A Conservative Memristive Chaotic System with Extreme Multistability and Its Application in Image Encryption
Abstract
:1. Introduction
- A new conservative memristive system is constructed using a quaternary memristor, which is physically realized with an STMicroelectronics (STM, Geneva, Switzerland) 32 digital circuit, which provides a reference for the practical application of the chaotic system.
- The conservative system presents extreme isomorphic and heterogeneous multistability phenomena. The amplitude control of the initial value can be realized with the isomorphic property. The heterogeneous multistability phenomena greatly enhance the complexity of the system, which provides a guarantee for the application of secure communication.
- The conservative memristive chaotic system is rarely applied to image encryption, and the excellent encryption performance is verified by a variety of analysis methods. This guides the application of the conservative memristive system in the field of image encryption.
2. System Description
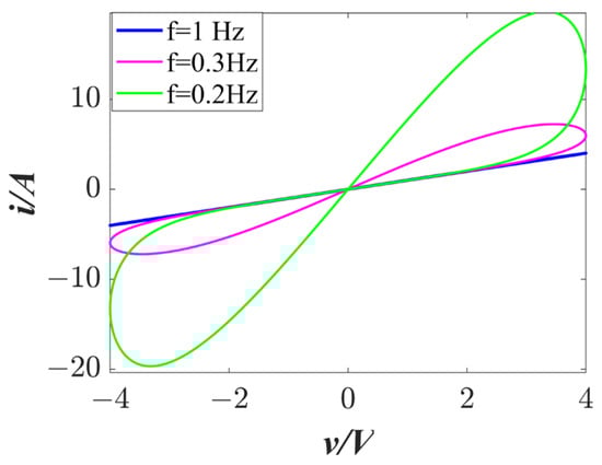
2.1. Memristor Model
2.2. System Model
3. Analysis of System Dynamic Characteristics
3.1. The Effect of Parameters on the Multitopology Behavior
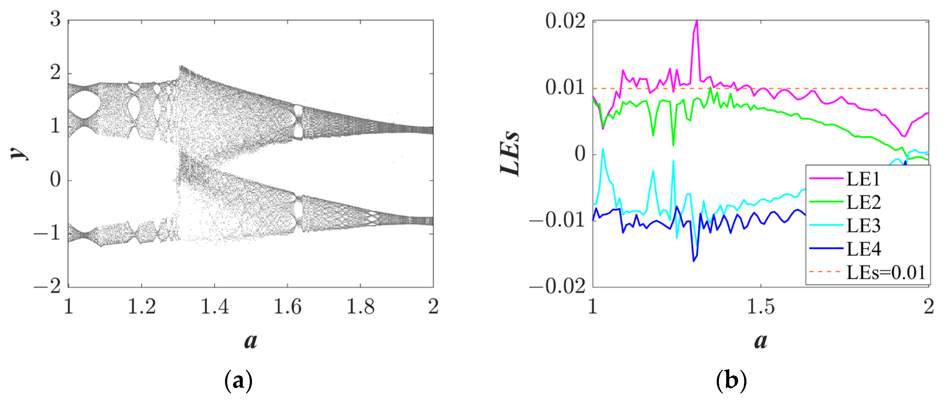
3.1.1. Multitopology Quasi-Periodic Behavior Dependent on the Parameter a
3.1.2. The Effect of Parameter c on Topology
3.2. Multistability Analysis
3.2.1. Amplitude Control Depends on the Initial Value z(0) = u
3.2.2. Multistability Depends on z(0) and w(0)
4. Hardware Implementation Based on STM32
5. Application in Image Encryption
5.1. NIST Test
5.2. Image Encryption Scheme
5.3. Histogram Analysis
5.4. Correlation Analysis
5.5. Information Entropy
5.6. Key Sensitivity Analysis
6. Conclusions
Author Contributions
Funding
Institutional Review Board Statement
Data Availability Statement
Conflicts of Interest
References
- Zhang, Z.; Huang, L. A new 5D Hamiltonian conservative hyperchaotic system with four center type equilibrium points, wide range and coexisting hyperchaotic orbits. Nonlinear Dyn. 2022, 108, 637–652. [Google Scholar] [CrossRef]
- Qi, G. Modelings and mechanism analysis underlying both the 4D Euler equations and Hamiltonian conservative chaotic systems. Nonlinear Dyn. 2019, 95, 2063–2077. [Google Scholar] [CrossRef]
- Wang, N.; Zhang, G.; Bao, H. Infinitely many coexisting conservative flows in a 4D conservative system inspired by LC circuit. Nonlinear Dyn. 2020, 99, 3197–3216. [Google Scholar] [CrossRef]
- Du, C.; Liu, L.; Zhang, Z.; Yu, S. A memristive conservative chaotic circuit with two different offset boosting behaviors. AEU-Int. J. Electron. Commun. 2022, 147, 154146. [Google Scholar] [CrossRef]
- Bao, B.C.; Li, Q.D.; Wang, N.; Xu, Q. Multistability in Chua’s circuit with two stable node-foci. Chaos Interdiscip. J. Nonlinear Sci. 2016, 26, 043111. [Google Scholar] [CrossRef] [PubMed]
- Jaros, P.; Perlikowski, P.; Kapitaniak, T. Synchronization and multistability in the ring of modified Rössler oscillators. Eur. Phys. J. Spec. Top. 2015, 224, 1541–1552. [Google Scholar] [CrossRef]
