Defining the Scale to Build Complex Networks with a 40-Year Norwegian Intraplate Seismicity Dataset
Abstract
1. Introduction
2. Intraplate Seismicity in Southern Norway
3. Data
4. Methodology
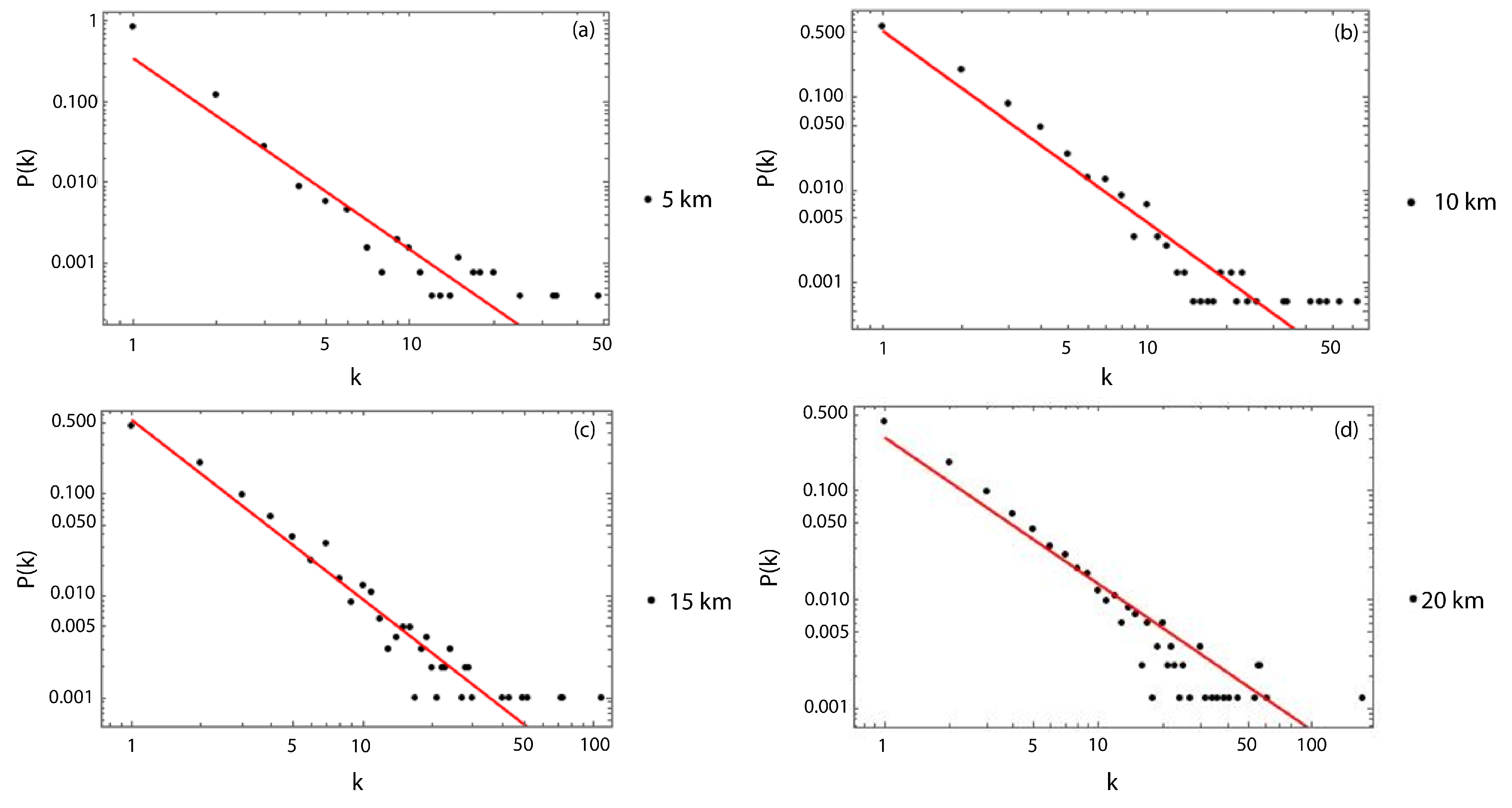
5. Results
5.1. Prefiltered Dataset
Prefiltered Subset
5.2. Complete Dataset
5.2.1. Southwestern Norway
5.2.2. Southeastern Norway
6. Discussion and Conclusions
| Place | (km) | Ref. | |
|---|---|---|---|
| California | 5 | 1.61 | Abe and Suzuki 2006 [39] |
| 10 | 1.33 | Abe and Suzuki 2006 [39] | |
| 20 | 1.28 | Abe et al. 2011 [43] | |
| Japan | 5 | 2.5 | Abe and Suzuki 2006 [39] |
| 10 | 2.22 | Abe and Suzuki 2006 [39] | |
| 20 | 1.40 | Abe et al. 2011 [43] | |
| Iran | 20 | 2.01 | Abe et al. 2011 [43] |
| Chile | 20 | 1.35 | Abe et al. 2011 [43] |
| Chile (Illapel earthquake) | 5 | 3.0 (before earthquake) | Pastén et al. 2016 [40] |
| Chile (Illapel earthquake) | 10 | 2.2 (before earthquake) | Pastén et al. 2016 [40] |
| Chile (Illapel earthquake) | 5 | 3.6 (after earthquake) | Pastén et al. 2016 [40] |
| Chile (Illapel earthquake) | 10 | 2.2 (after earthquake) | Pastén et al. 2016 [40] |
Author Contributions
Funding
Data Availability Statement
Acknowledgments
Conflicts of Interest
Appendix A



References
- Köhler, A.; Weidle, C.; Maupin, V. Directionality analysis and Rayleigh wave tomography of ambient noise in southern Norway. Geophys. J. Int. 2011, 184, 287–300. [Google Scholar] [CrossRef]
- Köhler, A.; Weidle, C.; Maupin, V. Crustal and uppermost mantle structure of southern Norway: Results from surface wave analysis of ambient seismic noise and earthquake data. Geophys. J. Int. 2012, 191, 1441–1456. [Google Scholar] [CrossRef]
- Loidl, B.; Behm, M.; Thybo, H.; Stratford, W. Three-dimensional seismic model of crustal structure in Southern Norway. Geophys. J. Int. 2014, 196, 1643–1656. [Google Scholar] [CrossRef]
