Layout Comparison and Parameter Optimization of Supercritical Carbon Dioxide Coal-Fired Power Generation Systems under Environmental and Economic Objectives
Abstract
:1. Introduction
2. System Description
2.1. Typical System Layouts
2.2. Improved System Layouts

3. Methodology
3.1. