Quantum and Quantum-Inspired Stereographic K Nearest-Neighbour Clustering
Abstract
:1. Introduction
1.1. Related Work
1.2. Contribution
- The development of a mathematical formalism for the generalisation of kNN to indicate the contribution of various parameters such as dissimilarities and dataspace (Section 2.4);
- Presenting the procedure and circuit for stereographic embedding using the Bloch embedding procedure, which consumes only in time and resources (Section 3.1).
2. Preliminaries
2.1. Optical-Fibre Setup
2.2. Bloch Sphere
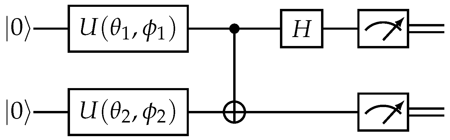
2.3. Bell-State Measurement and Fidelity
2.4. Nearest-Neighbour Clustering Algorithms
- is a space called dataspace with elements called points.
- is a subset called dataset consisting of points called datapoints.
- is a list (of size k) of points called centroids
- is a lower bounded function called dissimilarity function, or dissimilarity for short.
2.5. Euclidean Dissimilarity and Classical Clustering
2.6. Cosine Dissimilarity
2.7. Stereographic Projection
3. Stereographic Quantum Nearest-Neighbour Clustering (SQ-kNN)
3.1. Stereographic Embedding, Bloch Embedding and Quantum Dissimilarity
- 1.
- Projecting the 2D point into a point on the sphere of radius r in a 3D space through the ISP:
- 2.
- Bloch embedding into .
3.2. The SQ-kNN Algorithm
- First, prepare to embed the classical data and initial centroids into quantum states using the ISP: project the two-dimensional datapoints and initial centroids (in our case, the alphabet) into a sphere of radius r, and calculate the polar and azimuthal angles of the points. This first step is executed entirely on a classical computer.
- Cluster Update: The calculated angles are used to create the states using Bloch embedding (Definition 7). The dissimilarity between the centroid and point is then estimated using the Bell-state measurement. Once the dissimilarities between a point and all the centroids have been obtained, the point is assigned to the cluster of the ‘closest’ centroid. This is repeated for all the points that have to be classified. The quantum circuit and classical controller handle this step entirely. The controller feeds in the classical values at the appropriate times, stores the results of the various shots and classifies the point to the appropriate cluster.
- Centroid Update: Since any non-zero point on the subspace of (see Corollary 1, Figure 4) is an equivalent choice, to minimise the computational expense, the centroids are updated as the sum point of all points in the cluster—as opposed to the average, for example, which minimises the Euclidean dissimilarity (Equation (20)).
- The stereographic embedding of the 2D datapoints is conducted by theinverse stereographic projecting the point into a sphere of a chosen radius and then producing the quantum state obtained by rescaling the sphere to radius one.In contrast, in angle embedding, the coefficients of the vectors are used as the angles of the Bloch vector (also known as dense angle embedding [44]), while in amplitude embedding, they are used as the amplitudes in the standard basis. For 2D vectors, amplitude embedding allows one to encode only one coefficient (instead of two) in one qubit, and sometimes angle embedding would also encode only one coefficient by using a single rotation (standard angle embedding [45]). Both angle and amplitude embeddings require the lengths of the vectors to be stored classically beside the quantum state, which is not needed in Bloch embedding.
- No post-processing is needed after the overlap estimation of stereographically embedded data, as the obtained estimate is already a linear function of the inner product, as opposed to standard approaches using angle or amplitude encoding. Amplitude embedding also requires non-trivial computational time in the state preparation process. In contrast, in angle embedding, though the state preparation time is constant, recovering a useful dissimilarity (e.g., Euclidean) may involve many post-processing steps.
3.3. Complexity Analysis and Scaling
3.3.1. Using Qubit-Based System
3.3.2. Using Qudit-Based System
3.4. SQ-kNN and Mixed States
4. Quantum-Inspired Stereographic Nearest-Neighbour Clustering (2DSC-kNN)
- Stereographically project all the 2-dimensional data and initial centroids into the sphere of radius r. Notice that the initial centroids will lie on the sphere by construction.
- Cluster Update: Form the clusters using the method defined in Equation (16), i.e., form all . Here, and dissimilarity (Definition 5 and Lemma 2).
- Centroid Update: A closed-form expression for the centroid update was calculated in Equation (35) . This expression recalculates the centroid once the new clusters have been formed. Once all the centroids are updated, Step 2 (cluster update) is then repeated, and so on, until a stopping condition is met.
4.1. Equivalence
- 1.
- ,
- 2.
- and ,
- 3.
