Spatial and Temporal Hierarchy for Autonomous Navigation Using Active Inference in Minigrid Environment
Abstract
1. Introduction
- We present a system combining hierarchical active inference with world modelling for task-agnostic autonomous navigation.
- Our system uses pixel-based visual observations, which show promise for real-world scenarios.
- Our model learns the structure of the environment and its dynamic limitations in order to form an internal map of the full environment independently of its size, without requiring more computation as the environment scales up.
- Our system can plan long-term without worrying about look-ahead limitations.
- We evaluate the system in a mini-grid room maze environment [25], showing the efficiency of our method for exploration and goal-related tasks, compared against other reinforcement learning (RL) models and other baselines.
- We quantitatively and qualitatively assess our work, showing how our hierarchical active inference world model fares in accomplishing given tasks, how it resists aliasing, and how it learns the structure of the environment.
2. Related Work
3. Methods
3.1. World Model
3.2. Active Inference
3.3. Planning as Inference
3.4. A Hierarchical Active Inference Model
3.4.1. Egocentric Model
3.4.2. Allocentric Model
3.4.3. Cognitive Map
3.5. Navigation
3.6. Training
4. Results
- Imagine and reconstruct the environments the agent visited
- Create paths in complex environments
- Disambiguate visual aliases
- Use memory to navigate
4.1. Space Representation
4.2. Navigation
- C-BET [16], an RL algorithm combining model-based planning with uncertainty estimation for efficient exploration and decision-making.
- Random network distillation (RND) [58], integrates intrinsic curiosity-driven exploration to incentivise the agent’s visitation of novel states, meant to foster a deeper understanding of the environment.
- Curiosity [59], leverages information gain as an intrinsic reward signal, encouraging the agent to explore areas of uncertainty and novelty.
- Count-based exploration [60] uses a counting mechanism to track state visitations, guiding the agent toward less explored regions.
- Dreamerv3 [5] represents an advanced iteration of world models for RL, offering the potential to enhance navigation by predicting and simulating future trajectories for improved decision-making.
- A-star algorithm (Oracle) [61] is a path planning algorithm to which the full layout of the environment and its starting position is given to plan the ideal path to take between two points.
4.2.1. Exploration Behaviour
4.2.2. Preference Seeking Behaviour
4.3. Qualitative Assessments
5. Discussion
- The cognitive map provides a unified spatial representation and memorises location characteristics.
- The allocentric model creates discrete spatial representations.
- The egocentric model assesses policy plausibility, considering dynamic limitations.
Author Contributions
Funding
Data Availability Statement
Conflicts of Interest
Appendix A. Training Procedures
Appendix A.1. System Requirements
| Model | Training Time (h) | n∘ CPU | n∘ GPU | Used RAM (G) | Used Memory (G) | GPU Type |
|---|---|---|---|---|---|---|
| Ours egocentric | 32 | 4 | 1 | ? | 12 | GTX 980 |
| Ours allocentric | 95 | 2 | 1 | 2.5 | 20 | GTX 1080 |
| Dreamerv3 | 411 | 5 | 2 | 10 | 30 | GTX 1080 Ti |
