Abstract
In this work, a lattice Boltzmann method (LBM) for studying microchannel gas flow is developed in the multi-flow regime. In the LBM, by comparing previous studies’ results on effective viscosity in multi-flow regimes, the values of the rarefaction factor applicable to multi-flow regions were determined, and the relationship between relaxation time and Kn number with the rarefaction factor is given. The Kn number is introduced into the second-order slip boundary condition together with the combined bounce-back/specular-reflection (CBBSR) scheme to capture the gas flow in the multi-flow regime. Sensitivity analysis of the dimensionless flow rate to adjustable parameters using the Taguchi method was carried out, and the values of adjustable parameters were determined based on the results of the sensitivity analysis. The results show that the dimensionless flow rate is more sensitive to j than h. Numerical simulations of Poiseuille flow and pulsating flow in a microchannel with second-order slip boundary conditions are carried out to validate the method. The results show that the velocity profile and dimensionless flow rate simulated by the present numerical simulation method in this work are found in the multi-flow regime, and the phenomenon of annular velocity profile in the microchannel is reflected in the phases.
1. Introduction
Over the last few decades, microchannel gas flow research has greatly promoted scientific and technological progress such as the micro-electro-mechanical system (MEMS), pharmaceuticals, chemistry, semiconductor materials, biology, microfluidics, and aerospace [1,2,3,4,5,6,7,8]. Microchannel gas flow can be studied with experimental and numerical simulation methods. Due to the microchannel width from micrometers to nanometers, it is generally difficult to use experimental methods. The numerical simulation method is an alternative and cost-effective way.
In the numerical simulation method, the characteristic length of the microchannel is usually on the same order of magnitude as the gas mean free path. Therefore, the microchannel gas flow can be expressed by the Knudsen number (Kn), Kn = λ/H, where λ is the gas mean free path and H is the characteristic length of the flow domain. A well-accepted classification of gas flow by Kn as follows [3,9,10] the continuum flow regime (Kn ≤ 0.001), slip flow regime (0.001 < Kn ≤ 0.1), transition flow regime (0.1 < Kn ≤ 10), and free molecular flow regime (Kn > 10). In the continuum flow regime, the continuum hypothesis holds, and the gas flow satisfies the Navier–Stokes equation. In the slip flow regime, the continuum hypothesis is basically valid, and the Navier–Stokes equation, which considers slip boundary condition, is regarded as a feasible method [11,12,13,14,15]. In the transition flow, it is accepted that the conventional Navier–Stokes equations are invalid because the continuum and thermodynamic equilibrium assumptions begin to break down and the rarefaction effects dominate the flow [3,16,17]. Theoretically, microchannel gas flow in the transition flow regime can be numerically simulated by the Direct Simulation Monte Carlo (DSMC) method [18]. In the DSMC method, the number of particles distributed in the field is directly related to the number of molecules. It usually suffers from statistical noise and very expensive computational costs [17,19,20,21]. In the free molecular flow regime, the Molecular Dynamics (MD) method is usually used [22]. However, MD cannot reach scales beyond a few tens of nanometers, and the coupling between MD and fluid models must necessarily proceed through a huge gap in space and time scales [22,23,24].
The above numerical simulation methods have their limitations in multi-flow regimes. Based on the Boltzmann equation, the mesoscopic lattice Boltzmann method (LBM) has been created. The LBM has a strong physical basis, and it simulates the flow of gases by imitating the basic behavior of a gas. Molecules move forward and are scattered as they collide with one another. Therefore, it is well-accepted that the LBM can be used for gas flow in multi-flow regimes [25,26,27,28,29].
In the beginning, the standard LBM cannot simulate the microchannel gas flow in the transition flow regime. The failure can be attributed to its insufficient capability for capturing the Knudsen layer (KL) and the kinetic boundary layer near solid surfaces [20,28], or in other words, it is necessary to determine suitable relaxation times and boundary conditions in the LBM for transition flow regime.
The relaxation time is the key to capturing KL, as it determines the gas–solid interaction [28]. Since the relaxation time and the effective viscosity are interrelated [30], some expressions of effective viscosity have been proposed [13,31,32,33,34]. For example, Lilley and Sader [35] investigated gas flow in the Knudsen layer for a small Kn value and presented an approximation, μ0(y) = μ0y1 − δ/Cδ, where μ0 is the bulk dynamic viscosity, δ and C are the parameters, and y is the distance from the solid surface. Guo et al. [28] presented an equation between two parallel plates and considered wall distance, μe = μ0[Ψ(y/λ) + Ψ((H − y)/λ)]/2, where y is the distance from the wall. Beskok and Karniadakis [13] proposed another correction form μe = μ0/(1 + rKn), which suggested a Knudsen dependence of the rarefaction factor r, and Vasilis et al. [20] confirmed this expression with the DSMC method. The results show that the viscosity is not constant with Kn and changes by r within the transition regime. In the previous studies, the value of the factor r is not yet accurate, and the relationship between relaxation time and Kn has not been clear.
The boundary condition is the key to accurately capturing wall slip phenomena for rarefied gas flow. At present, Succi [24] proposed a combined bounce-back/specular-reflection (CBBSR) scheme. Tang et al. [36] proposed the Discrete Maxwellian (DM) scheme. Guo et al. [28] proposed a generalized CBBSR model for the MRT-LBE. Some independent studies have proposed the high-accuracy generalized second-order slip boundary condition with the LBM [17,19,28,37]. But, in previous studies, the problem of multi-flow regime boundary conditions has not been solved.
In this work, we intend to study microchannel gas flows in a multi-flow regime based on the LBM. According to previous studies, relaxation time and an appropriate slip boundary condition play important roles in the LBM. The rest of this paper is organized as follows. The LBM is given in Section 2, including the lattice Boltzmann equation, the relationship between relaxation time and Kn, and the boundary condition, considering Kn and key parameters. The numerical results are given in Section 3, including sensitivity analysis, Poiseuille flow, and pulsating flow in the microchannel. The conclusions are given in Section 4.