- for all and any .
4.2. Complexity Analysis and Scaling
5. Experiments and Results
- The hardware performance and availability of quantum computers (NISQ devices) is currently so much worse than that of classical computers that no advantage can likely be obtained with the quantum algorithm.
- The goal of this paper is not to show a “quantum advantage” in time complexity over the classical k-means in the NISQ context—it is to show that stereographic projection can lead to better learning for classical clustering and be a better embedding for quantum clustering. In particular, the equivalence between 2DSC-kNN and SQ-kNN proves that noise is the only limitation for the stereographic quantum algorithm to achieve the accuracy of the quantum-inspired algorithm.
- Radius: the radius of the stereographic sphere into which the two-dimensional points are projected.
- Number of points: the number of points upon which the clustering algorithm was performed. For every experiment, the selected points were a random subset of all the 64-QAM data (of a specific noise) with cardinality equal to the required number of points. The random subset is created using the numpy.random.sample() from the Python Numpy library.
- Number of runs: Since for each choice of parameters for each experiment we select a subset of points at random, we repeat each of the experiments many times to remove bias from the random choice and obtain stable averages and standard deviations for the collected performance parameters (described in another list below). This number of repetitions is the “number of runs”.
- Dataset Noise: As explained in Section 2.1, data were collected for four different input powers. Data are divided into four datasets labelled with powers 2.7, 6.6, 8.6, and 10.7 dBm.
- Natural endpoint: The natural endpoint of a clustering algorithm occurs wheni.e., when all the clusters remained unchanged (stay the same) even after the centroid update. It is the natural endpoint since if the clusters do not change, the centroids will not change either in the next iteration, leading to the same clusters (Equation (71)) and centroids for all future iterations.
- 2DSC-kNN: The quantum-analogue algorithm of Definition 12, the classical equivalent of the SQ-kNN and the most important candidate for our testing.
- 2DEC-kNN: The standard classical kNN of Definition 4 implemented upon the original 2-dimensional dataset (), which serves as a baseline for performance comparison.
- 3DSC-kNN: The standard classical kNN, but implemented upon the stereographically projected 2-dimensional dataset, as defined in Definition 6. We again emphasise that in contrast to the 2DSC-kNN, the centroid lies within the sphere, and in contrast to the 2DEC-kNN, the clustering takes place in . This algorithm serves as another control, to gauge the relative impacts of stereographically projecting the dataset versus restricting the centroid to the surface of the sphere. It is an intermediate step between the 2DSC-kNN and the 2DEC-kNN algorithms.
- Accuracy: Since we have the true labels of the datapoints available, we can measure the accuracy of the algorithm as the percentage of points that have been given the correct label, i.e., symbol accuracy rate. All accuracies are recorded as a percentage.
- Symbol or Bit error rate: As mentioned in Appendix A, due to Gray encoding, the bit error rate is approximately of the symbol error rate, which in turn is simply one minus the accuracy. Although error rates are the standard performance parameter in channel coding, we decided to measure the accuracy instead, which is the standard performance parameter in machine learning.
- Accuracy gain: The gain is calculated as (accuracy of candidate algorithm minus accuracy of two-dimensional classical k-means clustering algorithm), i.e., it is the increase in accuracy of the algorithm over the baseline, defined as the accuracy of the classical k-means clustering algorithm acting on the 2D dataset for those number of points.
- Number of iterations: One iteration of the clustering algorithm occurs when the algorithm performs the cluster update followed by the centroid update (the algorithm must then perform the cluster update again). The number of times the algorithm repeats these two steps before stopping is the number of iterations. We use the number of iterations the algorithm requires to reach its ‘natural endpoint’ as a proxy for convergence performance. The lesser the number of iterations performed, the faster the algorithm’s convergence. The number of iterations does not directly correspond to time performance since the time taken for one iteration differs between all algorithms.
- Iteration gain: The gain in iterations is defined as (the number of iterations of 2D k-means clustering algorithm minus the number of iterations of candidate algorithm), i.e., the gain is how many fewer iterations the candidate algorithm took than the 2DEC-kNN algorithm to reach its natural endpoint.
- Execution time: The amount of time taken for a clustering algorithm to provide the final output (the final centroids and clusters) given the two-dimensional data points as input, i.e., the time taken end to end for the clustering process. All times in this work are recorded in milliseconds (ms).
- Execution time gain: This gain is calculated as (the execution time of 2DEC-kNN k-means clustering algorithm minus the execution time of candidate algorithm).
- Overfitting Parameter: The difference in testing and training accuracy.