- Njitacke, Z.T.; Fotsin, H.B.; Negou, A.N.; Tchiotsop, D. Coexistence of multiple attractors and crisis route to chaos in a novel memristive diode bidge-based Jerk circuit. Chaos Solitons Fractals 2016, 91, 180–197. [Google Scholar] [CrossRef]
- Sprott, J.C.; Jafari, S.; Khalaf AJ, M.; Kapitaniak, T. Megastability: Coexistence of a countable infinity of nested attractors in a periodically-forced oscillator with spatially-periodic damping. Eur. Phys. J. Spec. Top. 2017, 226, 1979–1985. [Google Scholar] [CrossRef]
- Li, C.; Hu, W.; Sprott, J.C.; Wang, X. Multistability in symmetric chaotic systems. Eur. Phys. J. Spec. Top. 2015, 224, 1493–1506. [Google Scholar] [CrossRef]
- Sriram, S.; Danao, A.A.; Fonzin, T.F.; Rajagopal, K.; Kengne, J. Coexistence of multiscroll chaotic attractors in two coupled inertial hopfield neurons: Numerical simulations and experiment. Phys. Scr. 2022, 97, 125207. [Google Scholar] [CrossRef]
- Li, C.; Sprott, J.C. Coexisting hidden attractors in a 4-D simplified Lorenz system. Int. J. Bifurc. Chaos 2014, 24, 1450034. [Google Scholar] [CrossRef]
- Yuan, F.; Jin, Y.; Li, Y. Self-reproducing chaos and bursting oscillation analysis in a meminductor-based conservative system. Chaos Interdiscip. J. Nonlinear Sci. 2020, 30, 053127. [Google Scholar] [CrossRef] [PubMed]
- Wang, Q.; Yan, S.; Wang, E.; Ren, Y.; Sun, X. A simple Hamiltonian conservative chaotic system with extreme multistability and offset-boosting. Nonlinear Dyn. 2023, 111, 7819–7830. [Google Scholar] [CrossRef]
- Pratyusha, N.; Mandal, S. Design and Implementation of a Novel Circuit-Based Memristive Non-autonomous Hyperchaotic System with Conservative and Offset Boosting for Applications to Image Encryption. Circuits Syst. Signal Process. 2023, 42, 3812–3834. [Google Scholar] [CrossRef]
- Pecora, L.M.; Moniz, L.; Nichols, J.; Carroll, T.L. A unified approach to attractor reconstruction. Chaos Interdiscip. J. Nonlinear Sci. 2007, 17, 013110. [Google Scholar] [CrossRef]
- Ji’e, M.; Yan, D.; Du, X.; Duan, S.; Wang, L. A novel conservative system with hidden flows evolved from the simplest memristive circuit. Chaos Interdiscip. J. Nonlinear Sci. 2022, 32, 033111. [Google Scholar] [CrossRef]
- Jafari, S.; Sprott, J.C.; Dehghan, S. Sprott, and Soroush Dehghan. Categories of conservative flows. Int. J. Bifurc. Chaos 2019, 29, 1950021. [Google Scholar] [CrossRef]
- Prousalis, D.A.; Volos, C.K.; Stouboulos, I.N.; Kyprianidis, I. Hyperchaotic memristive system with hidden attractors and its adaptive control scheme. Nonlinear Dyn. 2017, 90, 1681–1694. [Google Scholar] [CrossRef]
- Abd-El-Atty, B. Quaternion with quantum walks for designing a novel color image cryptosystem. J. Inf. Secur. Appl. 2022, 71, 103367. [Google Scholar] [CrossRef]
- Abd-El-Atty, B. Efficient S-box construction based on quantum-inspired quantum walks with PSO algorithm and its application to image cryptosystem. Complex Intell. Syst. 2023, 9, 4817–4835. [Google Scholar] [CrossRef]