- Stratford, W.; Thybo, H. Crustal structure and composition of the Oslo graben, Norway. Earth Planet. Sci. Lett. 2011, 304, 431–442. [Google Scholar] [CrossRef]
- Stratford, W.; Thybo, H. Seismic structure and composition of the crust beneath the southern Scandes, Norway. Tectonophysics 2011, 502, 364–382. [Google Scholar] [CrossRef]
- Kolstrup, M.; Maupin, V. A Proterozoic boundary in Southern Norway revealed by joint-inversion of P-receiver functions and surface waves. Precambrian Res. 2013, 238, 186–198. [Google Scholar] [CrossRef][Green Version]
- Ottemöller, L.; Midzi, V. The crustal structure of Norway from inversion of teleseismic receiver functions. J. Seismol. 2003, 7, 35–48. [Google Scholar] [CrossRef]
- Olesen, O.; Brönner, M.; Ebbing, J.; Gellein, J.; Gernigon, L.; Koziel, J.; Lauritsen, T.; Myklebust, R.; Sand, M.; Solheim, D.; et al. New aeromagnetic and gravity compilations from Norway and adjacent areas—Methods and applications. Pet. Geol. Conf. Ser. 2010, 7, 559–586. [Google Scholar] [CrossRef]
- Olesen, O.; Ebbing, J.; Gellein, J.; Kihle, O.; Myklebust, R.; Sand, M.; Skilbrei, J.; Solheim, D.; Usov, S. Gravity Anomaly Map, Norway and Adjacent Areas. Geol. Surv. Nor. Map Publ. DOCID: 63478. 2010. Available online: https://openarchive.ngu.no/ngu-xmlui/bitstream/handle/11250/2661922/Mag_3_mill.pdf?sequence=1&isAllowed=y (accessed on 12 January 2023).
- Olesen, O.; Gellein, J.; Gernigon, L.; Kihle, O.; Koziel, J.; Lauritsen, T.; Mogaard, J.; Myklebust, R.; Skilbrei, J.; Usov, S. Magnetic Anomaly Map, Norway and Adjacent Areas. Geol. Surv. Nor. Map Publ. DOCID: 63477. 2010. Available online: https://openarchive.ngu.no/ngu-xmlui/handle/11250/2661922?locale-attribute=en (accessed on 12 January 2023).