- The Overfitting Test: The dataset is divided into a ‘training’ and a ‘testing’ set, to characterise the clustering and classification performance of the algorithms.
- The Stopping Criterion Test: The iterations and other performance parameters are varied, to test whether and what kind of stopping criterion is required.
5.1. Experiment 1: Overfitting
- It exhaustively covers all the parameters that can be used to quantify the performance of the algorithms. We were able to observe very important trends in the performance parameters with respect to the choice of radius and the effect of the number of points (affecting the choice of when one should trigger the clustering process on the collected received points).
- It avoids the commonly known problem of overfitting. Though this approach is not usually used in testing the kNN due to its iterative nature, we felt that from a machine learning perspective, it is useful to know how well the algorithms perform in a classification setting as well.
- Another reason that justifies the training and testing approach (clustering and classification) is the nature of the real-world application setup. When transmitting QAM data through optical-fibre, the receiver receives only one point at a time and has to classify the received point to a given cluster in real-time using the current centroid values. Once a number of data points have accumulated, the kNN algorithm can be run to update the centroid values; after the update, the receiver will once again perform classification until some number of points has been accumulated. Hence, we can observe that in this scenario, the clustering and the classification performance of the chosen method become important.
5.1.1. Results
- Accuracy Performance: Here, in all the following figures, the winner is chosen as the radius for which the maximum accuracy is achieved for the given number of points. Figure 8 depicts the variation in testing accuracy with the number of points for all three algorithms along with error bars. As mentioned before, this characterises the performance of the algorithms in a ‘classification’ mode, that is, when the received points must be decoded in real-time. Figure 9 portrays the trend in training accuracy with the number of points for all three algorithms along with error bars. This characterises the performance of the algorithms in ‘clustering’ mode, that is, when the received points must be used to update the centroid for future re-classification or if the received datapoints are stored and decoded in batches. Figure 8 and Figure 9 also plot the gain in testing and training accuracies respectively for the 3DSC-kNN and 2DSC-kNN algorithms. The label of the points in these figures is the radius of ISP for which that accuracy gain was achieved.
- Iteration Performance: Here, in all the following figures, the winner is chosen as the radius for which the minimum number of iterations is achieved for the given number of points. Figure 10 shows how the required number of iterations for all three algorithms varies as the number of points increases. Figure 10 also displays the gain of the 2DSC-kNN and 3DSC-kNN algorithms in the number of iterations to reach their natural endpoints. The label of the points in these figures is the radius of ISP for achieving that iteration gain.
- Time Performance: Here, in all the following figures, the winner is chosen as the radius for which the minimum execution time is achieved for the given number of points. Figure 11 puts forth the dependence of testing execution time upon the number of points for all three algorithms along with error bars. As mentioned before, these times are effectively the amount of time the algorithm takes for one iteration. This characterises the performance of the algorithms when performing direct classification decoding of the received points in real time.This figure reveals the trend in training execution time with the number of points for all three algorithms, along with error bars. This characterises the time performance of the algorithms when performing clustering—that is, when the received points must be used to update the centroid for future re-classification or if the received datapoints are stored and decoded in batches. Figure 12 plots the gains in testing and training execution times for the 3DSC-kNN and 2DSC-kNN algorithms.
- Overfitting Performance: Figure 13 exhibits how the overfitting parameter for the 2DEC-kNN k-means clustering, 3DSC-kNN, and 2DSC-kNN algorithms vary as the number of points changes.
5.1.2. Discussion and Analysis
5.2. Experiment 2: Stopping Criterion
5.2.1. Results
- Characterisation of the 2DSC-kNN algorithm: Figure 14 depicts the dependence of the accuracy of the 2DSC-kNN algorithm upon the iteration number and projection radius for the 2.7 dBm dataset. The figures for the rest of the datasets follow the same trends and are nearly identical in shape.Figure 15 shows the dependence of the probability of the 2DSC-kNN algorithm reaching its natural endpoint versus the radius of projection and iteration number for the 10.7 dBm dataset with 51,200 points and for the 2.7 dBm dataset with 640 points. Once again, the figures for the rest of the datasets follow the same trends and their shape can be extrapolated from the presented Figure 15.
- Comparison with 2DEC-kNN and 3DSC-kNN Clustering: Figure 16 portrays the gain of the 2DSC-kNN and 3DSC-kNN algorithms in the number of iterations to reach maximum accuracy for the 2.7 and 10.7 dBm datasets. In these figures, a gain of ‘g’ means that the algorithm took ‘g’ fewer iterations than the classical k-means acting upon the 2D dataset did to reach maximum accuracy.Figure 17 plots the gain of the 2DSC-kNN and 3DSC-kNN algorithms in the maximum achieved accuracy for the 2.7 and 10.7 dBm datasets. Here, a gain of ‘g’ means that the algorithm was more accurate than the maximum accuracy of the classical k-means acting upon the 2D dataset.Lastly, Figure 18 illustrates the maximum accuracies achieved by the 2DSC-kNN, 3DSC-kNN, and 2DEC-kNN algorithms for the 2.7 and 10.7 dBm datasets.
