Cosmic and Thermodynamic Consequences of Kaniadakis Holographic Dark Energy in Brans–Dicke Gravity
Abstract
1. Introduction
2. Basic Formalism
2.1. Standard Brans–Dicke Theory of Gravity
2.2. The BD Theory with a Chameleon Scalar Field
3. Interaction between Dark Sector
4. Interaction Term
4.1. For Standard BD Theory
- Hubble Parameter: This parameter sets the scale of our universe at present time. The Hubble constant is called the current value of Hubble parameter which lies in the range 65–75 km/s/Mpc. Now, taking the derivative of Equation (7) w.r.t cosmic time and by substituting the values of , , and , we obtainNext, we convert the above expression of Hubble parameter in term of redshift parameter z. This relation is defined aswhere . Using above expression, Equation (21) becomeThe Hubble parameter H versus redshift function z by selecting is plotted in the Figure 1. We take three different values of and . This plot is showing that the current value of Hubble parameter which is compatible with observational bounds [77]. Additionally, the range of this parameter lies in .
- Deceleration Parameter: This important parameter is denoted by q. It differentiates the decelerated as well as the accelerated phase of the universe. The mathematical form of this parameter as the function of the Hubble parameter is given as followsThe different phases of the universe corresponding to different values of this parameter is defined as followsWe obtain the expression of q by inserting the value of from Equation (21) into Equation (24) asIn Figure 2, the deceleration parameter q is plotted against redshift z for the three different values of c. It has been noted that the universe is showing the early decelerated phase to current accelerated phase. For , the trajectories show the decelerated phase while these trajectories indicate the accelerated expansion of the universe [77].
- Jerk Parameter: This parameter provides a convenient and alternative way to describe cosmological methods close to concordance CDM model. If (constant) it corresponds to CDM model. Mathematically, this parameter is defined as the third derivative of a scale factor w.r.t time t as [78,79,80]Using Equation (26) in Equation (27), it resultsFigure 3 represents the plot of a jerk parameter j against the redshift z. From the graph, it can be seen that all the trajectories of the jerk parameter show positive behavior in the past, present and future era and all the trajectories converge to 1 which corresponds to model.
- Equation of State Parameter: This parameter is denoted by is defined as the ratio of pressure to DE . The EoS parameter is a powerful tool to define the accelerated and decelerated phases of the universe. Its different features related to phase transition are given in the following table:
Using Equation (17), we obtained the expression of EoS parameter asAccelerated Phase Quintessence Cosmological Constant Phantom-Dominated Era Decelerated Phase Stiff Fluid Radiation-Dominated Dust Matter-Dominated The equation of state EoS parameter is plotted in the Figure 4 versus redshift z. It has been observed that the lies within the range so it indicates the quintessence era [77].
4.2. The BD Theory with a Chameleon Scalar Field
- Hubble Parameter: To find the expression of H, we use (16) and obtain the following differential equationIn Figure 5, the Hubble parameter H versus the redshift z is plotted by selecting the initial value for three distinct values of . Other parameters are , , and . From plot it is clear that the present value of Hubble parameter . Also the range of H lies in for selected value of z. It is interesting to mention here that all these values are well matched with observational bounds [77].
- Deceleration Parameter: For this theory, the expression of deceleration parameter becomeThe graph of a deceleration parameter q is plotted in the Figure 6 along the redshift z. It is observed that q lies between which indicates the expansion is supper exponential in the past, present and later eras.
- Jerk Parameter: The expression of the jerk parameter for underlying BD theory with a chameleon scalar field and interaction term yieldsThe graph of a jerk parameter is shown in Figure 7 against the redshift parameter z. For all different values of c, we obtained positive behavior of all the trajectories of the jerk parameter that are converges to 1. This showing that the underlying model is compatible with CDM model [77].
