Wavelet-Based Multiscale Intermittency Analysis: The Effect of Deformation
Abstract
1. Introduction
2. Preliminaries
2.1. Intermittency Wavelet-Based Quantifiers
2.2. Information and Complexity Measures
2.3. Deformation
3. Deformation and Intermittency: Interscale Transfer of Energy
4. Illustrative Cases
4.1. Simulated Examples
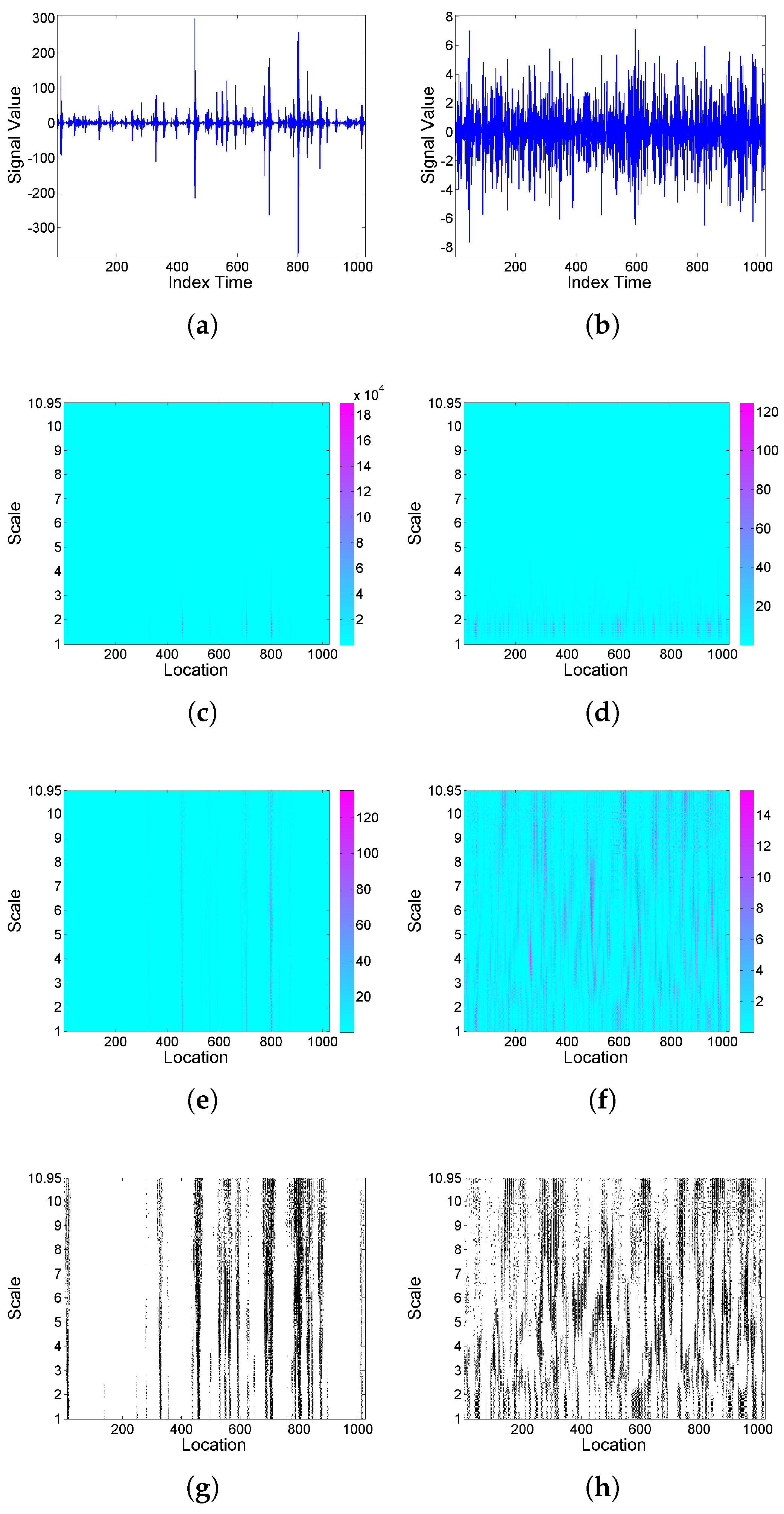
4.2. Analysis of a Real Seismic Signal
5. Conclusions
Supplementary Materials
Author Contributions
Funding
Data Availability Statement
Acknowledgments
Conflicts of Interest
References
- Nicolleau, F.; Vassilicos, J.C. Wavelets for the study of intermittency and its topology. Philos. Trans. R. Soc. Lond. A 1999, 357, 2439–2457. [Google Scholar] [CrossRef]
- Farge, M.; Holschneider, M.; Colonna, J.F. Wavelet analysis of coherent structures in two dimensional turbulent flow. In Topological Fluid Mechanics; Moffatt, H.K., Tsinober, A., Eds.; Cambridge University Press: Cambridge, UK, 1990; pp. 765–766. [Google Scholar]
- Farge, M. Wavelet transforms and their applications to turbulence. Annu. Rev. Fluid Mech. 1992, 24, 395–458. [Google Scholar] [CrossRef]
- Meneveau, C. Analysis of turbulence in the orthonormal wavelet representation. J. Fluids Mech. 1991, 323, 469–520. [Google Scholar] [CrossRef]
- Schneider, K.; Farge, M.; Kevlahan, N. Spatial intermittency in two-dimensional turbulence: A wavelet approach. In Woods Hole Mathematics, Perspectives in Mathematics and Physics; Series on Knots and Everything; Tongring, N., Penner, R., Eds.; World Scientific: Singapore, 2004; Volume 34, pp. 302–328. [Google Scholar]
- Farge, M.; Schneider, K. Wavelets: Application to turbulence. In Encyclopedia of Mathematical Physics; Françoise, J.P., Naber, G.L., Tsun, T.S., Eds.; Elservier: Amsterdam, The Netherlands, 2006; pp. 408–420. [Google Scholar]
- Johnson, P.L.; Meneveau, C. Turbulence intermittency in a multiple-time-scale Navier-Stokes-based reduced model. Phys. Rev. Fluids 2017, 2, 072601. [Google Scholar] [CrossRef]
- Arneodo, A.; Decoster, N.; Roux, S.G. Intermittency, log-normal statistics, and multifractal cascade process in high-resolution satellite images of cloud structure. Phys. Rev. Lett. 1999, 83, 1255–1258. [Google Scholar] [CrossRef]
- Bickel, D.R. Generalized entropy and multifractality of time-series: Relationship between order and intermittency. Chaos Solitons Fractals 2002, 13, 491–497. [Google Scholar] [CrossRef]
- De Michelis, P.; Tozzi, R. A local intermittency measure (LIM) approach to the detection of geomagnetic jerks. Earth Planet. Sci. Lett. 2005, 235, 261–272. [Google Scholar] [CrossRef]
- Kowalski, A.M.; Martin, M.T.; Plastino, A.; Zunino, L. Tsallis’ deformation parameter q quantifies the classical-quantum transition. Phys. A 2009, 388, 1985–1994. [Google Scholar] [CrossRef]
- Schneider, K.; Vasilyev, O.V. Wavelet methods in computational fluid dynamics. Annu. Rev. Fluid Mech. 2010, 42, 473–503. [Google Scholar] [CrossRef]
- Wang, L.; Zheng, Z.Y.; Cai, W.H.; Li, F.C. Wavelet analysis of coherent structures and intermittency in forced homogeneous isotropic turbulence with polymer additives. Adv. Mech. Eng. 2017, 9, 1687814017737722. [Google Scholar] [CrossRef]
- Anderes, E.B.; Stein, M.L. Estimating deformations of isotropic Gaussian random fields on the plane. Ann. Stat. 2008, 36, 719–741. [Google Scholar] [CrossRef]
- Fouedjio, F.; Desassis, N.; Romary, T. Estimation of space deformation model for non-stationary random functions. Spat. Stat. 2015, 13, 45–61. [Google Scholar] [CrossRef]
- Vera, J.F.; Angulo, J.M.; Roldán, J.A. Stability analysis in nonstationary spatial covariance estimation. Stoch. Environ. Res. Risk Assess. 2016, 31, 815–828. [Google Scholar] [CrossRef]
- Glasbey, C.A.; Mardia, K.V. A penalized likelihood approach to image warping. J. R. Stat. Society. Ser. B 2001, 63, 465–514. [Google Scholar] [CrossRef]
- Mardia, K.V.; Bookstein, F.L.; Kent, J.T.; Meyer, C.R. Intrinsic random fields and image deformations. J. Math. Imaging Vis. 2006, 26, 59–71. [Google Scholar] [CrossRef]
- Goitía, A.; Ruiz-Medina, M.D.; Angulo, J.M. Joint estimation of spatial deformation and blurring in environmental data. Stoch. Environ. Res. Risk Assess. 2005, 19, 1–17. [Google Scholar] [CrossRef]
- Mardia, K.V.; Angulo, J.M.; Goitía, A. Synthesis of image deformation strategies. Image Vis. Comput. 2006, 24, 1–12. [Google Scholar] [CrossRef]
- Angulo, J.M.; Madrid, A.E. Structural analysis of spatio-temporal threshold exceedances. Environmetrics 2010, 21, 415–438. [Google Scholar] [CrossRef]
- Angulo, J.M.; Madrid, A.E. A deformation/blurring-based spatio-temporal model. Stoch. Environ. Res. Risk Assess. 2014, 28, 1061–1073. [Google Scholar] [CrossRef]
- Madrid, A.E.; Angulo, J.M.; Mateu, J. Point pattern analysis of spatial deformation and blurring effects on exceedances. J. Agric. Biol. Environ. Stat. 2016, 21, 512–530. [Google Scholar] [CrossRef]
- Shannon, C.E. A mathematical theory of communication. Bell Syst. Tech. J. 1948, 27, 379–423. [Google Scholar] [CrossRef]
- Rényi, A. On measures of entropy and information. In Symposium on Mathematical Statistics and Probability; Neyman, J., Ed.; University of California Press: Berkeley, CA, USA, 1961; pp. 547–561. [Google Scholar]
- Tsallis, C. Possible generalization of Boltzmann-Gibbs statistics. J. Stat. Phys. 1988, 52, 479–487. [Google Scholar] [CrossRef]
- Campbell, L.L. Exponential entropy as a measure of extent of a distribution. Z. Wahrscheinlichkeitstheor. Verwandte Geb. 1996, 5, 217–225. [Google Scholar] [CrossRef]
- Martin, M.T.; Plastino, A.; Rosso, O.A. Generalized statistical complexity measures: Geometrical and analytical properties. Phys. A 2006, 369, 439–462. [Google Scholar] [CrossRef]