2. Multi-Flow Regime Based on the LBM
2.1. Basic Lattice Boltzmann Equation
The Boltzmann equation is derived from the kinetic theory of gases [25], in which the particle distribution function is the most fundamental. The particle distribution function includes space position x, time t, and discrete particle velocity ξi. The discrete Boltzmann equation is expressed as:
where Fi is the forcing term, Ωi(x,t) is the discrete collision operator, and Δt is the step size in time. The discrete collision operator can be expressed by the BGK model as [26]:
where fieq is the discrete equilibrium particle distribution function and τ is the relaxation time. The D2Q9 discrete velocity model [19] is mostly two-dimensional, and it is expressed as:
where Δx is the lattice spacing and wi is the weight. In the LBM, the equilibrium distribution function is given by [19]:
where , and u is the gas velocity. The momentum is expressed as:
The discrete force is given by [28]:
where I is the unity matrix.
2.2. The Relationship between Relaxation Time and Kn
Relaxation time primarily influences how quickly gas particles transition from collision to equilibrium. Kn represents the rarefaction degree of gas particles, which affects the collision to equilibrium process, and Kn inevitably also affects the relaxation time. According to the kinetic theory of gases, the relationship between gas dynamic viscosity and the gas mean free path can be expressed as [21]:
where λ is the gas mean free path, μ is gas dynamic viscosity, and R is the gas constant.
In the LBM, the relationship between gas dynamic viscosity and relaxation time can be expressed as:
Combining Equations (8) and (9), the relaxation time and the gas mean free path can be expressed as:
In the LBM, the relationship between the lattice spacing and the step size in time can be expressed as:
where χ is the discrete model constant, whose value mainly depends on the discrete velocity model. Since the discrete velocity model used in this article is D2Q9, the discrete model constant value is 3 [38].
The Kn can be expressed as:
where H is the characteristic length. Substitute Equations (11) and (12) into Equation (10) to obtain the general relationship between relaxation time and Kn, which can be expressed as:
The KL thickness is related to Kn. For the continuous flow regime and slip flow regime with Kn < 0.1, the velocity distribution can be predicted by Equation (13). However, in the transition flow regime with 0.1 < Kn ≤ 10, the KL thickness is relatively thick, and the collision frequency between gas particles in this regime is significantly reduced. The velocity distribution cannot be accurately expressed by Equation (13).
To accurately predict the velocity distribution in the continuous flow regime, slip flow regime, and transition flow regime, it is necessary to reestablish the relationship between the gas dynamic viscosity and Kn, which reflects the influence of the flow regime on the gas dynamic viscosity. In order to achieve the above purpose, the gas dynamic viscosity is modified by introducing a correction function. The correction function with Kn as the variable is also called the Bosanquet-type correction function [13,20]. The Bosanquet-type correction function can be expressed as:
where r is the rarefaction factor and μe is the corrected gas dynamic viscosity, i.e., the effective dynamic viscosity.
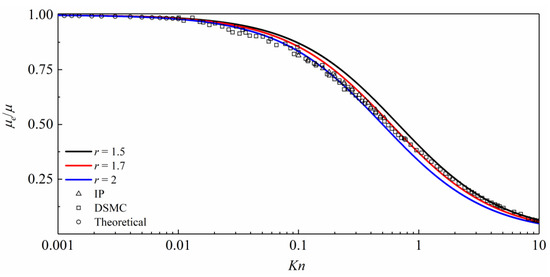
The variation of dimensionless gas dynamic viscosity with Kn is shown in Figure 1, and the rarefied gas coefficient is taken as 2, 1.7, and 1.5. The Direct Simulation Monte Carlo (DSMC) method is mainly used in the transitional flow regime and can also be used in the slip flow regime [20], the Information Preservation (IP) method is mainly used in the transitional flow regime [39], and the theoretical methods based on the molecular free path is mainly used in the continuous flow regime and slip flow regime [30]; the above three methods are compared in Figure 1.
Figure 1.
Dimensionless effective viscosity with Kn. The black line, the red line and the blue line are rarefied gas coefficient of 1.5 and 1.7 and 2, respectively. Triangle is the IP method by Roohi and Darbbandi [39], square is the DSMC method by Michalis et al. [20], and circle is the theoretical method by Stops [30].
As can be seen in Figure 1, Kn ≥ 2, and the dimensionless gas effective viscosity is very close to the DSMC when the rarefaction factor is 1.5. For 0.3 < Kn ≤ 2, the dimensionless gas effective viscosity is very close to the DSMC and the IP when the rarefaction factor is 1.7. For 0.01 < Kn ≤ 0.3, the dimensionless gas effective viscosity is very close to the theoretical method, the DSMC method, and the IP method when the rarefaction factor is 2. For Kn ≤ 0.01, due to the macroscopic flow of the gas, the influence of the continuous flow regime on the rarefaction factor can no longer be considered.
Based on the above comparison and analysis, when simulating the multi-flow regime with the LBM, the value of the rarefaction factor in Equation (14) is taken as follows:
Substituting Equation (14) into Equation (9) and combining with Equations (8), (11), and (12), the relationship between relaxation time and Kn can be finally expressed as:
2.3. Boundary Condition Considering Kn and Key Parameters
In previous studies, for a slip flow regime with Kn ≤ 0.1, although the influence of KL on gas particle velocity distribution already exists due to the KL thickness being thinner, if an appropriate slip boundary condition is given, a macroscopic Navier–Stokes model can be used for numerical simulation. But, for the transition flow regime with 0.1 < Kn ≤ 10, the KL thickness is thicker, and the gas flow is mainly dominated by the rarefaction effect. The LBM can be used for numerical simulation, but the corresponding slip boundary condition needs to be reestablished. The commonly used slip boundary condition is the second-order slip boundary condition. The second-order slip boundary condition can be expressed as [17]:
where us is the slip velocity, n is the normal unit vector, A1 and A2 are first-order and second-order slip coefficients, and λe is the effective molecular mean free path. The effective molecular mean free path obtained from the dynamic viscosity correction function can be expressed as:
Loyalka [40] modified the A1 using an approximation method in the kinetic theory. The modified A1 is widely applied in second-order slip boundary conditions [17,31,37]. The modified A1 can be expressed as:
where σv is the tangential momentum accommodation coefficient. To compare with other studies’ results, the value of σv is consistent with other studies [17,28,41], σv = 1.
