Polynomial Regression on Lie Groups and Application to SE(3)
Abstract
1. Introduction
2. Elements of Differential Geometry
2.1. Manifolds, Lie Groups, and Vector Bundles
- Each is an open subset of and, ;
- Each is a bijection from into an open subset of , and is open for every i and j;
- For every pair , the map is a diffeomorphism.
- for the left translation;
- for the right translation;
- for the unit element.
- (i)
- For all , is a real vector space isomorphic to , k a fixed integer;
- (ii)
- For all , there exists an open set and a diffeomorphism such that
- , the mapping is an isomorphism on
2.2. Koszul Connections
2.3. Covariant Derivatives and Parallel Sections
2.4. Musical Isomorphisms
3. Manifold-Valued Polynomial Functions
- Ref. [32] restricts the Hessian to the kernel of so that the second derivative makes sense through the transition maps of the manifold;
- A possibility to bypass this [33] is to consider directly a k-th order Taylor series through jet bundles: let be two curves such that and a local chart such that ,This relation is an equivalence relation in which equivalence classes are called k-jets at p, noted . The space of all k-jets of the bundle is the union of k-jets at p over all the points of .The set of all k-jets at p can be given a differentiable structure in a “tower-like” bundle endowed with adapted coordinates, in whichare projections from one level of the bundle to the one under.
4. Optimality Conditions
| Algorithm 1: Riemannian gradient descent |
![]() |
5. The Geodesic Regression Problem
5.1. Polynomial Curves
5.2. Regression in a Lie Group
5.3. Application to SE(3)
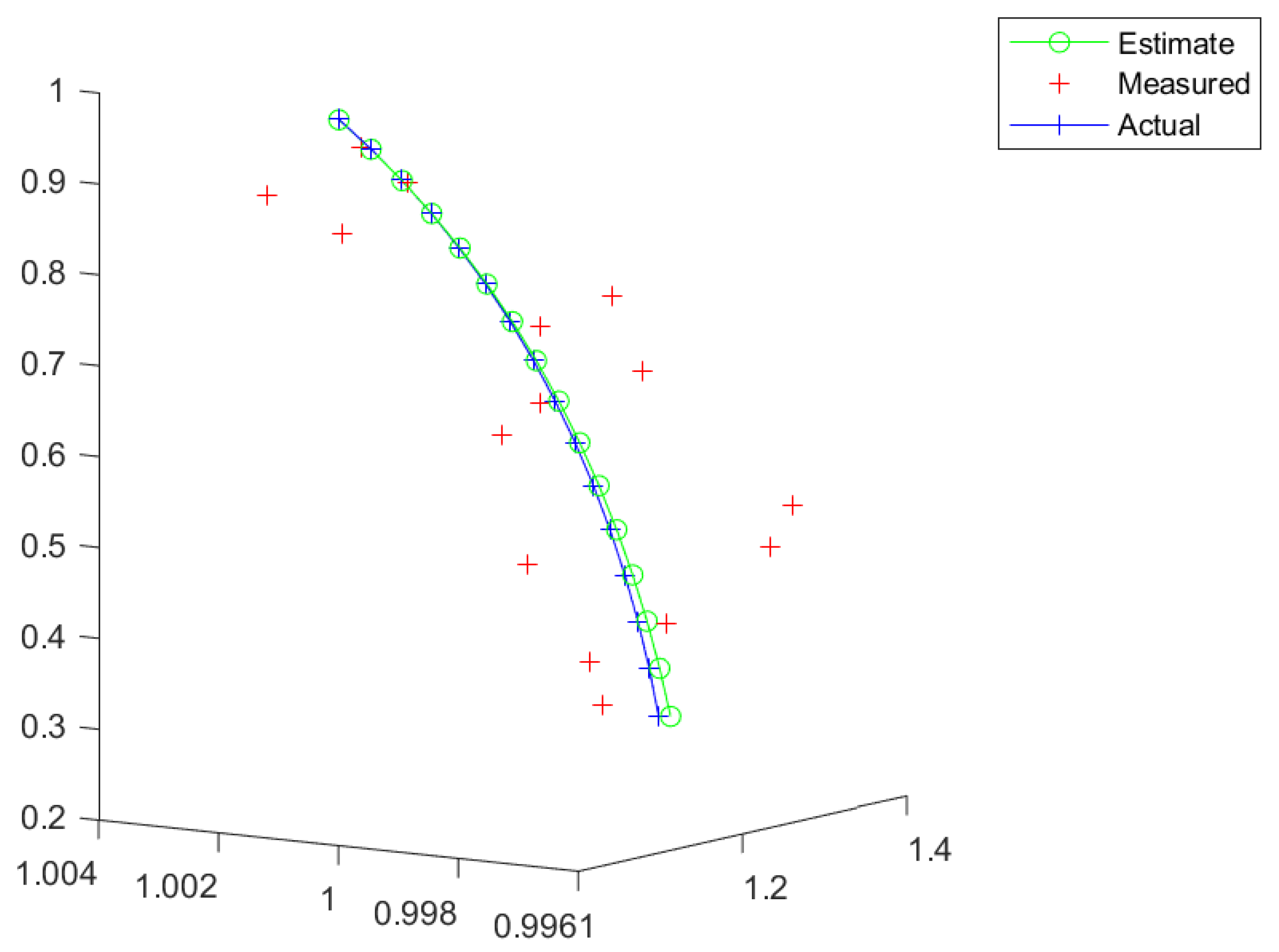
6. Implementation
Algorithms
- Initialization of may be carried out in several ways: naive initialization may work, but the Fréchet mean ([38]) is often a better alternative. Another possibility is to use one of the measured points;
- Equations (33) are solved in Algorithm 3 in the specific case of a geodesic, which means as follows: we may rewrite the forward equations using the Christoffel symbols of the connection and then solve a “large” system of ODEs.
