Supply Chain Risk Diffusion in Partially Mapping Double-Layer Hypernetworks
Abstract
1. Introduction
- Based on the partially mapping double-layer hypernetwork model, the randomness of the mapping between layers is proposed, and the interaction between supply chain risk and uncertain information is described.
- Two removal strategies are proposed to describe the network dynamic evolution process. The contribution of control means to market stability is analyzed.
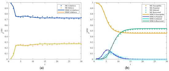
- The supply chain risk diffusion process in a partially mapping double-layer hypernetwork with MATLAB is simulated, the effectiveness of MMCA is proved, and the risk diffusion trend under two strategies and dynamic evolution parameters is grasped.
2. Model Description
2.1. Hypernetwork Model
- Enterprises in the supply chain network establish new cooperative relations.
- 2.
- When the contract expires, some enterprises no longer renew the contract with former partners but cooperate with new partners.
- 3.
- New enterprises enter, and some enterprises withdraw from the market.
2.2. UBU-SPIR Compartment Model
2.3. Dynamic Evolution Steps of the Model
3. Theoretical Analysis
3.1. Remove the Aging Node
3.2. Remove the Key Node
4. Numerical Simulation
4.1. Removal of Aging Nodes
4.2. Removal of Key Nodes
5. Conclusions
- (1)
- The increase in the upper layer mapping rate and adding and removing nodes will inhibit the diffusion of risks.
- (2)
- The increase in the lower layer mapping rate and adding and rewiring hyperedges will promote the risk diffusion.
- (3)
- To restrain risk, it is more effective to remove aging nodes than key nodes.
Author Contributions
Funding
Institutional Review Board Statement
Data Availability Statement
Conflicts of Interest
References
- Xu, A.; Qian, F.; Pai, C.H.; Yu, N.; Zhou, P. The Impact of COVID-19 Epidemic on the Development of the Digital Economy of China—Based on the Data of 31 Provinces in China. Front. Public Health 2022, 9, 2245. [Google Scholar] [CrossRef]
- Song, Y.; Kwon, K.H.; Lu, Y.; Fan, Y.; Li, B. The “Parallel Pandemic” in the Context of China: The Spread of Rumors and Rumor-Corrections During COVID-19 in Chinese Social Media. Am. Behav. Sci. 2021, 65, 2014–2036. [Google Scholar] [CrossRef]
- Zhao, Z.; Chen, D.; Wang, L.; Han, C. Credit Risk Diffusion in Supply Chain Finance: A Complex Networks Perspective. Sustainability 2018, 10, 4608. [Google Scholar] [CrossRef]
- Zhang, G.; Wang, X.; Gao, Z.; Xiang, T. Research on Risk Diffusion Mechanism of Logistics Service Supply Chain in Urgent Scenarios. Math. Probl. Eng. 2020, 2020, 5906901. [Google Scholar] [CrossRef]
- Liu, C.; Ji, H.; Wei, J. Smart Supply Chain Risk Assessment in Intelligent Manufacturing. J. Comput. Inf. Syst. 2022, 62, 609–621. [Google Scholar] [CrossRef]
- Niroomand, S.; Garg, H.; Mahmoodirad, A. An Intuitionistic Fuzzy Two Stage Supply Chain Network Design Problem with Multi-Mode Demand and Multi-Mode Transportation. ISA Trans. 2020, 107, 117–133. [Google Scholar] [CrossRef] [PubMed]
- Dong, Z.; Liang, W.; Liang, Y.; Gao, W.; Lu, Y. Blockchained Supply Chain Management Based on IoT Tracking and Machine Learning. EURASIP J. Wirel. Commun. Netw. 2022, 2022, 127. [Google Scholar] [CrossRef] [PubMed]