- Grad, M.; Tiira, T.; ESC Working Group. The Moho depth map of the European plate. Geophys. J. Int. 2009, 176, 279–292. [Google Scholar] [CrossRef]
- Stratford, W.; Thybo, H.; Faleide, J.; Olesen, O.; Tryggvason, S. New Moho map for onshore southern Norway. Geophy. J. Int. 2009, 178, 1755–1765. [Google Scholar] [CrossRef]
- Shiddiqi, H.A.; Ottemöller, L.; Rondenay, S.; Halpaap, F.; Gradmann, S.; Michálek, J. Crustal structure and intraplate seismicity in Nordland, Northern Norway: Insight from seismic tomography. Geophy. J. Int. 2022, 230, 813–830. [Google Scholar] [CrossRef]
- Pavez, C.; Estay, R.; Brönner, M.; Ortiz, A.; Debarbieri, F.; Ibañez, J.; Guzmán, L. Frictional energy patterns related to the temperature increases due to intraplate seismicity, southern Norway, 2000–2019 catalogue. Nor. J. Geol. 2021, 101, 202105. [Google Scholar] [CrossRef]
- Wahlström, R.; Grünthal, G. Probabilistic seismic hazard assessment (horizontal PGA) for Fennoscandia using the logic tree approach for regionalization and nonregionalization models. Seismol. Res. Lett. 2001, 72, 33–45. [Google Scholar] [CrossRef]
- Johnsten, M. Seismic Hazard in Norway Due to Large Earthquakes. Master’s Thesis, University of Bergen, Bergen, Norway, 2015; 133p. [Google Scholar]
- Olesen, O.; Bungum, H.; Dehls, J.; Londholm, C.; Pascal, C.; Roberts, D. Neotectonics, seismicity and contemporary stress field in Norway, mechanisms and implications. In Quaternary Geology of Norway, Geological Survey of Norway Special Publication, 13; Olsen, L., Fredin, O., Olesen, O., Eds.; Geological Survey of Norway: Trondheim, Norway, 2013; Volume 13, pp. 145–174. [Google Scholar]
- Keiding, M.; Kreemer, C.; Lindholm, C.; Gradmann, S.; Olesen, O.; Kierulf, H. A comparison of strain rates and seismicity for Fennoscandia: Depth dependency of deformation from glacial isostatic adjustment. Geophys. J. Int. 2015, 202, 1021–1028. [Google Scholar] [CrossRef]
- Sørensen, M.; Ottemöller, L.; Havskov, J.; Atakan, K.; Hellevang, B.; Pedersen, R. Tectonic processes in the Jan Mayen Fracture Zone based on earthquake occurrence and bathymetry. Bull. Seismol. Soc. Am. 2007, 97, 772–779. [Google Scholar] [CrossRef]
- Pastén, D.; Pavez-Orrego, C. Multifractal time evolution for intraplate earthquakes recorded in southern Norway during 1980–2021. Chaos Solitons Fractals 2023, 167, 113000. [Google Scholar] [CrossRef]
- Paul, E.; Rényi, A. On the evolution of random graphs. Publ. Math. Inst. Hung. Acad. Sci. 1960, 5, 17–60. [Google Scholar]
- Watts, D.J.; Strogatz, S.H. Collective dynamics of ‘small-world’ networks. Nature 1998, 393, 440–442. [Google Scholar] [CrossRef]
- Barabási, A.L.; Albert, R. Emergence of scaling in random networks. Science 1999, 286, 509–512. [Google Scholar] [CrossRef]
- Thiery, J.; Sleeman, J. Complex networks orchestrate epithelial–mesenchymal transitions. Nat. Rev. Mol. Cell. Biol. 2006, 7, 131–142. [Google Scholar] [CrossRef]
- Barabási, A.; Gulbahce, N.; Loscalzo, J. Network medicine: A network-based approach to human disease. Nat. Rev. Genet. 2011, 12, 56–68. [Google Scholar] [CrossRef] [PubMed]
- Jeong, H.; Tombor, B.; Albert, R.; Oltvai, Z.; Barabási, A. The large-scale organization of metabolic network. Nature 2000, 407, 651–654. [Google Scholar] [CrossRef] [PubMed]
