Environment-Assisted Modulation of Heat Flux in a Bio-Inspired System Based on Collision Model
Abstract
1. Introduction
2. The Collision Model
- interacts with
- interacts with
- interacts with A
- A interacts with
- interacts with
- interacts with
3. Results
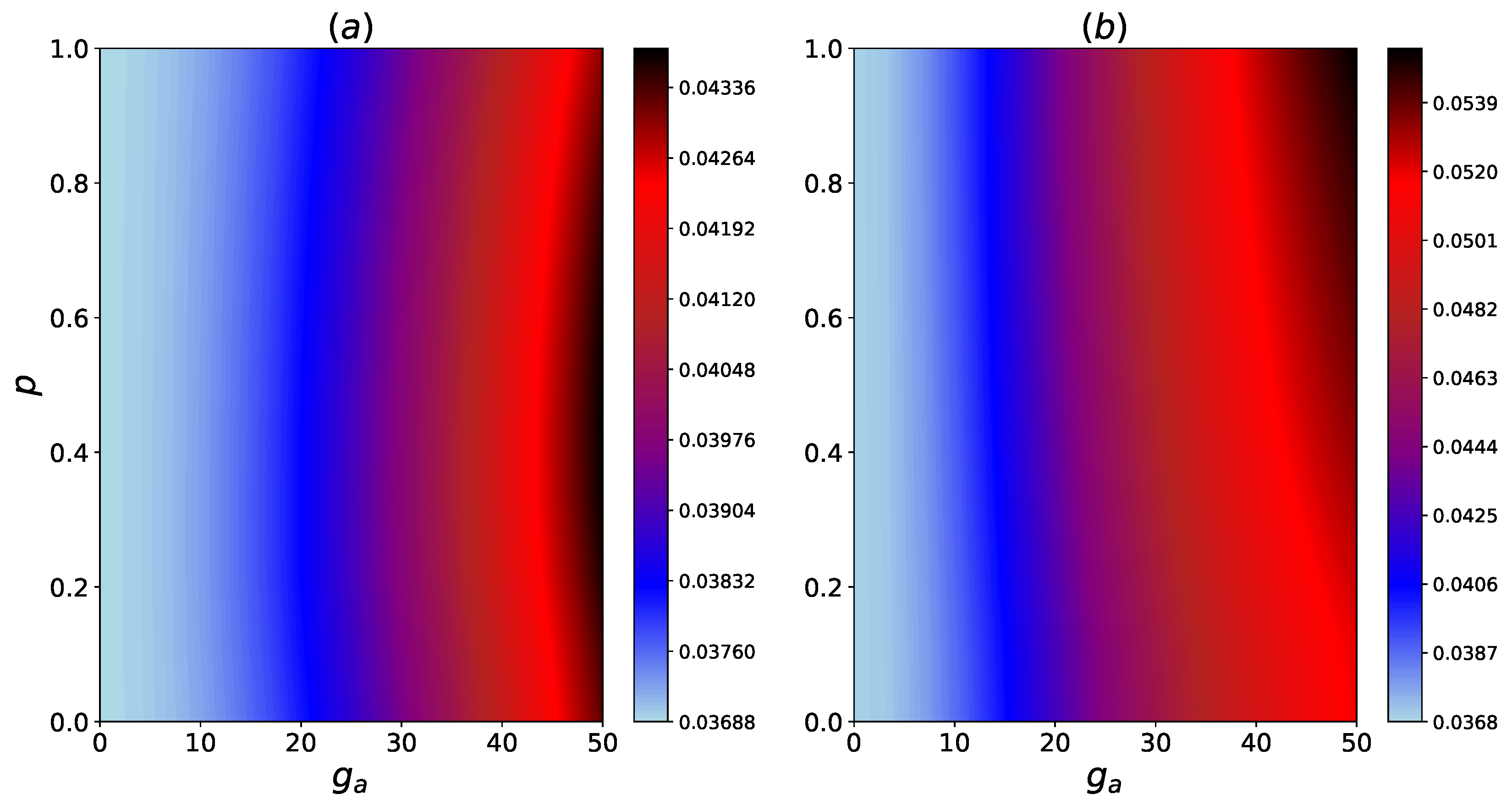
3.1. Effect of the System-HSE and Inter-HSE Couplings
3.2. Effect of Coherence within the HSE
4. Conclusions and Discussion
Author Contributions
Funding
Institutional Review Board Statement
Informed Consent Statement
Data Availability Statement
Acknowledgments
Conflicts of Interest
References
- Blankenship, R. Molecular Mechanisms of Photosynthesis; Wiley: Hoboken, NJ, USA, 2014. [Google Scholar]
- Kenkre, V.M.; Knox, R.S. Generalized-master-equation theory of excitation transfer. Phys. Rev. B 1974, 9, 5279–5290. [Google Scholar] [CrossRef]
- Leegwater, J.A. Coherent versus Incoherent Energy Transfer and Trapping in Photosynthetic Antenna Complexes. J. Phys. Chem. 1996, 100, 14403–14409. [Google Scholar] [CrossRef]
- Kakitani, T.; Kimura, A.; Sumi, H. Theory of Excitation Transfer in the Intermediate Coupling Case. J. Phys. Chem. B 1999, 103, 3720–3726. [Google Scholar] [CrossRef]
- Kimura, A.; Kakitani, T.; Yamato, T. Theory of Excitation Energy Transfer in the Intermediate Coupling Case. II. Criterion for Intermediate Coupling Excitation Energy Transfer Mechanism and Application to the Photosynthetic Antenna System. J. Phys. Chem. B 2000, 104, 9276–9287. [Google Scholar] [CrossRef]
- Ishizaki, A.; Fleming, G.R. Unified treatment of quantum coherent and incoherent hopping dynamics in electronic energy transfer: Reduced hierarchy equation approach. J. Chem. Phys. 2009, 130, 234111. [Google Scholar] [CrossRef]
- Kimura, A.; Kakitani, T. Advanced Theory of Excitation Energy Transfer in Dimers. J. Phys. Chem. A 2007, 111, 12042–12048. [Google Scholar] [CrossRef]
- Kimura, A. General theory of excitation energy transfer in donor-mediator-acceptor systems. J. Chem. Phys. 2009, 130, 154103. [Google Scholar] [CrossRef]
- Jang, S. Theory of multichromophoric coherent resonance energy transfer: A polaronic quantum master equation approach. J. Chem. Phys. 2011, 135, 034105. [Google Scholar] [CrossRef]
- Jang, S. Theory of coherent resonance energy transfer for coherent initial condition. J. Chem. Phys. 2009, 131, 164101. [Google Scholar] [CrossRef]
- Hossein-Nejad, H.; Olaya-Castro, A.; Scholes, G.D. Phonon-mediated path-interference in electronic energy transfer. J. Chem. Phys. 2012, 136, 024112. [Google Scholar] [CrossRef]