In Equation (17), when A2 approaches 0, the second-order slip boundary condition changes to the first-order slip boundary condition, which can be used to predict the velocity distribution in the 0.001 ≤ Kn < 0.1. When A2 approaches a fixed value, it can be used to predict the velocity distribution in the 0.1 ≤ Kn < 10. Therefore, A2 can be constructed by taking different values under different conditions.
Currently, A2 is generally a constant or a function of the A1 in Table 1. Using a fixed value can predict the velocity distribution in the 0.1 ≤ Kn < 10 reasonably well, but it can produce significant errors in predicting the velocity distribution in the 0.001 ≤ Kn < 0.1. This is mainly because in this Kn range, relaxation time, dynamic viscosity, and molecular mean free path all vary with Kn, but the boundary condition does not reflect the influence of Kn. Therefore, the influence of Kn should be considered when constructing A2.
Table 1.
Values of slip coefficients proposed in the literature.
Based on the idea of different values of the A2 under different conditions and the requirement of considering the change in Kn when constructing the second-order slip coefficient, A2 is a power function of Kn:
where j and h are adjustable parameters. In Section 3 of this work, we will analyze the sensitivity of the numerical results to the adjustable parameters j and h and ultimately determine the adjustable parameter values. In this work, the second-order slip boundary condition can be expressed as:
In the LBM, the application of second-order slip boundary conditions requires the use of a discrete treatment scheme, which reflects wall slip. Currently, there are mainly two types of discrete schemes for slip boundary conditions. One is the Discrete Maxwellian scheme (DM) [21] and the other is the combined bounce-back/specular-reflection scheme (CBBSR) [24]. Guo et al. [28] pointed out that these two schemes are identical in a parametric range, and both contain some discrete effects. This work will adopt the CBBSR. The CBBSR can be expressed as:
where xw is the wall lattice, fiSR(xw,t) is the distribution function of the specular-reflection particles at the wall lattice, fiBB(xw,t) is the distribution function of the bounce-back particles at the wall lattice, and rb is the bounce-back proportion parameter. The parameter rb can be expressed as [17]:
3. Numerical Results and Analysis
3.1. Sensitivity Analysis of Adjustable Parameters
In the second-order slip coefficient Equation (20), there are two adjustable parameters, j and h. The value of these two adjustable parameters will affect the accuracy of the numerical results in a multi-flow regime. The Taguchi method [49] is used to determine the sensitivity of parameters. Based on the sensitivity analysis results of the Taguchi method, the value of the adjustable parameters can be determined by comparing the dimensionless flow rate with the linearized Boltzmann equation solutions.
Firstly, different combinations of adjustable parameters are established according to the value of the adjustable parameters in Table 2, each called a level. Secondly, monitor points are selected within the range of Kn studied in this work and give a dimensionless flow rate for the linearized Boltzmann equation solutions in Table 3. Thirdly, the average difference of the dimensionless flow rate in monitor points between this work and the linearized BE solutions at three levels is calculated, and the range value between the maximum and the minimum average difference for three levels of adjustable parameters is calculated in Table 4 and Table 5; the greater the range value, the greater the sensitivity of the dimensionless flow rate to corresponding adjustable parameter. Finally, according to the sensitivity result, the adjustable parameters that have a greater influence on the dimensionless flow rate are determined first, and then the adjustable parameters that have less influence on the dimensionless flow rate are determined last.
Table 2.
The level of the adjustable parameter.
Table 3.
Correspondence between J and Kn at different monitor points with Q.
Table 4.
Average difference and range under P1, P2, and P3.
Table 5.
Average difference and range under P4, P5, and P6.
The dimensionless flow rate obtained from the second-order slip boundary conditions in Section 2.3 can be expressed as:
In this work, the Kn is used as the characteristic parameter, while the linear Boltzmann equation solution is given through the inverse Kn, the relationship between inverse Kn and Kn can be expressed as [50]:
where J is the inverse Kn.
At all six monitor points, the range value of j is greater than h, indicating that Q is more sensitive to j than h.
In determining the more sensitive j, the less sensitive h is tentatively set as a median value of −0.9 at the h level in Table 2. Figure 2 shows that when the adjustable parameter j is taken as 0.1, 0.4, and 0.7, a comparison of the Q of the Poiseuille flow with the linearized BE solutions is made.
Figure 2.
Comparison between the simulated dimensionless flow rate with different j and linearized BE solutions by Cercignani et al. [50].
In Figure 2, the greater the value of the adjustable parameter j, the greater the Q of the Poiseuille flow, especially in 0.1 < Kn ≤ 10. When the adjustable parameter j value is 0.4, the dimensionless flow rate simulated from the second-order slip boundary condition is closest to the linearized BE solutions. Therefore, j can be given as 0.4.
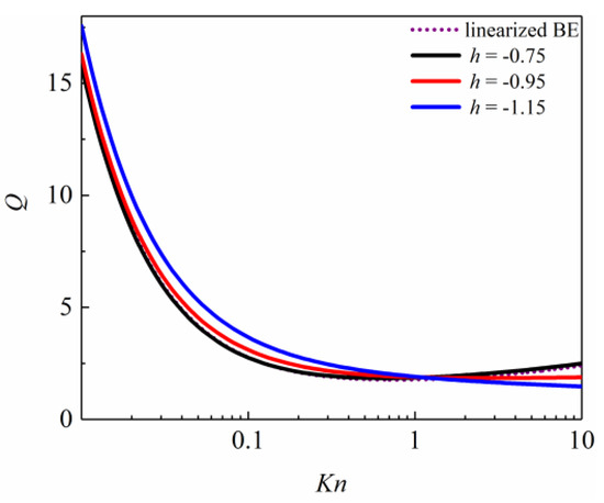
Figure 3 gives j as 0.4, and h is taken as −0.75, 0.95, and −1.15, and a comparison of the Q of the Poiseuille flow with the linearized BE solutions is made.
