1 + ξ i , 3 c i , 2 ξ i , 2 3 2 ξ i , 2 .
ξ ˙ i , m = a ¯ i , m a i , m ξ i , m 1 + ξ i , m + 1 c i , m ξ i , m 3 2 ξ i , m
ξ ˙ i , n = ξ i , n 1 c i , n ξ i , n 3 2 ξ i , n
The structure of the virtual controllers and the control input are as follows:
a i , 1 = 1 d i ( 2 m i b ˙ i c i , 1 s i , 1 s i , 1 + j N i a i j ( x ^ j , 2 + θ j , 1 T φ j , 1 ) ) θ i , 1 T φ i , 1
a i , 2 = a ¯ ˙ i , 2 d i s i , 1 c i , 2 s i , 2 3 2 s i , 2 ψ i , 2 T φ i , 2 ( X ^ i , 2 )
a i , m = a ¯ ˙ i , m s i , m 1 c i , m s i , m 3 2 s i , m ψ i , m T φ i , m ( X ^ i , m )
u i = a ¯ ˙ i , n s i , n 1 c i , n s i , n 3 2 s i , n ψ i , n T φ i , n ( X ^ i , n )
where d i = 2 m i + j N i a i j , and c i , l , 1 l n are the parameters that need to be designed.
Design the adaptive laws as:
ψ ˙ i , 1 = r i , 1 d i φ i , 1 z i , 1 r ¯ i , 1 ψ i , 1
ψ ˙ j , 1 = r j , 1 φ j , 1 z j , 1 r ¯ j , 1 ψ j , 1
ψ ˙ i , l = r i , l φ i , l z i , l r ¯ i , l ψ i , l .
where 2 l n , r i , 1 , r ¯ i , 1 , r j , 1 , r ¯ j , 1 , r i , l and r ¯ i , l are positive design constants.

3.2.1. Step 1

Firstly, according to (7), the gradient of the penalty function can be calculated:
P ( x 1 ) x 1 = v e c £ i x i , 1 ( t ) x i , 1 + L x 1
where v e c £ i x i , 1 ( t ) x i , 1 is a column vector. The optimal solution x 1 * satisfies:
P ( x 1 * ) x 1 * = 0 .
So, for agent i:
£ i ( x i , 1 * ( t ) ) x i , 1 * + j N i a i j ( x i , 1 * x j , 1 * ) = 0 .
Under (9) and (45),we will obtain that:
2 m i ( x i , 1 * b i ) + j N i a i j ( x i , 1 * x j , 1 * ) = 0 .
Then, combine the (32) with (46), we can get:
P ( x 1 ) x i , 1 = £ i x i , 1 ( t ) x i , 1 + j N i a i j ( x i , 1 x j , 1 ) = 2 m i ( x i , 1 b i ) + j N i a i j ( x i , 1 x j , 1 ) = s i , 1
The Lyapunov function be constructed as:
V 1 = V 0 + i = 1 N 1 2 z i , 1 2 + 1 2 r i , 1 ψ ˜ i , 1 T ψ ˜ i , 1 + 1 2 j N i a i j 1 r j , 1 ψ ˜ j , 1 T ψ ˜ j , 1
where z 1 = [ z 1 , 1 z N , 1 ] T , r i , 1 and r j , 1 are designed parameters. According to (1), (16) and (32), we have:
d s i , 1 = ( ( 2 m i + j N i a i j ) d x i , 1 j N i a i j ( x j , 2 + h j , 1 ( x j , 1 ) ) ) d t + ( 2 m i + j N i a i j ) ( F i , 1 d w ( t ) + R G i , 1 N ( d t , d ζ ) ) j N i a i j ( F j , 1 d w ( t ) + R G j , 1 N ( d t , d ζ ) ) 2 m i b i d t = ( d i ( z i , 2 + ξ i , 2 + e i , 2 + a ¯ i , 2 ) 2 m i b i d t + d i h i , 1 ( x i , 1 ) j N i a i j x ^ j , 2 + e j , 2 j N i a i j h j , 1 ( x j , 1 ) ) d t + d i ( F i , 1 d w ( t ) + R G i , 1 N ( d t , d ζ ) ) j N i a i j ( F j , 1 d w ( t ) + R G j , 1 N ( d t , d ζ ) )
where d i = 2 m i + j N i a i j . By (48), we can get z ˙ i , 1 = s ˙ i , 1 ξ ˙ i , 1 . Then, according to (48), (49) and Lemma 1, we can obtain:
L V 1 = L V 0 + i = 1 N { z i , 1 ( d i ( z i , 2 + ξ i , 2 + e i , 2 + a ¯ i , 2 ) 2 m i b i d t ξ ˙ i , 1 + d i h i , 1 ( x i , 1 ) j N i a i j ( x ^ j , 2 + e j , 2 + h j , 1 ( x j , 1 ) ) ) 1 r i , 1 ψ ˜ i , 1 T ψ ˙ i , 1 j N i a i j 1 r j , 1 ψ ˜ j , 1 T ψ ˙ j , 1 + d i 2 ( t r ( F i , 1 T F i , 1 ) + R G i , 1 T G i , 1 ϑ ( d ζ ) ) j N i a i j 2 ( t r ( F j , 1 T F j , 1 ) + R G j , 1 T G j , 1 ϑ ( d ζ ) ) }
Applying Lemma 3, the following inequality holds:
z i , 1 d i e i , 2 + z i , 1 j N i ( a i j e j , 2 ) z i , 1 2 + d i 2 2 e i , 2 2 + ( j N i a i j ) 2 2 e j , 2 2
From Assumption 3, there are four of known constants η 1 , η 2 , η 3 , η 4 such that the parameters of stochastic noises F i , 1 , G i , 1 , F j , 1 , G j , 1 satisfy:
t r F i , 1 T X i , l , t F i , 1 X i , l , t η 1 X i , l 2 R G i , 1 T X i , l , t , ζ G i , 1 X i , l , t , ζ ϑ d ζ η 2 X i , l 2 t r F j , 1 T X j , l , t F j , 1 X j , l , t η 3 X j , l 2 R G j , 1 T X j , l , t , ζ G j , 1 X j , l , t , ζ ϑ d ζ η 4 X j , l 2
Based on the first virtual controller a i , 1 (37), the error compensation signal ξ i , 1 (33) and update law ψ i , 1 (41), ψ j , 1 (42), we will get that:
L V 1 q 1 | | e | | 2 + i = 1 N { 1 2 | | P i ε i | | 2 + 1 2 l = 1 n ψ ˜ i , l T ψ ˜ i , l + μ λ i , max ( P i ) | | X i , l | | 2 + d i z i , 1 z i , 2 c i , 1 z i , 1 2 + r ¯ i , 1 r i , 1 ψ ˜ i , 1 T ψ i , 1 + j N I a i j r ¯ j , 1 r j , 1 ψ ˜ j , 1 T ψ j , 1 + D i , 1 }
From Young’s inequality, we will get:
ψ ˜ i , 1 T ψ i , 1 1 2 ψ ˜ i , 1 T ψ ˜ i , 1 + 1 2 ψ i , 1 * T ψ i , 1 * ψ ˜ j , 1 T ψ j , 1 1 2 ψ ˜ j , 1 T ψ ˜ j , 1 + 1 2 ψ j , 1 * T ψ j , 1 *
Therefore, rewrite (53) as:
L V 1 q 1 | | e | | 2 + i = 1 N { 1 2 | | P i ε i | | 2 + 1 2 l = 1 n ψ ˜ i , l T ψ ˜ i , l + μ λ i , max ( P i ) | | X i , l | | 2 + d i z i , 1 z i , 2 c i , 1 z i , 1 2 r ¯ i , 1 2 r i , 1 ψ ˜ i , 1 T ψ ˜ i , 1 j N I a i j r ¯ j , 1 2 r j , 1 ψ ˜ j , 1 T ψ ˜ j , 1 + D i , 1 }
where e = e 1 T , , e n T T , q 1 = i = 1 N q i , 0 1 2 d i 2 ( j N i a i j ) 2 2 and D i , 1 = d i 2 η 1 + η 2 X i , l 2 + j N i a i j 2 η 3 + η 4 X j , l 2 + r ¯ i , 1 2 r i , 1 ψ i , 1 * T ψ i , 1 * + j N I a i j r ¯ j , 1 2 r j , 1 ψ j , 1 * T ψ j , 1 * .