5. Interaction Term
5.1. For Standard BD Theory
- Hubble Parameter: The expression of H for yieldsThe plot of H along z is given in Figure 9 by choosing . We take three different values of and . The graph describes that the present value of which is very near to observational value [77]. Additionally the range of Hubble parameter lies in the range .
- Equation of State Parameter: The expression of of isThe plot of EoS parameter is given in Figure 12 against the redshift function z for different values of c. It is shown from the graph that occurs between which indicates the quintessence era from past to early future when . In the future era, the graph goes quintessence to the phantom era and in the late future approaches to which indicates the cosmological constant. These results favor the observational bounds [77].
5.2. For the BD Theory with a Chameleon Scalar Field
- Hubble Parameter: For this case, the expression of H becomesWe plot the Hubble parameter H versus z in Figure 13 by selecting initial condition . We take three different values of c as and . The plot shows that the present value of Hubble parameter . Additionally, this parameter H lies in the range which shows the consistency with recent observation data [77].
- Deceleration Parameter: In this scenario, the expression of q isIn Figure 14, the deceleration parameter q is plotted against redshift z. It is observed from the plot that all the trajectories from past to future lie between which corresponds to very fast accelerated expansion of the universe (power law expansion).
- Jerk Parameter: In BD theory with a chameleon scalar field, the expression of j isThe jerk parameter j is plotted in Figure 15 versus z. It can be seen from the graph that all trajectories give the positive behavior for all cases of c. In all cases, trajectories favor the CDM limit.
- Equation of State Parameter: The expression of for this case will beThe plot of EoS against redshift function z is given in Figure 16. It is observed from the graph that lies between which indicates the quintessence era of the universe. It is interesting to mention here that these results are compatible with observational data [77].
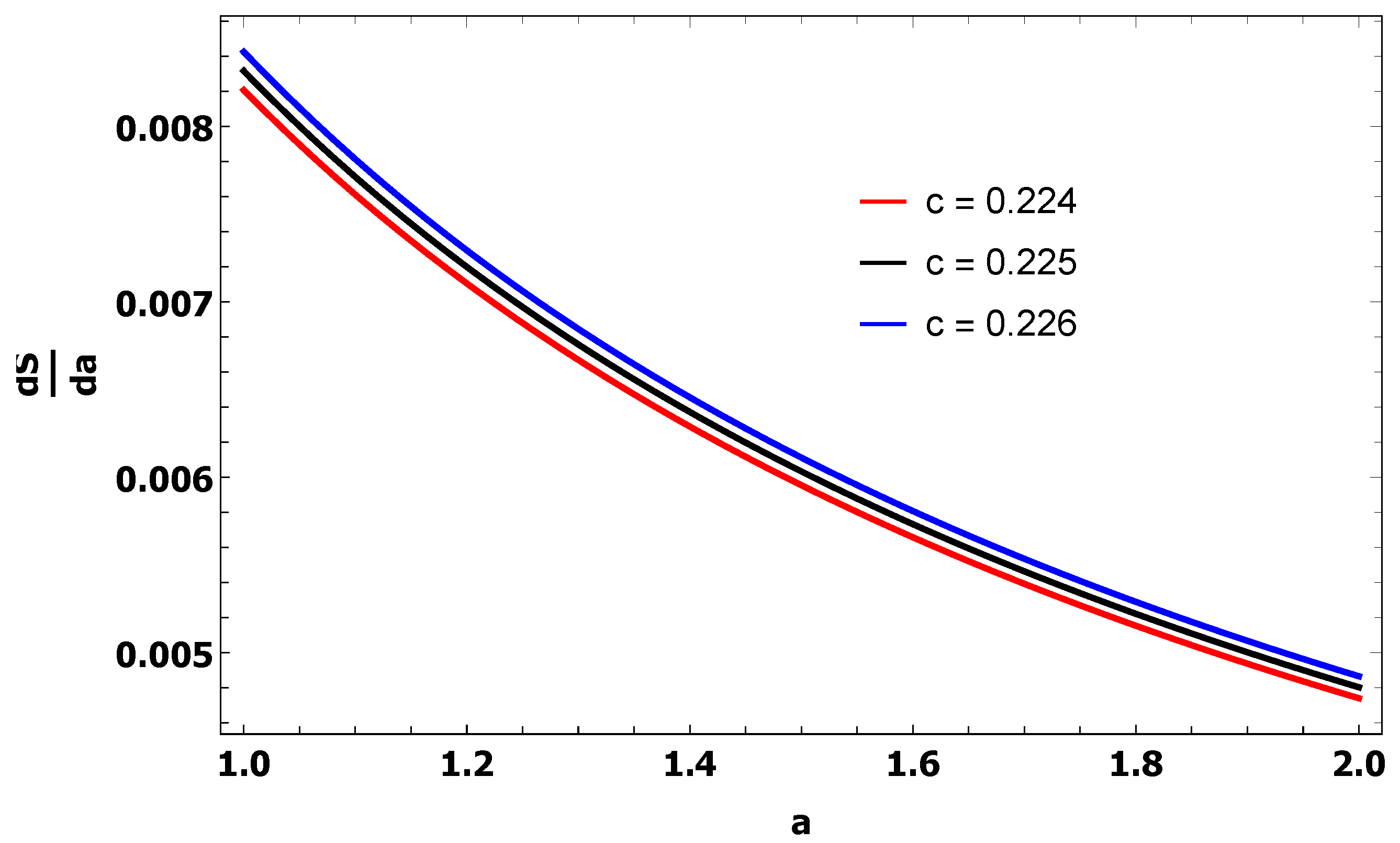
6. Thermodynamics
6.1. For Standard Brans–Dicke Theory of Gravity
6.2. For the BD Theory with a Chameleon Scalar Field
7. Conclusions and Comparison
| Observational Schemes | |
| Planck+TT+lowE | |
| Planck+TT, TE, EE+lowE | |
| Planck+TT, TE, EE+lowE+lensing | |
| Planck+TT, TE, EE+lowE+lensing+BAO |
| deceleration parameter | Observational Schemes |
| BAO+Masers+TDSL+Pantheon | |
| BAO+Masers+TDSL+Pantheon+ | |
