Geometrical Bounds on Irreversibility in Squeezed Thermal Bath
Abstract
1. Introduction
2. Materials and Methods
Geometrical Bounds of Irreversible Entropy Production
3. Results
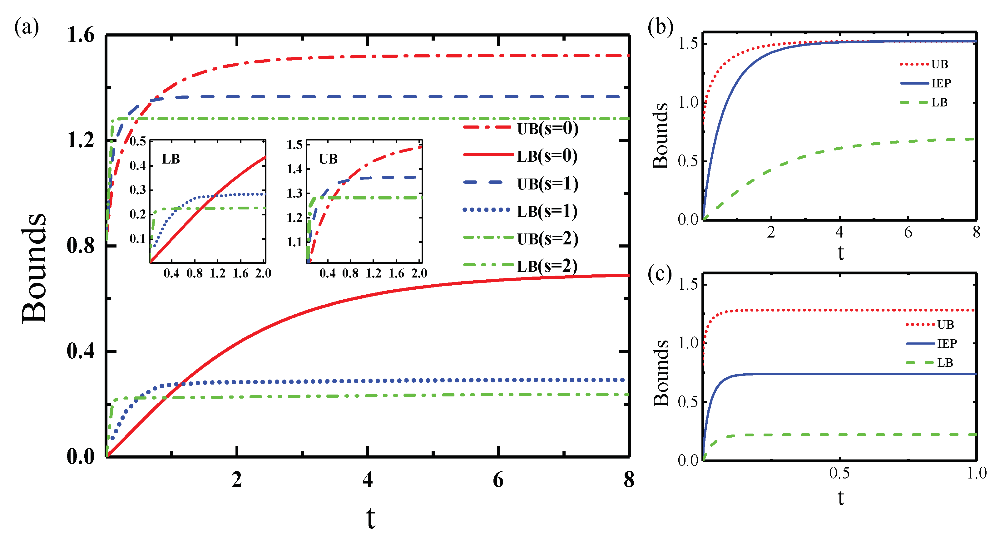
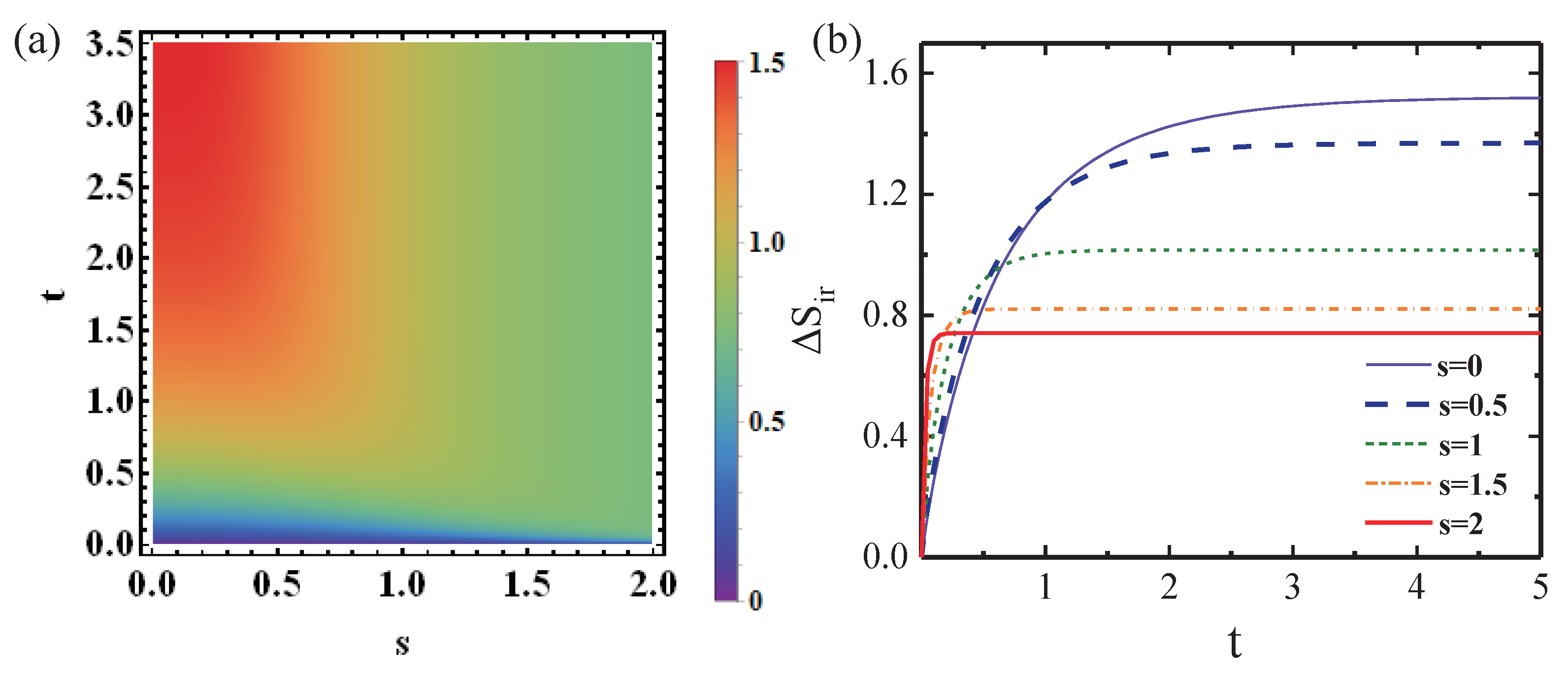
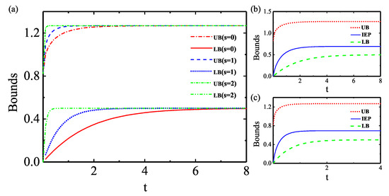
3.1. Geometrical Bounds on Irreversibility in the Dissipation Model
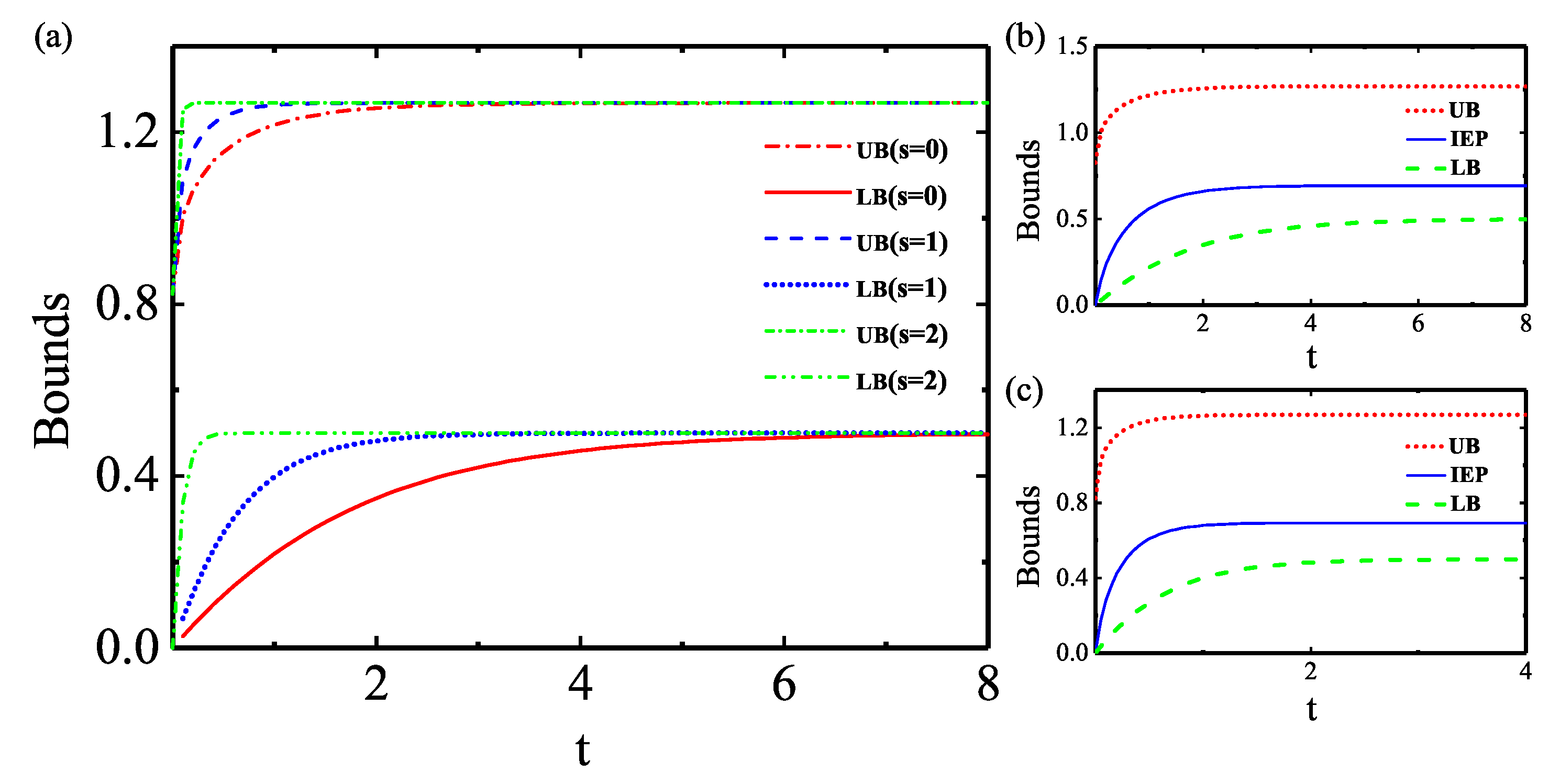
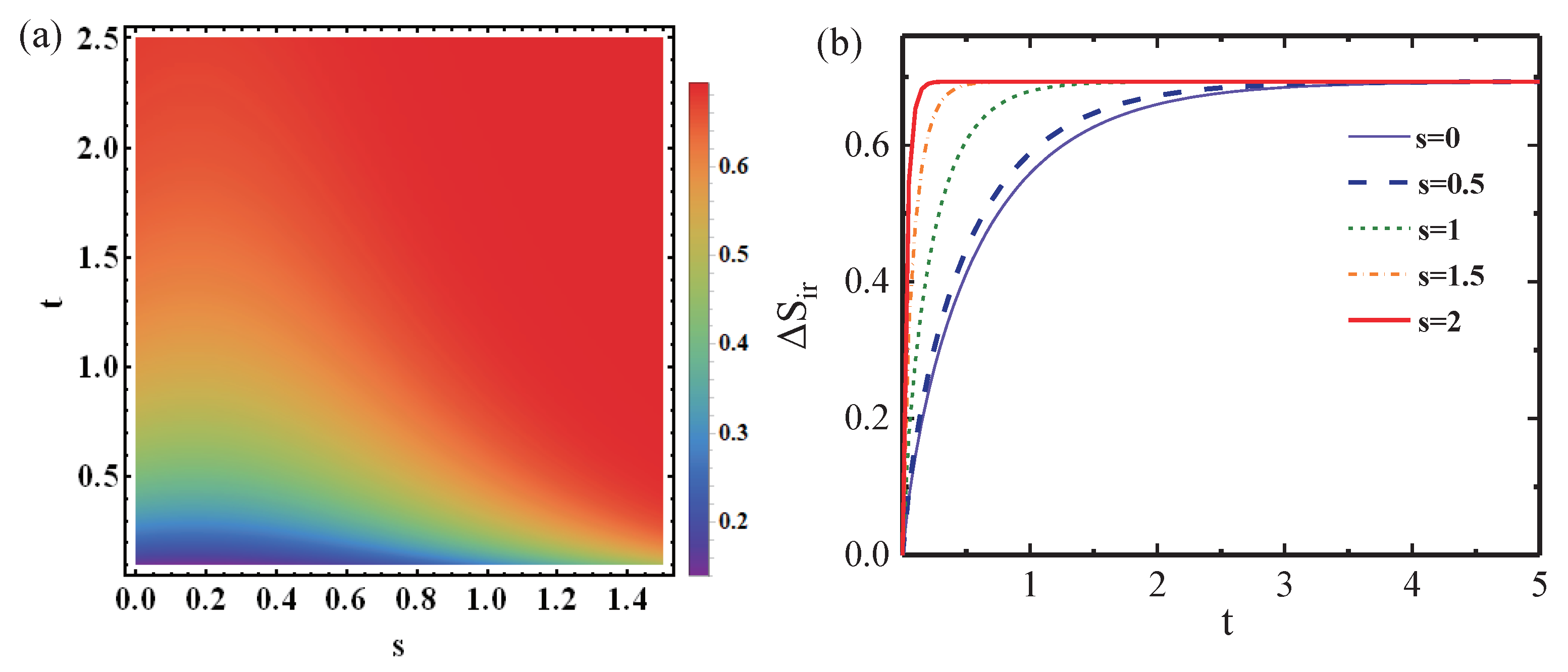
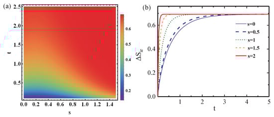
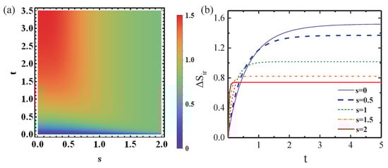
3.2. Geometrical Bounds on Irreversibility in the Dephasing Model
4. Discussions and Conclusions
Author Contributions
Funding
Acknowledgments
Conflicts of Interest
References
- Seifert, U. Entropy production along a stochastic trajectory and an integral fluctuation theorem. Phys. Rev. Lett. 2005, 95, 040602. [Google Scholar] [CrossRef]
- Landi, G.T.; Paternostro, M. Irreversible entropy production, from quantum to classical. Rev. Mod. Phys. 2021, 93, 035008. [Google Scholar] [CrossRef]
- Batalhão, T.B.; Souza, A.M.; Sarthour, R.S.; Oliveira, I.S.; Paternostro, M.; Lutz, E.; Serra, R.M. Irreversibility and the arrow of time in a quenched quantum system. Phys. Rev. Lett. 2015, 115, 190601. [Google Scholar] [CrossRef] [PubMed]
- Campbell, S.; Guarnieri, G.; Paternostro, M.; Vacchini, B. Nonequilibrium quantum bounds to Landauer’s principle: Tightness and effectiveness. Phys. Rev. A 2017, 96, 042109. [Google Scholar] [CrossRef]
- Singh, V.; Müstecaplıoğlu, Ö. Performance bounds of nonadiabatic quantum harmonic Otto engine and refrigerator under a squeezed thermal bath. Phys. Rev. E 2020, 102, 062123. [Google Scholar] [CrossRef] [PubMed]
- Deffner, S.; Lutz, E. Generalized Clausius inequality for nonequilibrium quantum processes. Phys. Rev. Lett. 2010, 105, 21231025. [Google Scholar] [CrossRef]
- Deffner, S.; Lutz, E. Nonequilibrium entropy production for open quantum systems. Phys. Rev. Lett. 2011, 107, 140404. [Google Scholar] [CrossRef]
- Vu, T.V.; Hasegawa, Y. Geometrical bounds of the irreversibility in Markovian systems. Phys. Rev. Lett. 2021, 126, 010601. [Google Scholar]
- Vu, T.V.; Hasegawa, Y. Lower bound on irreversibility in thermal relaxation of open quantum systems. Phys. Rev. Lett. 2021, 127, 190601. [Google Scholar]