Figure 3.
Comparison between the simulated dimensionless flow rate with different h and linearized BE solutions by Cercignani et al. [50].
In Figure 3, when the adjustable parameter h changes, the Q of the Poiseuille flow shows different variations over different Kn numbers; the greater the value of the adjustable parameter h, the smaller the Q of the Poiseuille flow in 0.001 < Kn ≤ 1 and the greater the Q of the Poiseuille flow in 1 < Kn ≤ 10. When the adjustable parameter h value is −0.75, the dimensionless flow rate simulated from the second-order slip boundary condition is closest to the linearized BE solutions. Therefore, the adjustable parameter h can be given as −0.75.
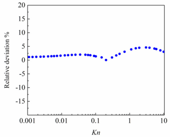
Figure 4 gives the variation of the relative deviation of the simulated dimensionless flow rate from the linearized BE solutions with Kn when j and h are taken as 0.4 and −0.75. The maximum relative deviation is within 5%, which indicates that the adjustable parameter values are accurate.
Figure 4.
Relative deviation with Kn.
3.2. Poiseuille Flow in Microchannel
In this work, 0.001 ≤ Kn ≤ 10 includes the continuum flow regime, slip flow regime, and transition flow regime. The following is a comparison and verification analysis of numerical results with the Poiseuille flow in different Kn.
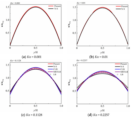
In previous studies, different methods were used in different flow regimes. The applicable range of the N-S method is Kn < 0.1. In order to compare with other simulation methods, the LB method is often used as a benchmark in 0.1 < Kn ≤ 10. In addition, in order to show the advantages of the present numerical simulation method in this work, the results of some methods applicable to different Kn are also given in Figure 5.

Figure 5.
Velocity profile of Poiseuille flow in a microchannel. From figure (a–h) are velocity profile with different Kn. (a,b) N-S by Bahukudumbi and Beskok [47]. (c–e) N-S by Hadjiconstantinou [42], CLB by Liu and Feng [17], MRTLB by Guo et al. [28], LB by Ohwada [51]. (f–h) CLB by Liu and Feng [17], MRTLB by Guo et al. [28], FMLB by Zhou and Zhong [41], LB by Ohwada [51].
The conventional Navier–Stokes (N-S) method using a first-order slip boundary condition with A1 = Kn/(1 − bKn) [12] and a second-order slip boundary condition with A1 = 1.11 and A2 = 0.61 [42], the Central Lattice Boltzmann (CLB) method using A1 = 0.8183 and A2 = 0.55 [17], the Multiple Relaxation Times Lattice Boltzmann (MRTLB) method using A1 = 0.8183 and A2 = 0.65 [28], the Filter Matrix Lattice Boltzmann (FMLB) method using A1 = 0.8183 and A2 = 0.8 [41], and the solution of the linearized Boltzmann (LB) equation [51] are presented in Figure 5 for comparison.
The N-S method is combined with the second-order slip boundary condition, extending the N-S method from the continuum flow regime to the slip flow regime. In the CLB method, the collision process is performed in terms of central moments in ascending order in a moving reference frame, beginning with the lowest and ending with the highest. The MRTLB method has the potential to capture the Knudsen layer by employing the geometry-dependent relaxation time. The FMLB proposes a modified second-order slip boundary condition to give a satisfactory result of the gas flow for the high Kn microchannel.
As shown in Figure 5, the non-dimensional velocity is defined by u/uavg, where . y/H is the distance of the wall. In Figure 5a,b, the velocity profile simulated by the present numerical simulation method is basically consistent with the N-S method.
As shown in Figure 5c–e, the velocity profile simulated by the present numerical simulation method in this work is very close to those obtained using the CLB and MRTLB, and is more consistent with the LB, which is often used as a benchmark for other methods. In addition, it can be seen in Figure 5c–e that the results obtained using the N-S have significantly deviated from those obtained using other methods, as Kn has exceeded the range for the N-S method.
As shown in Figure 5f–h, the velocity profile simulated by the present numerical simulation method in this work is very close to those obtained using the FMLB and LB. In Figure 5g,h, Kn exceeded the range of Kn (0.1~5) applicable to the CLB and MRTLB, so the simulated results obtained using the CLB and MRTLB have significantly deviated from the FMLB, the LB, and the present numerical simulation method proposed in this work.
In order to further verify the accuracy of the numerical simulation method in this work and its advantages compared to other models, Figure 6 shows the variation of the dimensionless flow rate in the Poiseuille flow with Kn obtained using the present numerical simulation method in this work, as well as the experimental result [52], and the comparison between the N-S [42] method and the MRTLB [28] method. The experimental results are of a rectangular cross-section, and since the long side of the rectangle is much larger than the short side, it can be considered a 2D flow [19,28].
Figure 6.
Dimensionless flow rate of Poiseuille flow in a microchannel. Chain line is the N-S method by Hadjiconstantinou [42], dotted line is the MRTLB method by Guo et al. [28], and circle is the Experimental method by Dong [52].
As can be seen in Figure 6, the dimensionless flow rate obtained using the present numerical simulation method in this work agrees with the experimental result in 0.001 ≤ Kn ≤ 10, the N-S in Kn ≤ 0.3, and the MRTLB in 0.05 ≤ Kn ≤ 10. In Figure 6, it can also be seen that when Kn is less than 0.3, the dimensionless flow rate obtained using the N-S is in good agreement with the experimental result, but when Kn is greater than 0.3, the dimensionless flow rate obtained using the N-S significantly deviates from the experimental result, the MRTLB method, and the present method. The dimensionless flow rate obtained using the MRTLB is in good agreement with the experimental results in 0.05 ≤ Kn ≤ 10; however, when Kn is less than 0.05, there will be a deviation between the dimensionless flow rate obtained using the MRTLB, the N-S, the present method, and the experimental results. The second-order slip boundary condition adopted by the MRTLB and is the second-order slip coefficient of a fixed value, and the slip velocity distribution obtained by MRTLB would be higher than the experiment in Kn < 0.05, Therefore, there is a deviation in the experimental results of the dimensionless flow rate comparison.
