Modified Characteristic Finite Element Method with Second-Order Spatial Accuracy for Solving Convection-Dominated Problem on Surfaces
Abstract
:1. Introduction
2. Preliminaries
2.1. Surface Operators and Green’s Theorem on Surface
2.2. The Convection–Reaction–Diffusion Equations on Surface
2.3. The Reaction–Diffusion Equation with Characteristic Directional Derivative
3. A Modified Characteristic Finite Element Method (MCFEM) Based on Taylor Expansion
3.1. The Reconstruction Method Based on Taylor Expansion
3.2. Temporal Discretization of the MCFEM
3.3. The Surface Finite Element Method
3.4. The Analysis of Reconstruction Methods in MCFEM and CFEM
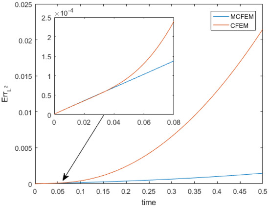
4. Numerical Examples
4.1. Accuracy Test on the Sphere
4.2. The Discontinuous Source Term Problem on Torus
4.3. The Burgers Equation on Peanut-Shaped Surface
4.4. The Convection Allen–Cahn Equation on Multi-Connected Surface
5. Conclusions
Author Contributions
Funding
Data Availability Statement
Acknowledgments
Conflicts of Interest
References
- Lai, N.; Li, L.; Yang, C.; Li, J. Service life of RC seawall under chloride invasion: A theoretical model incorporating convection-diffusion effect. Ocean. Eng. 2023, 279, 114590. [Google Scholar] [CrossRef]
- Lacitignola, D.; Bozzini, B.; Frittelli, M.; Sgura, I. Turing pattern formation on the sphere for a morphochemical reaction-diffusion model for electrodeposition. Commun. Nonlinear. Sci. 2017, 48, 484–508. [Google Scholar] [CrossRef]
- Kim, H.; Yun, A.; Yoon, S.; Lee, C.; Kim, J. Pattern formation in reaction-diffusion systems on evolving surfaces. Comput. Math. Appl. 2020, 80, 2019–2028. [Google Scholar] [CrossRef]
- Kallendorf, C.; Cheviakov, A.F.; Oberlack, M.; Wang, Y. Conservation laws of surfactant transport equations. Phys. Fluids. 2012, 24, 102105. [Google Scholar] [CrossRef]
- Sokolov, A.; Ali, R.; Turek, S. An AFC-stabilized implicit finite element method for partial differential equations on evolving-in-time surfaces. J. Comput. Appl. Math. 2015, 289, 101–115. [Google Scholar] [CrossRef]
- MacDonald, G.; Mackenzie, J.A.; Nolan, M.; Insall, R.H. A computational method for the coupled solution of reaction-diffusion equations on evolving domains and manifolds: Application to a model of cell migration and chemotaxis. J. Comput. Phys. 2016, 309, 207–226. [Google Scholar] [CrossRef] [PubMed]
- Elliott, C.M.; Stinner, B.; Venkataraman, C. Modelling cell motility and chemotaxis with evolving surface finite elements. J. R. Soc. Interface 2012, 9, 3027–3044. [Google Scholar] [CrossRef]
- Lehto, E.; Shankar, V.; Wright, G.B. A radial basis function (RBF) compact finite difference (FD) scheme for reaction-diffusion equations on surfaces. SIAM J. Sci. Comput. 2017, 39, A2129–A2151. [Google Scholar] [CrossRef]
- L-Bayati, S.A.A.; Wrobel, L.C. The dual reciprocity boundary element formulation for convection-diffusion-reaction problems with variable velocity field using different radial basis functions. Int. J. Mech. Sci. 2018, 145, 367–377. [Google Scholar] [CrossRef]
- Reutskiy, S.; Lin, J. A RBF-based technique for 3D convection-diffusion-reaction problems in an anisotropic inhomogeneous medium. Comput. Math. Appl. 2020, 79, 1875–1888. [Google Scholar] [CrossRef]
- Adil, N.; Xiao, X.; Feng, X. Numerical study on an RBF-FD tangent plane based method for convection-diffusion equations on anisotropic evolving surfaces. Entropy 2022, 24, 857. [Google Scholar] [CrossRef]
- Sun, Z.; Zhang, S. A radial basis function approximation method for conservative Allen-Cahn equations on surfaces. Appl. Math. Lett. 2023, 143, 108634. [Google Scholar] [CrossRef]
- Suchde, P.; Kuhnert, J. A meshfree generalized finite difference method for surface PDEs. Comput. Math. Appl. 2019, 78, 2789–2805. [Google Scholar] [CrossRef]