| BAO+Masers+TDSL+Pantheon+ | |
| BAO+Masers+TDSL+Pantheon+ + |
Author Contributions
Funding
Institutional Review Board Statement
Data Availability Statement
Conflicts of Interest
References
- Contaldi, C.R.; Hoekstra, H.; Lewis, A. Joint CMB and Weak Lensing Analysis; Physically Motivated Constraints on Cosmological Parameters. Phys. Rev. Lett. 2003, 90, 221303. [Google Scholar] [CrossRef] [PubMed]
- Riess, A.G.; Filippenko, A.V.; Challis, P.; Clocchiatti, A.; Diercks, A.; Garnavich, P.M.; Gilliland, R.L.; Hogan, C.J.; Jha, S.; Kirshner, R.P.; et al. Observational Evidence from Supernovae for an Accelerating Universe and a Cosmological Constant. Astron. J. 1998, 116, 1009. [Google Scholar] [CrossRef]
- Perlmutter, S.; Aldering, G.; Goldhaber, G.; Knop, R.A.; Nugent, P.; Castro, P.G.; Deustua, S.; Fabbro, S.; Goobar, A.; Groom, D.E.; et al. Measurements of Ω and Λ from 42 High-Redshift Supernovae. Astrophys. J. 1999, 517, 565. [Google Scholar] [CrossRef]
- Spergel, D.N.; Verde, L.; Peiris, H.V.; Komatsu, E.; Nolta, M.R.; Bennett, C.L.; Halpern, M.; Hinshaw, G.; Jarosik, N.; Kogut, A.; et al. First-Year Wilkinson Microwave Anisotropy Probe (WMAP)* Observations: Determination of Cosmological Parameters. Astrophys. J. Suppl. 2003, 148, 175. [Google Scholar] [CrossRef]
- Spergel, D.N.; Bean, R.; Doré, O.; Nolta, M.R.; Bennett, C.L.; Dunkley, J.; Hinshaw, G.; Jarosik, N.; Komatsu, E.; Page, L.; et al. Three-Year Wilkinson Microwave Anisotropy Probe (WMAP) Observations: Implications for Cosmology. Astrophys. J. Suppl. 2007, 170, 377. [Google Scholar] [CrossRef]
- Sahni, V.; Starobinsky, A.A. The Case for a Positive Cosmological Lambda-term. Int. J. Mod. Phys. A 2000, 9, 373. [Google Scholar] [CrossRef]
- Peebles, P.J.E.; Ratra, B. The cosmological constant and dark energy. Rev. Mod. Phys. 2003, 75, 559. [Google Scholar] [CrossRef]
- Padmanabhan, T. Cosmological Constant—the Weight of the Vacuum. Phys. Rept. 2003, 380, 235. [Google Scholar] [CrossRef]
- Urban, F.R.; Zhitnitsky, A.R. The cosmological constant from the QCD Veneziano ghost. Phys. Lett. B 2010, 688, 9. [Google Scholar] [CrossRef]
- Percival, W.J.; Reid, B.A.; Eisenstein, D.J.; Bahcall, N.A.; Budavari, T.; Frieman, J.A.; Fukugita, M.; Gunn, J.E.; Ivezić, Ž.; Knapp, G.R.; et al. Baryon acoustic oscillations in the Sloan Digital Sky Survey Data Release 7 galaxy sample. Mon. Not. Roy. Astron. Soc. 2010, 401, 2148. [Google Scholar] [CrossRef]
- Zlatev, I.; Wang, L.; Steinhardt, P.J. Quintessence, Cosmic Coincidence, and the Cosmological Constant. Phys. Rev. Lett. 1999, 82, 896. [Google Scholar] [CrossRef]