3.3. Pulsating Flow in a Microchannel
At present, some studies show that pulsating flow in microchannels can enhance heat transfer [53,54,55]. The results of pulsating flow showed that forced pulsations could enhance average heat transfer. The enhancement of heat transfer depends on the flow patterns. The amplitude and frequency of pulsations could produce different flow phenomena, which ultimately affect the effect of heat transfer. However, there are currently few or no studies on the pulsating flow in a microchannel with a multi-flow regime. The pulsating flow patterns are still unclear with the multi-flow regime. In order to verify that the present numerical simulation method in this work can be used for the pulsatile flow in the microchannel, the following is a comparison and verification analysis of numerical results with experimental results [56].
One of the dimensionless numbers commonly used in pulsating flow is the Womersley number. It was first stated in the research of biomechanics and pulsating blood flow. It represents the relationship between the frequency of pulsating flow and the viscous effect. The Womersley number, which is expressed by α (or Wo), is obtained as follows [53]:
where ω is the angular frequency of the vibration and ν is the kinematic viscosity. When the α is greater than 1, at certain specific phases of the pulsating flow, the velocity near the microchannel wall area will be greater than the velocity in the channel center, and the velocity profile of the microchannel will be annular-shaped. This annular-shaped velocity profile of the pulsating flow is called the annular effect [57,58].
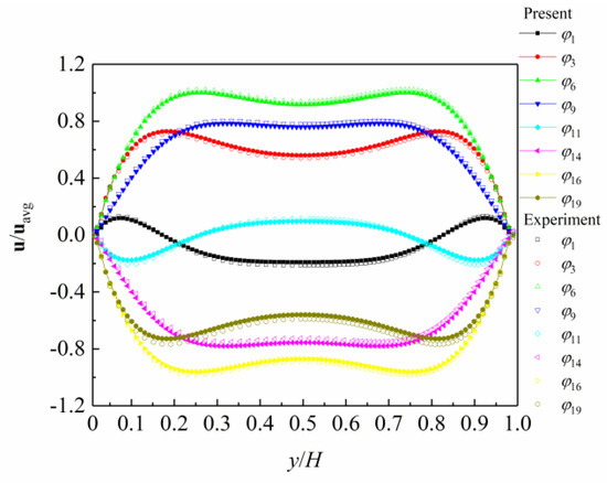
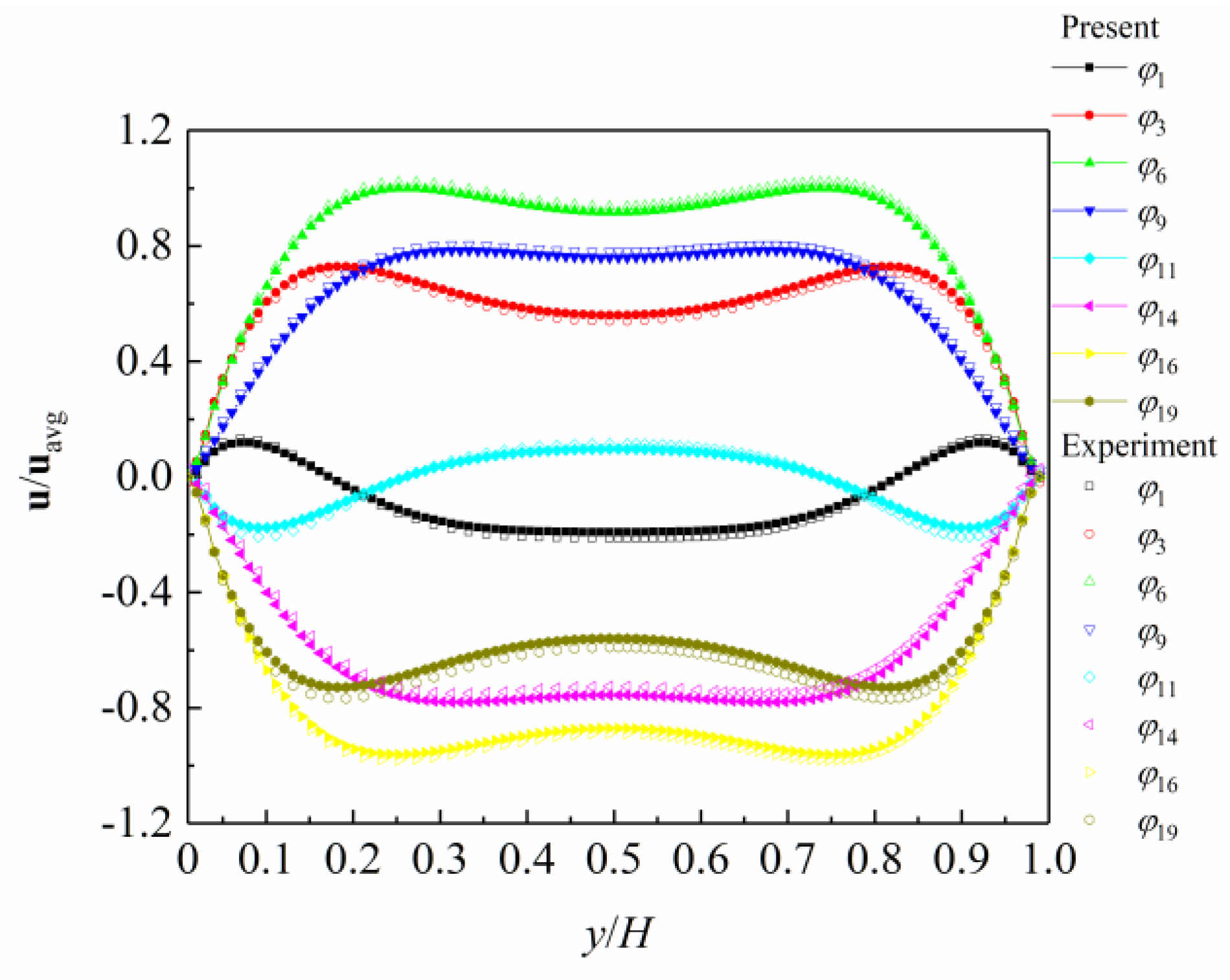
Shi and Jaworski [56] used the Planar Laser Induced Fluorescence (PLIF) and Particle Image Velocimetry (PIV) methods to measure the velocity profile of sinusoidal pulsating flow in a microchannel, obtaining the velocity profile at 20 phases. Figure 7 shows a comparison between the velocity profile of different phases obtained by the model in this work and the experimental results when the microchannel inlet velocity is a sinusoidal pulsating flow with a = 8. The geometric parameters and gas parameters of the pulsating flow are consistent with the experiment work.