- Moghadam, H.; Mohammadi, T.; Kashani, M.; Shakeri, A. Complex networks analysis in Iran stock market: The application of centrality. Phys. A 2019, 531, 121800. [Google Scholar] [CrossRef]
- Yang, X.; Wu, Z.; Javaid, S. An Adaptive Hierarchical Network Model for Studying the Structure of Economic Network. Entropy 2022, 24, 702. [Google Scholar] [CrossRef]
- Scabini, L.; Ribas, L.; Neiva, M.; Junior, A.; Farfán, A.; Bruno, O. Social interaction layers in complex networks for the dynamical epidemic modeling of COVID-19 in Brazil. Phys. A 2021, 564, 125498. [Google Scholar] [CrossRef]
- Kertész, J.; Török, J.; Murase, Y.; Jo, H.H.; Kaski, K. Modeling the Complex Network of Social Interactions. In Pathways Between Social Science and Computational Social Science; Rudas, T., Péli, G., Eds.; Computational Social Sciences; Springer: Cham, Switzerland, 2021. [Google Scholar] [CrossRef]
- Tenenbaum, J.; Havlin, S.; Stanley, H. Earthquake networks based on similar activity patterns. Phys. Rev. E 2012, 86, 046107. [Google Scholar] [CrossRef]
- Varotsos, P.A.; Sarlis, N.V.; Skordas, E.S. Study of the temporal correlations in the magnitude time series before major earthquakes in Japan. J. Geophys. Res. 2014, 119, 9192–9206. [Google Scholar] [CrossRef]
- Chorozoglou, D.; Kugiumtzis, D.; Papadimitriou, E. Testing the structure of earthquake networks from multivariate time series of successive main shocks in Greece. Phys. A 2018, 499, 28–39. [Google Scholar] [CrossRef]
- Mintzelas, A.; Sarlis, N. Minima of the fluctuations of the order parameter of seismicity and earthquake networks based on similar activity patterns. Phys. A 2019, 527, 121293. [Google Scholar] [CrossRef]
- Varotsos, P.; Perez-Oregon, J.; Skordas, E.; Sarlis, N. Estimating the Epicenter of an Impending Strong Earthquake by Combining the Seismicity Order Parameter Variability Analysis with Earthquake Networks and Nowcasting: Application in the Eastern Mediterranean. Appl. Sci. 2021, 11, 10093. [Google Scholar] [CrossRef]
- Suyal, V.; Prasad, A.; Singh, H. Visibility-graph analysis of the solar wind velocity. Sol. Phys. 2014, 289, 379–389. [Google Scholar] [CrossRef]
- Muñoz, V.; Garcés, N.E. Analysis of pulsating variable stars using the visibility graph algorithm. PLoS ONE 2021, 16, e0259735. [Google Scholar] [CrossRef]
- Acosta-Tripailao, B.; Max-Moerbeck, W.; Pastén, D.; Moya, P. Assigning Degrees of Stochasticity to Blazar Light Curves in the Radio Band Using Complex Networks. Entropy 2022, 24, 1063. [Google Scholar] [CrossRef]
- Abe, S.; Suzuki, N. Complex-network description of seismicity. Nonlinear Proc. Geophys. 2006, 13, 145–150. [Google Scholar] [CrossRef]
- Pastén, D.; Torres, F.; Toledo, B.; Noz, V.M.; Rogan, J.; Valdivia, J.A. Time-Based Network Analysis Before and After the M w 8.3 Illapel Earthquake 2015 Chile. Pure Appl. Geophys. 2016, 173, 2267–2275. [Google Scholar] [CrossRef]
- Martín, F.; Pastén, D. Complex Networks and the b-Value Relationship Using the Degree Probability Distribution: The Case of Three Mega-Earthquakes in Chile in the Last Decade. Entropy 2022, 24, 337. [Google Scholar] [CrossRef] [PubMed]
- Abe, S.; Suzuki, N. Scale-free network of earthquakes. Chin. Sci. Bull. 2004, 65, 581. [Google Scholar] [CrossRef]