3.2.2. Step 2

In accordance with (32), we take z i , 2 = s i , 2 ξ i , 2 . After (16) and (18), we have:
z ˙ i , 2 = s ˙ i , 2 ξ ˙ i , 2 = z i , 3 + ξ i , 3 + a ¯ i , 3 a ¯ ˙ i , 2 ξ ˙ i , 2 + ι i , 2 e i , 1 + ψ i , 2 T φ i , 2 + ψ ˜ i , 2 T φ i , 2 + ε i , 2 + Δ h i , 2
Construct the Lyapunov function:
V 2 = V 1 + i = 1 N 1 2 z i , 2 2 + 1 2 r i , 2 ψ ˜ i , 2 T ψ ˜ i , 2
Then, we have:
L V 2 = L V 1 + i = 1 N z i , 2 z ˙ i , 2 + 1 r i , 2 ψ ˜ i , 2 T ψ ˜ ˙ i , 2
where r i , 2 is a positive designed parameter. Based (56) and (58), we can obtain that:
L V 2 = L V 1 + i = 1 N { z i , 2 z ˙ i , 2 + 1 r i , 2 ψ ˜ i , 2 T ψ ˜ ˙ i , 2 } = L V 1 + i = 1 N { z i , 2 ( z i , 3 + ξ i , 3 + a ¯ i , 3 a ¯ ˙ i . 2 ξ ˙ i , 2 + ι i , 2 e i , 1 + ψ i , 2 T φ i , 2 + ψ ˜ i , 2 T φ i , 2 + ε i , 2 + Δ h i , 2 ) 1 r i , 2 ψ ˜ i , 2 T ψ ˙ i , 2 }
According to Lemma 3, we obtain:
ι i , 2 z i , 2 e i , 1 1 2 z i , 2 2 + 1 2 ι i , 2 2 e i , 1 2
z i , 2 ( ε i , 2 + Δ h i , 2 ) z i , 2 2 + 1 2 ε i , 2 2 + 1 2 γ i , 2 2 e i , 2 2
Substituting the second virtual controller a i , 2 (38), the error compensation signal ξ i , 2 (34) and update laws ψ i , 2 (43) and the inequalities (60), (61) into (59), we will calculate that:
L V 2 L V 1 + i = 1 N { z i , 2 z i , 3 c i , 2 z i . 2 2 d i z i , 1 z i , 2 + 1 2 ( ι i , 2 2 e i , 1 2 + ε i , 2 2 + γ i , 2 2 e i , 2 2 ) + r ¯ i , 2 r i , 2 ψ ˜ i , 2 T ψ i , 2 } q 2 e 2 + i = 1 N { 1 2 P i ε i 2 + 1 2 l = 1 n ψ ˜ i , l T ψ ˜ i , l + μ λ i , max P i X i , l 2 + z i , 2 z i , 3 l = 1 2 c i , l z i . l 2 + l = 1 2 r ¯ i , l r i , l ψ ˜ i , l T ψ i , l + D i , 2 }
From Young’s inequality, we will get:
ψ ˜ i , l T ψ i , l 1 2 ψ ˜ i , l T ψ ˜ i , l + 1 2 ψ i , l * T ψ i , l *
Therefore, rewrite (62) as:
L V 2 q 2 e 2 + i = 1 N { 1 2 P i ε i 2 + 1 2 l = 1 n ψ ˜ i , l T ψ ˜ i , l + μ λ i , max P i X i , l 2 + z i , 2 z i , 3 l = 1 2 c i , l z i . l 2 l = 1 2 r ¯ i , l 2 r i , l ψ ˜ i , l T ψ ˜ i , l + D i , 2 }
where q 2 = q 1 i = 1 N 1 2 ι i , 2 2 + γ i , 2 2 , D i , 2 = D i , 1 + 1 2 ε i , 2 2 + r ¯ i , 2 2 r i , 2 ψ i , 2 * T ψ i , 2 * .