- Shiraishi, N.; Saito, K. Information-theoretical bound of the irreversibility in thermal relaxation processes. Phys. Rev. Lett. 2019, 123, 110603. [Google Scholar] [CrossRef]
- Mancino, L.; Cavina, V.; Pasquale, A.D.; Sbroscia, M.; Booth, R.I.; Roccia, E.; Gianani, I.; Giovannetti, V.; Barbieri, M. Geometrical bounds on irreversibility in open quantum systems. Phys. Rev. Lett. 2018, 121, 160602. [Google Scholar]
- Latune, C.L.; Sinayskiy, I.; Petruccione, F. Low-dimensional dynamics of phase oscillators driven by Cauchy noise. Phys. Rev. A 2020, 102, 042220. [Google Scholar] [CrossRef]
- Ruppeiner, G. Riemannian geometry in thermodynamic fluctuation theory. Rev. Mod. Phys. 1995, 67, 605. [Google Scholar] [CrossRef]
- Andresen, B.; Salamon, P.; Berry, R.S. Thermodynamics in finite time. Phys. Today 1984, 37, 62. [Google Scholar] [CrossRef]
- Salamon, P.; Nulton, J.D. the geometry of separation processes: A horse-carrot theorem for steady flow systems. Europhys. Lett. 1998, 42, 571. [Google Scholar] [CrossRef]
- Alhambra, A.M.; Woods, M.P. Dynamical maps, quantum detailed balance, and the Petz recovery map. Phys. Rev. A 2017, 96, 022118. [Google Scholar] [CrossRef]
- Zhang, J.W.; Rehan, K.; Li, M.; Li, J.C.; Chen, L.; Su, S.L.; Yan, L.L.; Zhou, F.; Feng, M. Single-atom verification of the information-theoretical bound of irreversibility at the quantum level. Phys. Rev. Res. 2020, 2, 033082. [Google Scholar] [CrossRef]
- Poyatos, J.F.; Cirac, J.I.; Zoller, P. Quantum bath engineering with laser cooled trapped ions. Phys. Rev. Lett. 1996, 77, 4728. [Google Scholar] [CrossRef] [PubMed]
- Hou, Q.Z.; Yang, C.J.; Chen, C.Y.; An, J.H.; Yang, W.L.; Feng, M. Preservation of quantum correlation between nitrogen-vacancy-center ensembles by squeezed-bath engineering. Phys. Rev. A 2019, 100, 032302. [Google Scholar] [CrossRef]
- Myatt, C.J.; King, B.E.; Turchette, Q.A.; Sackett, C.A.; Kielpinski, D.; Itano, W.M.; Monroe, C.; Wineland, D.J. Decoherence of quantum superpositions through coupling to engineered bath. Nature 2000, 403, 269. [Google Scholar] [CrossRef]
- Murch, K.W.; Vool, U.; Zhou, D.; Weber, S.J.; Girvin, S.M.; Siddiqi, I. Cavity-assisted quantum bath engineering. Phys. Rev. Lett. 2012, 109, 183602. [Google Scholar] [CrossRef] [PubMed]