- Abe, S.; Pastén, D.; Muñoz, V.; Suzuki, N. Universalities of earthquake-network characteristics. Chin. Sci. Bull. 2011, 56, 34. [Google Scholar] [CrossRef]
- Pastén, D.; Czechowski, Z.; Toledo, B. Time series analysis in earthquake complex networks. Chaos Interdiscip. J. Nonlinear Sci. 2018, 28, 083128. [Google Scholar] [CrossRef] [PubMed]
- Telesca, L.; Lovallo, M. Analysis of seismic sequences by using the method of visibility graph. Europhys. Lett. 2012, 97, 50002. [Google Scholar] [CrossRef]
- Aguilar-San Juan, B.; Guzmán-Vargas, L. Earthquake magnitude time series: Scaling behavior of visibility networks. Eur. Phys. J. B 2013, 86, 454. [Google Scholar] [CrossRef]
- Telesca, L.; Pastén, D.; Muñoz, V. Analysis of Time Dynamical Features in Intraplate Versus Interplate Seismicity: The Case Study of Iquique Area (Chile). Pure Appl. Geophys. 2020, 177, 4755–4773. [Google Scholar] [CrossRef]
- Department of Earth Science. Annual Report for the Norwegian National Seismic Network, Technical Report; Institute of Solid Earth Physics, University of Bergen and Norwegian Oil and Gas Association: Bergen, Norway, 2018; Volume 1, pp. 1–62. [Google Scholar]
- Bungum, H.; Lindholm, C.D.; Dahle, A.; Woo, G.; Nadim, F.; Holme, J.K.; Gudmestad, O.; Hagberg, T.; Karthigeyan, K. New seismic zoning maps for Norway, the North Sea, and the United Kingdom. Seismol. Res. Lett. 2000, 71, 687–697. [Google Scholar] [CrossRef]
- Bannister, S.; Ruud, B.; Husebye, E. Tomographic estimates of sub-Moho seismic velocities in Fennoscandia and structural implications. Tectonophysics 1991, 189, 37–53. [Google Scholar] [CrossRef]
- Kolstrup, M.; Hung, S.; Maupin, V. Multiscale finite frequency P and S tomography of the upper mantle in the south-western Fennoscandian Shield. Geophys. J. Int. 2015, 202, 190–218. [Google Scholar] [CrossRef]
- Hejrani, B.; Balling, N.; Jacobsen, B.; England, R. Upper-mantle velocities below the Scandinavian Mountains from P- and S- wave traveltime tomography. Geophys. J. Int. 2017, 208, 177–192. [Google Scholar] [CrossRef]
- Bøe, R.; Fossen, H.; Smelror, M. Mesozoic sediments and structures onshore Norway and in the coastal zone. NGU Bull. 2010, 450, 15–32. [Google Scholar]
- Fjeldskaar, W.; Lindholm, C.; Dehls, J.; Fjeldskaar, I. Postglacial uplift, neotectonics and seismicity in Fennoscandia. Quat. Sci. Rev. 2000, 19, 1413–1422. [Google Scholar] [CrossRef]
- Department of Earth Science. Annual Report for the Norwegian National Seismic Network, Technical Report; Institute of Solid Earth Physics, University of Bergen and Norwegian Oil and Gas Association: Bergen, Norway, 2019; Volume 1, pp. 1–58. [Google Scholar]
- Varotsos, P.A.; Sarlis, N.V.; Skordas, E.S. Long-range correlations in the electric signals that precede rupture. Phys. Rev. E 2002, 66, 011902. [Google Scholar] [CrossRef]
- Varotsos, P.; Sarlis, N.; Skordas, E. Seismic electric signals and seismicity: On a tentative interrelation between their spectral. Acta Geophys. Pol. 2002, 50, 337–354. [Google Scholar]
- Varotsos, P.A.; Sarlis, N.V.; Tanaka, H.K.; Skordas, E.S. Similarity of fluctuations in correlated systems: The case of seismicity. Phys. Rev. E 2005, 72, 041103. [Google Scholar] [CrossRef] [PubMed]
- Ro, H.; Faleide, J. A stretching mode1 for the Oslo Rift. Tectonophysics 1992, 208, 19–36. [Google Scholar] [CrossRef]
















