Finite-Time H∞ Control for Time-Delay Markovian Jump Systems with Partially Unknown Transition Rate via General Controllers
Abstract
1. Introduction
2. Problem Statement and Preliminaries
3. Main Results
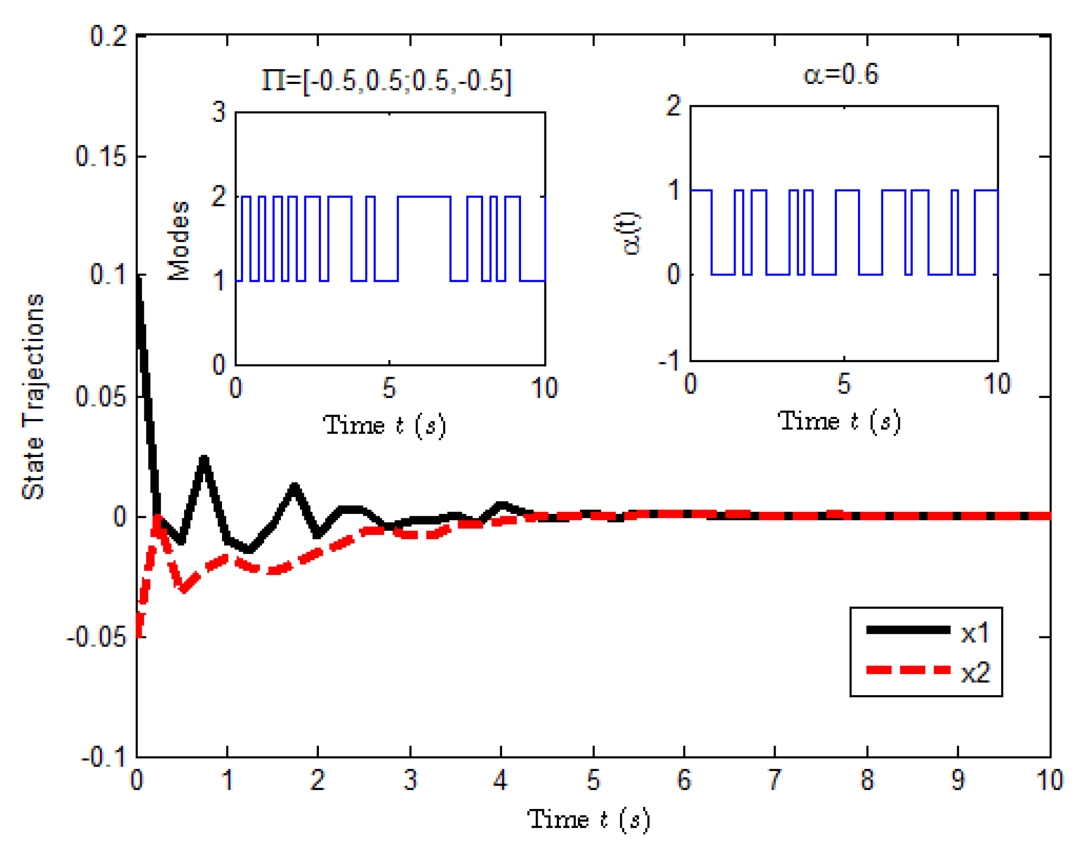
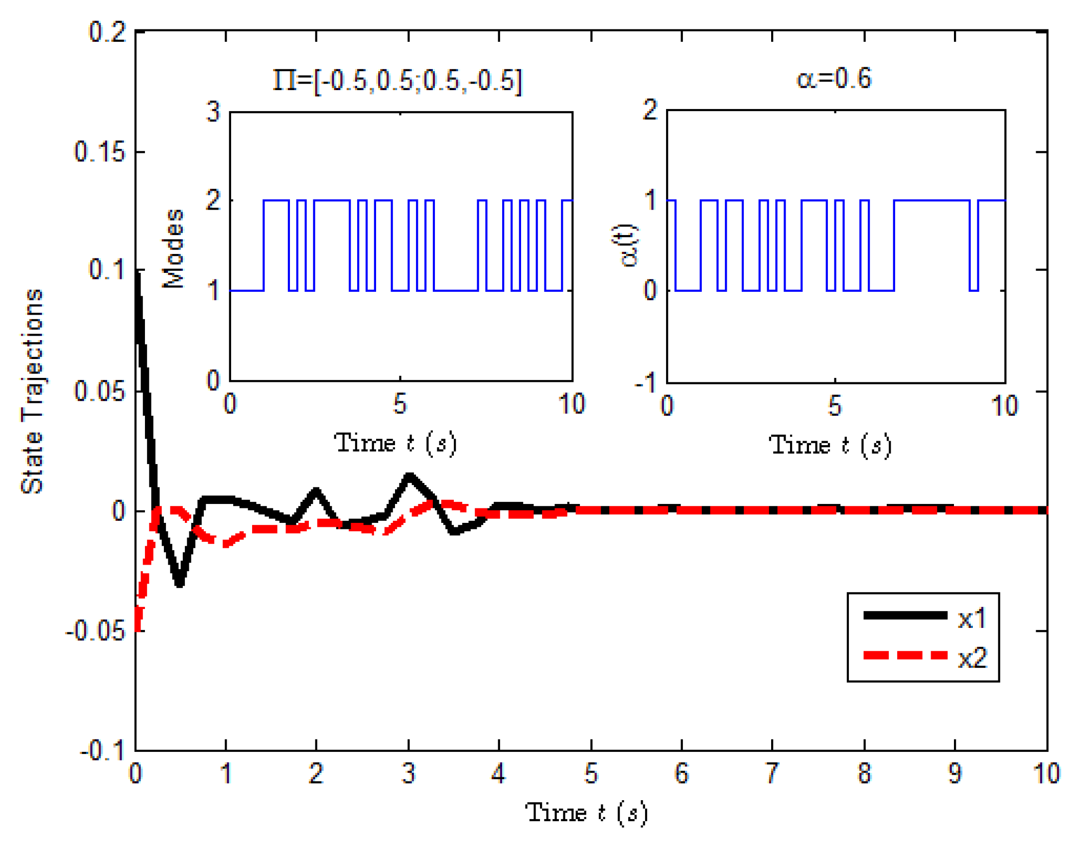
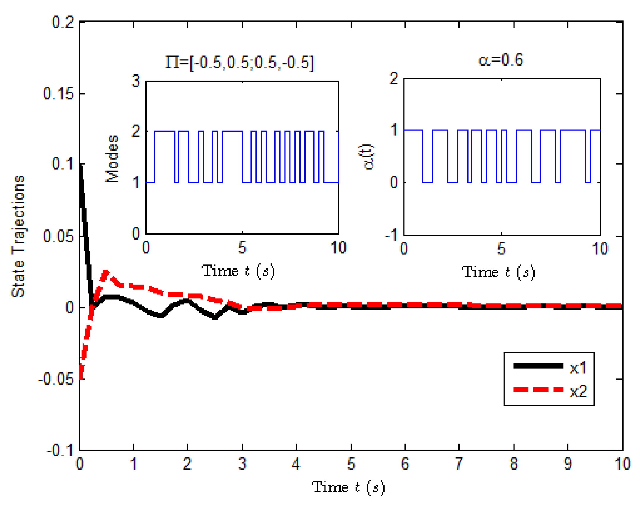
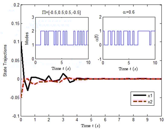
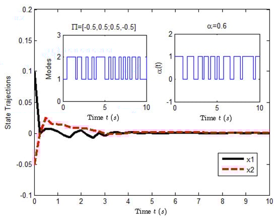
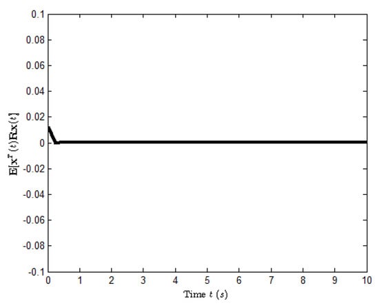
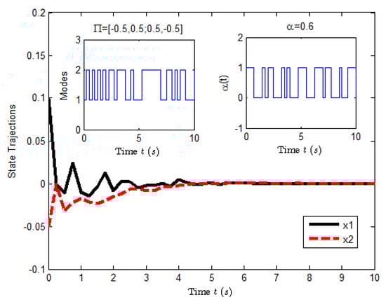
4. Numerical Examples
5. Conclusions
Author Contributions
Funding
Institutional Review Board Statement
Data Availability Statement
Acknowledgments
Conflicts of Interest
Appendix A
References
- Langton, R. Stability and Control of Aircraft Systems: Introduction to Classical Feedback Control; John Wiley and Sons, Ltd.: Hoboken, NJ, USA, 2006. [Google Scholar] [CrossRef]
- Liu, G.; Ma, L.; Liu, J. Handbook of Chemistry and Chemical Material Property Data; Chemical Industry Press: Beijing, China, 2002. [Google Scholar]
- Zivanovic, M.; Vukobratovic, M. Multi-Arm Cooperating Robots: Dynamics and Control, 1st ed.; Spring: Berlin/Heidelberg, Germany, 2006. [Google Scholar]
- Fridman, E.; Shaked, U. Parameter dependent stability and stabilization of uncertain time-delay systems. IEEE Trans. Autom. Control. 2003, 48, 861–866. [Google Scholar] [CrossRef]
- Yakoubi, K.; Chitour, Y. Linear systems subject to input saturation and time delay: Global asymptotic stabilization. IEEE Trans. Autom. Control. 2007, 52, 874–879. [Google Scholar] [CrossRef]
- Hai, L.; Antsaklis, P. Stability and stabilizability of switched linear systems: A survey of recent results. IEEE Trans. Autom. Control 2009, 54, 308–322. [Google Scholar] [CrossRef]
- Mancilla-Aguilar, J.; Haimovich, H.; Garcia, R. Global stability results for switched systems based on weak Lyapunov functions. IEEE Trans. Autom. Control 2017, 62, 2764–2777. [Google Scholar] [CrossRef]
- Dorato, P. Short time stability in linear time-varying systems. Proc. IRE Int. Conv. Rec. 1961, 4, 83–87. [Google Scholar]
- Kamenkov, G. On stability of motion over a fnite interval of time. J. Appl. Math. Mech. 1953, 17, 529–540. [Google Scholar]