5.2.2. Discussion and Analysis
5.3. Overall Observations
5.3.1. Overall observations from Experiment 1:
- The ideal projection radius is greater than one and between two and five. At this ideal radius, one achieves maximum testing and training accuracy, and minimum iterations.
- In general, the accuracy performance is the same for 3DSC-kNN and 2DSC-kNN algorithms—this shows a significant contribution of the ISP to the advantage as opposed to ‘quantumness’. This is a significant distinction, not made by any previous work.
- The 2DSC-kNN and 3DSC-kNN algorithms lead to an increase in the accuracy performance in general, with the increase most pronounced for the 2.7 dBm dataset.
- The 2DSC-kNN algorithm and 3DSC-kNN algorithm provide more iteration performance gain (fewer iterations required than 2DEC-kNN) for high noise datasets and for a large number of points.
- Generally, increasing the number of points favours the 2DSC-kNN and 3DSC-kNN algorithms, with the caveat that a good radius must be carefully chosen.
5.3.2. Overall observations from Experiment 2:
- These results further stress the importance of choosing a good radius (two to five in this application) and a better stopping criterion. The natural endpoint is not suitable.
- The results justify the fact that the developed 2DSC-kNN algorithm has significant advantages over 2DEC-kNN k-means clustering and 3DSC-kNN clustering.
- The 2DSC-kNN algorithm performs nearly the same as the 3DSC-kNN algorithm in terms of accuracy, but for iterations to achieve this max accuracy, the 2DSC-kNN algorithm is better (especially for high noise and a high number of points).
- The developed 2DSC-kNN algorithm and 3DSC-kNN algorithm are better than the 2DEC-kNN algorithm in general—in terms of accuracy and iterations to reach that maximum accuracy.
- The supremacy of the 2DSC-kNN algorithm over the 2DEC-kNN algorithm implies that a fully quantum SQ-kNN algorithm would have an advantage over the fully quantum k-means algorithm of [2].
6. Conclusions and Further Work
Future Work
Author Contributions
Funding
Data Availability Statement
Conflicts of Interest
Abbreviations
| ADC | Analog-to-digital converter |
| CD | Chromatic dispersion |
| CFO | Carrier frequency offset |
| CPE | Carrier phase estimation |
| DAC | Digital-to-analog converter |
| DP | Dual Polarisation |
| ECL | External cavity laser |
| FEC | Forward error correction |
| GHz | Gigahertz |
| GBd | Gigabauds |
| GSa/s | samples per second |
| DSP | Digital signal processing |
| ISP | Inverse stereographic projection |
| MIMO | Multiple input multiple output |
| M-QAM | M-ary Quadrature Amplitude Modulation |
| QML | Quantum Machine Learning |
| QRAM | Quantum Random Access Memory |
| TR | Timing recovery |
| SQ access | Sample and query access |
| kNN | k-Nearest-Neighbour clustering algorithm(Definition 3) |
| FF-QRAM | Flip flop QRAM |
| NISQ | Near-intermediate scale quantum |
| Dataspace | |
| D | Dataset |
| D | Two-dimensional dataset |
| set of all M centroids | |
| Cluster associated to a centroid | |
| Dissimilarity (measure function) | |
| Euclidean dissimilarity | |
| Cosine dissimilarity | |
| ISP into a sphere of radius r | |
| n-sphere of radius r | |
| Hilbert space of one qubit | |
| nDEC-kNN | n-dimensional Euclidean Classical kNN (Definition 4) |
| SQ-kNN | Stereographic Quantum kNN (Definition 10) |
| 2DSC-kNN | Two-dimensional Stereographic Classical kNN (Definition 12) |
| 3DSC-kNN | Three-dimensional Stereographic Classical kNN (Definition 6) |
Appendix A. QAM and Data Visualisation
Appendix A.1. Description of 64-QAM Data
- ‘alphabet’: The initial analog values at which the data were transmitted, in the form of complex numbers, i.e., for an entry (), and the transmitted signal was of the form . Since the transmission protocol is 64-QAM, there are 64 values in this variable. The transmission alphabet is the same irrespective of the non-linear distortions.