Figure 7.
Velocity profile of pulsating flow in a microchannel.
As shown in Figure 7, the velocity profile of different phases obtained by numerical simulation is in good agreement with the experimental result, and the phenomenon of the annular velocity profile in the microchannel is reflected in the phases of φ1 and φ11, as well as in the phases of φ6 and φ16, which accurately simulate the annular effect of pulsating flow in the microchannel.
4. Conclusions
This work used a numerical simulation method for gas flow based on the lattice Boltzmann equation, which is applicable to the multi-flow regime. The results are summarized as follows.
- 1.
- The relationship between the modified relaxation time and Kn was determined. The Bosanquet-type correction function is employed to capture the rarefaction effects, and the values of the rarefaction factor in the correction function were determined to be 2 (0.001 < Kn ≤ 0.3), 1.7 (0.3 < Kn ≤ 2), and 1.5 (2 < Kn ≤ 10), respectively;
- 2.
- The relaxation time, the dynamic viscosity, and the molecular mean free path all vary with Kn. In this work, we innovatively introduce the Kn number into the second-order slip boundary condition, as a power function is established, and the CBBSR boundary scheme is employed, which can obtain multi-flow regime results in microchannels;
- 3.
- The sensitivity analysis of the adjustable parameters of the second-order slip coefficient was carried out, and the results show that Q is more sensitive to j than h. The values of the adjustable parameters were determined to be j = 0.4 and h = −0.75;
- 4.
- The numerical simulation method was validated from the aspects of the Poiseuille flow velocity profile and dimensionless flow rate in the microchannel, as well as the annular effect of the pulsating flow velocity profile in the microchannel. The results show the velocity profile and the dimensionless flow rate simulated by the present numerical simulation method in this work, and the phenomenon of the annular velocity profile in the microchannel is reflected in the phases of φ1 and φ11, as well as in the phases of φ6 and φ16;
- 5.
- For potential future research, the present numerical simulation method can also be used for the pulsating flow in the multi-flow regime. For pulsating flow, the effect of wall slip velocity on the annular effect, as well as the difference between mesoscopic and macroscopic, can be further investigated.
Author Contributions
Conceptualization, X.L.; Methodology, X.L.; Formal analysis, X.L.; Investigation, M.L.; Resources, Z.N.; Writing—original draft, X.L.; Project administration, M.L.; Funding acquisition, Z.N. All authors have read and agreed to the published version of the manuscript.
Funding
This study was funded by the National Natural Science Foundation of China (grant Nos. 52276026 and 52006136), the Beijing Natural Science Foundation (grant No. 3182030), and the National Key Research and Development Program (grant No. 2017YFB0103401).
Institutional Review Board Statement
Not applicable.
Data Availability Statement
Data are contained within the article.
Conflicts of Interest
The authors declare no conflict of interest.
References
- Karniadakis, G.; Beskok, A.; Gad-El-Hak, M. Micro Flows: Fundamentals and Simulation. Appl. Mech. Rev. 2002, 55, B76. [Google Scholar] [CrossRef]
- Mohith, S.; Karanth, P.N.; Kulkarni, S.M. Recent trends in mechanical micropumps and their applications: A review. Mechatronics 2019, 60, 34–55. [Google Scholar] [CrossRef]
- Barber, R.W.; Emerson, D.R. Challenges in Modeling Gas-[Phase Flow in Microchannels: From Slip to Transition. Heat. Transf. Eng. 2006, 27, 3–12. [Google Scholar] [CrossRef]
- Gao, J.; Hu, Z.; Yang, Q.; Liang, X.; Wu, H. Fluid flow and heat transfer in microchannel heat sinks: Modelling review and recent progress. Therm. Sci. Eng. Prog. 2022, 29, 101203. [Google Scholar] [CrossRef]
- Jiao, Y.; He, Y.; Jiao, F. Two-dimensional Simulation of Motion of Red Blood Cells with Deterministic Lateral Displacement Devices. Micromachines 2019, 10, 393. [Google Scholar] [CrossRef] [PubMed]
- Lim, A.E.; Goh, S. Effect of Microchannel Diameter on Electroosmotic Flow Hysteresis. Energies 2023, 16, 2154. [Google Scholar] [CrossRef]
- Lim, C.Y.; Lim, A.E.; Lam, Y. pH Change in Electroosmotic Flow Hysteresis. Anal. Chem. 2017, 89, 9394–9399. [Google Scholar] [CrossRef]
- Wang, W.; Zhao, S.; Shao, T.; Zhang, M.; Jin, Y.; Cheng, Y. Numerical study of mixing behavior with chemical reactions in micro-channels by a lattice Boltzmann method. Chem. Eng. Sci. 2012, 84, 148–154. [Google Scholar] [CrossRef]
- Gad-El-Hak, M. The Fluid Mechanics of Microdevices—The Freeman Scholar Lecture. J. Fluids Eng. 1999, 121, 5–33. [Google Scholar] [CrossRef]
- Schaaf, S.A.; Chambre, P.L. Flow of Rarefied Gases; Princeton University Press: Princeton, NJ, USA, 1958. [Google Scholar]
