Analysis of the Energy Loss and Performance Characteristics in a Centrifugal Pump Based on Sinusoidal Tubercle Volute Tongue
Abstract
1. Introduction
2. Main Geometry
2.1. Test Model
2.2. Volute Tongue
3. Numerical Investigation
3.1. Numerical Method
3.2. Numerical Solution
3.3. Computational Mesh
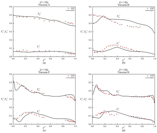
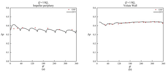
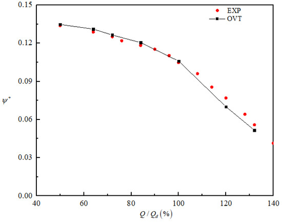
3.4. Validation of Calculation Results
4. Results and Analysis
4.1. Performance Analysis of Four Test Pumps
4.1.1. Head Coefficient and Efficiency for Four Pumps
4.1.2. Pressure Coefficient Distribution for Four Pumps
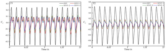
4.1.3. Pressure Fluctuation for Four Pumps
4.2. Enstrophy Analysis of Four Test Pumps
4.2.1. Total Enstrophy Analysis
4.2.2. Enstrophy Transport Analysis
5. Conclusions
Author Contributions
Funding
Data Availability Statement
Conflicts of Interest
Nomenclature
| the amplitude of the sinusoid(mm) | |
| blade width at exit(mm) | |
| inlet width of volute(mm) | |
| the width of the volute tongue(mm) | |
| pressure coefficient | |
| inlet diameter of impeller(mm) | |
| outlet diameter of impeller(mm) | |
| volute tongue diameter(mm) | |
| pump head (m) | |
| the length of the longitudinal extension length(mm) | |
| OVT | original volute tongue |
| static pressure of inlet (Pa) | |
| static pressure (Pa) | |
| time average static pressure (Pa) | |
| pressure sample values | |
| static pressure coefficient | |
| actual flow rate () | |
| designed flow rate () | |
| non−dimensional radial distance | |
| blade tip radius (mm) | |
| STVT | sinusoidal tubercle volute tongue |
| time of one cycle of the pump (s) | |
| angular velocity of the pump (rad/s) | |
| non−dimensional radial velocity | |
| non−dimensional circumferential velocity | |
| circumferential velocity at the impeller exit (m/s) | |
| blade number | |
| blade angle at exit (°) | |
| efficiency (%) | |
| angular coordinate (°) | |
| the sinusoidal wavelength(mm) | |
| density (kg/m3) | |
| nominal flow coefficient | |
| nominal head coefficient | |
| head coefficient | |
| total enstrophy | |
| enstrophy per unit volume | |
| vorticity (s−1) |
References
- Wang, W.J.; Giorgio, P.; Pei, J.; Yuan, S.Q. Transient simulation on closure of wicket gates in a high−head Francis-type reversible turbine operating in pump mode. Renew. Energy 2020, 145, 1817–1830. [Google Scholar] [CrossRef]
- Wu, D.Z.; Yan, P.; Chen, X.; Wu, P.; Yang, S. Effect of Trailing-Edge Modification of a Mixed-Flow Pump. J. Fluids Eng. Trans. ASME 2015, 137, 101205. [Google Scholar] [CrossRef]
- Hou, H.C.; Zhang, Y.X.; Li, Z.L.; Jiang, T.; Zhang, J.Y.; Xu, C. Numerical analysis of entropy production on a LNG cryogenic submerged pump. J. Nat. Gas Sci. Eng. 2016, 36, 87–96. [Google Scholar] [CrossRef]
- Punit, S.; Franz, N. Internal hydraulic analysis of impeller rounding in centrifugal pumps as turbines. Exp. Therm. Fluid Sci. 2011, 35, 121–134. [Google Scholar] [CrossRef]