- Hu, X.; Ritz, T.; Damjanović, A.; Schulten, K. Pigment Organization and Transfer of Electronic Excitation in the Photosynthetic Unit of Purple Bacteria. J. Phys. Chem. B 1997, 101, 3854–3871. [Google Scholar] [CrossRef]
- Chenu, A.; Scholes, G.D. Coherence in Energy Transfer and Photosynthesis. Annu. Rev. Phys. Chem. 2015, 66, 69–96. [Google Scholar] [CrossRef]
- Curutchet, C.; Mennucci, B. Quantum Chemical Studies of Light Harvesting. Chem. Rev. 2017, 117, 294–343. [Google Scholar] [CrossRef]
- Mančal, T. A decade with quantum coherence: How our past became classical and the future turned quantum. Chem. Phys. 2020, 532, 110663. [Google Scholar] [CrossRef]
- Tao, M.J.; Zhang, N.N.; Wen, P.Y.; Deng, F.G.; Ai, Q.; Long, G.L. Coherent and incoherent theories for photosynthetic energy transfer. Sci. Bull. 2020, 65, 318–328. [Google Scholar] [CrossRef]
- Savikhin, S.; Buck, D.R.; Struve, W.S. Oscillating anisotropies in a bacteriochlorophyll protein: Evidence for quantum beating between exciton levels. Chem. Phys. 1997, 223, 303–312. [Google Scholar] [CrossRef]
- Engel, G.S.; Calhoun, T.R.; Read, E.L.; Ahn, T.K.; Mančal, T.; Cheng, Y.C.; Blankenship, R.E.; Fleming, G.R. Evidence for wavelike energy transfer through quantum coherence in photosynthetic systems. Nature 2007, 446, 782–786. [Google Scholar] [CrossRef]
- Calhoun, T.R.; Ginsberg, N.S.; Schlau-Cohen, G.S.; Cheng, Y.C.; Ballottari, M.; Bassi, R.; Fleming, G.R. Quantum Coherence Enabled Determination of the Energy Landscape in Light-Harvesting Complex II. J. Phys. Chem. B 2009, 113, 16291–16295. [Google Scholar] [CrossRef]
- Collini, E.; Wong, C.Y.; Wilk, K.E.; Curmi, P.M.G.; Brumer, P.; Scholes, G.D. Coherently wired light-harvesting in photosynthetic marine algae at ambient temperature. Nature 2010, 463, 644–647. [Google Scholar] [CrossRef]
- Panitchayangkoon, G.; Hayes, D.; Fransted, K.A.; Caram, J.R.; Harel, E.; Wen, J.; Blankenship, R.E.; Engel, G.S. Long-lived quantum coherence in photosynthetic complexes at physiological temperature. Proc. Natl. Acad. Sci. USA 2010, 107, 12766–12770. [Google Scholar] [CrossRef]
- Panitchayangkoon, G.; Voronine, D.V.; Abramavicius, D.; Caram, J.R.; Lewis, N.H.C.; Mukamel, S.; Engel, G.S. Direct evidence of quantum transport in photosynthetic light-harvesting complexes. Proc. Natl. Acad. Sci. USA 2011, 108, 20908–20912. [Google Scholar] [CrossRef] [PubMed]
- Mohseni, M.; Rebentrost, P.; Lloyd, S.; Aspuru-Guzik, A. Environment-assisted quantum walks in photosynthetic energy transfer. J. Chem. Phys. 2008, 129, 174106. [Google Scholar] [CrossRef]