- Turner, M.S. Making sense of the new cosmology. Int. J. Mod. Phys. A 2002, 17, 180. [Google Scholar] [CrossRef]
- Chiba, T.; Okabe, T.; Yamaguchi, M. Kinetically driven quintessence. Phys. Rev. D 2000, 62, 023511. [Google Scholar] [CrossRef]
- Setare, M.R. Interacting generalized Chaplygin gas model in non-flat universe. Eur. Phys. J. C 2007, 52, 689–692. [Google Scholar] [CrossRef]
- Kamenshchik, A.Y.; Moschella, U.; Pasquier, V. An alternative to quintessence. Phys. Lett. B 2001, 511, 265. [Google Scholar] [CrossRef]
- Weinberg, S. The cosmological constant problem. Rev. Mod. Phys. 1989, 61, 1. [Google Scholar] [CrossRef]
- Bernardini, A.E. Dynamical neutrino masses in the generalized Chaplygin gas scenario with mass varying CDM. Astropart. Phys. 2011, 34, 431. [Google Scholar] [CrossRef]
- Hsu, S.D.H. Entropy Bounds and Dark Energy. Phys. Lett. B 2004, 594, 13–16. [Google Scholar] [CrossRef]
- Li, M. A model of holographic dark energy. Phys. Lett. B 2004, 603, 1. [Google Scholar] [CrossRef]
- Nojiri, S.; Odintsov, S.D. Unified cosmic history in modified gravity: From F(R) theory to Lorentz non-invariant models. Phys. Rept. 2011, 505, 59. [Google Scholar] [CrossRef]
- Capozziello, S.; Laurentis, M.D. Extended Theories of Gravity. Phys. Rept. 2011, 509, 167. [Google Scholar] [CrossRef]
- Cai, Y.F.; Capozziello, S.; Laurentis, M.D.; Saridakis, E.N. f(T) teleparallel gravity and cosmology. Rept. Prog. Phys. 2016, 79, 106901. [Google Scholar] [CrossRef]
- Mannheim, P.D. Conformal cosmology with no cosmological constant. Gen. Rel. Grav. 1990, 22, 289. [Google Scholar] [CrossRef]
- Kazanas, D.; Mannheim, P.D. General structure of the Gravitational equations of motion in conformal Weyl gravity. Astrophys. J. Suppl. 1991, 76, 431. [Google Scholar] [CrossRef]
- Mannheim, P.D.; Kazanas, D. Newtonian limit of conformal gravity and the lack of necessity of the second order Poisson equation. Gen. Rel. Grav. 1994, 26, 337. [Google Scholar] [CrossRef]
- Buchdahl, H.A. Non-Linear Lagrangians and Cosmological Theory. Mon. Not. R. Astron. Soc. 1970, 150, 1. [Google Scholar] [CrossRef]
- Ferraro, R.; Fiorini, F. Modified teleparallel gravity: Inflation without an inflaton. Phys. Rev. D 2007, 75, 084031. [Google Scholar] [CrossRef]
- Nojiri, S.; Odintsov, S.D. Modified Gauss–Bonnet theory as gravitational alternative for dark energy. Phys. Lett. B 2005, 631, 1. [Google Scholar] [CrossRef]
- Jackiw, R.; Pi, S.Y. Chern-Simons modification of general relativity. Phys. Rev. D 2003, 68, 104012. [Google Scholar] [CrossRef]
- Nariai, H. On the Green’s Function in an Expanding Universe and Its Role in the Problem of Mach’s Principle. Prog. Theor. Phys. 1968, 40, 49. [Google Scholar] [CrossRef]