| C-BET | 232 | 10 | 1 | 2.6 | 32 | GTX 980 |
| RND | 117 | 6 | 1 | 2.7 | 10 | GTX 980 |
| Curiosity | 90 | 6 | 1 | 3 | 10 | GTX 980 |
| Count | 141 | 6 | 1 | 2.7 | 11 | GTX 980 |
Appendix A.2. Dataset
Appendix A.3. Hyper-Parameters
| Layer | Neurons/Filters | Stride | |
|---|---|---|---|
| PositionalEncoder | Linear | 9 | |
| Posterior | Convolutional | 16 | 1 // (kernel:1) |
| Convolutional | 32 | 2 | |
| Convolutional | 64 | 2 | |
| Convolutional | 128 | 2 | |
| Linear | 2 × 32 | ||
| Likelihood | Concatenation | ||
| Linear | 256 × 4 × 4 | ||
| Upsample | |||
| Convolutional | 128 | 1 | |
| Upsample | |||
| Convolutional | 64 | 1 | |
| Upsample | |||
| Convolutional | 32 | 1 | |
| Upsample | |||
| Convolutional | 3 | 1 |


| Layer | Neurons/Filters | Stride | |
|---|---|---|---|
| Prior | Concatenation | ||
| LSTM | 256 | ||
| Linear | 2 × 32 | ||
| Posterior | Convolutional | 8 | 2 |
| Convolutional | 16 | 2 | |
| Convolutional | 32 | 2 | |
| Concatenation | |||
| Linear | 256 | ||
| Linear | 64 | ||
| Image_Likelihood | Linear | 256 | |
| Linear | 32 × 7 × 7 | ||
| Upsample | |||
| Convolutional | 16 | 1 | |
| Upsample | |||
| Convolutional | 8 | 1 | |
| Upsample | |||
| Convolutional | 3 | 1 | |
| Collision_Likelihood | Linear | 16 | |
| Linear | 8 | ||
| Linear | 1 |
Appendix A.4. Model Observations

References
- Schwartenbeck, P.; Passecker, J.; Hauser, T.U.; FitzGerald, T.H.; Kronbichler, M.; Friston, K.J. Computational mechanisms of curiosity and goal-directed exploration. eLife 2019, 8, e41703. [Google Scholar] [CrossRef]
- Levine, S.; Shah, D. Learning robotic navigation from experience: Principles, methods and recent results. Philos. Trans. R. Soc. B Biol. Sci. 2022, 378, 20210447. [Google Scholar] [CrossRef]
- Placed, J.A.; Strader, J.; Carrillo, H.; Atanasov, N.; Indelman, V.; Carlone, L.; Castellanos, J.A. A Survey on Active Simultaneous Localization and Mapping: State of the Art and New Frontiers. IEEE Trans. Robot. 2023, 39, 1686–1705. [Google Scholar] [CrossRef]
- George, D.; Rikhye, R.; Gothoskar, N.; Guntupalli, J.S.; Dedieu, A.; Lázaro-Gredilla, M. Clone-structured graph representations enable flexible learning and vicarious evaluation of cognitive maps. Nat. Commun. 2021, 12, 2392. [Google Scholar] [CrossRef] [PubMed]
- Hafner, D.; Pasukonis, J.; Ba, J.; Lillicrap, T. Mastering Diverse Domains through World Models. arXiv 2023, arXiv:2301.04104. [Google Scholar]
- Epstein, R.; Patai, E.Z.; Julian, J.; Spiers, H. The cognitive map in humans: Spatial navigation and beyond. Nat. Neurosci. 2017, 20, 1504–1513. [Google Scholar] [CrossRef] [PubMed]
- Foo, P.; Warren, W.; Duchon, A.; Tarr, M. Do Humans Integrate Routes Into a Cognitive Map? Map- Versus Landmark-Based Navigation of Novel Shortcuts. J. Exp. Psychology. Learn. Mem. Cogn. 2005, 31, 195–215. [Google Scholar] [CrossRef]
- Peer, M.; Brunec, I.K.; Newcombe, N.S.; Epstein, R.A. Structuring Knowledge with Cognitive Maps and Cognitive Graphs. Trends Cogn. Sci. 2021, 25, 37–54. [Google Scholar] [CrossRef] [PubMed]
- Balaguer, J.; Spiers, H.; Hassabis, D.; Summerfield, C. Neural Mechanisms of Hierarchical Planning in a Virtual Subway Network. Neuron 2016, 90, 893–903. [Google Scholar] [CrossRef]
- Tomov, M.S.; Yagati, S.; Kumar, A.; Yang, W.; Gershman, S.J. Discovery of Hierarchical Representations for Efficient Planning. bioRxiv 2018. [Google Scholar] [CrossRef]