- Krauter, H.; Muschik, C.A.; Jensen, K.; Wasilewski, W.; Petersen, J.M.; Cirac, J.I.; Polzik, E.S. Entanglement generated by dissipation and steady state entanglement of two macroscopic objects. Phys. Rev. Lett. 2011, 107, 080503. [Google Scholar] [CrossRef] [PubMed]
- Shankar, S.; Hatridge, M.; Leghtas, Z.; Sliwa, K.; Narla, A.; Vool, U.; Girvin, S.; Frunzio, L.; Mirrahimi, M.; Devoret, M. Autonomously stabilized entanglement between two superconducting quantum bits. Nature 2013, 504, 7480. [Google Scholar] [CrossRef] [PubMed]
- Lin, Y.; Gaebler, J.P.; Reiter, F.; Tan, T.R.; Bowler, R.S.; Sørensen, A.S.; Leibfried, D.; Wineland, D.J. Dissipative production of a maximally entangled steady state of two quantum bits. Nature 2013, 504, 415. [Google Scholar] [CrossRef]
- Ro<i>β</i>nagel, J.; Abah, O.; Schmidt-Kaler, F.; Singer, K.; Lutz, E. Nanoscale heat engine beyond the Carnot limit. Phys. Rev. Lett. 2014, 112, 030602. [Google Scholar]
- Long, R.; Liu, W. Performance of quantum Otto refrigerators with squeezing. Phys. Rev. E 2015, 91, 062137. [Google Scholar] [CrossRef]
- Manzano, G.; Galve, F.; Zambrini, R.; Parrondo, J.M.R. Entropy production and thermodynamic power of the squeezed thermal bath. Phys. Rev. E 2016, 93, 052120. [Google Scholar] [CrossRef]
- Manzano, G. Squeezed thermal bath as a generalized equilibrium bath. Phys. Rev. E 2018, 98, 042123. [Google Scholar] [CrossRef]
- Huang, X.L.; Wang, T.; Yi, X.X. Effects of bath squeezing on quantum systems and work extraction. Phys. Rev. E 2012, 86, 051105. [Google Scholar] [CrossRef]
- Abah, O.; Lutz, E. Efficiency of heat engines coupled to nonequilibrium bath. Europhys. Lett. 2014, 106, 20001. [Google Scholar] [CrossRef]
- Elouard, C.; Bernardes, N.K.; Carvalho, A.R.R.; Santos, M.F.; Aufféves, A. Probing quantum fluctuation theorems in engineered bath. New J. Phys. 2017, 19, 103011. [Google Scholar] [CrossRef]
- Klaers, J.; Faelt, S.; Imamoglu, A.; Togan, E. Squeezed thermal bath as a resource for a nanomechanical engine beyond the Carnot limit. Phys. Rev. X 2017, 7, 031044. [Google Scholar]
- de Assis, R.J.; Sales, J.S.; da Cunha, J.A.R.; de Almeida, N.G. Universal two-level quantum Otto machine under a squeezed bath. Phys. Rev. E 2020, 102, 052131. [Google Scholar] [CrossRef] [PubMed]