- Nariai, H. Gravitational Instability in the Brans-Dicke Cosmology. Prog. Theor. Phys. 1968, 42, 544. [Google Scholar] [CrossRef]
- Arik, M.; Calik, M.C. Can Brans-Dicke scalar field account for dark energy and dark matter? Mod. Phys. Lett. A 2006, 21, 1241. [Google Scholar] [CrossRef]
- Arik, M.; Calik, M.C.; Sheftel, M.B. Friedmann Equation for Brans Dicke Cosmology. Int. J. Mod. Phys. D 2008, 17, 225. [Google Scholar] [CrossRef]
- Rasouli, S.M.M.; Farhoudi, M.; Sepangi, H.R. An anisotropic cosmological model in a modified Brans–Dicke theory. Class. Quant. Grav. 2011, 28, 155004. [Google Scholar] [CrossRef]
- Rasouli, S.M.M. Kasner Solution in Brans-Dicke Theory and its Corresponding Reduced Cosmology. Springer Proc. Math. Statist. 2014, 60, 371. [Google Scholar]
- Rasouli, S.M.M.; Moniz, P.V. Exact cosmological solutions in modified Brans–Dicke theory. Class. Quant. Grav. 2016, 33, 035006. [Google Scholar] [CrossRef]
- Rasouli, S.M.M.; Shojai, F. Geodesic deviation equation in Brans–Dicke theory in arbitrary dimensions. Phys. Dark Univ. 2021, 32, 100781. [Google Scholar] [CrossRef]
- Rasouli, S.M.M.; Jalalzadeh, S.; Moniz, P.V. Noncompactified Kaluza–Klein Gravity. Universe 2022, 8, 431. [Google Scholar] [CrossRef]
- Wesson, P.S.; de Ponce, J.L. A Classical Field Theory of Gravity and Electromagnetism. Math. Phys. 1992, 333, 883. [Google Scholar]
- Rasouli, S.M.M.; Farhoudi, M.; Vargas, P.M. Classical and Quantum Gravity PAPER Modified Brans–Dicke theory in arbitrary dimensions. Class. Quant. Grav. 2014, 31, 115002. [Google Scholar] [CrossRef]
- Ghaffari, S.; Luciano, G.G.; Capozziello, S. Barrow holographic dark energy in the Brans-Dicke cosmology. Eur. Phys. J. Plus 2023, 138, 82. [Google Scholar] [CrossRef]
- Amani, H.; Halpern, P. Energy conditions in a modified Brans-Dicke theory. Gen. Relativ. Grav. 2022, 54, 64. [Google Scholar] [CrossRef]
- Ghaffari, S. Kaniadakis holographic dark energy in Brans–Dicke cosmology. Mod. Phys. Lett. A 2022, 37, 23. [Google Scholar] [CrossRef]
- Tsallis, C. Black Hole Entropy: A Closer Look. Entropy 2020, 22, 17. [Google Scholar] [CrossRef]
- Moradpour, H.; Moosavi, S.A.; Lobo, I.P.; Graça, J.P.M.; Jawad, A.; Salako, I.G. Thermodynamic approach to holographic dark energy and the Rényi entropy. Eur. Phys. J. C 2018, 78, 829. [Google Scholar] [CrossRef]
- Saridakis, E.N. Barrow holographic dark energy. Phys. Rev. D 2020, 102, 123525. [Google Scholar] [CrossRef]
- Susskind, L. The world as a hologram. J. Math. Phys. D 1995, 36, 6377. [Google Scholar] [CrossRef]