3.2.3. Step m

According to (32), we can get:
z ˙ i , m = z i , m + 1 + ξ i , m + 1 + a ¯ i , m + 1 a ¯ ˙ i , m ξ ˙ i , m + ι i , m e i , 1 + ψ i , m T φ i , m + ψ ˜ i , m T φ i , m + ε i , m + Δ h i , m
Put forward the Lyapunov function:
V m = V m 1 + i = 1 N 1 2 z i , m 2 + 1 2 r i , m ψ ˜ i , m T ψ ˜ i , m
where r i , m is a positive designed parameter. After derivation:
L V m = L V m 1 + i = 1 N z i , m z ˙ i , m + 1 r i , m ψ ˜ i , m T ψ ˜ ˙ i , m
Substituting (66) into (67), we can get:
L V m = L V m 1 + i = 1 N { z i , m ( z i , m + 1 + ξ i , m + 1 + a ¯ i , m + 1 a ¯ ˙ i , m ξ ˙ i , m + ι i , m e i , 1 + ψ i , m T φ i , m + ψ ˜ i , m T φ i , m + ε i , m + Δ h i , m ) + 1 r i , m ψ ˜ i , m T ψ ˜ ˙ i , m }
According to Lemma 3, we obtain:
ι i , m e i , 1 z i , m 1 2 z i , m 2 + 1 2 ι i , m 2 e i , 1 2
z i , m ( ε i , m + Δ h i , m ) z i , m 2 + 1 2 ε i , m 2 + 1 2 γ i , m 2 e i , m 2
On the basis of the m-th virtual controller a i , m (39), the error compensation signal ξ i , m (35) the update laws ψ i , m (43) the above inequalities, we will obtain that:
L V m q m e 2 + i = 1 N { 1 2 P i ε i 2 + 1 2 l = 1 n ψ ˜ i , l T ψ ˜ i , l + μ λ i , max P i X i , l 2 + z i , m z i , m + 1 l = 1 m c i , l z i , l 2 + l = 1 m r ¯ i , l r i , l ψ ˜ i , l T ψ i , l + D i , m }
From Young’s inequality, we will get:
ψ ˜ i , l T ψ i , l 1 2 ψ ˜ i , l T ψ ˜ i , l + 1 2 ψ i , l * T ψ i , l *
Therefore, rewrite (71) as:
L V m q m e 2 + i = 1 N { 1 2 P i ε i 2 + 1 2 l = 1 n ψ ˜ i , l T ψ ˜ i , l + μ λ i , max P i X i , l 2 + z i , m z i , m + 1 l = 1 m c i , l z i , l 2 l = 1 m r ¯ i , l 2 r i , l ψ ˜ i , l T ψ ˜ i , l + D i , m }
where q m = q m 1 i = 1 N 1 2 ι i , m 2 + γ i , m 2 , D i , m = D i , m 1 + 1 2 ε i , m 2 + r ¯ i , m 2 r i , m ψ i , m * T ψ i , m * .

3.2.4. Step n

According to (32), we can get:
z ˙ i , n = u i + ι i , n e i , 1 + ψ i , n T φ i , n + ψ ˜ i , n T φ i , n + ε i , n + Δ h i , n a ¯ ˙ i . n ξ ˙ i , n
The Lyapunov function can be constructed as:
V n = V n 1 + i = 1 N { 1 2 z i , n 2 + 1 2 r i , n ψ ˜ i , n T ψ ˜ i , n }
where r i , n is a positive designed parameter. Under (74) and (75), we obtain:
L V n = L V n 1 + i = 1 N { z i , n z ˙ i , n + 1 r i , n ψ ˜ i , n T ψ ˜ ˙ i , n } = L V n 1 + i = 1 N { z i , n ( u i + ι i , n e i , 1 + ψ i , n T ψ i , n + ψ ˜ i , n T ψ i , n + ε i , n + Δ h i , n a ¯ ˙ i . n ξ ˙ i , n ) + 1 r i , n ψ ˜ i , n T ψ ˜ ˙ i , n }
Under Lemma 3, we will taken the inequality relation as follows:
ι i , n e i , 1 z i , n 1 2 z i , n 2 + 1 2 ι i , n 2 e i , 1 2
z i , n ( ε i , n + Δ h i , n ) z i , n 2 + 1 2 ε i , n 2 + 1 2 γ i , n 2 e i , n 2
Under (77) and (78), substituting the n-th control controller u i (40), the error compensation signal ξ i , n (36), and the update laws ψ i , n (43) into (76), we will get that:
L V n q n e 2 + i = 1 N { 1 2 P i ε i 2 + 1 2 l = 1 n ψ ˜ i , l T ψ ˜ i , l + μ λ i , max P i X i , l 2 l = 1 n c i , l z i , l 2 + l = 1 n r ¯ i , l r i , l ψ ˜ i , l T ψ i , l + D i , n }
From Young’s inequality, we will get:
ψ ˜ i , l T ψ i , l 1 2 ψ ˜ i , l T ψ ˜ i , l + 1 2 ψ i , l * T ψ i , l *
Therefore, rewrite (77) as:
L V n q n e 2 + i = 1 N { l = 1 n c i , l z i , l 2 + 1 2 l = 1 n ψ ˜ i , l T ψ ˜ i , l l = 1 n r ¯ i , l 2 r i , l ψ ˜ i , l T ψ ˜ i , l + μ λ i , max P i X i , l 2 + 1 2 P i ε i 2 + D i , n }
where q n = q n 1 i = 1 N 1 2 ι i , n 2 + γ i , n 2 , D i , n = D i , n 1 + 1 2 ε i , n 2 + r ¯ i , n 2 r i , n ψ i , n * T ψ i , n * .