- Lakaemper, R.; Latecki, L.J.; Sun, X.; Wolter, D. Geometric Robot Mapping. In Discrete Geometry for Computer Imagery; Andres, E., Damiand, G., Lienhardt, P., Eds.; Springer: Berlin/Heidelberg, Germany, 2005; Volume 3429, pp. 11–22. [Google Scholar] [CrossRef]
- Kamarudin, K.; Mamduh, S.M.; Shakaff, A.Y.M.; Zakaria, A. Performance Analysis of the Microsoft Kinect Sensor for 2D Simultaneous Localization and Mapping (SLAM) Techniques. Sensors 2014, 14, 23365–23387. [Google Scholar] [CrossRef] [PubMed]
- Ge, S.S.; Zhang, Q.; Abraham, A.T.; Rebsamen, B. Simultaneous Path Planning and Topological Mapping (SP2ATM) for environment exploration and goal oriented navigation. Robot. Auton. Syst. 2011, 59, 228–242. [Google Scholar] [CrossRef]
- Kim, S.H.; Kim, J.G.; Yang, T.K. Autonomous SLAM technique by integrating Grid and Topology map. In Proceedings of the 2008 International Conference on Smart Manufacturing Application, Goyangi, Republic of Korea, 9–11 April 2008; pp. 413–418. [Google Scholar] [CrossRef]
- Li, Z.; Chen, G.; Peng, B.; Zhu, X. Robot Navigation Method based on Intelligent Evolution. In Proceedings of the 2018 IEEE 4th Information Technology and Mechatronics Engineering Conference (ITOEC), Chongqing, China, 14–16 December 2018; pp. 620–624. [Google Scholar] [CrossRef]
- Parisi, S.; Dean, V.; Pathak, D.; Gupta, A. Interesting Object, Curious Agent: Learning Task-Agnostic Exploration. arXiv 2021, arXiv:2111.13119. [Google Scholar]
- Matsuo, Y.; LeCun, Y.; Sahani, M.; Precup, D.; Silver, D.; Sugiyama, M.; Uchibe, E.; Morimoto, J. Deep learning, reinforcement learning, and world models. Neural Netw. 2022, 152, 267–275. [Google Scholar] [CrossRef]
- Gregor, K.; Jimenez Rezende, D.; Besse, F.; Wu, Y.; Merzic, H.; van den Oord, A. Shaping Belief States with Generative Environment Models for RL. In Proceedings of the Advances in Neural Information Processing Systems, Vancouver, BC, Canada, 8–14 December 2019; Wallach, H., Larochelle, H., Beygelzimer, A., d’Alché-Buc, F., Fox, E., Garnett, R., Eds.; Curran Associates, Inc.: Red Hook, NY, USA, 2019; Volume 32. [Google Scholar]
- Friston, K. Life as we know it. J. R. Soc. Interface R. Soc. 2013, 10, 20130475. [Google Scholar] [CrossRef]
- Friston, K.; FitzGerald, T.; Rigoli, F.; Schwartenbeck, P.; Doherty, J.O.; Pezzulo, G. Active inference and learning. Neurosci. Biobehav. Rev. 2016, 68, 862–879. [Google Scholar] [CrossRef] [PubMed]
- Ha, D.; Schmidhuber, J. World Models. arXiv 2018, arXiv:1803.10122. [Google Scholar]
- Friston, K.; Moran, R.J.; Nagai, Y.; Taniguchi, T.; Gomi, H.; Tenenbaum, J. World model learning and inference. Neural Netw. 2021, 144, 573–590. [Google Scholar] [CrossRef]
- Stoianov, I.; Maisto, D.; Pezzulo, G. The hippocampal formation as a hierarchical generative model supporting generative replay and continual learning. Prog. Neurobiol. 2022, 217, 102329. [Google Scholar] [CrossRef]
- Çatal, O.; Verbelen, T.; Van de Maele, T.; Dhoedt, B.; Safron, A. Robot navigation as hierarchical active inference. Neural Netw. 2021, 142, 192–204. [Google Scholar] [CrossRef]
- Chevalier-Boisvert, M.; Willems, L.; Pal, S. Minimalistic Gridworld Environment for OpenAI Gym. 2018. Available online: https://github.com/maximecb/gym-minigrid (accessed on 1 October 2020).