- Hu, C.; Tian, Z.; Wang, Q.; Zhang, X.; Liang, B.; Jian, C.; Wu, X. A memristor-based VB2 chaotic system: Dynamical analysis, circuit implementation, and image encryption. Optik 2022, 269, 169878. [Google Scholar] [CrossRef]
- Liang, B.; Hu, C.; Tian, Z.; Wang, Q.; Jian, C. A 3D chaotic system with multi-transient behavior and its application in image encryption. Phys. A Stat. Mech. Its Appl. 2023, 616, 128624. [Google Scholar] [CrossRef]
- Hu, T.; Liu, Y.; Gong, L.H.; Ouyang, C.J. An image encryption scheme combining chaos with cycle operation for DNA sequences. Nonlinear Dyn. 2017, 87, 51–66. [Google Scholar] [CrossRef]
- Wang, L.; Jiang, S.; Ge, M.F.; Hu, C.; Hu, J. Finite-/fixed-time synchronization of memristor chaotic systems and image encryption application. IEEE Trans. Circuits Syst. I Regul. Pap. 2021, 68, 4957–4969. [Google Scholar] [CrossRef]
- Li, H.; Wang, L.; Lai, Q. Synchronization of a memristor chaotic system and image encryption. Int. J. Bifurc. Chaos 2021, 31, 2150251. [Google Scholar] [CrossRef]
- Abd El-Latif, A.A.; Abd-El-Atty, B.; Mazurczyk, W.; Fung, C.; Venegas-Andraca, S.E. Secure data encryption based on quantum walks for 5G Internet of Things scenario. IEEE Trans. Netw. Serv. Manag. 2020, 17, 118–131. [Google Scholar] [CrossRef]
- Chen, J.-J.; Yan, D.-W.; Duan, S.-K.; Wang, L.-D. Memristor-based hyper-chaotic circuit for image encryption. Chin. Phys. B 2020, 29, 110504. [Google Scholar] [CrossRef]
- Zhu, S.; Deng, X.; Zhang, W.; Zhu, C. A new one-dimensional compound chaotic system and its application in high-speed image encryption. Appl. Sci. 2021, 11, 11206. [Google Scholar] [CrossRef]
- Zheng, J.; Hu, H. A symmetric image encryption scheme based on hybrid analog-digital chaotic system and parameter selection mechanism. Multimed. Tools Appl. 2021, 80, 20883–20905. [Google Scholar] [CrossRef]











| Statistical Test | p-Value | Result |
|---|---|---|
| Monobit | 0.5485 | pass |
| Block Frequency | 0.8862 | pass |
| Runs | 0.6310 | pass |
| Longest Runs | 0.6912 | pass |
| Rank | 0.0352 | pass |
| DFT | 0.7941 | pass |
| Nonoverlapping Template | 0.9754 | pass |
| Overlapping Template | 0.0623 | pass |
| Universal | 0.9118 | pass |
| Linear Complexity | 0.7493 | pass |
| Serial | 0.711 | pass |
| Approximate Entropy | 0.0345 | pass |
| Cumulative Sums | 0.945 | pass |
| Random Excursions | 0.454 | pass |
| Random Excursions Variant | 0.697 | pass |
| Images | Goldhill | Lena | Pepper |
|---|---|---|---|
| plain | 1.6162 × 105 | 1.5835 × 105 | 1.2016 × 105 |
| ciphered | 256.7324 | 186.0684 | 243.4199 |
| Test Image | Plain Image | Ciphered Image | ||||
|---|---|---|---|---|---|---|
| Horizontal | Vertical | Diagonal | Horizontal | Vertical | Diagonal | |
| Lena (proposed) | 0.9845 | 0.97 | 0.9632 | −0.0049 | 0.0095 | −0.0106 |
| Lena (ref. [21]) | 0.9850 | 0.9719 | 0.9576 | 0.0231 | 0.0138 | −0.0002 |
| Lena (ref. [22]) | 0.9854 | 0.9736 | 0.9552 | −0.0084 | 0.0065 | 0.0036 |
| Lena (ref. [23]) | 0.9673 | 0.9412 | 0.9132 | 0.0171 | −0.0013 | −0.0005 |