- Maxwell, J.C. On stresses in rarefied gases arising from inequalities of temperature. Proc. R. Soc. Lond. 1879, 304–308. [Google Scholar]
- Bahukudumbi, P. A unified engineering model for steady and quasi-steady shear-driven gas microflows. Microscale Thermophys. Eng. 2003, 7, 291–315. [Google Scholar]
- Beskok, A. Report: A Model for Flows in Channels, Pipes, and Ducts at Micro and Nano Scales. Microscale Thermophys. Eng. 1999, 3, 43–77. [Google Scholar]
- Agrawal, A.; Prabhu, S.V. Deduction of slip coefficient in slip and transition regimes from existing cylindrical Couette flow data. Exp. Therm. Fluid. Sci. 2008, 32, 991–996. [Google Scholar] [CrossRef]
- Dongari, N.; Sambasivam, R.; Durst, F. Extended Navier-Stokes Equations and Treatments of MicroChannel Gas Flows. J. Fluid. Sci. Technol. 2009, 4, 454–467. [Google Scholar] [CrossRef]
- Zhang, W.-M.; Meng, G.; Wei, X. A review on slip models for gas microflows. Microfluid. Nanofluidics 2012, 13, 845–882. [Google Scholar]
- Liu, Q.; Feng, X.-B. Numerical Modelling of Microchannel Gas Flows in the Transition Flow Regime Using the Cascaded Lattice Boltzmann Method. Entropy 2020, 22, 41. [Google Scholar] [CrossRef] [PubMed]
- Bird, G.A. Direct Simulation and the Boltzmann Equation. Phys. Fluids 1970, 13, 2676–2681. [Google Scholar] [CrossRef]
- Zhao, Y.; Liu, X.; Zhang, L.; Shan, B. A basic model of unconventional gas microscale flow based on the lattice Boltzmann method. Pet. Explor. Dev. 2021, 48, 179–189. [Google Scholar]
- Michalis, V.K.; Kalarakis, A.N.; Skouras, E.D.; Burganos, V.N. Rarefaction effects on gas viscosity in the Knudsen transition regime. Microfluid. Nanofluid. 2010, 9, 847–853. [Google Scholar]
- Tang, G.H.; Tao, W.Q.; He, Y.L. Lattice boltzmann method for simulating gas flow in microchannels. Int. J. Mod. Phys. C 2004, 15, 335–347. [Google Scholar] [CrossRef]
- Volkov, I.; Cieplak, M.; Koplik, J.; Banavar, J.R. Molecular dynamics simulations of crystallization of hard spheres. Phys. Rev. E 2002, 66, 061401. [Google Scholar] [CrossRef] [PubMed]
- Brela, M.Z.; Didovets, Y.; Boczar, M.; Sato, H.; Nakajima, T.; Wójcik, M.J. The hydrogen bond interaction dynamics in polyvinylphenol: Studied by Born-Oppenheimer molecular dynamics. Chem. Phys. Lett. 2022, 805, 139976. [Google Scholar] [CrossRef]
- Succi, S. Mesoscopic modeling of slip motion at fluid-solid interfaces with heterogeneous catalysis. Phys. Rev. Lett. 2002, 89, 064502. [Google Scholar] [PubMed]
- Loeb, L. The Kinetic Theory of Gases; McGraw-Hill: New York, NY, USA, 1927. [Google Scholar]
- Thompson, P.A.; Beavers, G.S. Compressible Fluid Dynamics. J. Appl. Mech. 1972, 39, 366. [Google Scholar] [CrossRef]
- Cercignani, C.; Dorfman, R. Mathematical Methods in Kinetic Theory. J. Appl. Mech. 1970, 37, 249. [Google Scholar] [CrossRef]
- Guo, Z.; Zheng, C.; Shi, B. Lattice Boltzmann equation with multiple effective relaxation times for gaseous microscale flow. Phys. Rev. E Stat. Nonlinear Soft Matter Phys. 2008, 77, 036707. [Google Scholar]
- Fukui, S.; Kaneko, R. Analysis of Ultra-Thin Gas Film Lubrication Based on Linearized Boltzmann Equation: First Report—Derivation of a Generalized Lubrication Equation Including Thermal Creep Flow. J. Tribol. 1988, 110, 253. [Google Scholar] [CrossRef]
- Stops, D.W. The mean free path of gas molecules in the transition reacute regime. J. Phys. D Appl. Phys. 1970, 3, 685–696. [Google Scholar] [CrossRef]
- Guo, Z.; Zhao, T.S.; Shi, Y. Physical symmetry, spatial accuracy, and relaxation time of the lattice Boltzmann equation for microgas flows. J. Appl. Phys. 2006, 99, 074903. [Google Scholar]
- Kim, S.H.; Pitsch, H.; Boyd, I.D. Accuracy of higher-order lattice Boltzmann methods for microscale flows with finite Knudsen numbers. J. Comput. Phys. 2008, 227, 8655–8671. [Google Scholar]
- Yuhong, S.; Chan, W.K. Analytical modeling of rarefied Poiseuille flow in microchannels. J. Vac. Sci. Technol. A 2004, 22, 383–394. [Google Scholar] [CrossRef]
- Lockerby, D.; Gallis, M.; Reese, J. Capturing the Knudsen Layer in Continuum-Fluid Models of Nonequilibrium Gas Flows. AIAA J. 2005, 43, 1391–1393. [Google Scholar]
- Lilley, C.; Sader, J. Velocity profile in the Knudsen layer according to the Boltzmann equation. Proc. R. Soc. A 2008, 464, 2015–2035. [Google Scholar]
- Tang, G.H.; Tao, W.-Q.; He, Y.L. Thermal boundary condition for the thermal lattice Boltzmann equation. Phys. Rev. E Stat. Nonlinear Soft Matter Phys. 2005, 72, 016703. [Google Scholar]
- Li, Q.; He, Y.L.; Tang, G.H.; Tao, W.Q. Lattice Boltzmann modeling of microchannel flows in the transition flow regime. Microfluid. Nanofluidics 2011, 10, 607–618. [Google Scholar] [CrossRef]
- Lallemand, P.; Luo, L.-S. Theory of the lattice Boltzmann method: Dispersion, dissipation, isotropy, Galilean invariance, and stability. Phys. Rev. E 2000, 61, 6546–6562. [Google Scholar] [CrossRef] [PubMed]