- Sadeghi, F.; Levine, S. CAD2RL: Real Single-Image Flight without a Single Real Image. arXiv 2016, arXiv:1611.04201. [Google Scholar]
- Müller, M.; Dosovitskiy, A.; Ghanem, B.; Koltun, V. Driving Policy Transfer via Modularity and Abstraction. arXiv 2018, arXiv:1804.09364. [Google Scholar]
- Janai, J.; Güney, F.; Behl, A.; Geiger, A. Computer Vision for Autonomous Vehicles: Problems, Datasets and State-of-the-Art. arXiv 2017, arXiv:1704.05519. [Google Scholar]
- Feng, D.; Haase-Schütz, C.; Rosenbaum, L.; Hertlein, H.; Duffhauss, F.; Gläser, C.; Wiesbeck, W.; Dietmayer, K. Deep Multi-modal Object Detection and Semantic Segmentation for Autonomous Driving: Datasets, Methods, and Challenges. arXiv 2019, arXiv:1902.07830. [Google Scholar] [CrossRef]
- Silver, D.; Bagnell, J.A.; Stentz, A. Learning from Demonstration for Autonomous Navigation in Complex Unstructured Terrain. Int. J. Robot. Res. 2010, 29, 1565–1592. [Google Scholar] [CrossRef]
- Gupta, S.; Davidson, J.; Levine, S.; Sukthankar, R.; Malik, J. Cognitive Mapping and Planning for Visual Navigation. arXiv 2017, arXiv:1702.03920. [Google Scholar]
- Chaplot, D.S.; Gandhi, D.; Gupta, S.; Gupta, A.; Salakhutdinov, R. Learning to Explore using Active Neural SLAM. arXiv 2020, arXiv:2004.05155. [Google Scholar]
- Tolman, E.C. Cognitive maps in rats and men. Psychol. Rev. 1948, 554, 189–208. [Google Scholar] [CrossRef] [PubMed]
- Madl, T.; Franklin, S.; Chen, K.; Trappl, R.; Montaldi, D. Exploring the Structure of Spatial Representations. PLoS ONE 2016, 11, e0157343. [Google Scholar] [CrossRef] [PubMed]
- Zakharov, A.; Crosby, M.; Fountas, Z. Episodic Memory for Learning Subjective-Timescale Models. arXiv 2020, arXiv:2010.01430. [Google Scholar]
- Shah, D.; Eysenbach, B.; Rhinehart, N.; Levine, S. RECON: Rapid Exploration for Open-World Navigation with Latent Goal Models. arXiv 2021, arXiv:2104.05859. [Google Scholar]
- Çatal, O.; Wauthier, S.; De Boom, C.; Verbelen, T.; Dhoedt, B. Learning Generative State Space Models for Active Inference. Front. Comput. Neurosci. 2020, 14, 574372. [Google Scholar] [CrossRef] [PubMed]
- Milford, M.; Jacobson, A.; Chen, Z.; Wyeth, G. RatSLAM: Using Models of Rodent Hippocampus for Robot Navigation and Beyond. In Robotics Research; Inaba, M., Corke, P., Eds.; Springer: Cham, Switzerland, 2016; pp. 467–485. [Google Scholar] [CrossRef]
- Neacsu, V.; Mirza, M.B.; Adams, R.A.; Friston, K.J. Structure learning enhances concept formation in synthetic Active Inference agents. PLoS ONE 2022, 17, e0277199. [Google Scholar] [CrossRef]
- Çatal, O.; Jansen, W.; Verbelen, T.; Dhoedt, B.; Steckel, J. LatentSLAM: Unsupervised multi-sensor representation learning for localization and mapping. arXiv 2021, arXiv:2105.03265. [Google Scholar]