- Rebentrost, P.; Mohseni, M.; Kassal, I.; Lloyd, S.; Aspuru-Guzik, A. Environment-assisted quantum transport. New J. Phys. 2009, 11, 033003. [Google Scholar] [CrossRef]
- Plenio, M.B.; Huelga, S.F. Dephasing-assisted transport: Quantum networks and biomolecules. New J. Phys. 2008, 10, 113019. [Google Scholar] [CrossRef]
- Olaya-Castro, A.; Lee, C.F.; Olsen, F.F.; Johnson, N.F. Efficiency of energy transfer in a light-harvesting system under quantum coherence. Phys. Rev. B 2008, 78, 085115. [Google Scholar] [CrossRef]
- Duan, H.G.; Prokhorenko, V.I.; Cogdell, R.J.; Ashraf, K.; Stevens, A.L.; Thorwart, M.; Miller, R.J.D. Nature does not rely on long-lived electronic quantum coherence for photosynthetic energy transfer. Proc. Natl. Acad. Sci. USA 2017, 114, 8493–8498. [Google Scholar] [CrossRef]
- Harush, E.Z.; Dubi, Y. Do photosynthetic complexes use quantum coherence to increase their efficiency? Probably not. Sci. Adv. 2021, 7, eabc4631. [Google Scholar] [CrossRef] [PubMed]
- Wilkins, D.M.; Dattani, N.S. Why Quantum Coherence Is Not Important in the Fenna–Matthews–Olsen Complex. J. Chem. Theory Comput. 2015, 11, 3411–3419. [Google Scholar] [CrossRef] [PubMed]
- Kassal, I.; Yuen-Zhou, J.; Rahimi-Keshari, S. Does Coherence Enhance Transport in Photosynthesis? J. Phys. Chem. Lett. 2013, 4, 362–367. [Google Scholar] [CrossRef] [PubMed]
- Cao, J.; Cogdell, R.J.; Coker, D.F.; Duan, H.G.; Hauer, J.; Kleinekathöfer, U.; Jansen, T.L.C.; Mančal, T.; Miller, R.J.D.; Ogilvie, J.P.; et al. Quantum biology revisited. Sci. Adv. 2020, 6, eaaz4888. [Google Scholar] [CrossRef]
- Potočnik, A.; Bargerbos, A.; Schröder, F.A.Y.N.; Khan, S.A.; Collodo, M.C.; Gasparinetti, S.; Salathé, Y.; Creatore, C.; Eichler, C.; Türeci, H.E.; et al. Studying light-harvesting models with superconducting circuits. Nat. Commun. 2018, 9, 904. [Google Scholar] [CrossRef] [PubMed]
- Kozyrev, S.V. Model of Vibrons in Quantum Photosynthesis as an Analog of a Model of Laser. Proc. Steklov Inst. Math. 2019, 306, 145–156. [Google Scholar] [CrossRef]
- Mattiotti, F.; Brown, W.M.; Piovella, N.; Olivares, S.; Gauger, E.M.; Celardo, G.L. Bio-inspired natural sunlight-pumped lasers. New J. Phys. 2021, 23, 103015. [Google Scholar] [CrossRef]
- Scully, M.O.; Chapin, K.R.; Dorfman, K.E.; Kim, M.B.; Svidzinsky, A. Quantum heat engine power can be increased by noise-induced coherence. Proc. Natl. Acad. Sci. USA 2011, 108, 15097–15100. [Google Scholar] [CrossRef]
- Killoran, N.; Huelga, S.F.; Plenio, M.B. Enhancing light-harvesting power with coherent vibrational interactions: A quantum heat engine picture. J. Chem. Phys. 2015, 143, 155102. [Google Scholar] [CrossRef]