- Omar, A.K.; Abdelkrim, K.; Abdelkrim, L. Prediction of centrifugal pump performance using energy loss analysis. Aust. J. Mech. Eng. 2016, 15, 210–221. [Google Scholar] [CrossRef]
- Lai, J.W.; Nilanjan, C.; Andrei, L. Statistical behaviour of vorticity and enstrophy transport in head-on quenching of turbulent premixed flames. Eur. J. Mech. B Fluids 2017, 65, 384–397. [Google Scholar] [CrossRef]
- Lin, T.; Li, X.J.; Zhu, Z.C.; Xie, J.; Li, Y.; Yang, H. Application of enstrophy dissipation to analyze energy loss in a centrifugal pump as turbine. Renew. Energy 2021, 163, 41–55. [Google Scholar] [CrossRef]
- Cheng, H.Y.; Bai, X.R.; Long, X.; Ji, B.; Peng, X.X.; Farhat, M. Large eddy simulation of the tip-leakage cavitating flow with an insight on how cavitation influences vorticity and turbulence. Appl. Math. Model. 2020, 77, 788–809. [Google Scholar] [CrossRef]
- Gu, Y.D.; Pei, J.; Yuan, S.Q.; Wang, W.J.; Zhang, F.; Wang, P.; Dwsmond, A.; Liu, Y. Clocking effect of vaned diffuser on hydraulic performance of high-power pump by using the numerical flow loss visualization method. Energy 2019, 170, 986–997. [Google Scholar] [CrossRef]
- Hua, X.; Zhang, C.H.; Wei, J.D.; Hu, X.J.; Wei, H.L. Wind turbine bionic blade design and performance analysis. J. Vis. Commun. Image Represent. 2019, 60, 258–265. [Google Scholar] [CrossRef]
- Huang, B.; Qiu, S.C.; Li, X.B.; Wu, Q.; Wang, G.Y. A review of transient flow structure and unsteady mechanism of cavitating flow. J. Hydrodyn. 2019, 31, 429–444. [Google Scholar] [CrossRef]
- Xue, G.; Liu, Y.J.; Zhang, M.Q.; Ding, H.P. Numerical Analysis of Hydrodynamics for Bionic Oscillating Hydrofoil Based on Panel Method. Appl. Bionics Biomech. 2016, 2016, 6909745. [Google Scholar] [CrossRef] [PubMed]
- Yang, Z.X.; Li, G.S.; Song, L.; Bai, Y.F. Effects of setting angle and chord length on performance of four blades bionic wind turbine. IOP Conf. Ser. Earth Environ. Sci. 2017, 93, 012041. [Google Scholar] [CrossRef]
- Shi, W.C.; Mehmet, A.; Rosemary, N.; Batuhan, A.; Serkan, T. Numerical optimization and experimental validation for a tidal turbine blade with leading-edge tubercles. Renew. Energy 2016, 96, 42–55. [Google Scholar] [CrossRef]
- Guo, Z.W.; Wang, C.H.; Xia, W.P. Suppression of hump characteristic for a pump-turbine using leading-edge protuberance. Proc. Inst. Mech. Eng. Part A J. Power Energy 2019, 234, 187–194. [Google Scholar] [CrossRef]
- Li, B.W.; Li, X.J.; Jia, X.Q.; Chen, F.; Fang, H. The role of blade sinusoidal tubercle trailing edge in a centrifugal pump with low specific speed. Processes 2019, 7, 625. [Google Scholar] [CrossRef]
- Lin, P.F.; Song, P.F.; Zhu, Z.C.; Li, X.J. Research on the Rotor-Stator Interaction of Centrifugal Pump based on Sinusoidal Tubercle Volute Tongue. J. Appl. Fluid Mech. 2021, 14, 589–600. [Google Scholar]
- Kelder, J.D.H.; Dijkers, R.J.H.; van Esch, B.P.M.; Kruyt, N.P. Experimental and theoretical study of the flow in the volute of a low specific-speed pump. Fluid Dyn. Res. 2001, 28, 267–280. [Google Scholar] [CrossRef]
- Lin, Y.P.; Li, X.J.; Li, B.W.; Jia, X.Q.; Zhu, Z.C. Influence of impeller sinusoidal tubercle trailing edge on pressure pulsation in a centrifugal pump at nominal flow rate. J. Appl. Fluid Mech. 2021, 143, 091205. [Google Scholar] [CrossRef]