- Safron, A.; Çatal, O.; Verbelen, T. Generalized Simultaneous Localization and Mapping (G-SLAM) as unification framework for natural and artificial intelligences: Towards reverse engineering the hippocampal/entorhinal system and principles of high-level cognition. Front. Syst. Neurosci. 2022, 16, 787659. [Google Scholar] [CrossRef] [PubMed]
- Nozari, S.; Krayani, A.; Marin-Plaza, P.; Marcenaro, L.; Gómez, D.M.; Regazzoni, C. Active Inference Integrated With Imitation Learning for Autonomous Driving. IEEE Access 2022, 10, 49738–49756. [Google Scholar] [CrossRef]
- Kirchhoff, M.D.; Parr, T.; Palacios, E.R.; Friston, K.J.; Kiverstein, J.D. The Markov blankets of life: Autonomy, active inference and the free energy principle. J. R. Soc. Interface 2018, 15, 20170792. [Google Scholar] [CrossRef]
- Beal, M. Variational Algorithms for a Bayesian Inference. Ph.D. Thesis, University College London, London, UK, 2003. [Google Scholar]
- Kaplan, R.; Friston, K. Planning and navigation as active inference. Biol. Cybern. 2018, 112, 323–343. [Google Scholar] [CrossRef] [PubMed]
- Friston, K.; Da Costa, L.; Hafner, D.; Hesp, C.; Parr, T. Sophisticated Inference. Neural Comput. 2021, 33, 713–763. [Google Scholar] [CrossRef]
- Mathys, C.D.; Lomakina, E.I.; Daunizeau, J.; Iglesias, S.; Brodersen, K.H.; Friston, K.J.; Stephan, K.E. Uncertainty in perception and the Hierarchical Gaussian Filter. Front. Hum. Neurosci. 2014, 8, 825. [Google Scholar] [CrossRef]
- McGlothlin, A.E.; Viele, K. Bayesian Hierarchical Models. JAMA 2018, 320, 2365–2366. [Google Scholar] [CrossRef] [PubMed]
- Milford, M.; Wyeth, G.; Prasser, D. RatSLAM: A hippocampal model for simultaneous localization and mapping. In Proceedings of the IEEE International Conference on Robotics and Automation, 2004. Proceedings. ICRA ’04. 2004, New Orleans, LA, USA, 26 April–1 May 2004; Volume 1, pp. 403–408. [Google Scholar] [CrossRef]
- Eslami, S.M.A.; Rezende, D.J.; Besse, F.; Viola, F.; Morcos, A.S.; Garnelo, M.; Ruderman, A.; Rusu, A.A.; Danihelka, I.; Gregor, K.; et al. Neural scene representation and rendering. Science 2018, 360, 1204–1210. [Google Scholar] [CrossRef] [PubMed]
- Van de Maele, T.; Verbelen, T.; Çatal, O.; De Boom, C.; Dhoedt, B. Active Vision for Robot Manipulators Using the Free Energy Principle. Front. Neurorobotics 2021, 15, 642780. [Google Scholar] [CrossRef] [PubMed]
- Kurby, C.; Zacks, J. Segmentation in the Perception and Memory of Events. Trends Cogn. Sci. 2008, 12, 72–79. [Google Scholar] [CrossRef] [PubMed]
- Verbelen, T.; de Tinguy, D.; Mazzaglia, P.; Catal, O.; Safron, A. Chunking space and time with information geometry. In Proceedings of the NeurIPS 2022, Thirty-Sixth Conference on Neural Information Processing Systems, Information-Theoretic Principles in Cognitive Systems Workshop, New Orleans, LA, USA, 28 November–9 December 2022; p. 6. [Google Scholar]