- Wang, J.; He, J.; Ma, Y. Finite-time performance of a quantum heat engine with a squeezed thermal bath. Phys. Rev. E 2019, 100, 052126. [Google Scholar] [CrossRef] [PubMed]
- Luo, S. Wigner-Yanase skew information vs. quantum Fisher information. Proc. Am. Math. Soc. 2004, 132, 885. [Google Scholar] [CrossRef]
- Pires, D.P.; Cianciaruso, M.; Cleri, L.C.; Adesso, G.; Soares-Pinto, D.O. Generalized geometric quantum speed limits. Phys. Rev. X 2016, 6, 021031. [Google Scholar] [CrossRef]
- Orszag, M. Quantum Optics, 2nd ed.; Springer: Berlin, Germany, 2007. [Google Scholar]
- Hernandez, M.; Orszag, M. Decoherence and disentanglement for two qubits in a common squeezed bath. Phys. Rev. A 2018, 78, 042114. [Google Scholar] [CrossRef]
- Cengel, Y.A.; Boles, M.A. Thermodynamics: An Engineering Approach; McGraw-Hill: New York, NY, USA, 2001. [Google Scholar]
- Drummond, P.D.; Ficek, Z. (Eds.) Quantum Squeezing; Springer: Berlin/Heidelberg, Germany, 2004. [Google Scholar]
- Polzik, E.S. The squeeze goes on. Nature 2008, 453, 45. [Google Scholar] [CrossRef]
- Srikanth, R.; Banerjee, S. Squeezed generalized amplitude damping channel. Phys. Rev. A 2008, 77, 012318. [Google Scholar] [CrossRef]
- Chin, A.W.; Huelga, S.F.; Plenio, M.B. Quantum metrology in non-Markovian environments. Phys. Rev. Lett. 2012, 109, 233601. [Google Scholar] [CrossRef]
- Weiss, U. Quantum Dissipative Systems; World Scientific: Singapore, 2008. [Google Scholar]
- Leggett, A.J.; Chakravarty, S.; Dorsey, A.; Fisher, M.; Garg, A.; Zwerger, W. Dynamics of the dissipative two-state system. Rev. Mod. Phys. 1987, 59, 1. [Google Scholar] [CrossRef]
- Breuer, H.-P.; Petruccione, F. The Theory of Open Quantum Systems; Oxford University Press: New York, NY, USA, 2002. [Google Scholar]
- Agarwal, G.S. Quantum Optics, 1st ed.; Cambridge University Press: Cambridge, UK, 2012. [Google Scholar]
- Schaller, G. Open Quantum Systems Far from Equilibrium, 1st ed.; Springer: New York, NY, USA, 2014. [Google Scholar]
- Li, S.-W.; Cai, C.Y.; Sun, C.P. Steady quantum coherence in non-equilibrium environment. Ann. Phys. 2015, 360, 19. [Google Scholar] [CrossRef]
- You, Y.-N.; Li, S.-W. Entropy dynamics of a dephasing model in a squeezed thermal bath. Phys. Rev. A 2018, 97, 012114. [Google Scholar] [CrossRef]