- Liu, Y.Y.; Li, X.J.; Lin, Z.; Li, L.M.; Zhu, Z.C. Numerical analysis of thermo-sensitive cavitating flows with special emphasises on flow separation and enstrophy conversion. Int. Commun. Heat Mass Transf. 2021, 125, 105336. [Google Scholar] [CrossRef]




















| Parameters | Sign | Value |
|---|---|---|
| Nominal head coefficient | 0.124 | |
| Inlet diameter of impeller (mm) | 320 | |
| Outlet diameter of impeller (mm) | 640 | |
| Blade width at exit (mm) | 25 | |
| Blade angle at exit (°) | 30 | |
| Blade number | 7 | |
| Volute tongue diameter (mm) | 672 | |
| Inlet width of volute (mm) | 25 |
| The Number of Sinusoidal Tubercles | λ/(mm) | A/(mm) | C/(mm) | L/(mm) | |
|---|---|---|---|---|---|
| STVT−1 | 4 | 7.5 | 1 | 25 | 15 |
| STVT−2 | 4 | 7.5 | 2 | 25 | 15 |
| STVT−3 | 4 | 7.5 | 3 | 25 | 15 |
| Case | 1 | 2 | 3 | 4 |
|---|---|---|---|---|
| Nodes () | 2.24 | 3.48 | 4.49 | 5.93 |
| Mean | 16.3 | 10.5 | 7.2 | 5.8 |
| Head coefficient | 0.1072 | 0.1065 | 0.1061 | 0.1057 |
| Efficiency | 84.5 | 83.8 | 83.4 | 82.9 |
| Reduction (%) | |||
|---|---|---|---|
| Monitoring Point | STVT−1 | STVT−2 | STVT−3 |
| P1 | 42.34 | 45.67 | 51.28 |
| P2 | 60.41 | 62.32 | 66.75 |
| The Time−Averaged Total Enstrophy (J/m2) | Reduction (%) | Efficiency (%) | |
|---|---|---|---|
| OVT | 3633 | 0 | 83.4 |
| STVT−1 | 3309 | 8.93 | 84.7 |
| STVT−2 | 3304 | 9.07 | 85.1 |
| STVT−3 | 3270 | 10.01 | 85.5 |
Disclaimer/Publisher’s Note: The statements, opinions and data contained in all publications are solely those of the individual author(s) and contributor(s) and not of MDPI and/or the editor(s). MDPI and/or the editor(s) disclaim responsibility for any injury to people or property resulting from any ideas, methods, instructions or products referred to in the content. |
© 2023 by the authors. Licensee MDPI, Basel, Switzerland. This article is an open access article distributed under the terms and conditions of the Creative Commons Attribution (CC BY) license (https://creativecommons.org/licenses/by/4.0/).
Share and Cite
Lin, P.; Wang, C.; Song, P.; Li, X. Analysis of the Energy Loss and Performance Characteristics in a Centrifugal Pump Based on Sinusoidal Tubercle Volute Tongue. Entropy 2023, 25, 545. https://doi.org/10.3390/e25030545
Lin P, Wang C, Song P, Li X. Analysis of the Energy Loss and Performance Characteristics in a Centrifugal Pump Based on Sinusoidal Tubercle Volute Tongue. Entropy. 2023; 25(3):545. https://doi.org/10.3390/e25030545
Chicago/Turabian StyleLin, Peifeng, Chunhe Wang, Pengfei Song, and Xiaojun Li. 2023. "Analysis of the Energy Loss and Performance Characteristics in a Centrifugal Pump Based on Sinusoidal Tubercle Volute Tongue" Entropy 25, no. 3: 545. https://doi.org/10.3390/e25030545
APA StyleLin, P., Wang, C., Song, P., & Li, X. (2023). Analysis of the Energy Loss and Performance Characteristics in a Centrifugal Pump Based on Sinusoidal Tubercle Volute Tongue. Entropy, 25(3), 545. https://doi.org/10.3390/e25030545