- Hafting, T.; Fyhn, M.; Molden, S.; Moser, M.B.; Moser, E. Microstructure of a spatial map in the entorhinal cortex. Nature 2005, 436, 801–806. [Google Scholar] [CrossRef]
- Milford, M.; Wyeth, G.; Prasser, D. RatSLAM on the Edge: Revealing a Coherent Representation from an Overloaded Rat Brain. In Proceedings of the 2006 IEEE/RSJ International Conference on Intelligent Robots and Systems, Beijing, China, 9–15 October 2006; pp. 4060–4065. [Google Scholar] [CrossRef]
- Wang, H.; Yu, Y.; Yuan, Q. Application of Dijkstra algorithm in robot path-planning. In Proceedings of the 2011 Second International Conference on Mechanic Automation and Control Engineering, Inner Mongolia, China, 15–17 July 2011; pp. 1067–1069. [Google Scholar] [CrossRef]
- Kingma, D.P.; Ba, J. Adam: A Method for Stochastic Optimization. arXiv 2017, arXiv:1412.6980. [Google Scholar]
- Burda, Y.; Edwards, H.; Storkey, A.J.; Klimov, O. Exploration by Random Network Distillation. arXiv 2018, arXiv:1810.12894. [Google Scholar]
- Pathak, D.; Agrawal, P.; Efros, A.A.; Darrell, T. Curiosity-driven Exploration by Self-supervised Prediction. arXiv 2017, arXiv:1705.05363. [Google Scholar]
- Bellemare, M.; Srinivasan, S.; Ostrovski, G.; Schaul, T.; Saxton, D.; Munos, R. Unifying Count-Based Exploration and Intrinsic Motivation. In Proceedings of the Advances in Neural Information Processing Systems; Lee, D., Sugiyama, M., Luxburg, U., Guyon, I., Garnett, R., Eds.; Curran Associates, Inc.: Red Hook, NY, USA, 2016; Volume 29. [Google Scholar]
- Candra, A.; Budiman, M.A.; Hartanto, K. Dijkstra’s and A-Star in Finding the Shortest Path: A Tutorial. In Proceedings of the 2020 International Conference on Data Science, Artificial Intelligence, and Business Analytics (DATABIA), Medan, Indonesia, 16–17 July 2020; pp. 28–32. [Google Scholar] [CrossRef]
- Asano, Y.; Rupprecht, C.; Vedaldi, A. Self-labelling via simultaneous clustering and representation learning. In Proceedings of the International Conference on Learning Representations, Addis Ababa, Ethiopia, 30 April 2020. [Google Scholar]
- Tinguy, D.D.; Mazzaglia, P.; Verbelen, T.; Dhoedt, B. Home Run: Finding Your Way Home by Imagining Trajectories. In International Workshop on Active Inference; Springer: Cham, Switzerland, 2023; pp. 210–221. [Google Scholar]
- Pasukonis, J.; Lillicrap, T.; Hafner, D. Evaluating Long-Term Memory in 3D Mazes. arXiv 2022, arXiv:2210.13383. [Google Scholar]
- Savva, M.; Kadian, A.; Maksymets, O.; Zhao, Y.; Wijmans, E.; Jain, B.; Straub, J.; Liu, J.; Koltun, V.; Malik, J.; et al. Habitat: A Platform for Embodied AI Research. In Proceedings of the IEEE/CVF International Conference on Computer Vision (ICCV), Seoul, Republic of Korea, 27 October–2 November 2019. [Google Scholar]