- Yang, J.; Li, Y.; Kim, J. A practical finite difference scheme for the Navier–Stokes equation on curved surfaces in R3. J. Comput. Phys. 2020, 411, 109403. [Google Scholar] [CrossRef]
- Yang, J.; Wang, J.; Tan, Z. A simple and practical finite difference method for the phase-field crystal model with a strong nonlinear vacancy potential on 3D surfaces. Comput. Math. Appl. 2022, 121, 131–144. [Google Scholar] [CrossRef]
- Olshanskii, M.A.; Xu, X. A trace finite element method for PDEs on evolving surfaces. SIAM J. Sci. Comput. 2017, 39, A1301–A1319. [Google Scholar] [CrossRef]
- Lehrenfeld, C.; Olshanskii, M.A.; Xu, X. A stabilized trace finite element method for partial differential equations on evolving surfaces. SIAM J. Numer. Anal. 2018, 56, 1643–1672. [Google Scholar] [CrossRef]
- Grande, J.; Lehrenfeld, C.; Reusken, A. Analysis of a high-order trace finite element method for PDEs on level set surfaces. SIAM J. Numer. Anal. 2018, 56, 228–255. [Google Scholar] [CrossRef]
- Gross, S.; Jankuhn, T.; Olshanskii, M.A.; Reusken, A. A trace finite element method for vector-laplacians on surfaces. SIAM J. Numer. Anal. 2018, 56, 2406–2429. [Google Scholar] [CrossRef]
- Olshanskii, M.; Xu, X.; Yushutin, V. A finite element method for Allen-Cahn equation on deforming surface. Comput. Math. Appl. 2021, 90, 148–158. [Google Scholar] [CrossRef]
- Sass, H.; Reusken, A. An accurate and robust Eulerian finite element method for partial differential equations on evolving surfaces. Comput. Math. Appl. 2023, 146, 253–270. [Google Scholar] [CrossRef]
- Olshanskii, M.A.; Reusken, A.; Xu, X. A stabilized finite element method for advection-diffusion equations on surfaces. IMA J. Numer. Anal. 2014, 34, 732–758. [Google Scholar] [CrossRef]
- Hansbo, P.; Larson, M.G.; Zahedi, S. Characteristic cut finite element methods for convection-diffusion problems on time dependent surfaces. Comput. Method. Appl. Mech. 2015, 293, 431–461. [Google Scholar] [CrossRef]
- Ivancˇic´, F.; Solovchuk, M. Energy stable arbitrary Lagrangian Eulerian finite element scheme for simulating flow dynamics of droplets on non-homogeneous surfaces. Appl Math. Model. 2022, 108, 66–91. [Google Scholar] [CrossRef]
- Dziuk, G.; Elliott, C.M. Finite element methods for surface PDEs. Acta Numer. 2013, 22, 289–396. [Google Scholar] [CrossRef]
- Simon, K.; Tobiska, L. Local projection stabilization for convection-diffusion-reaction equations on surfaces. Comput. Method. Appl. Mech. 2019, 344, 34–53. [Google Scholar] [CrossRef]
- Xiao, X.; Feng, X.; Li, Z. A gradient recovery-based adaptive finite element method for convection-diffusion-reaction equations on surfaces. Int. J. Numer. Meth. Eng. 2019, 120, 901–917. [Google Scholar] [CrossRef]
- Jin, M.; Feng, X.; Wang, K. Gradient recovery-based adaptive stabilized mixed FEM for the convection-diffusion-reaction equation on surfaces. Comput. Method. Appl. Mech. 2021, 380, 113798. [Google Scholar] [CrossRef]
- Xiao, X.; Dai, Z.; Feng, X. A positivity preserving characteristic finite element method for solving the transport and convection-diffusion-reaction equations on general surfaces. Comput. Phys. Commun. 2020, 247, 106941. [Google Scholar] [CrossRef]
- Bonito, A.; Lei, W. Approximation of the spectral fractional powers of the Laplace-Beltrami operator. Numer. Math. Theor. Meth. Appl. 2021, 4, 1193–1218. [Google Scholar]
- Douglas, J.; Russell, T.F. Numerical methods for convection-dominated diffusion problems based on combining the method of characteristics with finite element or finite difference procedures. SIAM J. Numer. Anal. 1982, 19, 871–885. [Google Scholar] [CrossRef]