- Amato, F.; Ariola, M.; Dorato, P. Finite-time control of linear systems subject to parametric uncertainties and disturbances. Automatica 2001, 37, 1459–1463. [Google Scholar] [CrossRef]
- Amato, F.; Ariola, M.; Cosentino, C. Finite-time stabilization via dynamic output feedback. Automatica 2005, 42, 337–342. [Google Scholar] [CrossRef]
- Amato, F.; Ariola, M.; Cosentino, C.; De Tommasi, G. Input-output finite time stabilization of linear systems. Automatica 2010, 46, 1558–1562. [Google Scholar] [CrossRef]
- Amato, F.; Ambrosino, R.; Ariola, M.; De Tommasi, G.; Pironti, A. On the finite-time boundedness of linear systems. Automatica 2019, 107, 454–466. [Google Scholar] [CrossRef]
- Liu, X.; Liu, Q.; Li, Y. Finite-time guaranteed cost control for uncertain mean-field stochastic systems. J. Frankl. Inst. 2020, 357, 2813–2829. [Google Scholar] [CrossRef]
- Tartaglione, G.; Ariola, M.; Cosention, C.; De Tommasi, G.; Pironti, A.; Amato, F. Annular finite-time stability analysis and synthesis of stochastic linear time-varying systems. Int. J. Control. 2019, 94, 2252–2263. [Google Scholar] [CrossRef]
- Tartaglione, G.; Ariola, M.; Amato, F. Conditions for annular finite-time stability of Itô stochastic linear time-varying syetems with Markov switching. IET Control. Theory Appl. 2019, 14, 626–633. [Google Scholar] [CrossRef]
- Bai, Y.; Sun, H.; Wu, A. Finite-time stability and stabilization of Markovian jump linear systems subject to incomplete transition descriptions. Int. J. Control. Autom. Syst. 2021, 19, 2999–3012. [Google Scholar] [CrossRef]
- Gu, Y.; Shen, M.; Ren, Y.; Liu, H. H∞ finite-time control of unknown uncertain systems with actuator failure. Appl. Math. Comput. 2020, 383, 125375. [Google Scholar] [CrossRef]
- Liu, X.; Wang, J.; Li, Y. Finite-time stability analysis fordiscrete-time stochastic nonlinear systems with time-varying delay. J. Shandong Univ. Sci. Technol. (Nat. Sci.) 2021, 40, 110–120. [Google Scholar] [CrossRef]
- Shen, H.; Li, F.; Yan, H.; Zhang, C.; Yan, H. Finite-time event-triggered H∞ control for T-S fuzzy Markov systems. IEEE Trans. Fuzzy Syst. 2018, 26, 3122–3135. [Google Scholar] [CrossRef]