3.3. Stability Analysis

From (81), we will note that I = D i , n 1 + 1 2 ε i , n 2 + μ λ i , max P i X i , l 2 + r ¯ i , m 2 r i , m ψ i , m * T ψ i , m * + 1 2 P i ε i 2 , and according to Lemma 5, we will obtain X i , l κ X i , l t 0 e t t 0 + 0 .
Define = min { 2 q n / λ i , max P i , 2 l = 1 n c i , l , l = 1 n ( r ¯ i , l r i , l + 1 2 ) } , Equation (81) then becomes:
L V x , t V x , t + I .
Therefore, we can further write (82) as:
d E V x , t / d t = E L V E V + I
where E is the probability expectation. Let > I / K , E V = K ; later, we will obtain that d E V / d t < 0 . Accordingly, V K which is an invariant set, which means that if E V x ( t 0 ) , t 0 K , later E V x , t K for all time t t 0 , t ρ . Hence, (83) with regards to any V x ( t 0 ) , t 0 < K , and all time t t 0 , t ρ . Moreover, it holds that:
E V x ( t ρ ) , t ρ E V x ( t 0 ) , t 0 + I t ρ t 0 c e t ,
where c = E V x ( t 0 ) , t 0 + I / e t 0 , then, we will get that:
E V x ( t ) , t e t t 0 E V x ( t 0 ) , t 0 + I / I / e t t 0 E V x ( t 0 ) , t 0 + I /
According to Lemma 4, we can rewrite (85) as:
0 E L V x , t e t V x ( t 0 ) , t 0 + I / .
Based on (86), it can be inferred that E V x , t is ultimately bounded by I / , we obtain:
lim t E V x , t I / .
After that, we can get that all the variables, such as x i , n , e, s i , l , z i , l , the virtual control a i , l , and the control inputs u i are bounded in probability on the basis of the Lyapunov function. Likewise, we can sum up that all signals of MASs (1) remain SGUUB in the closed-loop system and the errors between outputs and the optimal value is sufficiently small.
Remark 2.
Compared to [45], in which the DOP is investigated for MASs with the nonlinear function, the high-order MASs in this paper contain stochastic noise, which implies that the control protocol designed will be incorporated into many commercial engineering applications, such as marine surface vehicles, unmanned aerial vehicles, and wheeled multi-mobile robots.