- ‘rxsignal’: The received analog values of the signal by the receiver. These data are in the form of a 52,124 × 5 matrix. Each datapoint was transmitted five times to the receiver; thus, each row contains the values detected by the receiver during the different instances of the transmission of the same datapoint. The values in different rows represent unique datapoint values detected by the receiver.
- ‘bits’: This is the true label for the transmitted points. These data are in the form of a 52,124 × 6 matrix. Since the protocol is 64-QAM, each analog point represents six bits. These six bits are the entries in each column, and each value in a different row represents the correct label for a unique transmitted datapoint value. The first three bits encode the column, and the last three bits encode the row—see Figure A3.



Appendix B. Data Embedding
| Embedding | Encoding | Num. Qubits Required | Gate Depth |
|---|---|---|---|
| Basis | per data point | ||
| Angle | |||
| Amplitude | gates | ||
| QRAM | queries |
Appendix B.1. Angle Embedding
Appendix C. Stereographic Projection
Appendix C.1. ISP for General Radius
- Azimuthal angle of the original point and the projected point must be the same, i.e., the original point, projected point, and the top of the sphere (the point from which all projections are drawn) lie on the same plane, which is perpendicular to the 2D plane.
- The projected point lies on the sphere.
- The triangle with vertices , and is similar to the triangle with vertices , and :

Appendix C.2. Equivalence of Displacement and Scaling

Appendix D. Ellipsoidal Embedding

- The azimuthal angle is unchanged, thus
- The projected point lies on the ellipsoid, thus
- The triangle with vertices , and is similar to the triangle with vertices , and , thus
Appendix E. Distance Estimation Using Stereographic Embedding

Appendix F. Rotation Gates and the UGate
References
- Harrow, A.W.; Hassidim, A.; Lloyd, S. Quantum Algorithm for Linear Systems of Equations. Phys. Rev. Lett. 2009, 103, 150502. [Google Scholar] [CrossRef] [PubMed]
- Lloyd, S.; Mohseni, M.; Rebentrost, P. Quantum algorithms for supervised and unsupervised machine learning. arXiv 2013, arXiv:1307.0411. [Google Scholar]
- Preskill, J. Quantum Computing in the NISQ era and beyond. Quantum 2018, 2, 79. [Google Scholar] [CrossRef]
- Tang, E. Quantum Principal Component Analysis Only Achieves an Exponential Speedup Because of Its State Preparation Assumptions. Phys. Rev. Lett. 2021, 127, 060503. [Google Scholar] [CrossRef]
- Arute, F.; Arya, K.; Babbush, R.; Bacon, D.; Bardin, J.; Barends, R.; Biswas, R.; Boixo, S.; Brandao, F.; Buell, D.; et al. Quantum Supremacy using a Programmable Superconducting Processor. Nature 2019, 574, 505–510. [Google Scholar] [CrossRef]
- Schuld, M.; Petruccione, F. Supervised Learning with Quantum Computers; Quantum Science and Technology; Springer International Publishing: Cham, Switzerland, 2018. [Google Scholar] [CrossRef]
- Schuld, M.; Sinayskiy, I.; Petruccione, F. An introduction to quantum machine learning. Contemp. Phys. 2015, 56, 172–185. [Google Scholar] [CrossRef]
- Kerenidis, I.; Prakash, A. Quantum Recommendation Systems. In Proceedings of the 8th Innovations in Theoretical Computer Science Conference (ITCS 2017), Berkeley, CA, USA, 9–11 January 2017; Leibniz International Proceedings in Informatics (LIPIcs). Papadimitriou, C.H., Ed.; Schloss Dagstuhl–Leibniz-Zentrum fuer Informatik: Dagstuhl, Germany, 2017; Volume 67, pp. 49:1–49:21. [Google Scholar] [CrossRef]
- Kerenidis, I.; Landman, J.; Luongo, A.; Prakash, A. q-means: A quantum algorithm for unsupervised machine learning. In Proceedings of the Advances in Neural Information Processing Systems (NeurIPS 2019), Vancouver Convention Center, Vancouver, BC, Canada, 8–14 December 2019; Wallach, H., Larochelle, H., Beygelzimer, A., d’Alché-Buc, F., Fox, E., Garnett, R., Eds.; Curran Associates, Inc.: New York, NY, USA, 2019; Volume 32. Available online: https://proceedings.neurips.cc/paper/2019/hash/16026d60ff9b54410b3435b403afd226-Abstract.html (accessed on 12 September 2023).