| Lena (ref. [24]) | 0.97688 | 0.9835 | 0.9534 | −0.0088 | 0.0048 | 0.0053 |
| Lena (ref. [25]) | 0.9024 | 0.9287 | 0.8856 | −0.0082 | 0.0094 | 0.0102 |
| Goldhill | 0.974 | 0.9739 | 0.9445 | 0.0049 | −0.0069 | −0.0158 |
| Pepper | 0.9813 | 0.9804 | 0.9676 | −0.0143 | −0.06 | 0.00249 |
| Test Image | Plain Image | Ciphered Image |
|---|---|---|
| Goldhill | 7.4451 | 7.99936 |
| Pepper | 7.5937 | 7.99928 |
| Pepper (ref. [20]) | 7.6698 | 7.9998 |
| Lena (proposed) | 7.4778 | 7.99933 |
| Lena (ref. [27]) | 7.3982 | 7.9692 |
| Lena (ref. [28]) | 7.5683 | 7.9978 |
| Lena (ref. [29]) | 7.4451 | 7.9993 |
| Test Image | Plain Image | Ciphered Image |
|---|---|---|
| Goldhill | 4.7113 | 0.0293 |
| Lena | 4.347 | 0.0282 |
| Pepper | 4.4384 | 0.0308 |
| Indicator | Goldhill | Lena | Pepper | Theoretical Value | |
|---|---|---|---|---|---|
| X0 | NPCR (%) | 99.6096 | 99.6098 | 99.6089 | 99.6094 |
| UACI (%) | 33.4653 | 33.4649 | 33.4653 | 33.4635 | |
| BACI (%) | 26.7730 | 26.7714 | 26.7730 | 26.7712 | |
| Y0 | NPCR (%) | 99.6097 | 99.6099 | 99.6094 | 99.6094 |
| UACI (%) | 33.4625 | 33.4654 | 33.4605 | 33.4635 | |
| BACI (%) | 26.7709 | 26.7709 | 26.7705 | 26.7712 | |
| Z0 | NPCR (%) | 99.6089 | 99.6095 | 99.6083 | 99.6094 |
| UACI (%) | 33.4625 | 33.4652 | 33.4633 | 33.4635 | |
| BACI (%) | 26.7702 | 26.7709 | 26.7709 | 26.7712 | |
| W0 | NPCR (%) | 99.6099 | 99.6089 | 99.6099 | 99.6094 |
| UACI (%) | 33.4640 | 33.4625 | 33.4640 | 33.4635 | |
| BACI (%) | 26.7698 | 26.7699 | 26.7798 | 26.7712 | |
Disclaimer/Publisher’s Note: The statements, opinions and data contained in all publications are solely those of the individual author(s) and contributor(s) and not of MDPI and/or the editor(s). MDPI and/or the editor(s) disclaim responsibility for any injury to people or property resulting from any ideas, methods, instructions or products referred to in the content. |
© 2023 by the authors. Licensee MDPI, Basel, Switzerland. This article is an open access article distributed under the terms and conditions of the Creative Commons Attribution (CC BY) license (https://creativecommons.org/licenses/by/4.0/).
Share and Cite
Li, J.; Liang, B.; Zhang, X.; Yu, Z. A Conservative Memristive Chaotic System with Extreme Multistability and Its Application in Image Encryption. Entropy 2023, 25, 1656. https://doi.org/10.3390/e25121656
Li J, Liang B, Zhang X, Yu Z. A Conservative Memristive Chaotic System with Extreme Multistability and Its Application in Image Encryption. Entropy. 2023; 25(12):1656. https://doi.org/10.3390/e25121656
Chicago/Turabian StyleLi, Jian, Bo Liang, Xiefu Zhang, and Zhixin Yu. 2023. "A Conservative Memristive Chaotic System with Extreme Multistability and Its Application in Image Encryption" Entropy 25, no. 12: 1656. https://doi.org/10.3390/e25121656
APA StyleLi, J., Liang, B., Zhang, X., & Yu, Z. (2023). A Conservative Memristive Chaotic System with Extreme Multistability and Its Application in Image Encryption. Entropy, 25(12), 1656. https://doi.org/10.3390/e25121656