- Liu, H.; Shen, Y. Finite-time bounded stabilisation for linear systems with finite-time H2-gain constraint. IET Control. Theory Appl. 2020, 14, 1266–1275. [Google Scholar] [CrossRef]
- Li, M.; Sun, L.; Yang, R. Finite-time H∞ control for a class of discrete-time nonlinear singular systems. J. Frankl. Inst. 2018, 355, 5384–5393. [Google Scholar] [CrossRef]
- Xiang, Z.; Qiao, C.; Mahmoud, M. Finite-time analysis and H∞ control for switched stochastic systems. J. Frankl. Inst. 2011, 349, 915–927. [Google Scholar] [CrossRef]
- Zhuang, J.; Liu, X.; Li, Y. Event-triggered annular finite-time H∞ filtering for stochastic network systems. J. Frankl. Inst. 2022, 359, 11208–11228. [Google Scholar] [CrossRef]
- De la Sen, M.; Ibeas, A.; Nistal, R. On the entropy of events under eventually global inflated or deflated probability constraints. Application to the supervision of epidemic models under vaccination controls. Entropy 2020, 22, 284. [Google Scholar] [CrossRef] [PubMed]
- Li, Y.; Zhang, W.; Liu, X. H_index for discrete-time stochastic systems with Markovian jump and multiplicative noise. Automatica 2018, 90, 286–293. [Google Scholar] [CrossRef]
- Liu, X.; Zhang, W.; Li, Y. H_index for continuous-time stochastic systems with Markov jump and multiplicative noise. Automatica 2019, 105, 167–178. [Google Scholar] [CrossRef]
- Zhuang, J.; Liu, X.; Li, Y. H_index for Itô stochastic systems with Possion jump. J. Frankl. Inst. 2021, 358, 9929–9950. [Google Scholar] [CrossRef]
- Wang, G.; Liu, L.; Zhang, Q.; Yang, C. Finite-time stability and stabilization of stochastic delayed jump systems via general controllers. J. Frankl. Inst. 2016, 354, 938–966. [Google Scholar] [CrossRef]
- Yan, Z.; Ju, H.; Zhang, W. Finite-time guaranteed cost control for Itô stochastic Markovian jump systems with incomplete transition rates. Int. J. Robust Nonlinear Control. 2016, 27, 66–83. [Google Scholar] [CrossRef]
- Yan, G.; Zhang, W.; Zhang, G. Finite-time stability and stabilization of Itô stochastic systems with Markovian switching: Mode-dependent parameter approach. IEEE Trans. Autom. Control 2015, 60, 2428–2433. [Google Scholar] [CrossRef]