- Banerjee, S.; Ghosh, R. Dynamics of decoherence without dissipation in a squeezed thermal bath. J. Phys. A Math. Theor. 2007, 40, 13735. [Google Scholar] [CrossRef]
- Chruściński, D.; Kossakowski, A. Markovianity criteria for quantum evolution. J. Phys. B 2012, 45, 154002. [Google Scholar] [CrossRef]
- Gardiner, C.; Zoller, P. Quantum Noise; Springer: New York, NY, USA, 2004. [Google Scholar]
- Haikka, P.; McEndoo, S.; De Chiara, G.; Palma, G.M.; Maniscalco, S. Quantifying, characterizing, and controlling information flow in ultracold atomic gases. Phys. Rev. A 2011, 84, 031602. [Google Scholar] [CrossRef]
- Haikka, P.; Johnson, T.H.; Maniscalco, S. Non-Markovianity of local dephasing channels and time-invariant discord. Phys. Rev. A 2013, 87, 010103. [Google Scholar] [CrossRef]
- Lostaglio, M.; Jennings, D.; Rudolph, T. Description of quantum coherence in thermodynamic processes requires constraints beyond free energy. Nat. Commun. 2015, 6, 6383. [Google Scholar] [CrossRef]
- Miller, H.J.D.; Scandi, M.; Anders, J.; Perarnau-Llobet, M. Work Fluctuations in Slow Processes: Quantum Signatures and Optimal Control. Phys. Rev. Lett. 2019, 123, 230603. [Google Scholar] [CrossRef]
- Scandi, M.; Miller, H.J.D.; Anders, J.; Perarnau-Llobet, M. Quantum work statistics close to equilibrium. Phys. Rev. R 2020, 2, 023377. [Google Scholar] [CrossRef]
- Smith, A.; Lu, Y.; An, S.; Zhang, X.; Zhang, J.-N.; Gong, Z.; Quan, H.T.; Jarzynski, C.; Kim, K. Verification of the quantum nonequilibrium work relation in the presence of decoherence. New J. Phys. 2018, 20, 013008. [Google Scholar] [CrossRef]
- Hekking, F.W.J.; Pekola, J.P. Quantum Jump Approach for Work and Dissipation in a Two-Level System. Phys. Rev. Lett. 2013, 111, 093602. [Google Scholar] [CrossRef] [PubMed]
- Plastina, F.; Alecce, A.; Apollaro, T.J.G.; Falcone, G.; Francica, G.; Galve, F.; Gullo, N.L.; Zambrini, R. Irreversible Work and Inner Friction in Quantum Thermodynamic Processes. Phys. Rev. Lett. 2014, 113, 260601. [Google Scholar] [CrossRef]
- Varizi, A.D.; Cipolla, M.A.; Perarnau-Llobet, M.; Drumond, R.C.; Landi, G.T. Contributions from populations and coherences in non-equilibrium entropy production. New J. Phys. 2021, 23, 063027. [Google Scholar] [CrossRef]