| Algorithm 2: Simulated data generation |
![]() |
| Algorithm 3: Determining the optimum geodesic |
![]() |
7. Conclusions and Future Work
Supplementary Materials
Author Contributions
Funding
Institutional Review Board Statement
Data Availability Statement
Conflicts of Interest
References
- Julier, S.J.; Uhlmann, J.K. New extension of the Kalman filter to nonlinear systems. In Proceedings of the Signal Processing, Sensor Fusion, and Target Recognition VI, Orlando, FL, USA, 21–24 April 1997; Kadar, I., Ed.; International Society for Optics and Photonics. SPIE: Bellingham, DC, USA, 1997; Volume 3068, pp. 182–193. [Google Scholar] [CrossRef]
- Bourmaud, G.; Mégret, R.; Giremus, A.; Berthoumieu, Y. Discrete Extended Kalman Filter on Lie groups. In Proceedings of the 21st European Signal Processing Conference (EUSIPCO 2013), Marrakech, Morocco, 9–13 September 2013; pp. 1–5. [Google Scholar]
- Phogat, K.S.; Chang, D.E. Invariant extended Kalman filter on matrix Lie groups. Automatica 2020, 114, 108812. [Google Scholar] [CrossRef]
- Bonnabel, S. Left-invariant Extended Kalman Filter and attitude estimation. In Proceedings of the 2007 46th IEEE Conference on Decision and Control, New Orleans, LA, USA, 12–14 December 2007; pp. 1027–1032. [Google Scholar] [CrossRef]
- Bonnabel, S.; Martin, P.; Salaün, E. Invariant Extended Kalman Filter: Theory and application to a velocity-aided attitude estimation problem. In Proceedings of the 48h IEEE Conference on Decision and Control (CDC) Held Jointly with 2009 28th Chinese Control Conference, Shanghai, China, 15–18 December 2009; pp. 1297–1304. [Google Scholar] [CrossRef]
- Fang, K.; Cai, T.; Wang, B. The Kinematic Models of the SINS and Its Errors on the SE(3) Group in the Earth-Centered Inertial Coordinate System. Sensors 2024, 24, 3864. [Google Scholar] [CrossRef] [PubMed]
- Jeong, D.B.; Lee, B.; Ko, N.Y. Three-Dimensional Dead-Reckoning Based on Lie Theory for Overcoming Approximation Errors. Appl. Sci. 2024, 14, 5343. [Google Scholar] [CrossRef]
- Sun, J.; Chen, Y.; Cui, B. An Improved Initial Alignment Method Based on SE2(3)/EKF for SINS/GNSS Integrated Navigation System with Large Misalignment Angles. Sensors 2024, 24, 2945. [Google Scholar] [CrossRef] [PubMed]
- Park, F.; Bobrow, J.; Ploen, S. A Lie Group Formulation of Robot Dynamics. Int. J. Robot. Res. 1995, 14, 609–618. [Google Scholar] [CrossRef]
- Wang, W.; Peng, X.; Ai, J.; Fu, C.; Li, C.; Zhang, Z. SE(3) Based LTV-MPC Algorithm for Multi-Obstacle Trajectory Tracking of Fully Driven Spacecraft. IEEE Access 2024, 12, 37850–37861. [Google Scholar] [CrossRef]
- Miolane, N.; Pennec, X. Computing Bi-Invariant Pseudo-Metrics on Lie Groups for Consistent Statistics. Entropy 2015, 17, 1850–1881. [Google Scholar] [CrossRef]
- Boisvert, J.; Pennec, X.; Ayache, N.; Labelle, H.; Cheriet, K. 3D anatomical variability assessment of the scoliotic spine using statistics on Lie groups. In Proceedings of the 3rd IEEE International Symposium on Biomedical Imaging: Nano to Macro, Arlington, VA, USA, 6–9 April 2006; pp. 750–753. [Google Scholar] [CrossRef]
- Boisvert, J.; Cheriet, F.; Pennec, X.; Labelle, H.; Ayache, N. Geometric Variability of the Scoliotic Spine Using Statistics on Articulated Shape Models. IEEE Trans. Med Imaging 2008, 27, 557–568. [Google Scholar] [CrossRef] [PubMed]
- Hanik, M.; Hege, H.C.; von Tycowicz, C. Bi-Invariant Dissimilarity Measures for Sample Distributions in Lie Groups. Siam J. Math. Data Sci. 2022, 4, 1223–1249. [Google Scholar] [CrossRef]