- Liu, X.; Li, W.; Yao, C.; Li, Y. Finite-time guaranteed cost control for Markovian jump systems with time-varying delays. Mathematics 2022, 10, 2028. [Google Scholar] [CrossRef]
- Liu, Z.; Miao, S.; Fan, Z.; Han, J. Markovian switching model and non-linear DC modulation control of AC/DC power system. IET Gener. Transm. Distrib. 2017, 11, 2654–2663. [Google Scholar] [CrossRef]
- Liu, X.; Zhuang, J.; Li, Y. H∞ filtering for Markovian jump linear systems with uncertain transition probabilities. Int. J. Control. Autom. Syst. 2021, 19, 2500–2510. [Google Scholar] [CrossRef]
- Zhang, L.; Guo, G. Control of a group of systems whose communication channels are assigned by a semi-Markov process. Int. J. Syst. Sci. 2019, 50, 2306–2315. [Google Scholar] [CrossRef]
- Qi, W.; Gao, X. Finite-time H∞ control for stochastic time-delayed Markovian switching systems with partly known transition rates and nonlinearity. Int. J. Syst. Sci. 2015, 47, 500–508. [Google Scholar] [CrossRef]
- Cheng, J.; Zhu, H.; Zhong, S. Finite-time H∞ filtering for discrete-time Markovian jump systems with partly unknown transition probabilities. J. Frankl. Inst. 2013, 91, 1020–1028. [Google Scholar] [CrossRef]
- Wu, Z.; Yang, L.; Jiang, B. Finite-time H∞ control of stochastic singular systems with partly known transition rates via an optimization algorithm. Int. J. Control. Autom. Syst. 2019, 17, 1462–1472. [Google Scholar] [CrossRef]
- Jiang, W.; Liu, K.; Charalambous, T. Multi-agent consensus with heterogenous time-varying input and communication delays in digraphs. Automatica 2022, 135, 109950. [Google Scholar] [CrossRef]
- Pourdehi, S.; Kavimaghaee, P. Stability analysis and design of model predictive reset control for nonlinear time-delay systems with application to a two-stage chemical reactor system. J. Process Control 2018, 71, 103–115. [Google Scholar] [CrossRef]
- Truong, D. Using causal machine learning for predicting the risk of flight delays in air transportation. J. Air Transp. Manag. 2021, 91, 101993. [Google Scholar] [CrossRef]