4. Simulation

To illustrate the proposed method, simulations are performed in this section. Figure 1 shows the block diagram of the designed control system.
Through this example, the MAS consisting of five agents is considered, whose topology of the communication graph as shown in Figure 2. The model is as follows:
d x i , 1 = x i , 2 + h i , 1 X i , 1 d t + F i , 1 d w + R G i , 1 N ( d t , d ζ ) d x i , 2 = u i + h i , 2 X i , 2 d t + F i , 2 d w + R G i , 2 N ( d t , d ζ ) y i = x i , 1
where i = 1 , 2 , 3 , 4 , 5 , the Brownian motion term and Poisson jump term are F = π 2 x 1 2 and G = x 2 x 1 ζ , respectively, and the initial states are selected as x 1 ( 0 ) = [ 0.1 , 0.1 ] , x 2 ( 0 ) = [ 0.2 , 0.2 ] , x 3 ( 0 ) = [ 0.3 , 0.3 ] , x 4 ( 0 ) = [ 0.4 , 0.4 ] , and x 5 ( 0 ) = [ 0.5 , 0.5 ] . The unknown functions in system (88) are:
h 1 , 1 = h 2 , 1 = h 3 , 1 = h 4 , 1 = h 5 , 1 = 0 h 1 , 2 = x 1 , 1 0.25 x 1 , 2 x 1 , 1 3 h 2 , 2 = x 2 , 1 0.25 x 2 , 2 x 2 , 1 3 + 0.1 x 2 , 1 2 + x 2 , 2 2 1 / 2 h 3 , 2 = x 3 , 1 0.25 x 3 , 2 x 3 , 1 3 + 0.2 x 3 , 1 2 + 2 x 3 , 2 2 1 / 2 h 4 , 2 = x 4 , 1 0.25 x 4 , 2 x 4 , 1 3 + 0.2 2 x 4 , 1 2 + 2 x 4 , 2 2 1 / 2 h 5 , 2 = x 5 , 1 x 5 , 2 + 0.5 x 5 , 1 2 + x 5 , 2 2 1 / 2
Each of the five agents has the following local objective functions:
£ 1 ( x 1 , 1 ) = x 1 , 1 2 2 x 1 , 1 + 2 £ 2 ( x 2 , 1 ) = x 2 , 1 2 4 x 2 , 1 + 6 £ 3 ( x 3 , 1 ) = x 3 , 1 2 6 x 3 , 1 + 12 £ 4 ( x 4 , 1 ) = x 4 , 1 2 8 x 4 , 1 + 20 £ 5 ( x 5 , 1 ) = x 5 , 1 2 10 x 5 , 1 + 30
Then, the penalty function is defined as (7), and the following conditions must be met to obtain the optimum solution for DOP:
P ( x 1 * ) x 1 * = 0 .
According to Equations (33), (36), (37) and (40)–(43), design the parameters update laws, the error compensation signal, the virtual control law and the control input as follows:
a i , 1 = 1 d i ( 2 m i b ˙ i c i , 1 s i , 1 s i , 1 + j N i a i j ( x ^ j , 2 + ψ j , 1 T φ j , 1 ) ) ψ i , 1 T φ i , 1 ξ ˙ i , 1 = d i ( ξ i , 2 + a ¯ i , 2 a i , 1 ) c i , 1 ξ i , 1 ξ i , 1 ψ ˙ i , 1 = r i , 1 d i φ i , 1 z i , 1 r ¯ i , 1 ψ i , 1 ψ ˙ j , 1 = r j , 1 φ j , 1 z j , 1 r ¯ j , 1 ψ j , 1 u i = a ¯ ˙ i , 2 d i s i , 1 c i , 2 s i , 2 3 2 s i , 2 ψ i , 2 T φ i , 2 ( X ^ i , 2 ) ξ ˙ i , 2 = d i ξ i , 1 c i , 2 ξ i , 2 3 2 ξ i , 2 ψ ˙ i , 2 = r i , 2 φ i , 2 z i , 2 r ¯ i , 2 ψ i , 2
In addressing the entirety of the design parameters, c i , 1 , c i , 2 stand out as pivotal to the system’s performance. Its direct correlation with the system’s convergence accuracy establishes it as the paramount tuning element. Concurrently, the configuration of neural network parameters r i , 1 , r i , 2 , r j , 1 , r ¯ i , 1 , r ¯ i , 2 , and r ¯ j , 1 merits equal attention, given their significant influence on the control inputs. Furthermore, the observer’s parameters ι 1 , 1 , ι 2 , 1 , ι 3 , 1 , ι 4 , 1 , ι 5 , 1 , ι 1 , 2 , ι 2 , 2 , ι 3 , 2 , ι 4 , 2 , and ι 5 , 2 are equally essential, serving as the critical intermediate variables within the framework of the virtual control law.
Regarding the control parameters c i , 1 , c i , 2 , they exert a direct influence on the system’s control input. While higher values can enhance the rate of convergence, excessively high values might result in overly large control inputs, which could negatively impact the system’s overall performance. Consequently, we have selected moderate values for c i , 1 and c i , 2 to ensure a swift and stable response from the system. The parameters are chosen as c i , 1 = 4 , c i , 2 = 3 .
When adjusting the adaptive law parameters r i , 1 , r i , 2 , and r j , 1 , we found that increasing the values of r i , 1 , r i , 2 , and r j , 1 can amplify the system’s output jitter, while decreasing them might prevent the neural network from outputting effectively and adapting to changes in nonlinear functions. Therefore, we selected moderate values r i , 1 = r i , 2 = r j , 1 = 1 to balance the system’s stability with the neural network’s responsiveness. Additionally, increasing the values of r ¯ i , 1 , r ¯ i , 2 , and r ¯ j , 1 may speed up convergence, but excessively high values could cause the neural network to converge directly to zero, thereby losing functionality. Therefore, we have chosen an appropriate value for r ¯ i , 1 , and r ¯ i , 2 , r ¯ j , 1 to ensure that the neural network can operate effectively. Here, r ¯ i , 1 = r ¯ i , 2 = r ¯ j , 1 = 80 .
With regard to the observer parameters, we recognize that an increase in these parameters can reduce the observer error. However, we must take into account the constraints of practical applications, so we cannot increase these parameters indefinitely. We have chosen an appropriate value to ensure the performance of the observer and the stability of the system. So the design parameters for the observer are selected as ι 1 , 1 = ι 2 , 1 = ι 3 , 1 = ι 4 , 1 = ι 5 , 1 = 5 , ι 1 , 2 = ι 2 , 2 = ι 3 , 2 = ι 4 , 2 = ι 5 , 2 = 15 and the initial states are designed as x ^ 1 = [ 0.2 , 0.2 ] , x ^ 2 = [ 0.3 , 0.3 ] , x ^ 3 = [ 0.4 , 0.4 ] , x ^ 4 = [ 0.5 , 0.5 ] , and x ^ 5 = [ 0.6 , 0.6 ] .
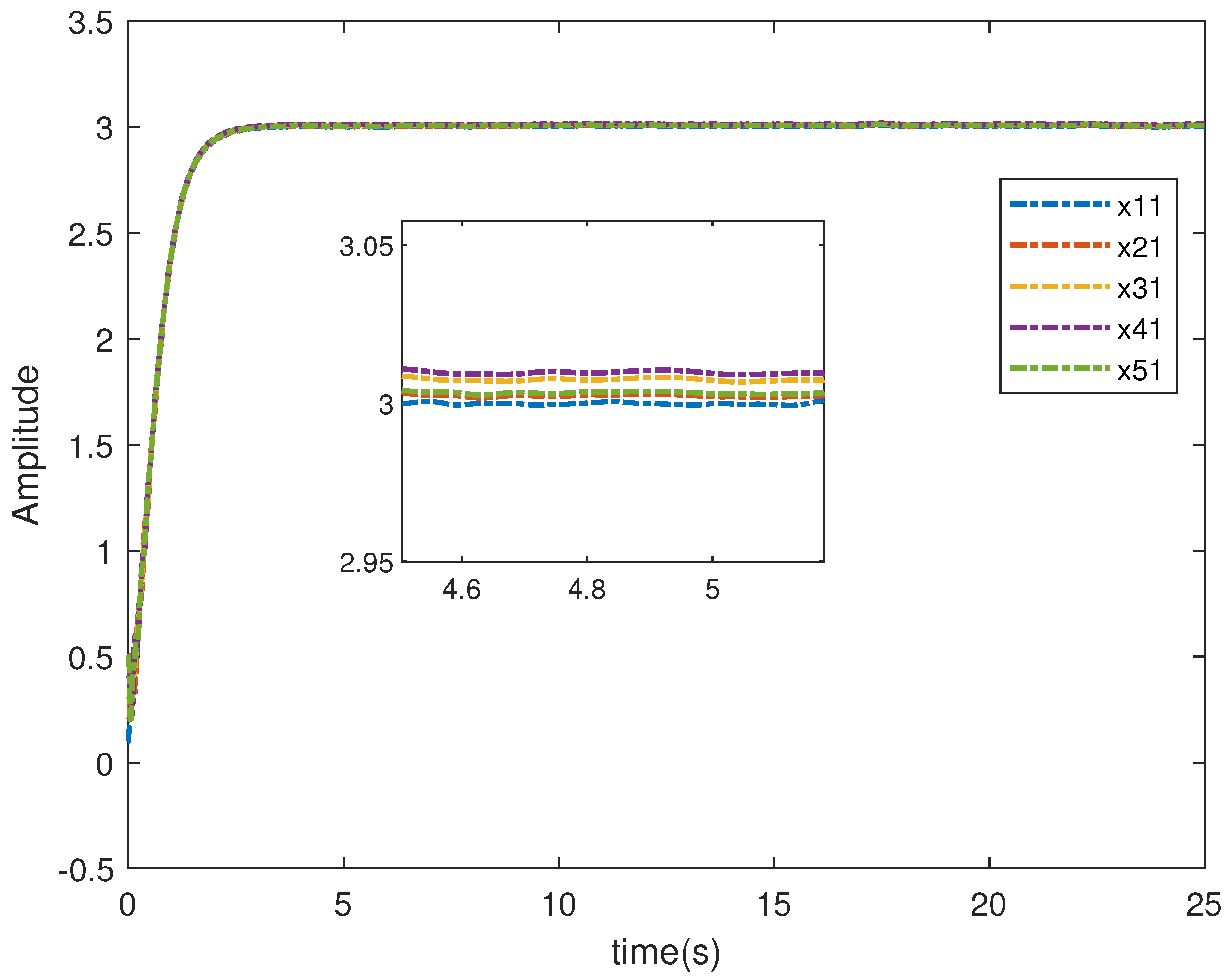
In this example, we give the first agent b 1 = 1 , the second agent b 2 = 2 , the third agent b 3 = 3 , the fourth agent b 4 = 4 , and the fifth agent b 5 = 5 . Through calculation, we can see that the optimal value of the five agents is x i , 1 * = 3 . From the Figure 3, there is evidence that the five agents will eventually converge to the optimal value.
The simulation results in this simulation are shown in Figure 3, Figure 4, Figure 5, Figure 6, Figure 7 and Figure 8. Figure 3 indicates that the output of each agent are consistent with the optimal solution, and a certain extent of error in the figure. Figure 4 shows the tracking error trajectories s i , 1 , which clearly shows that s i , 1 converge to zero quickly. Through Figure 5, we put the output of the agent 1 as an example to make a comparison between the true and estimated values. The control input u i is presented in Figure 6. Figure 7 displays the value of the penalty function, and we may conclude that the proposed control protocol will minimize the penalty function. Figure 8 displays the value of gradient, which can be clearly established the gradient value is converging well towards zero.
Under the above simulation results, the proposed algorithm will guarantee that all agents reach the optimal solution in the MASs with dynamic uncertainty and stochastic noise. Tracking errors are converging towards a tiny region of source in a short period of time, and all agents eventually tend to optimize. Controllers designed with this approach not only make sure that all agents provide excellent tracking performance for the system containing nonlinear uncertainties and random noise, it also considers the DOP. At the same time, the value of the penalty function successfully trades down to the minimal value.