- Fiori, S.; Rossi, L.D. Minimal control effort and time Lie-group synchronisation design based on proportional-derivative control. Int. J. Control 2022, 95, 138–150. [Google Scholar] [CrossRef]
- Duan, X.; Sun, H.; Zhao, X. A Matrix Information-Geometric Method for Change-Point Detection of Rigid Body Motion. Entropy 2019, 21, 531. [Google Scholar] [CrossRef] [PubMed]
- Fiori, S. Manifold Calculus in System Theory and Control—Second Order Structures and Systems. Symmetry 2022, 14, 1144. [Google Scholar] [CrossRef]
- Smith, S. Covariance, subspace, and intrinsic Cramer-Rao bounds. IEEE Trans. Signal Process. 2005, 53, 1610–1630. [Google Scholar] [CrossRef]
- Labsir, S.; Renaux, A.; Vilà-Valls, J.; Chaumette, É. Cramér-Rao Bound on Lie Groups with Observations on Lie Groups: Application to SE(2). In Proceedings of the ICASSP 2023—2023 IEEE International Conference on Acoustics, Speech and Signal Processing (ICASSP), Rhodes Island, Greece, 4–10 June 2023; pp. 1–5. [Google Scholar] [CrossRef]
- Labsir, S.; Giremus, A.; Yver, B.; Benoudiba–Campanini, T. An intrinsic Bayesian bound for estimators on the Lie groups SO(3) and SE(3). Signal Process. 2024, 214, 109232. [Google Scholar] [CrossRef]
- Jeon, J.M.; Park, B.U.; Keilegom, I.V. Nonparametric regression on Lie groups with measurement errors. Ann. Stat. 2022, 50, 2973–3008. [Google Scholar] [CrossRef]
- Camarinha, M.; Silva Leite, F.; Crouch, P. On the geometry of Riemannian cubic polynomials. Differ. Geom. Its Appl. 2001, 15, 107–135. [Google Scholar] [CrossRef]
- Camarinha, M.; Silva Leite, F.; Crouch, P. High-Order Splines on Riemannian Manifolds. Proc. Steklov Inst. Math. 2023, 321, 158–178. [Google Scholar] [CrossRef]
- Hinkle, J.; Muralidharan, P.; Fletcher, P.T.; Joshi, S. Polynomial Regression on Riemannian Manifolds. In Proceedings of the Computer Vision—ECCV 2012, Florence, Italy, 7–13 October 2012; Fitzgibbon, A., Lazebnik, S., Perona, P., Sato, Y., Schmid, C., Eds.; Springer: Berlin/Heidelberg, Germany, 2012; pp. 1–14. [Google Scholar]
- Popiel, T.; Noakes, L. Bézier curves and C2 interpolation in Riemannian manifolds. J. Approx. Theory 2007, 148, 111–127. [Google Scholar] [CrossRef]
- Hanik, M.; Hege, H.C.; Hennemuth, A.; von Tycowicz, C. Nonlinear Regression on Manifolds for Shape Analysis using Intrinsic Bézier Splines. In Proceedings of the Medical Image Computing and Computer Assisted Intervention—MICCAI 2020, Lima, Peru, 4–8 October 2020; Martel, A.L., Abolmaesumi, P., Stoyanov, D., Mateus, D., Zuluaga, M.A., Zhou, S.K., Racoceanu, D., Joskowicz, L., Eds.; Springer: Cham, Switzerland, 2020; pp. 617–626. [Google Scholar]
- Fletcher, P.T. Geodesic Regression on Riemannian Manifolds. In Proceedings of the Third International Workshop on Mathematical Foundations of Computational Anatomy—Geometrical and Statistical Methods for Modelling Biological Shape Variability, Westin Harbour Castle, TO, Canada, 22 September 2011; Pennec, X., Joshi, S., Nielsen, M., Eds.; pp. 75–86. [Google Scholar]
- Pennec, X. Bi-invariant Means on Lie Groups with Cartan-Schouten Connections. In Proceedings of the Geometric Science of Information, Paris, France, 28–30 August 2013; Nielsen, F., Barbaresco, F., Eds.; Springer: Berlin/Heidelberg, Germany, 2013; pp. 59–67. [Google Scholar]
- Amari, S.I.; Nagaoka, H. Methods of Information Geometry; Translations of Mathematical Monographs 191; American Mathematical Society and Oxford University Press: Oxford, UK, 2000. [Google Scholar]