- Li, X.; Li, P. Stability of time-delay systems with impulsive control involving stabilizing delays. Automatica 2020, 124, 109336. [Google Scholar] [CrossRef]
- Li, L.; Zhang, H.; Wang, Y. Stabilization and optimal control of discrete-time systems with multiplicative noise and multiple input delays. Syst. Control. Lett. 2021, 147, 104833. [Google Scholar] [CrossRef]
- Zong, G.; Wang, R.; Zheng, W. Finite-time H∞ control for discrete-time switched nonlinear systems with time delay. Int. J. Robust Nonlinear Control. 2015, 25, 914–936. [Google Scholar] [CrossRef]
- Qiu, L.; He, L.; Dai, L.; Fang, C.; Chen, Z.; Pan, J.; Zhang, B.; Xu, Y.; Chen, C.R. Networked control strategy of dual linear switched reluctance motors based time delay tracking system. ISA Trans. 2021, 129, 605–615. [Google Scholar] [CrossRef] [PubMed]
- Liu, X.; Liu, W.; Li, Y. Finite-time H∞ control of stochastic time-delay Markovian jump systems. J. Shandong Univ. Sci. Technol. (Natural Sci.) 2022, 41, 75–84. [Google Scholar] [CrossRef]
- Yan, Z.; Song, Y.; Park, J. Finite-time stability and stabilization for stochastic Markov jump systems with mode-dependent time delays. ISA Trans. 2017, 68, 141–149. [Google Scholar] [CrossRef]
- Liu, L.; Zhang, X.; Zhao, X.; Yang, B. Stochastic finite-time stabilization for discrete-time positive Markov jump time-delay systems. J. Frankl. Inst. 2022, 359, 84–103. [Google Scholar] [CrossRef]
- Wang, G.; Li, Z.; Zhang, Q.; Yang, C. Robust finite-time stability and stabilization of uncertain Markovian jump systems with time-varying delay. Appl. Math. Comput. 2017, 293, 377–393. [Google Scholar] [CrossRef]
- Liu, X.; Li, W.; Wang, J.; Li, Y. Robust finite-time stability for uncertain discrete-time stochastic nonlinear systems with time-varying delay. Entropy 2022, 24, 828. [Google Scholar] [CrossRef]
- Tian, G. Finite-time H∞ control for stochastic Markovian jump systems with time-varying delay and generally uncertain transition rates. Int. J. Syst. Sci. 2021, 52, 1–14. [Google Scholar] [CrossRef]
- Oksendal, B. Stochastic Differential Equations: An Introduction with Applications, 6th ed.; Springer: New York, NY, USA, 2006. [Google Scholar] [CrossRef]