- Horava, P.; Minic, D. Probable Values of the Cosmological Constant in a Holographic Theory. Phys. Rev. Lett. 2000, 85, 1610. [Google Scholar] [CrossRef]
- Thomas, S. Holography Stabilizes the Vacuum Energy. Phys. Rev. Lett. 2002, 89, 081301. [Google Scholar] [CrossRef]
- Wang, S.; Wang, Y.; Li, M. Holographic Dark Energy. Phys. Rept. 2017, 696, 1. [Google Scholar] [CrossRef]
- Horvat, R. Holography and a variable cosmological constant. Phys. Rev. D 2004, 70, 087301. [Google Scholar] [CrossRef]
- Huang, Q.G.; Li, M. The Holographic Dark Energy in a Non-flat Universe. JCAP 2004, 0408, 013. [Google Scholar] [CrossRef]
- Pavon, D.; Zimdahl, W. Holographic dark energy and cosmic coincidence. Phys. Lett. B 2005, 628, 206. [Google Scholar] [CrossRef]
- Kaniadakis, G. Statistical mechanics in the context of special relativity. Phys. Rev. E 2002, 66, 056125. [Google Scholar] [CrossRef]
- Kaniadakis, G. Statistical mechanics in the context of special relativity. II. Phys. Rev. E 2005, 72, 036108. [Google Scholar] [CrossRef]
- Sadeghi, J.; Gashti, S.N.; Azizi, T. Tsallis and Kaniadakis holographic dark energy with Complex Quintessence theory in Brans-Dicke cosmology. arXiv 2022, arXiv:2203.04375. [Google Scholar]
- Moradpour, H.; Ziaie, A.H.; Zangeneh, M.K. Generalized entropies and corresponding holographic dark energy models. Eur. Phys. J. C 2020, 80, 732. [Google Scholar] [CrossRef]
- Drepanou, N.; Lymperis, A.; Saridakis, E.N.; Yesmakhanova, K. Kaniadakis holographic dark energy and cosmology. Eur. Phys. J. C 2022, 82, 449. [Google Scholar] [CrossRef]
- Banerjee, N.; Pavon, D. Holographic dark energy in Brans-Dicke theory. Phys. Lett. B 2007, 647, 477. [Google Scholar] [CrossRef]
- Jawad, A.; Sultan, A.M. Cosmic Consequences of Kaniadakis and Generalized Tsallis Holographic Dark Energy Models in the Fractal Universe. Adv. High Energy Phys. 2021, 2021, 5519028. [Google Scholar] [CrossRef]
- Sharma, U.K.; Dubey, V.C.; Ziaie, A.H.; Moradpour, H. Kaniadakis Holographic Dark Energy in non-flat Universe. Int. J. Mod. Phys. D 2022, 31, 2250013. [Google Scholar] [CrossRef]
- Rasouli, S.M.M.; Marto, J.; Moniz, P.V. Kinetic inflation in deformed phase space Brans-Dicke cosmology. Phys. Dark Universe 2019, 24, 100269. [Google Scholar] [CrossRef]
- Rasouli, S.M.M.; Moniz, P.V. Gravity-Driven Acceleration and Kinetic Inflation in Noncommutative Brans-Dicke Setting. Odessa Astron. Pub. 2016, 29, 19. [Google Scholar] [CrossRef]
- Banerjee, N.; Pavon, D. A Quintessence Scalar Field in Brans-Dicke Theory. Class. Quant. Grav. 2001, 18, 593. [Google Scholar] [CrossRef]
- Das, S.; Banerjee, N. Brans-Dicke Scalar Field as a Chameleon. Phys. Rev. D 2008, 78, 043512. [Google Scholar] [CrossRef]