5. Conclusions

This paper studies the DOP for high-order MASs with nonlinear functions and Lévy stochastic noise. The penalty function is built using the properties of the undirected communication graph and GOF to ensure that all agents achieve the optimal value of DOP while reaching consensus. To avoid “complexity explosion”, we take the command-filtered into account to design the adaptive NNs backstepping control, and the error compensation mechanism is applied to remove the influence of the filtering errors. The stability of the system is analyzed by combining the generalized Itô’s formula with the Lyapunov function method. Simulation results demonstrate that the developed algorithm can make the outputs of all agents reach the optimal value with bounded errors.
This study holds significant implications in practical application fields. Compared the research in to [9], which is confined to the analysis of master–slave systems involving only two agents, this paper expands the scope of research by applying stochastic systems to MASs and successfully addressing the DOP, enabling the research outcomes to be applied to a more diverse range of practical scenarios. However, this paper does not cover MASs with full-state constraints, as discussed in [46]. To further deepen the research, this paper plans to draw on the research methods of [47] and adopt an innovative Policy Iteration (PI) algorithm to explore the online adaptive optimal control problem of nonlinear multi-agent systems.

Author Contributions

Conceptualization, H.Y. and J.Y.; Methodology, Q.S.; Software, Q.S.; Resources, H.Y. and J.Y.; Writing—original draft, Q.S.; Writing—review & editing, H.Y. and J.Y.; Supervision, J.Y.; Funding acquisition, H.Y. All authors have read and agreed to the published version of the manuscript.

Funding

This research received no external funding.

Institutional Review Board Statement

Not applicable.

Data Availability Statement

The original contributions presented in the study are included in the article, further inquiries can be directed to the corresponding author.

Conflicts of Interest

The authors declare no conflict of interest.