- Angulo, J.M.; Esquivel, F.J.; Madrid, A.E.; Alonso, F.J. Information and complexity analysis of spatial data. Spat. Stat. 2021, 42, 100462. [Google Scholar] [CrossRef]
- Mallat, S. A Wavelet Tour of Signal Processing. The Sparse Way, 3rd ed.; Elsevier: Burlington, MA, USA, 2009. [Google Scholar]
- Guilliam, X.; Dunyak, J.; Doggett, A.; Smith, D. Coherent structure detection using wavelet analysis in long time-series. J. Wind Eng. Ind. Aerodyn. 2000, 88, 183–195. [Google Scholar] [CrossRef]
- López-Ruiz, R.; Nagy, A.; Romera, E.; Sañudo, J. A generalized statistical complexity measure: Applications to quantum systems. J. Math. Phys. 2009, 50, 123528. [Google Scholar] [CrossRef]
- Romero, J.L.; Madrid, A.E.; Angulo, J.M. Quantile-Based Spatiotemporal Risk. Assessment of Exceedances. Stoch. Environ. Res. Risk Assess. 2018, 32, 2275–2291. [Google Scholar] [CrossRef]
- Angulo, J.M.; Esquivel, F.J. Multifractal dimensional dependence assessment based on Tsallis mutual information. Entropy 2015, 17, 5382–5401. [Google Scholar] [CrossRef]
- Esquivel, F.J.; Alonso, F.J.; Angulo, J.M. Multifractal complexity analysis in space–time based on the generalized dimensions derivatives. Spat. Stat. 2017, 22, 469–480. [Google Scholar] [CrossRef]
- Vallianatos, F.; Michas, G. Complexity of fracturing in terms of non-extensive statistical physics: From earthquake faults to arctic sea ice fracturing. Entropy 2020, 22, 1194. [Google Scholar] [CrossRef] [PubMed]

















Disclaimer/Publisher’s Note: The statements, opinions and data contained in all publications are solely those of the individual author(s) and contributor(s) and not of MDPI and/or the editor(s). MDPI and/or the editor(s) disclaim responsibility for any injury to people or property resulting from any ideas, methods, instructions or products referred to in the content. |
© 2023 by the authors. Licensee MDPI, Basel, Switzerland. This article is an open access article distributed under the terms and conditions of the Creative Commons Attribution (CC BY) license (https://creativecommons.org/licenses/by/4.0/).
Share and Cite
Angulo, J.M.; Madrid, A.E. Wavelet-Based Multiscale Intermittency Analysis: The Effect of Deformation. Entropy 2023, 25, 1080. https://doi.org/10.3390/e25071080
Angulo JM, Madrid AE. Wavelet-Based Multiscale Intermittency Analysis: The Effect of Deformation. Entropy. 2023; 25(7):1080. https://doi.org/10.3390/e25071080
Chicago/Turabian StyleAngulo, José M., and Ana E. Madrid. 2023. "Wavelet-Based Multiscale Intermittency Analysis: The Effect of Deformation" Entropy 25, no. 7: 1080. https://doi.org/10.3390/e25071080
APA StyleAngulo, J. M., & Madrid, A. E. (2023). Wavelet-Based Multiscale Intermittency Analysis: The Effect of Deformation. Entropy, 25(7), 1080. https://doi.org/10.3390/e25071080