- Santos, J.P.; Céleri, L.C.; Landi, G.T.; Paternostro, M. The role of quantum coherence in non-equilibrium entropy production. Npj Quantum Inf. 2019, 5, 23. [Google Scholar] [CrossRef]
- Francica, G.; Goold, J.; Plastina, F. Role of coherence in the nonequilibrium thermodynamics of quantum systems. Phys. Rev. E 2019, 99, 042105. [Google Scholar] [CrossRef]
- Camati, P.A.; Santos, J.F.G.; Serra, R.M. Coherence effects in the performance of the quantum Otto heat engine. Phys. Rev. A 2019, 99, 062103. [Google Scholar] [CrossRef]
- Woodworth, T.S.; Chan, K.W.C.; Avigliano, C.H.; Marino, A.M. Transmission estimation at the Cramr-Rao bound for squeezed states of light in the presence of loss and imperfect detection. Phys. Rev. A 2020, 102, 052603. [Google Scholar] [CrossRef]
- Yuen, H.P. Two-photon coherent states of the radiation field. Phys. Rev. A 1976, 13, 2226. [Google Scholar] [CrossRef]
- Yoshikawa, J.; Hayashi, T.; Akiyama, T.; Takei, N.; Huck, A.; Andersen, U.L.; Furusawa, A. Demonstration of deterministic and high fidelity squeezing of quantum information. Phys. Rev. A 2007, 76, 060301. [Google Scholar] [CrossRef]
- Miwa, Y.; Yoshikawa, J.; Iwata, N.; Endo, M.; Marek, P.; Filip, R.; van Loock, P.; Furusawa, A. Exploring a new regime for processing optical qubits: Squeezing and unsqueezing single photons. Phys. Rev. Lett. 2014, 113, 013601. [Google Scholar] [CrossRef] [PubMed]
- Laine, E.M.; Breuer, H.P.; Piilo, J.; Li, C.F.; Guo, G.C. Nonlocal memory effects in the dynamics of open quantum system. Phys. Rev. Lett. 2012, 108, 210402. [Google Scholar] [CrossRef] [PubMed]
- Santos, J.P.; Landi, G.T.; Paternostro, M. Wigner entropy production rate. Phys. Rev. Lett. 2017, 118, 220601. [Google Scholar] [CrossRef] [PubMed]
- Brunelli, M.; Fusco, L.; Landig, R.; Wieczorek, W.; Hoelscher-Obermaier, J.; Landi, G.; Semião, F.L.; Ferraro, A.; Kiesel, N.; Donner, T.; et al. Experimental determination of irreversible entropy production in out-of-equilibrium mesoscopic quantum systems. Phys. Rev. Lett. 2018, 121, 160604. [Google Scholar] [CrossRef] [PubMed]
- Spohn, H. Entropy production for quantum dynamical semigroups. J. Math. Phys. 1987, 19, 1227. [Google Scholar] [CrossRef]