- Kermack, W.O.; McKendrick, A.G. A Contribution to the Mathematical Theory of Epidemics. Proc. R. Soc. Lond. Ser. A Contain. Pap. A Math. Phys. Character 1927, 115, 700–721. [Google Scholar] [CrossRef]
- Kermack, W.O.; McKendrick, A.G. Contributions to the Mathematical Theory of Epidemics. III.—Further Studies of the Problem of Endemicity. Proc. R. Soc. Lond. Ser. A Contain. Pap. A Math. Phys. Character 1933, 141, 94–122. [Google Scholar] [CrossRef]
- Kandhway, K.; Kuri, J. How to Run a Campaign: Optimal Control of SIS and SIR Information Epidemics. Appl. Math. Comput. 2014, 231, 79–92. [Google Scholar] [CrossRef]
- Wang, J.; Zhou, H.; Jin, X. Risk Transmission in Complex Supply Chain Network with Multi-Drivers. Chaos Solitons Fractals 2021, 143, 110259. [Google Scholar] [CrossRef]
- Liang, D.; Bhamra, R.; Liu, Z.; Pan, Y. Risk Propagation and Supply Chain Health Control Based on the SIR Epidemic Model. Mathematics 2022, 10, 3008. [Google Scholar] [CrossRef]
- Denning, P.J. The science of computing: Supernetworks. Am. Sci. 1985, 73, 225–227. [Google Scholar]
- Estrada, E.; Rodriguez-Velazquez, J.A. Subgraph Centrality and Clustering in Complex Hyper-Networks. Phys. A Stat. Mech. Its Appl. 2006, 364, 581–594. [Google Scholar] [CrossRef]
- Suo, Q.; Guo, J.L.; Sun, S.; Liu, H. Exploring the Evolutionary Mechanism of Complex Supply Chain Systems Using Evolving Hypergraphs. Phys. A Stat. Mech. Its Appl. 2018, 489, 141–148. [Google Scholar] [CrossRef]
- Wang, Z.; Yin, H.; Jiang, X. Exploring the Dynamic Growth Mechanism of Social Networks Using Evolutionary Hypergraph. Phys. A Stat. Mech. Its Appl. 2020, 544, 122545. [Google Scholar] [CrossRef]
- Li, J.; Yu, A.; Xu, B. Risk Propagation and Evolution Analysis of Multi-Level Handlings at Automated Terminals Based on Double-Layer Dynamic Network Model. Phys. A Stat. Mech. Its Appl. 2022, 605, 127963. [Google Scholar] [CrossRef]
- Choudhury, M.; Mahata, G.C. Dual Channel Supply Chain Inventory Policies for Controllable Deteriorating Items Having Dynamic Demand under Trade Credit Policy with Default Risk. RAIRO-Oper. Res. 2022, 56, 2443–2473. [Google Scholar] [CrossRef]
- Huo, L.; Guo, H.; Cheng, Y.; Xie, X. A New Model for Supply Chain Risk Propagation Considering Herd Mentality and Risk Preference under Warning Information on Multiplex Networks. Phys. A Stat. Mech. Its Appl. 2020, 545, 123506. [Google Scholar] [CrossRef]
- Qian, Q.; Feng, H.; Gu, J. The Influence of Risk Attitude on Credit Risk Contagion—Perspective of Information Dissemination. Phys. A Stat. Mech. Its Appl. 2021, 582, 126226. [Google Scholar] [CrossRef]
- Xiao, Y.; Zhang, L.; Li, Q.; Liu, L. MM-SIS: Model for Multiple Information Spreading in Multiplex Network. Phys. A Stat. Mech. Its Appl. 2019, 513, 135–146. [Google Scholar] [CrossRef]
- Hu, P.; Geng, D.; Lin, T.; Ding, L. Coupled Propagation Dynamics on Multiplex Activity-Driven Networks. Phys. A Stat. Mech. Its Appl. 2021, 561, 125212. [Google Scholar] [CrossRef]
- Jin, D.; Ma, X.; Zhang, Y.; Abbas, H.; Yu, H. Information Diffusion Model Based on Social Big Data. Mob. Netw. Appl. 2018, 23, 717–722. [Google Scholar] [CrossRef]