- Frutos, J.D.; Novo, J. Bubble stabilization of linear finite element methods for nonlinear evolutionary convection-diffusion equations. Comput. Method. Appl. Mech. 2008, 197, 3988–3999. [Google Scholar] [CrossRef]












| h | MCFEM | CFEM | ||||||
|---|---|---|---|---|---|---|---|---|
| Rate | Rate | Rate | Rate | |||||
| 2.04 | 2.42 | – | 4.33 | – | 2.30 | – | 4.23 | – |
| 1.08 | 1.44 | 0.82 | 2.70 | 0.74 | 1.49 | 0.69 | 2.80 | 0.65 |
| 5.38 | 3.63 | 1.99 | 1.05 | 1.37 | 3.85 | 1.96 | 1.08 | 1.37 |
| 2.67 | 4.27 | 3.05 | 4.57 | 1.18 | 3.98 | 3.23 | 4.57 | 1.23 |
| 1.32 | 1.05 | 2.00 | 2.25 | 1.01 | 1.09 | 1.85 | 2.26 | 1.00 |
| h | MCFEM | CFEM | ||||||
|---|---|---|---|---|---|---|---|---|
| Rate | Rate | Rate | Rate | |||||
| 2.04 | 2.65 | – | 1.34 | – | 2.19 | – | 1.31 | – |
| 1.08 | 1.68 | 0.71 | 6.86 | 1.05 | 2.01 | 0.14 | 7.76 | 0.82 |
| 5.38 | 4.24 | 1.99 | 3.19 | 1.11 | 6.01 | 1.74 | 3.58 | 1.12 |
| 2.67 | 4.75 | 3.12 | 1.54 | 1.04 | 1.04 | 2.51 | 1.63 | 1.12 |
| 1.32 | 1.17 | 2.00 | 7.59 | 1.01 | 5.55 | 0.89 | 8.15 | 0.99 |
| h | MCFEM | CFEM | ||||||
|---|---|---|---|---|---|---|---|---|
| Rate | Rate | Rate | Rate | |||||
| 2.04 | 4.15 | – | 7.20 | – | 4.77 | – | 7.31 | – |
| 1.08 | 1.90 | 1.22 | 3.39 | 1.18 | 3.48 | 0.49 | 4.25 | 0.85 |
| 5.38 | 4.73 | 2.00 | 1.64 | 1.05 | 1.54 | 1.18 | 2.29 | 0.89 |
| 2.67 | 6.64 | 2.80 | 8.04 | 1.01 | 6.59 | 1.21 | 1.17 | 0.96 |
| 1.32 | 1.63 | 2.00 | 3.94 | 1.02 | 3.43 | 0.93 | 5.99 | 0.95 |
| h | MCFEM | CFEM | ||||||
|---|---|---|---|---|---|---|---|---|
| Rate | Rate | Rate | Rate | |||||
| 2.04 | 1.03 | – | 2.86 | – | 1.09 | – | 2.65 | – |
| 1.08 | 4.95 | 1.15 | 2.40 | 0.27 | 7.23 | 0.65 | 2.15 | 0.33 |
| 5.38 | 1.18 | 2.07 | 1.32 | 0.92 | 4.10 | 0.82 | 1.55 | 0.47 |
| 2.67 | 1.47 | 2.97 | 4.54 | 1.50 | 2.14 | 0.92 | 8.29 | 0.89 |
| 1.32 | 3.37 | 2.10 | 2.21 | 1.03 | 1.12 | 0.93 | 4.31 | 0.93 |
| h | MCFEM | CFEM | ||||||
|---|---|---|---|---|---|---|---|---|
| Rate | Rate | Rate | Rate | |||||
| 2.04 | 1.04 | – | 5.90 | – | 1.54 | – | 5.33 | – |
| 1.08 | 1.53 | −0.61 | 5.49 | 0.11 | 1.07 | 0.56 | 5.06 | 0.80 |
| 5.38 | 8.20 | 0.90 | 8.32 | −0.60 | 7.84 | 0.45 | 5.41 | −0.97 |
| 2.67 | 2.75 | 1.56 | 5.94 | 0.48 | 4.64 | 0.75 | 4.66 | 0.22 |
| 1.32 | 2.78 | 3.27 | 1.57 | 1.90 | 2.41 | 0.94 | 2.65 | 0.81 |
Disclaimer/Publisher’s Note: The statements, opinions and data contained in all publications are solely those of the individual author(s) and contributor(s) and not of MDPI and/or the editor(s). MDPI and/or the editor(s) disclaim responsibility for any injury to people or property resulting from any ideas, methods, instructions or products referred to in the content. |
© 2023 by the authors. Licensee MDPI, Basel, Switzerland. This article is an open access article distributed under the terms and conditions of the Creative Commons Attribution (CC BY) license (https://creativecommons.org/licenses/by/4.0/).
Share and Cite
Wu, L.; Feng, X.; He, Y. Modified Characteristic Finite Element Method with Second-Order Spatial Accuracy for Solving Convection-Dominated Problem on Surfaces. Entropy 2023, 25, 1631. https://doi.org/10.3390/e25121631
Wu L, Feng X, He Y. Modified Characteristic Finite Element Method with Second-Order Spatial Accuracy for Solving Convection-Dominated Problem on Surfaces. Entropy. 2023; 25(12):1631. https://doi.org/10.3390/e25121631
Chicago/Turabian StyleWu, Longyuan, Xinlong Feng, and Yinnian He. 2023. "Modified Characteristic Finite Element Method with Second-Order Spatial Accuracy for Solving Convection-Dominated Problem on Surfaces" Entropy 25, no. 12: 1631. https://doi.org/10.3390/e25121631
APA StyleWu, L., Feng, X., & He, Y. (2023). Modified Characteristic Finite Element Method with Second-Order Spatial Accuracy for Solving Convection-Dominated Problem on Surfaces. Entropy, 25(12), 1631. https://doi.org/10.3390/e25121631