- Husemöller, D. Fibre Bundles; Graduate Texts in Mathematics; Springer: New York, NY, USA, 2013. [Google Scholar]
- Willmore, T. Riemannian Geometry; Oxford Science Publications; Clarendon Press: Oxford, UK, 1996. [Google Scholar]
- Agrachev, A.A.; Sachkov, Y.L. Control Theory from the Geometric Viewpoint; Encyclopaedia of Mathematical Sciences; Springer: Berlin/Heidelberg, Germany, 2004. [Google Scholar] [CrossRef]
- Saunders, D.J. The Geometry of Jet Bundles; London Mathematical Society Lecture Note Series; Cambridge University Press: Cambridge, UK, 1989. [Google Scholar]
- Boumal, N. An Introduction to Optimization on Smooth Manifolds; Cambridge University Press: Cambridge, UK, 2023. [Google Scholar] [CrossRef]
- Marsden, J.; Ratiu, T. Introduction to Mechanics and Symmetry: A Basic Exposition of Classical Mechanical Systems; Texts in Applied Mathematics; Springer: New York, NY, USA, 1999. [Google Scholar]
- Niethammer, M.; Huang, Y.; Vialard, F.X. Geodesic Regression on Image Time Series. In Proceedings of the Medical Image Computing and Computer-Assisted Intervention: MICCAI—International Conference on Medical Image Computing and Computer-Assisted Intervention, Toronto, ON, Canada, 18–22 September 2011; Volume 14, pp. 655–662. [Google Scholar] [CrossRef]
- Duistermaat, J.; Kolk, J. Lie Groups; Universitext; Springer: Berlin/Heidelberg, Germany, 1999. [Google Scholar]
- Fréchet, M. Les éléments aléatoires de nature quelconque dans un espace distancié. Ann. L’Institut Henri PoincarÉ 1948, 10, 215–310. [Google Scholar]






| Maneuver | Noise Std | Nmeas | |
|---|---|---|---|
| Straight line | 25 | 1 | |
| Straight line | 25 | 0.99 | |
| Straight line | 25 | 0.84 | |
| Straight line | 25 | 0.99 | |
| Straight line | 15 | 0.99 | |
| Straight line | 10 | 0.99 | |
| Straight line | 25 | 0.84 | |
| Straight line | 15 | 0.82 | |
| Straight line | 10 | 0.81 | |
| Gradual turn | 25 | 0.99 | |
| Gradual turn | 15 | 0.99 | |
| Gradual turn | 10 | 0.99 | |
| Gradual turn | 25 | 0.79 | |
| Gradual turn | 15 | 0.75 | |
| Gradual turn | 10 | 0.74 | |
| Sharp turn | 25 | 0.92 | |
| Sharp turn | 15 | 0.89 | |
| Sharp turn | 10 | 0.81 |
Disclaimer/Publisher’s Note: The statements, opinions and data contained in all publications are solely those of the individual author(s) and contributor(s) and not of MDPI and/or the editor(s). MDPI and/or the editor(s) disclaim responsibility for any injury to people or property resulting from any ideas, methods, instructions or products referred to in the content. |
© 2024 by the authors. Licensee MDPI, Basel, Switzerland. This article is an open access article distributed under the terms and conditions of the Creative Commons Attribution (CC BY) license (https://creativecommons.org/licenses/by/4.0/).
Share and Cite
Aubray, J.; Nicol, F. Polynomial Regression on Lie Groups and Application to SE(3). Entropy 2024, 26, 825. https://doi.org/10.3390/e26100825
Aubray J, Nicol F. Polynomial Regression on Lie Groups and Application to SE(3). Entropy. 2024; 26(10):825. https://doi.org/10.3390/e26100825
Chicago/Turabian StyleAubray, Johan, and Florence Nicol. 2024. "Polynomial Regression on Lie Groups and Application to SE(3)" Entropy 26, no. 10: 825. https://doi.org/10.3390/e26100825
APA StyleAubray, J., & Nicol, F. (2024). Polynomial Regression on Lie Groups and Application to SE(3). Entropy, 26(10), 825. https://doi.org/10.3390/e26100825