- Chen, F.; Gao, Y.; Galperin, M. Molecular Heat Engines: Quantum Coherence Effects. Entropy 2017, 19, 472. [Google Scholar] [CrossRef]
- Ringsmuth, A.K.; Milburn, G.J.; Stace, T.M. Multiscale photosynthetic and biomimetic excitation energy transfer. Nat. Phys. 2012, 8, 562–567. [Google Scholar] [CrossRef][Green Version]
- Sarovar, M.; Whaley, K.B. Design principles and fundamental trade-offs in biomimetic light harvesting. New J. Phys. 2013, 15, 013030. [Google Scholar] [CrossRef]
- Romero, E.; Novoderezhkin, V.I.; van Grondelle, R. Quantum design of photosynthesis for bio-inspired solar-energy conversion. Nature 2017, 543, 355–365. [Google Scholar] [CrossRef]
- Rupp, A.I.K.S.; Gruber, P. Biomimetic Groundwork for Thermal Exchange Structures Inspired by Plant Leaf Design. Biomimetics 2019, 4, 75. [Google Scholar] [CrossRef]
- Scarani, V.; Ziman, M.; Štelmachovič, P.; Gisin, N.; Bužek, V. Thermalizing Quantum Machines: Dissipation and Entanglement. Phys. Rev. Lett. 2002, 88, 097905. [Google Scholar] [CrossRef] [PubMed]
- Ciccarello, F. Collision models in quantum optics. Quantum Meas. Quantum Metrol. 2017, 4, 53–63. [Google Scholar] [CrossRef]
- Ciccarello, F.; Palma, G.M.; Giovannetti, V. Collision-model-based approach to non-Markovian quantum dynamics. Phys. Rev. A 2013, 87, 040103. [Google Scholar] [CrossRef]
- Lorenzo, S.; Ciccarello, F.; Palma, G.M.; Vacchini, B. Quantum Non-Markovian Piecewise Dynamics from Collision Models. Open Syst. Inf. Dyn. 2017, 24, 1740011. [Google Scholar] [CrossRef]
- Lorenzo, S.; Ciccarello, F.; Palma, G.M. Composite quantum collision models. Phys. Rev. A 2017, 96, 032107. [Google Scholar] [CrossRef]
- Ciccarello, F.; Lorenzo, S.; Giovannetti, V.; Palma, G.M. Quantum collision models: Open system dynamics from repeated interactions. Phys. Rep. 2022, 954, 1–70. [Google Scholar] [CrossRef]
- Arısoy, O.; Campbell, S.; Müstecaplıoğlu, Z.E. Thermalization of Finite Many-Body Systems by a Collision Model. Entropy 2019, 21, 1182. [Google Scholar] [CrossRef]
- Çakmak, B.; Pezzutto, M.; Paternostro, M.; Müstecaplıoğlu, E. Non-Markovianity, coherence, and system-environment correlations in a long-range collision model. Phys. Rev. A 2017, 96, 022109. [Google Scholar] [CrossRef]
- Çakmak, B.; Campbell, S.; Vacchini, B.; Müstecaplıoğlu, Z.E.; Paternostro, M. Robust multipartite entanglement generation via a collision model. Phys. Rev. A 2019, 99, 012319. [Google Scholar] [CrossRef]
- Campbell, S.; Çakmak, B.; Müstecaplıoğlu, Z.E.; Paternostro, M.; Vacchini, B. Collisional unfolding of quantum Darwinism. Phys. Rev. A 2019, 99, 042103. [Google Scholar] [CrossRef]