- Modi, A.; Jasso, A.V.; Ferrara, R.; Deppe, C.; Noetzel, J.; Fung, F.; Schaedler, M. Testing of Hybrid Quantum-Classical k-means for Nonlinear Noise Mitigation. arXiv 2023, arXiv:2308.03540. [Google Scholar]
- Pakala, L.; Schmauss, B. Non-linear mitigation using carrier phase estimation and k-means clustering. In Proceedings of the Photonic Networks; 16. ITG Symposium, Leipzig, Germany, 7–8 May 2015; VDE Verlag: Berlin, Germany, 2015; pp. 1–5. Available online: https://ieeexplore.ieee.org/document/7110093 (accessed on 12 September 2023).
- Zhang, J.; Chen, W.; Gao, M.; Shen, G. k-means-clustering-based fiber nonlinearity equalization techniques for 64-QAM coherent optical communication system. Opt. Express 2017, 25, 27570–27580. [Google Scholar] [CrossRef]
- Gambetta, J. IBM’s Roadmap for Scaling Quantum Technology. Available online: https://research.ibm.com/blog/ibm-quantum-roadmap-2025 (accessed on 12 September 2023).
- Diedolo, F.; Böcherer, G.; Schädler, M.; Calabró, S. Nonlinear Equalization for Optical Communications Based on Entropy-Regularized Mean Square Error. In Proceedings of the European Conference on Optical Communication (ECOC) 2022, Basel, Switzerland, 18–22 September 2022; Optica Publishing Group: Washington, DC, USA, 2022; p. We2C.2. Available online: https://ieeexplore.ieee.org/document/9979330 (accessed on 12 September 2023).
- Martyn, J.M.; Rossi, Z.M.; Tan, A.K.; Chuang, I.L. Grand unification of quantum algorithms. PRX Quantum 2021, 2, 040203. [Google Scholar] [CrossRef]
- Kopczyk, D. Quantum machine learning for data scientists. arXiv 2018, arXiv:1804.10068. [Google Scholar]
- Esma Aimeur, G.B.; Gambs, S. Quantum clustering algorithms. In Proceedings of the ICML’07: 24th International Conference on Machine Learning, Corvallis, OR, USA, 20–24 June 2007; pp. 1–8. Available online: https://icml.cc/imls/conferences/2007/proceedings/papers/518.pdf (accessed on 12 September 2023).
- Cruise, J.R.; Gillespie, N.I.; Reid, B. Practical Quantum Computing: The value of local computation. arXiv 2020, arXiv:2009.08513. [Google Scholar]
- Johri, S.; Debnath, S.; Mocherla, A.; Singh, A.; Prakash, A.; Kim, J.; Kerenidis, I. Nearest centroid classification on a trapped ion quantum computer. Npj Quantum Inf. 2021, 7, 122. [Google Scholar] [CrossRef]
- Khan, S.U.; Awan, A.J.; Vall-Llosera, G. k-means Clustering on Noisy Intermediate Scale Quantum Computers. arXiv 2019, arXiv:1909.12183. [Google Scholar]
- Cortese, J.A.; Braje, T.M. Loading classical data into a quantum computer. arXiv 2018, arXiv:1803.01958. [Google Scholar]
- Giovannetti, V.; Lloyd, S.; Maccone, L. Quantum Random Access Memory. Phys. Rev. Lett. 2008, 100, 160501. [Google Scholar] [CrossRef] [PubMed]
- Buhrman, H.; Cleve, R.; Watrous, J.; De Wolf, R. Quantum fingerprinting. arXiv 2001, arXiv:quant-ph/0102001. [Google Scholar] [CrossRef]
- Ripper, P.; Amaral, G.; Temporão, G. Swap Test-based characterization of decoherence in universal quantum computers. Quantum Inf. Process. 2023, 22, 220. [Google Scholar] [CrossRef]
- Foulds, S.; Kendon, V.; Spiller, T. The controlled SWAP test for determining quantum entanglement. Quantum Sci. Technol. 2021, 6, 035002. [Google Scholar] [CrossRef]
- Tang, E. A Quantum-Inspired Classical Algorithm for Recommendation Systems. In Proceedings of the STOC 2019—51st Annual ACM SIGACT Symposium on Theory of Computing, Phoenix, AZ, USA, 23–26 June 2019; Association for Computing Machinery: New York, NY, USA, 2019; pp. 217–228. [Google Scholar] [CrossRef]
- Chia, N.H.; Lin, H.H.; Wang, C. Quantum-inspired sublinear classical algorithms for solving low-rank linear systems. arXiv 2018, arXiv:1811.04852. [Google Scholar]
- Gilyén, A.; Lloyd, S.; Tang, E. Quantum-inspired low-rank stochastic regression with logarithmic dependence on the dimension. arXiv 2018, arXiv:1811.04909. [Google Scholar]
- Arrazola, J.M.; Delgado, A.; Bardhan, B.R.; Lloyd, S. Quantum-inspired algorithms in practice. Quantum 2020, 4, 307. [Google Scholar] [CrossRef]