References

  1. Liang, X.L.; Hou, M.Z.; Duan, G.R. Output feedback stabilization of switched stochastic nonlinear systems under arbitrary switchings. Int. J. Autom. Comput. 2013, 10, 571–577. [Google Scholar] [CrossRef]
  2. Fang, H.; Tu, Y.; Wang, H.; He, S.; Liu, F.; Ding, Z.; Cheng, S.S. Fuzzy-based adaptive optimization of unknown discrete-time nonlinear Markov jump systems with off-policy reinforcement learning. IEEE Trans. Fuzzy Syst. 2022, 30, 5276–5290. [Google Scholar] [CrossRef]
  3. Luo, S.; Deng, F.; Chen, W.H. Unified dwell time–based stability and stabilization criteria for switched linear stochastic systems and their application to intermittent control. Int. J. Robust Nonlinear Control 2018, 28, 2014–2030. [Google Scholar] [CrossRef]
  4. Li, M.; Deng, F. Necessary and sufficient conditions for consensus of continuous-time multiagent systems with markovian switching topologies and communication noises. IEEE Trans. Cybern. 2019, 50, 3264–3270. [Google Scholar] [CrossRef] [PubMed]
  5. Imzegouan, C. Stability for Markovian switching stochastic neural networks with infinite delay driven by Lévy noise. Int. J. Dyn. Control 2019, 7, 547–556. [Google Scholar] [CrossRef]
  6. Li, M.; Deng, F.; Liu, X. Almost sure stability of second-order nonlinear stochastic system with Lévy noise via sliding mode control. Int. J. Robust Nonlinear Control 2019, 29, 6053–6063. [Google Scholar] [CrossRef]
  7. Do, K. Backstepping control design for stochastic systems driven by Lévy processes. Int. J. Control 2022, 95, 68–80. [Google Scholar] [CrossRef]
  8. Zhou, L.; Zhu, Q.; Wang, Z.; Zhou, W.; Su, H. Adaptive exponential synchronization of multislave time-delayed recurrent neural networks with Lévy noise and regime switching. IEEE Trans. Neural Netw. Learn. Syst. 2016, 28, 2885–2898. [Google Scholar] [CrossRef] [PubMed]
  9. Yuan, J.; Zhang, C.; Chen, T. Command filtered adaptive neural network synchronization control of nonlinear stochastic systems with levy noise via event-triggered mechanism. IEEE Access 2021, 9, 146195–146202. [Google Scholar] [CrossRef]
  10. Yang, J.; Zhou, W.; Shi, P.; Yang, X.; Zhou, X.; Su, H. Adaptive synchronization of delayed Markovian switching neural networks with Lévy noise. Neurocomputing 2015, 156, 231–238. [Google Scholar] [CrossRef]
  11. Wang, T.; Hu, M.; Zhao, Y. Consensus of linear multi-agent systems with stochastic noises and binary-valued communications. Int. J. Robust Nonlinear Control 2020, 30, 4863–4879. [Google Scholar] [CrossRef]
  12. Wang, Z.; Sun, H.; Zhang, H.; Liu, X. Bounded consensus control for stochastic multi-agent systems with additive noises. Neurocomputing 2020, 408, 72–79. [Google Scholar] [CrossRef]
  13. Zhao, B.; Peng, Y.; Deng, F. Consensus tracking for general linear stochastic multi-agent systems: A sliding mode variable structure approach. IET Control Theory Appl. 2017, 11, 2910–2915. [Google Scholar] [CrossRef]
  14. Zhao, Y.; Yu, H.; Xia, X. Event-triggered adaptive consensus for stochastic multi-agent systems with saturated input and partial state constraints. Inf. Sci. 2022, 603, 16–41. [Google Scholar] [CrossRef]
  15. Guo, X.; Liang, H.; Pan, Y. Observer-based adaptive fuzzy tracking control for stochastic nonlinear multi-agent systems with dead-zone input. Appl. Math. Comput. 2020, 379, 125269. [Google Scholar] [CrossRef]
  16. Zhao, L.; Jia, Y. Finite-time consensus for second-order stochastic multi-agent systems with nonlinear dynamics. Appl. Math. Comput. 2015, 270, 278–290. [Google Scholar] [CrossRef]
  17. Wang, F.; Zhang, Y.; Zhang, L.; Zhang, J.; Huang, Y. Finite-time consensus of stochastic nonlinear multi-agent systems. Int. J. Fuzzy Syst. 2020, 22, 77–88. [Google Scholar] [CrossRef]
  18. Zheng, Y.; Liu, Q. A review of distributed optimization: Problems, models and algorithms. Neurocomputing 2022, 483, 446–459. [Google Scholar] [CrossRef]
  19. Li, S.; Nian, X.; Deng, Z. Distributed optimization of general linear multi-agent systems with external disturbance. J. Frankl. Inst. 2021, 358, 5951–5970. [Google Scholar] [CrossRef]
  20. Kia, S.S.; Cortés, J.; Martínez, S. Periodic and event-triggered communication for distributed continuous-time convex optimization. In Proceedings of the 2014 American Control Conference, Portland, OR, USA, 4–6 June 2014; IEEE: Piscataway, NJ, USA, 2014. [Google Scholar]
  21. Deng, Z.; Wang, X.; Hong, Y. Distributed optimisation design with triggers for disturbed continuous-time multi-agent systems. IET Control Theory Appl. 2017, 11, 282–290. [Google Scholar] [CrossRef]
  22. Xu, G.H.; Guan, Z.H.; He, D.X.; Chi, M.; Wu, Y.H. Distributed tracking control of second-order multi-agent systems with sampled data. J. Frankl. Inst. 2014, 351, 4786–4801. [Google Scholar] [CrossRef]
  23. Yi, X.; Yao, L.; Yang, T.; George, J.; Johansson, K.H. Distributed optimization for second-order multi-agent systems with dynamic event-triggered communication. In Proceedings of the 2018 IEEE Conference on Decision and Control (CDC), Miami, FL, USA, 17–19 December 2018; IEEE: Piscataway, NJ, USA, 2018; pp. 3397–3402. [Google Scholar]
  24. Mo, L.; Hu, H.; Yu, Y.; Ren, G. Distributed optimization without boundedness of gradients for second-order multi-agent systems over unbalanced network. Inf. Sci. 2021, 565, 177–195. [Google Scholar] [CrossRef]
  25. Xie, Y.; Lin, Z. Global optimal consensus for higher-order multi-agent systems with bounded controls. Automatica 2019, 99, 301–307. [Google Scholar] [CrossRef]
  26. Qin, Z.; Liu, T.; Jiang, Z.P. Distributed optimization of nonlinear uncertain systems: An adaptive backstepping design. IFAC-PapersOnLine 2020, 53, 5653–5658. [Google Scholar] [CrossRef]
  27. Tang, Y.; Deng, Z.; Hong, Y. Optimal output consensus of high-order multiagent systems with embedded technique. IEEE Trans. Circuits Syst. I Regul. Pap. 2018, 49, 1768–1779. [Google Scholar] [CrossRef] [PubMed]
  28. Yao, Y.; Yuan, J.; Chen, T.; Yang, X.; Yang, H. Distributed convex optimization of bipartite containment control for high-order nonlinear uncertain multi-agent systems with state constraints. Math. Biosci. Eng. 2023, 20, 17296–17323. [Google Scholar] [CrossRef]
  29. Wu, W.; Tong, S. Observer-based fixed-time adaptive fuzzy consensus DSC for nonlinear multiagent systems. IEEE Trans. Cybern. 2022, 53, 5881–5891. [Google Scholar] [CrossRef] [PubMed]
  30. Luo, S.; Xu, X.; Liu, L.; Feng, G. Leader-following consensus of heterogeneous linear multiagent systems with communication time-delays via adaptive distributed observers. IEEE Trans. Cybern. 2021, 52, 13336–13349. [Google Scholar] [CrossRef]
  31. Zhang, Y.W.; Zhao, X.W.; Zhang, J.; Lai, Q. Adaptive Leader-Following Consensus of Multiagent Systems with Unknown Disturbances and Switching Topologies. IEEE Trans. Circuits Syst. II Express Briefs 2023, 70, 2944–2948. [Google Scholar] [CrossRef]
  32. Cao, X.; Zhang, C.; Zhao, D.; Sun, B.; Li, Y. Event-triggered consensus control of continuous-time stochastic multi-agent systems. Automatica 2022, 137, 110022. [Google Scholar] [CrossRef]
  33. Xiao, G.; Wang, J.; Liao, Y. Finite-time adaptive consensus of stochastic multi-agent systems with node-based and edge-based adaptive law design methods. Int. J. Adapt. Control Signal Process. 2022, 36, 2920–2937. [Google Scholar] [CrossRef]
  34. Cao, Y.; Li, B.; Wen, S.; Huang, T. Consensus tracking of stochastic multi-agent system with actuator faults and switching topologies. Inf. Sci. 2022, 607, 921–930. [Google Scholar] [CrossRef]
  35. Ma, Q.; Meng, Q.; Xu, S. Distributed optimization for uncertain high-order nonlinear multiagent systems via dynamic gain approach. IEEE Trans. Syst. Man Cybern. Syst. 2023, 53, 4351–4357. [Google Scholar] [CrossRef]
  36. Liu, D.; Shen, M.; Jing, Y.; Wang, Q.G. Distributed optimization of nonlinear multiagent systems via event-triggered communication. IEEE Trans. Circuits Syst. II Express Briefs 2022, 70, 2092–2096. [Google Scholar] [CrossRef]
  37. Li, G.; Wang, X.; Li, S. Finite-time distributed approximate optimization algorithms of higher order multiagent systems via penalty-function-based method. IEEE Trans. Syst. Man Cybern. Syst. 2022, 52, 6174–6182. [Google Scholar] [CrossRef]
  38. Li, Z.; Duan, Z. Cooperative Control of Multi-Agent Systems: A Consensus Region Approach; CRC Press: Boca Raton, FL, USA, 2017. [Google Scholar]
  39. Yuan, J.; Zhang, C.; Qiu, Z.; Wang, F. Chaos and control of ships with water on deck under periodic excitation with Lévy noise. Fluct. Noise Lett. 2017, 16, 1750027. [Google Scholar] [CrossRef]
  40. Liu, Y.; Zhu, Q.; Zhao, N.; Wang, L. Adaptive fuzzy backstepping control for nonstrict feedback nonlinear systems with time-varying state constraints and backlash-like hysteresis. Inf. Sci. 2021, 574, 606–624. [Google Scholar] [CrossRef]
  41. Zhao, X.; Wang, X.; Zhang, S.; Zong, G. Adaptive neural backstepping control design for a class of nonsmooth nonlinear systems. IEEE Trans. Syst. Man Cybern. Syst. 2018, 49, 1820–1831. [Google Scholar] [CrossRef]
  42. Li, Y.; Tong, S. Adaptive neural networks decentralized FTC design for nonstrict-feedback nonlinear interconnected large-scale systems against actuator faults. IEEE Trans. Neural Netw. Learn. Syst. 2016, 28, 2541–2554. [Google Scholar] [CrossRef]
  43. Chen, B.; Liu, X.; Liu, K.; Lin, C. Direct adaptive fuzzy control of nonlinear strict-feedback systems. Automatica 2009, 45, 1530–1535. [Google Scholar] [CrossRef]
  44. Li, K.; Li, Y. Adaptive neural network finite-time dynamic surface control for nonlinear systems. IEEE Trans. Neural Netw. Learn. Syst. 2020, 32, 5688–5697. [Google Scholar] [CrossRef] [PubMed]
  45. Zhou, T.; Wu, H.; Cao, J. Distributed optimization in predefined-time for multi-agent systems over a directed network. Inf. Sci. 2022, 615, 743–757. [Google Scholar] [CrossRef]
  46. Liang, X.; Ge, S.S.; Li, D. Coordinated tracking control of multi agent systems with full-state constraints. J. Frankl. Inst. 2023, 360, 12030–12054. [Google Scholar] [CrossRef]
  47. He, S.; Fang, H.; Zhang, M.; Liu, F.; Ding, Z. Adaptive optimal control for a class of nonlinear systems: The online policy iteration approach. IEEE Trans. Neural Netw. Learn. Syst. 2019, 31, 549–558. [Google Scholar] [CrossRef]
Figure 1. The block diagram of the designed control system.
Figure 1. The block diagram of the designed control system.
Entropy 26 00834 g001
Figure 2. Topology of the communication graph.
Figure 2. Topology of the communication graph.
Entropy 26 00834 g002
Figure 3. The system state x i , 1 i = 1 , , 5 .
Figure 3. The system state x i , 1 i = 1 , , 5 .
Entropy 26 00834 g003
Figure 4. The error s i , 1 i = 1 , , 5 .
Figure 4. The error s i , 1 i = 1 , , 5 .
Entropy 26 00834 g004
Figure 5. x 1 , 2 and its estimation.
Figure 5. x 1 , 2 and its estimation.
Entropy 26 00834 g005
Figure 6. Control input u i .
Figure 6. Control input u i .
Entropy 26 00834 g006
Figure 7. The value of the penalty function.
Figure 7. The value of the penalty function.
Entropy 26 00834 g007
Figure 8. The value of the gradient.
Figure 8. The value of the gradient.
Entropy 26 00834 g008
Disclaimer/Publisher’s Note: The statements, opinions and data contained in all publications are solely those of the individual author(s) and contributor(s) and not of MDPI and/or the editor(s). MDPI and/or the editor(s) disclaim responsibility for any injury to people or property resulting from any ideas, methods, instructions or products referred to in the content.