- Perez, E.; Strub, F.; de Vries, H.; Dumoulin, V.; Courville, A. FiLM: Visual Reasoning with a General Conditioning Layer. arXiv 2017, arXiv:1709.07871. [Google Scholar] [CrossRef]















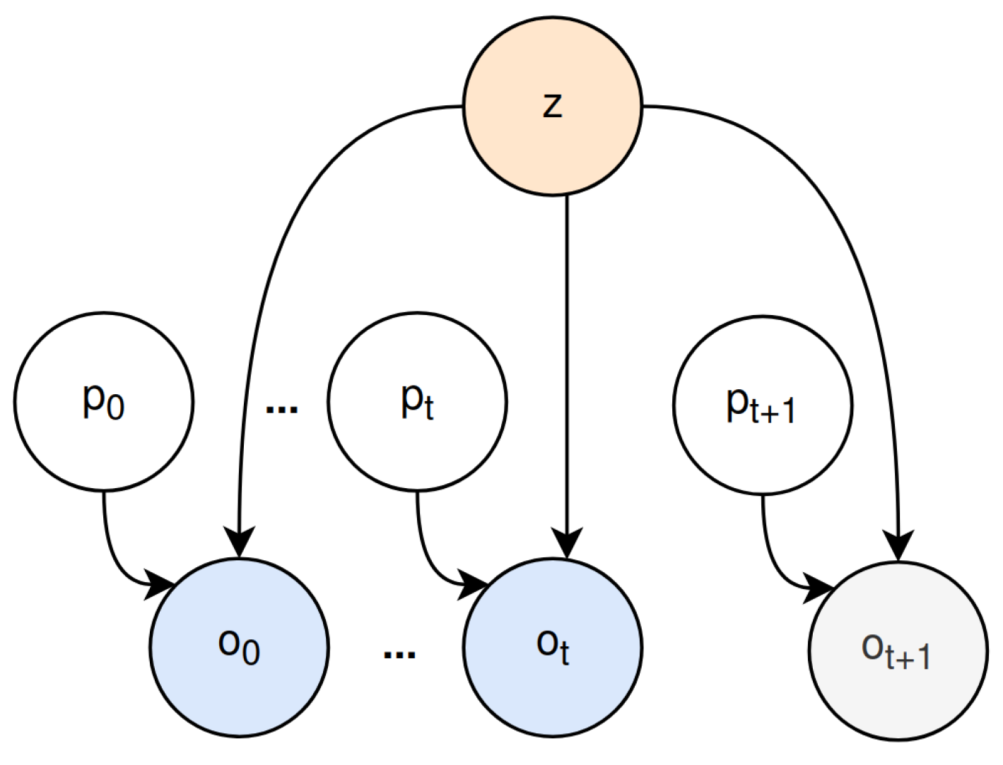
| Notation | Associated Meaning |
|---|---|
| l | location, experience |
| z | place, room, allocentric state |
| p | pose, position |
| s | egocentric state |
| a | action |
| o | observation |
| c | collision |
| policy, sequence of x |
| Success Rate (%) | Models | ||||
|---|---|---|---|---|---|
| Environment Configuration | Ours | C-BET | RND | Curiosity | Count |
| 3 × 3 rooms | 93 | 81 | 16 | 32 | 13 |
| 3 × 4 rooms | 94 | 87 | 16 | 19 | 0 |
| 4 × 4 rooms | 91 | 81 | 26 | 16 | 0 |
| 4 × 5 rooms | 81 | 74 | 7 | 23 | 3 |
| Models | Oracle | Ours | C-BET | RND | Curiosity | Ours wt Prior | DreamerV3 | Count |
|---|---|---|---|---|---|---|---|---|
| success rate (%) | 100% | 89% | 86% | 81% | 79% | 76% | 72% | 31% |
| Model | n∘ CPU | n∘ GPU | Used Memory (G) |
|---|---|---|---|
| Ours | 2 | 0 | 1 |
| Dreamerv3 | 2 | 1 | 28 |
| C-BET | 2 | 0 | 12 |
| RND | 2 | 0 | 9 |
| Curiosity | 2 | 0 | 11 |
| Count | 2 | 0 | 8 |
Disclaimer/Publisher’s Note: The statements, opinions and data contained in all publications are solely those of the individual author(s) and contributor(s) and not of MDPI and/or the editor(s). MDPI and/or the editor(s) disclaim responsibility for any injury to people or property resulting from any ideas, methods, instructions or products referred to in the content. |
© 2024 by the authors. Licensee MDPI, Basel, Switzerland. This article is an open access article distributed under the terms and conditions of the Creative Commons Attribution (CC BY) license (https://creativecommons.org/licenses/by/4.0/).
Share and Cite
de Tinguy, D.; Van de Maele, T.; Verbelen, T.; Dhoedt, B. Spatial and Temporal Hierarchy for Autonomous Navigation Using Active Inference in Minigrid Environment. Entropy 2024, 26, 83. https://doi.org/10.3390/e26010083
de Tinguy D, Van de Maele T, Verbelen T, Dhoedt B. Spatial and Temporal Hierarchy for Autonomous Navigation Using Active Inference in Minigrid Environment. Entropy. 2024; 26(1):83. https://doi.org/10.3390/e26010083
Chicago/Turabian Stylede Tinguy, Daria, Toon Van de Maele, Tim Verbelen, and Bart Dhoedt. 2024. "Spatial and Temporal Hierarchy for Autonomous Navigation Using Active Inference in Minigrid Environment" Entropy 26, no. 1: 83. https://doi.org/10.3390/e26010083
APA Stylede Tinguy, D., Van de Maele, T., Verbelen, T., & Dhoedt, B. (2024). Spatial and Temporal Hierarchy for Autonomous Navigation Using Active Inference in Minigrid Environment. Entropy, 26(1), 83. https://doi.org/10.3390/e26010083