- Chia, N.H.; Gilyén, A.; Li, T.; Lin, H.H.; Tang, E.; Wang, C. Sampling-based sublinear low-rank matrix arithmetic framework for dequantizing Quantum machine learning. In Proceedings of the 52nd Annual ACM SIGACT Symposium on Theory of Computing, Chicago, IL, USA, 22–26 June 2020. [Google Scholar] [CrossRef]
- Chia, N.H.; Gilyén, A.; Lin, H.H.; Lloyd, S.; Tang, E.; Wang, C. Quantum-Inspired Algorithms for Solving Low-Rank Linear Equation Systems with Logarithmic Dependence on the Dimension. In Proceedings of the 31st International Symposium on Algorithms and Computation (ISAAC 2020), Leibniz International Proceedings in Informatics (LIPIcs). Hong Kong, China, 14–18 December 2020; Cao, Y., Cheng, S.W., Li, M., Eds.; Schloss Dagstuhl–Leibniz-Zentrum für Informatik: Dagstuhl, Germany, 2020; Volume 181, pp. 47:1–47:17. [Google Scholar] [CrossRef]
- Sergioli, G.; Santucci, E.; Didaci, L.; Miszczak, J.A.; Giuntini, R. A quantum-inspired version of the nearest mean classifier. Soft Comput. 2018, 22, 691–705. Available online: https://link.springer.com/article/10.1007/s00500-016-2478-2 (accessed on 12 September 2023). [CrossRef]
- Sergioli, G.; Bosyk, G.M.; Santucci, E.; Giuntini, R. A quantum-inspired version of the classification problem. Int. J. Theor. Phys. 2017, 56, 3880–3888. Available online: https://link.springer.com/article/10.1007/s10773-017-3371-1 (accessed on 12 September 2023). [CrossRef]
- Subhi, G.M.; Messikh, A. Simple quantum circuit for pattern recognition based on nearest mean classifier. Int. J. Perceptive Cogn. Comput. 2016, 2. [Google Scholar] [CrossRef]
- Nguemto, S.; Leyton-Ortega, V. Re-QGAN: An optimized adversarial quantum circuit learning framework. arXiv 2022, arXiv:2208.02165. [Google Scholar] [CrossRef]
- Eybpoosh, K.; Rezghi, M.; Heydari, A. Applying inverse stereographic projection to manifold learning and clustering. Appl. Intell. 2022, 52, 4443–4457. [Google Scholar] [CrossRef]
- Poggiali, A.; Berti, A.; Bernasconi, A.; Del Corso, G.; Guidotti, R. Quantum Clustering with k-means: A Hybrid Approach. arXiv 2022, arXiv:2212.06691. [Google Scholar]
- de Veras, T.M.L.; de Araujo, I.C.S.; Park, D.K.; da Silva, A.J. Circuit-Based Quantum Random Access Memory for Classical Data With Continuous Amplitudes. IEEE Trans. Comput. 2021, 70, 2125–2135. [Google Scholar] [CrossRef]
- Hornik, K.; Feinerer, I.; Kober, M.; Buchta, C. Spherical k-means Clustering. J. Stat. Softw. 2012, 50, 1–22. [Google Scholar] [CrossRef]
- Feng, C.; Zhao, B.; Zhou, X.; Ding, X.; Shan, Z. An Enhanced Quantum K-Nearest Neighbor Classification Algorithm Based on Polar Distance. Entropy 2023, 25, 127. [Google Scholar] [CrossRef]
- Nielsen, M.A.; Chuang, I.L. Quantum Computation and Quantum Information; Cambridge University Press: Cambridge, UK, 2010. [Google Scholar] [CrossRef]
- Lloyd, S. Least squares quantization in PCM. IEEE Trans. Inf. Theory 1982, 28, 129–137. [Google Scholar] [CrossRef]
- Schubert, E.; Lang, A.; Feher, G. Accelerating Spherical k-means. In Similarity Search and Applications, Proceedings of the 14th International Conference, SISAP 2021, Dortmund, Germany, 29 September–1 October 2021; Reyes, N., Connor, R., Kriege, N., Kazempour, D., Bartolini, I., Schubert, E., Chen, J.J., Eds.; Springer International Publishing: Cham, Switzerland, 2021; pp. 217–231. [Google Scholar] [CrossRef]
- LaRose, R.; Coyle, B. Robust data encodings for quantum classifiers. Phys. Rev. A 2020, 102, 032420. [Google Scholar] [CrossRef]
- Weigold, M.; Barzen, J.; Leymann, F.; Salm, M. Expanding Data Encoding Patterns For Quantum Algorithms. In Proceedings of the 2021 IEEE 18th International Conference on Software Architecture Companion (ICSA-C), Stuttgart, Germany, 22–26 March 2021; pp. 95–101. [Google Scholar] [CrossRef]
- Fanizza, M.; Rosati, M.; Skotiniotis, M.; Calsamiglia, J.; Giovannetti, V. Beyond the Swap Test: Optimal Estimation of Quantum State Overlap. Phys. Rev. Lett. 2020, 124, 060503. [Google Scholar] [CrossRef] [PubMed]
- Viladomat Jasso, A.; Modi, A.; Ferrara, R.; Deppe, C.; Nötzel, J.; Fung, F.; Schädler, M. Stereographic Quantum Embedding Clustering, September 2023. Available online: https://github.com/AlonsoViladomat/Stereographic-quantum-embedding-clustering (accessed on 12 September 2023).