- Bellman, R.; Cooke, K. Differential-Difference Equations; Academic Press: New York, NY, USA, 1963. [Google Scholar]
- Ouellette, D. Schur Complements and Statistics. Linear Algebra Appl. 1981, 36, 187–295. [Google Scholar] [CrossRef]
- Vrabel, R. On local asymptotic stabilization of the nonlinear systems with time-varying perturbations by state-feedback control. Int. J. Gen. Syst. 2018, 48, 80–89. [Google Scholar] [CrossRef]
- Tenreiro Machado, J. Fractional derivatives and negative probabilities. Commun. Nonlinear Sci. Numer. Simul. 2019, 79, 104913. [Google Scholar] [CrossRef]









Disclaimer/Publisher’s Note: The statements, opinions and data contained in all publications are solely those of the individual author(s) and contributor(s) and not of MDPI and/or the editor(s). MDPI and/or the editor(s) disclaim responsibility for any injury to people or property resulting from any ideas, methods, instructions or products referred to in the content. |
© 2023 by the authors. Licensee MDPI, Basel, Switzerland. This article is an open access article distributed under the terms and conditions of the Creative Commons Attribution (CC BY) license (https://creativecommons.org/licenses/by/4.0/).
Share and Cite
Liu, X.; Guo, X.; Liu, W.; Li, Y. Finite-Time H∞ Control for Time-Delay Markovian Jump Systems with Partially Unknown Transition Rate via General Controllers. Entropy 2023, 25, 402. https://doi.org/10.3390/e25030402
Liu X, Guo X, Liu W, Li Y. Finite-Time H∞ Control for Time-Delay Markovian Jump Systems with Partially Unknown Transition Rate via General Controllers. Entropy. 2023; 25(3):402. https://doi.org/10.3390/e25030402
Chicago/Turabian StyleLiu, Xikui, Xinye Guo, Wencheng Liu, and Yan Li. 2023. "Finite-Time H∞ Control for Time-Delay Markovian Jump Systems with Partially Unknown Transition Rate via General Controllers" Entropy 25, no. 3: 402. https://doi.org/10.3390/e25030402
APA StyleLiu, X., Guo, X., Liu, W., & Li, Y. (2023). Finite-Time H∞ Control for Time-Delay Markovian Jump Systems with Partially Unknown Transition Rate via General Controllers. Entropy, 25(3), 402. https://doi.org/10.3390/e25030402