- Roohi, E.; Darbandi, M. Extending the Navier–Stokes solutions to transition regime in two-dimensional micro- and nanochannel flows using information preservation scheme. Phys. Fluids 2009, 21, 082001. [Google Scholar] [CrossRef]
- Loyalka, S.K.; Petrellis, N.; Storvick, T.S. Some numerical results for the BGK model: Thermal creep and viscous slip problems with arbitrary accomodation at the surface. Phys. Fluids 1975, 18, 1094–1099. [Google Scholar]
- Zhuo, C.; Zhong, C. Filter-matrix lattice Boltzmann model for microchannel gas flows. Phys. Rev. E Stat. Nonlinear Soft Matter Phys. 2013, 88, 053311. [Google Scholar]
- Hadjiconstantinou, N.G. Comment on Cercignani’s second-order slip coefficient. Phys. Fluids 2003, 15, 2352–2354. [Google Scholar] [CrossRef]
- Hsia, Y.; Domoto, G. An Experimental Investigation of Molecular Rarefaction Effects in Gas Lubricated Bearings at Ultra-Low Clearances. J. Lubr. Tech. 1983, 105, 120–129. [Google Scholar] [CrossRef]
- Aubert, C.; Colin, S. High-Order Boundary Conditions for Gaseous Flows in Rectangular Microducts. Microscale Thermophys. Eng. 2001, 5, 41–54. [Google Scholar]
- Schamberg, R. The Fundamental Differential Equations and the Boundary Conditions for High Speed Slip-Flow, and Their Application to Several Specific Problems. Doctoral Dissertation, California Institute of Technology, Pasadena, CA, USA, 1947. [Google Scholar]
- Zhang, H.; Zhang, Z.; Zheng, Y.; Ye, H. Corrected second-order slip boundary condition for fluid flows in nanochannels. Phys. Rev. E Stat. Nonlin Soft Matter Phys. 2010, 81 Pt 2, 066303. [Google Scholar]
- Bahukudumbi, P.; Beskok, A. A phenomenological lubrication model for the entire Knudsen regime. J. Micromech. Microeng. 2003, 13, 873–884. [Google Scholar] [CrossRef]
- Deissler, R.G. An analysis of second-order slip flow and temperature-jump boundary conditions for rarefied gases. Int. J. Heat MassTransfer 1964, 7, 681–694. [Google Scholar] [CrossRef]
- Gray, C.T. Introduction to quality engineering: Designing quality into products and processes, G. Taguchi, Asian productivity organization, 1986. Qual. Reliab. Eng. Int. 1988, 4, 198. [Google Scholar] [CrossRef]
- Cercignani, C.; Lampis, M.; Lorenzani, S. Variational approach to gas flows in microchannels. Phys. Fluids 2004, 16, 3426–3437. [Google Scholar]
- Ohwada, T.; Sone, Y.; Aoki, K. Numerical analysis of the shear and thermal creep flows of a rarefied gas over a plane wall on the basis of the linearized Boltzmann equation for hard-sphere molecules. Phys. Fluids A Fluid Dyn. 1989, 1, 1588–1599. [Google Scholar] [CrossRef]
- Dong, W. Vacuum Flow of Gases through Channels with Circular, Annular, and Rectangular Cross Sections (Thesis); UCRL-3353; University of California: Berkeley, CA, USA, 1956. [Google Scholar]
- Ye, Q.; Zhang, Y.; Wei, J. A comprehensive review of pulsating flow on heat transfer enhancement. Appl. Therm. Eng. 2021, 196, 117275. [Google Scholar] [CrossRef]
- Zhang, D.; He, Z.; Guan, J.; Tang, S.; Shen, C. Heat transfer and flow visualization of pulsating heat pipe with silica nanofluid: An experimental study. Int. J. Heat Mass Transf. 2022, 183, 122100. [Google Scholar] [CrossRef]
- Slobodeniuk, M.; Bertossi, R.; Ayel, V.; Ravichandran, R.; Thyagarajan, K.; Romestant, C.; Bertin, Y. Experimental study of the flat plate pulsating heat pipe operation during dry-out and flow re-activation periods under microgravity conditions. Int. J. Multiph. Flow 2022, 147, 103888. [Google Scholar] [CrossRef]
- Shi, L.; Yu, Z.; Jaworski, A.J. Application of laser-based instrumentation for measurement of time-resolved temperature and velocity fields in the thermoacoustic system. Int. J. Therm. Sci. 2010, 49, 1688–1701. [Google Scholar] [CrossRef]
- Richardson, E.G.; Tyler, E. The transverse velocity gradient near the mouths of pipes in which an alternating or continuous flow of air is established. Proc. Phys. Soc. 1929, 42, 1–15. [Google Scholar] [CrossRef]
- Womersley, J.R. Method for the calculation of velocity, rate of flow and viscous drag in arteries when the pressure gradient is known. J. Physiol. 1955, 127, 553–563. [Google Scholar] [CrossRef]
Disclaimer/Publisher’s Note: The statements, opinions and data contained in all publications are solely those of the individual author(s) and contributor(s) and not of MDPI and/or the editor(s). MDPI and/or the editor(s) disclaim responsibility for any injury to people or property resulting from any ideas, methods, instructions or products referred to in the content. |
© 2024 by the authors. Licensee MDPI, Basel, Switzerland. This article is an open access article distributed under the terms and conditions of the Creative Commons Attribution (CC BY) license (https://creativecommons.org/licenses/by/4.0/).