Share and Cite

MDPI and ACS Style

Yang, H.; Sun, Q.; Yuan, J. Distributed Adaptive Optimization Algorithm for High-Order Nonlinear Multi-Agent Stochastic Systems with Lévy Noise. Entropy 2024, 26, 834. https://doi.org/10.3390/e26100834

AMA Style

Yang H, Sun Q, Yuan J. Distributed Adaptive Optimization Algorithm for High-Order Nonlinear Multi-Agent Stochastic Systems with Lévy Noise. Entropy. 2024; 26(10):834. https://doi.org/10.3390/e26100834

Chicago/Turabian Style

Yang, Hui, Qing Sun, and Jiaxin Yuan. 2024. "Distributed Adaptive Optimization Algorithm for High-Order Nonlinear Multi-Agent Stochastic Systems with Lévy Noise" Entropy 26, no. 10: 834. https://doi.org/10.3390/e26100834

APA Style

Yang, H., Sun, Q., & Yuan, J. (2024). Distributed Adaptive Optimization Algorithm for High-Order Nonlinear Multi-Agent Stochastic Systems with Lévy Noise. Entropy, 26(10), 834. https://doi.org/10.3390/e26100834

Note that from the first issue of 2016, this journal uses article numbers instead of page numbers. See further details here.

Article Metrics

Back to TopTop