- Spohn, H.; Lebowitz, J.L. Irreversible thermodynamics for quantum systems weakly coupled to thermal bath. Adv. Chem. Phys. 1978, 38, 109. [Google Scholar]
- Alicki, R. The quantum open system as a model of the heat engine. J. Phys. A Math. Gen 1979, 12, L103. [Google Scholar] [CrossRef]
- Pietzonka, P.; Barato, A.C.; Seifert, U. Universal bounds on current fluctuations. Phys. Rev. E 2016, 93, 052145. [Google Scholar] [CrossRef]
- Pietzonka, P.; Seifert, U. Universal trade-off between power, efficiency, and constancy in steady-state heat engines. Phys. Rev. Lett. 2018, 120, 190602. [Google Scholar] [CrossRef]
- Guarnieri, G.; Landi, G.T.; Clark, S.R.; Goold, J. Thermodynamics of precision in quantum nonequilibrium steady states. Phys. Rev. Res. 2019, 1, 033021. [Google Scholar] [CrossRef]
- Timpanaro, A.M.; Guarnieri, G.; Goold, J.; Landi, G.T. Thermodynamic uncertainty relations from exchange fluctuation theorems. Phys. Rev. Lett. 2019, 123, 090604. [Google Scholar] [CrossRef] [PubMed]
- Okuyama, M.; Ohzeki, M. Quantum speed limit is not quantum. Phys. Rev. Lett. 2018, 120, 070402. [Google Scholar] [CrossRef] [PubMed]
- Shiraishi, N.; Funo, K.; Saito, K. Speed limit for classical stochastic processes. Phys. Rev. Lett. 2018, 121, 070601. [Google Scholar] [CrossRef] [PubMed]
- Bhattacharya, S.; Misra, A.; Mukhopadhyay, C.; Pati, A.K. Exact master equation for a spin interacting with a spin bath: Non-Markovianity and negative entropy production rate. Phys. Rev. A 2017, 95, 012122. [Google Scholar] [CrossRef]
- Murch, K.W.; Weber, S.J.; Beck, K.M.; Ginossar, E.; Siddiqi, I. Reduction of the radiative decay of atomic coherence in squeezed vacuum. Nature 2013, 499, 62. [Google Scholar] [CrossRef]
- Eddins, A.; Kreikebaum, J.M.; Toyli, D.M.; Levenson-Falk, E.M.; Dove, A.; Livingston, W.P.; Levitan, B.A.; Govia, L.C.G.; Clerk, A.A.; Siddiqi, I. High-efficiency measurement of an artificial atom embedded in a parametric amplifier. Phys. Rev. X 2019, 9, 011004. [Google Scholar] [CrossRef]
- Toyli, D.M.; Eddins, A.W.; Boutin, S.; Puri, S.; Hover, D.; Bolkhovsky, V.; Oliver, W.D.; Blais, A.; Siddiqi, I. Resonance fluorescence from an artificial atom in squeezed vacuum. Phys. Rev. X 2016, 6, 031004. [Google Scholar] [CrossRef]