- Yin, H.; Wang, Z.; Gou, Y.; Xu, Z. Rumor Diffusion and Control Based on Double-Layer Dynamic Evolution Model. IEEE Access 2020, 8, 115273–115286. [Google Scholar] [CrossRef]
- Wang, J.W.; Rong, L.L.; Deng, Q.H.; Zhang, J.Y. Evolving Hypernetwork Model. Eur. Phys. J. B 2010, 77, 493–498. [Google Scholar] [CrossRef]
- Xia, C.; Wang, Z.; Zheng, C.; Guo, Q.; Shi, Y.; Dehmer, M.; Chen, Z. A New Coupled Disease-Awareness Spreading Model with Mass Media on Multiplex Networks. Inf. Sci. 2019, 471, 185–200. [Google Scholar] [CrossRef]
- Yu, P.; Wang, Z.; Sun, Y.; Wang, P. Risk Diffusion and Control under Uncertain Information Based on Hypernetwork. Mathematics 2022, 10, 4344. [Google Scholar] [CrossRef]
- Ma, W.; Zhang, P.; Zhao, X.; Xue, L. The Coupled Dynamics of Information Dissemination and SEIR-Based Epidemic Spreading in Multiplex Networks. Phys. A Stat. Mech. Its Appl. 2022, 588, 126558. [Google Scholar] [CrossRef] [PubMed]
- Chen, P.; Guo, X.; Jiao, Z.; Liang, S.; Li, L.; Yan, J.; Huang, Y.; Liu, Y.; Fan, W. Effects of Individual Heterogeneity and Multi-Type Information on the Coupled Awareness-Epidemic Dynamics in Multiplex Networks. Front. Phys. 2022, 10, 964883. [Google Scholar] [CrossRef]
- Guo, H.; Yin, Q.; Xia, C.; Dehmer, M. Impact of Information Diffusion on Epidemic Spreading in Partially Mapping Two-Layered Time-Varying Networks. Nonlinear Dyn. 2021, 105, 3819–3833. [Google Scholar] [CrossRef]










| Parameter | The Meaning of the Parameter |
|---|---|
| Probability of adding the hyperedge | |
| Probability of rewiring the hyperedge | |
| Probability of adding and removing nodes | |
| The total number of nodes | |
| The probability of the th node in the th batch encountering risk | |
| Probability of transition from the S-state to the P-state |
Disclaimer/Publisher’s Note: The statements, opinions and data contained in all publications are solely those of the individual author(s) and contributor(s) and not of MDPI and/or the editor(s). MDPI and/or the editor(s) disclaim responsibility for any injury to people or property resulting from any ideas, methods, instructions or products referred to in the content. |
© 2023 by the authors. Licensee MDPI, Basel, Switzerland. This article is an open access article distributed under the terms and conditions of the Creative Commons Attribution (CC BY) license (https://creativecommons.org/licenses/by/4.0/).
Share and Cite
Yu, P.; Wang, Z.; Sun, Y.; Wang, P. Supply Chain Risk Diffusion in Partially Mapping Double-Layer Hypernetworks. Entropy 2023, 25, 747. https://doi.org/10.3390/e25050747
Yu P, Wang Z, Sun Y, Wang P. Supply Chain Risk Diffusion in Partially Mapping Double-Layer Hypernetworks. Entropy. 2023; 25(5):747. https://doi.org/10.3390/e25050747
Chicago/Turabian StyleYu, Ping, Zhiping Wang, Ya’nan Sun, and Peiwen Wang. 2023. "Supply Chain Risk Diffusion in Partially Mapping Double-Layer Hypernetworks" Entropy 25, no. 5: 747. https://doi.org/10.3390/e25050747
APA StyleYu, P., Wang, Z., Sun, Y., & Wang, P. (2023). Supply Chain Risk Diffusion in Partially Mapping Double-Layer Hypernetworks. Entropy, 25(5), 747. https://doi.org/10.3390/e25050747