- Cattaneo, M.; De Chiara, G.; Maniscalco, S.; Zambrini, R.; Giorgi, G.L. Collision Models Can Efficiently Simulate Any Multipartite Markovian Quantum Dynamics. Phys. Rev. Lett. 2021, 126, 130403. [Google Scholar] [CrossRef] [PubMed]
- Chisholm, D.A.; García-Pérez, G.; Rossi, M.A.C.; Palma, G.M.; Maniscalco, S. Stochastic collision model approach to transport phenomena in quantum networks. New J. Phys. 2021, 23, 033031. [Google Scholar] [CrossRef]
- Gallina, F.; Bruschi, M.; Fresch, B. Strategies to simulate dephasing-assisted quantum transport on digital quantum computers. New J. Phys. 2022, 24, 023039. [Google Scholar] [CrossRef]
- Tian, F.; Zou, J.; Li, L.; Li, H.; Shao, B. Effect of Inter-System Coupling on Heat Transport in a Microscopic Collision Model. Entropy 2021, 23, 471. [Google Scholar] [CrossRef]
- Li, Y.; Li, L. Hierarchical-environment-assisted non-Markovian and its effect on thermodynamic properties. EPJ Quantum Technol. 2021, 8, 9. [Google Scholar] [CrossRef]
- Yu, W.L.; Li, T.; Li, H.; Zhang, Y.; Zou, J.; Wang, Y.D. Heat Modulation on Target Thermal Bath via Coherent Auxiliary Bath. Entropy 2021, 23, 1183. [Google Scholar] [CrossRef] [PubMed]
- Levi, E.K.; Irish, E.K.; Lovett, B.W. Coherent exciton dynamics in a dissipative environment maintained by an off-resonant vibrational mode. Phys. Rev. A 2016, 93, 042109. [Google Scholar] [CrossRef]






Publisher’s Note: MDPI stays neutral with regard to jurisdictional claims in published maps and institutional affiliations. |
© 2022 by the authors. Licensee MDPI, Basel, Switzerland. This article is an open access article distributed under the terms and conditions of the Creative Commons Attribution (CC BY) license (https://creativecommons.org/licenses/by/4.0/).
Share and Cite
Pedram, A.; Çakmak, B.; Müstecaplıoğlu, Ö.E. Environment-Assisted Modulation of Heat Flux in a Bio-Inspired System Based on Collision Model. Entropy 2022, 24, 1162. https://doi.org/10.3390/e24081162
Pedram A, Çakmak B, Müstecaplıoğlu ÖE. Environment-Assisted Modulation of Heat Flux in a Bio-Inspired System Based on Collision Model. Entropy. 2022; 24(8):1162. https://doi.org/10.3390/e24081162
Chicago/Turabian StylePedram, Ali, Barış Çakmak, and Özgür E. Müstecaplıoğlu. 2022. "Environment-Assisted Modulation of Heat Flux in a Bio-Inspired System Based on Collision Model" Entropy 24, no. 8: 1162. https://doi.org/10.3390/e24081162
APA StylePedram, A., Çakmak, B., & Müstecaplıoğlu, Ö. E. (2022). Environment-Assisted Modulation of Heat Flux in a Bio-Inspired System Based on Collision Model. Entropy, 24(8), 1162. https://doi.org/10.3390/e24081162