- Chattopadhyay, S.; Pasqua, A.; Khurshudyan, M. New holographic reconstruction of scalar-field dark-energy models in the framework of chameleon Brans–Dicke cosmology. Eur. Phys. J. C 2014, 74, 3080. [Google Scholar] [CrossRef]
- Bahcall, N.A. Dark matter universe. Proc. Natl. Acad. Sci. USA 2015, 112, 12243. [Google Scholar] [CrossRef]
- Bolotin, Y.L.; Kostenko, A.; Lemets, O.A.; Yerokhin, D.A. Cosmological Evolution With Interaction Between Dark Energy And Dark Matter. Int. J. Geom. Methos. Mod. Phys. 2015, 24, 1530007. [Google Scholar] [CrossRef]
- Bhmer, C.G.; Caldera-Cabral, G.; Lazkoz, R.; Maartens, R. Dynamics of dark energy with a coupling to dark matter. Phys. Rev. D 2008, 78, 023505. [Google Scholar] [CrossRef]
- Quartin, M.; Calvao, M.O.; Joras, S.E.; Reis, R.R.R.; Waga, I. Dark Interactions and Cosmological Fine-Tuning. J. Cosmol. Astropart. Phys. 2008, 805, 007. [Google Scholar] [CrossRef]
- Caldera-Cabral, G.; Maartens, R.; Urena-Lopez, L.A. Dynamics of interacting dark energy. Phys. Rev. D 2009, 79, 063518. [Google Scholar] [CrossRef]
- Chimento, L.P.; Forte, M.; Kremer, G.M. Cosmological model with interactions in the dark sector. Gen. Rel. Grav. 2009, 41, 1125. [Google Scholar] [CrossRef]
- Chimento, L.P. Linear and nonlinear interactions in the dark sector. Phys. Rev. D 2010, 81, 043525. [Google Scholar] [CrossRef]
- Legazpi, M.B.G.; Hernandez, D.; Honorez, L.L.; Requejo, O.M.; Stefano, R. Dark coupling. J. Cosmol. Astropart. Phys. 2009, 0907, 034. [Google Scholar]
- Legazpi, M.B.G.; Honorez, L.L.; Requejo, O.M.; Stefano, R. Dark coupling and gauge invariance. J. Cosmol. Astropart. Phys. 2010, 1011, 044. [Google Scholar]
- Wang, B.; Abdalla, E.; Barandela, F.A.; Pavon, D. Dark matter and dark energy interactions: Theoretical challenges, cosmological implications and observational signatures. Rept. Prog. Phys. 2016, 79, 9. [Google Scholar] [CrossRef] [PubMed]
- Ade, P.A.R.; Aghanim, N.; Akrami, Y.; Aluri, P.K.; Arnaud, M.; Ashdown, M.; Aumont, J.; Baccigalupi, C.; Bay, A.J.; Barreiro, R.B.; et al. Planck 2013 results. XVI. Cosmological parameters. Astron. Astrophys. 2014, 571, A16. [Google Scholar]
- Blandford, R.D. Cosmokinetics. ASP Conf. Ser. 2004, 339, 27. [Google Scholar]
- Rapetti, D.; Allen, S.W.; Amin, M.A.; Blandford, R.D. A kinematical approach to dark energy studies. Mon. Not. R. Astron. Soc. 2007, 375, 1510. [Google Scholar] [CrossRef]
- Mamon, A.A.; Bamba, K. Observational constraints on the jerk parameter with the data of the Hubble parameter. Eur. Phys. J. C 2018, 78, 862. [Google Scholar] [CrossRef]