- Wollman, E.E.; Lei, C.U.; Weinstein, A.J.; Suh, J.; Kronwald, A.; Marquardt, F.; Clerk, A.A.; Schwab, K.C. Quantum squeezing of motion in a mechanical resonator. Science 2015, 349, 952. [Google Scholar] [CrossRef]
- Clark, J.B.; Lecocq, F.; Simmonds, R.W.; Aumentado, J.; Teufel, J.D. Sideband cooling beyond the quantum backaction limit with squeezed light. Nature 2017, 541, 191. [Google Scholar] [CrossRef]
- Harrington, P.M.; Tan, D.; Naghiloo, M.; Murch, K.W. Characterizing a statistical arrow of time in quantum measurement dynamics. Phys. Rev. Lett. 2019, 123, 020502. [Google Scholar] [CrossRef]
- Rossi, M.; Mancino, L.; Landi, G.T.; Paternostro, M.; Schliesser, A.; Belenchia, A. Experimental assessment of entropy production in a continuously measured mechanical resonator. Phys. Rev. Lett. 2020, 125, 080601. [Google Scholar] [CrossRef] [PubMed]





Disclaimer/Publisher’s Note: The statements, opinions and data contained in all publications are solely those of the individual author(s) and contributor(s) and not of MDPI and/or the editor(s). MDPI and/or the editor(s) disclaim responsibility for any injury to people or property resulting from any ideas, methods, instructions or products referred to in the content. |
© 2023 by the authors. Licensee MDPI, Basel, Switzerland. This article is an open access article distributed under the terms and conditions of the Creative Commons Attribution (CC BY) license (https://creativecommons.org/licenses/by/4.0/).
Share and Cite
Zou, C.-J.; Li, Y.; Xu, J.-K.; You, J.-B.; Png, C.E.; Yang, W.-L. Geometrical Bounds on Irreversibility in Squeezed Thermal Bath. Entropy 2023, 25, 128. https://doi.org/10.3390/e25010128
Zou C-J, Li Y, Xu J-K, You J-B, Png CE, Yang W-L. Geometrical Bounds on Irreversibility in Squeezed Thermal Bath. Entropy. 2023; 25(1):128. https://doi.org/10.3390/e25010128
Chicago/Turabian StyleZou, Chen-Juan, Yue Li, Jia-Kun Xu, Jia-Bin You, Ching Eng Png, and Wan-Li Yang. 2023. "Geometrical Bounds on Irreversibility in Squeezed Thermal Bath" Entropy 25, no. 1: 128. https://doi.org/10.3390/e25010128
APA StyleZou, C.-J., Li, Y., Xu, J.-K., You, J.-B., Png, C. E., & Yang, W.-L. (2023). Geometrical Bounds on Irreversibility in Squeezed Thermal Bath. Entropy, 25(1), 128. https://doi.org/10.3390/e25010128