- IEEE Std 802.11-2020 (Revision of IEEE Std 802.11-2016); IEEE Standard for Information Technology—Telecommunications and Information Exchange between Systems—Local and Metropolitan Area Networks–Specific Requirements—Part 11: Wireless LAN Medium Access Control (MAC) and Physical Layer (PHY) Specifications. IEEE: Piscataway, NJ, USA, 2021; pp. 1–4379. [CrossRef]
- Frenzel, L.E., Jr. Electronics Explained: Fundamentals for Engineers, Technicians, and Makers; Newnes: Lithgow, Australia, 2018; Available online: https://www.sciencedirect.com/book/9780128116418 (accessed on 12 September 2023).
- Plesch, M.; Brukner, Č. Quantum-state preparation with universal gate decompositions. Phys. Rev. A 2011, 83, 032302. [Google Scholar] [CrossRef]
- Leymann, F.; Barzen, J. The bitter truth about gate-based quantum algorithms in the NISQ era. Quantum Sci. Technol. 2020, 5, 044007. [Google Scholar] [CrossRef]



















| Algorithm | Reference | Dataset | Initial Centroids | Dataspace | Dissimilarity | Centroid Update |
|---|---|---|---|---|---|---|
| 2DEC-kNN | Definition 4 | D | ||||
| 3DSC-kNN | Definition 6 | |||||
| 2DSC-kNN | Definition 12 | (or ) | ||||
| SQ-kNN | Definition 10 |
Disclaimer/Publisher’s Note: The statements, opinions and data contained in all publications are solely those of the individual author(s) and contributor(s) and not of MDPI and/or the editor(s). MDPI and/or the editor(s) disclaim responsibility for any injury to people or property resulting from any ideas, methods, instructions or products referred to in the content. |
© 2023 by the authors. Licensee MDPI, Basel, Switzerland. This article is an open access article distributed under the terms and conditions of the Creative Commons Attribution (CC BY) license (https://creativecommons.org/licenses/by/4.0/).
Share and Cite
Viladomat Jasso, A.; Modi, A.; Ferrara, R.; Deppe, C.; Nötzel, J.; Fung, F.; Schädler, M. Quantum and Quantum-Inspired Stereographic K Nearest-Neighbour Clustering. Entropy 2023, 25, 1361. https://doi.org/10.3390/e25091361
Viladomat Jasso A, Modi A, Ferrara R, Deppe C, Nötzel J, Fung F, Schädler M. Quantum and Quantum-Inspired Stereographic K Nearest-Neighbour Clustering. Entropy. 2023; 25(9):1361. https://doi.org/10.3390/e25091361
Chicago/Turabian StyleViladomat Jasso, Alonso, Ark Modi, Roberto Ferrara, Christian Deppe, Janis Nötzel, Fred Fung, and Maximilian Schädler. 2023. "Quantum and Quantum-Inspired Stereographic K Nearest-Neighbour Clustering" Entropy 25, no. 9: 1361. https://doi.org/10.3390/e25091361
APA StyleViladomat Jasso, A., Modi, A., Ferrara, R., Deppe, C., Nötzel, J., Fung, F., & Schädler, M. (2023). Quantum and Quantum-Inspired Stereographic K Nearest-Neighbour Clustering. Entropy, 25(9), 1361. https://doi.org/10.3390/e25091361