- Cai, R.G.; Cao, M.L. Unified first law and the thermodynamics of the apparent horizon in the FRW universe. Phys. Rev. D 2007, 75, 064008. [Google Scholar] [CrossRef]
- Wang, B.; Abdalla, E.; Su, R.K. Relating Friedmann equation to Cardy formula in universes with cosmological constant. Phys. Lett. B 2001, 503, 394. [Google Scholar] [CrossRef]
- Bousso, R. Cosmology and the S matrix. Phys. Rev. D 2005, 71, 064024. [Google Scholar] [CrossRef]
- Izquierdo, G.; Pavon, D. Dark energy and the generalized second law. Phys. Lett. B 2006, 633, 420. [Google Scholar] [CrossRef]
- Yang, W.Q.; Wu, Y.B.; Song, L.M.; Su, Y.Y.; Li, J.; Zhang, D.D.; Wang, X.G. Reconstruction of new holographic scalar field models of dark energy in brans–dicke universe. Mod. Phys. Lett. A 2011, 26, 191. [Google Scholar] [CrossRef]
- Goswami, G.K. Cosmological parameters for spatially flat dust filled Universe in Brans-Dicke theory. Astron. Astrophys. 2017, 17, 27. [Google Scholar] [CrossRef]
- Capozziello, S.; Ruchika; Sen, A.A. Model independent constraints on dark energy evolution from low-redshift observations. Mon. Not. R. Astron. Soc. 2019, 484, 4484. [Google Scholar] [CrossRef]




















Disclaimer/Publisher’s Note: The statements, opinions and data contained in all publications are solely those of the individual author(s) and contributor(s) and not of MDPI and/or the editor(s). MDPI and/or the editor(s) disclaim responsibility for any injury to people or property resulting from any ideas, methods, instructions or products referred to in the content. |
© 2023 by the authors. Licensee MDPI, Basel, Switzerland. This article is an open access article distributed under the terms and conditions of the Creative Commons Attribution (CC BY) license (https://creativecommons.org/licenses/by/4.0/).
Share and Cite
Sania; Azhar, N.; Rani, S.; Jawad, A. Cosmic and Thermodynamic Consequences of Kaniadakis Holographic Dark Energy in Brans–Dicke Gravity. Entropy 2023, 25, 576. https://doi.org/10.3390/e25040576
Sania, Azhar N, Rani S, Jawad A. Cosmic and Thermodynamic Consequences of Kaniadakis Holographic Dark Energy in Brans–Dicke Gravity. Entropy. 2023; 25(4):576. https://doi.org/10.3390/e25040576
Chicago/Turabian StyleSania, Nadeem Azhar, Shamaila Rani, and Abdul Jawad. 2023. "Cosmic and Thermodynamic Consequences of Kaniadakis Holographic Dark Energy in Brans–Dicke Gravity" Entropy 25, no. 4: 576. https://doi.org/10.3390/e25040576
APA StyleSania, Azhar, N., Rani, S., & Jawad, A. (2023). Cosmic and Thermodynamic Consequences of Kaniadakis Holographic Dark Energy in Brans–Dicke Gravity. Entropy, 25(4), 576. https://doi.org/10.3390/e25040576