| 3D | 2D | Half Data | ||
|---|---|---|---|---|
| 5 km | 2.1 ± 0.1 | 2.2 ± 0.1 | 2.1 ± 0.1 | 2.4 ± 0.2 |
| 6 km | 2.1 ± 0.1 | 2.0 ± 0.1 | 2.1 ± 0.1 | 2.3 ± 0.2 |
| 7 km | 2.1 ± 0.1 | 1.83 ± 0.09 | 2.0 ± 0.1 | 2.2 ± 0.2 |
| 8 km | 1.9 ± 0.1 | 1.74 ± 0.09 | 1.9 ± 0.1 | 2.1 ± 0.2 |
| 9 km | 1.7 ± 0.1 | 1.73 ± 0.09 | 2.1 ± 0.1 | 2.0 ± 0.1 |
| 10 km | 1.7 ± 0.1 | 1.6 ± 0.1 | 1.9 ± 0.1 | 2.0 ± 0.1 |
| 11 km | 1.7 ± 0.09 | 1.6 ± 0.1 | 1.9 ± 0.1 | 1.9 ± 0.1 |
| 12 km | 1.6 ± 0.1 | 1.52 ± 0.07 | 1.7 ± 0.1 | 2.0 ± 0.1 |
| 13 km | 1.6 ± 0.1 | 1.47 ± 0.07 | 1.7 ± 0.1 | 1.8 ± 0.1 |
| 14 km | 1.56 ± 0.08 | 1.43 ± 0.08 | 1.6 ± 0.1 | 1.8 ± 0.1 |
| 15 km | 1.45 ± 0.08 | 1.38 ± 0.06 | 1.54 ± 0.08 | 1.8 ± 0.1 |
| 16 km | 1.46 ± 0.06 | 1.38 ± 0.06 | 1.55 ± 0.08 | 1.54 ± 0.08 |
| 17 km | 1.36 ± 0.07 | 1.35 ± 0.07 | 1.30 ± 0.09 | 1.45 ± 0.08 |
| 18 km | 1.37 ± 0.06 | 1.27 ± 0.07 | 1.34 ± 0.07 | 1.46 ± 0.08 |
| 19 km | 1.29 ± 0.06 | 1.26 ± 0.06 | 1.32 ± 0.08 | 1.41 ± 0.08 |
| 20 km | 1.24 ± 0.05 | 1.17 ± 0.06 | 1.24 ± 0.08 | 1.35 ± 0.08 |
| SW Norway | SE Norway (Oslo) | Subset SW Norway | |
|---|---|---|---|
| 5 km | 2.1 ± 0.1 | – | — |
| 6 km | 2.1 ± 0.1 | – | — |
| 7 km | 2.1 ± 0.1 | 3.0 ± 0.1 | 1.9 ± 0.4 |
| 8 km | 2.0 ± 0.1 | 2.7 ± 0.2 | 1.8 ± 0.4 |
| 9 km | 1.9 ± 0.1 | 2.5 ± 0.2 | 1.9 ± 0.3 |
| 10 km | 1.7 ± 0.1 | 2.6 ± 0.2 | 1.9 ± 0.3 |
| 11 km | 1.8 ± 0.1 | 2.4 ± 0.2 | 1.7 ± 0.3 |
| 12 km | 1.8 ± 0.1 | 2.2 ± 0.2 | 1.7 ± 0.3 |
| 13 km | 1.76 ± 0.09 | 2.3 ± 0.2 | 1.7 ± 0.2 |
| 14 km | 1.63 ± 0.08 | 2.2 ± 0.1 | 1.7 ± 0.2 |
| 15 km | 1.48 ± 0.09 | 2.2 ± 0.1 | 1.7 ± 0.2 |
| 16 km | 1.28 ± 0.09 | 1.9 ± 0.1 | 1.5 ± 0.2 |
| 17 km | 1.23 ± 0.09 | 1.7 ± 0.1 | 1.5 ± 0.1 |
| 18 km | 1.20 ± 0.08 | 1.7 ± 0.1 | 1.4 ± 0.2 |
| 19 km | 1.09 ± 0.08 | 1.8 ± 0.1 | 1.4 ± 0.1 |
| 20 km | 1.10 ± 0.07 | 1.8 ± 0.1 | 1.4 ± 0.1 |
Disclaimer/Publisher’s Note: The statements, opinions and data contained in all publications are solely those of the individual author(s) and contributor(s) and not of MDPI and/or the editor(s). MDPI and/or the editor(s) disclaim responsibility for any injury to people or property resulting from any ideas, methods, instructions or products referred to in the content. |
© 2023 by the authors. Licensee MDPI, Basel, Switzerland. This article is an open access article distributed under the terms and conditions of the Creative Commons Attribution (CC BY) license (https://creativecommons.org/licenses/by/4.0/).
Share and Cite
Pavez-Orrego, C.; Pastén, D. Defining the Scale to Build Complex Networks with a 40-Year Norwegian Intraplate Seismicity Dataset. Entropy 2023, 25, 1284. https://doi.org/10.3390/e25091284
Pavez-Orrego C, Pastén D. Defining the Scale to Build Complex Networks with a 40-Year Norwegian Intraplate Seismicity Dataset. Entropy. 2023; 25(9):1284. https://doi.org/10.3390/e25091284
Chicago/Turabian StylePavez-Orrego, Claudia, and Denisse Pastén. 2023. "Defining the Scale to Build Complex Networks with a 40-Year Norwegian Intraplate Seismicity Dataset" Entropy 25, no. 9: 1284. https://doi.org/10.3390/e25091284
APA StylePavez-Orrego, C., & Pastén, D. (2023). Defining the Scale to Build Complex Networks with a 40-Year Norwegian Intraplate Seismicity Dataset. Entropy, 25(9), 1284. https://doi.org/10.3390/e25091284

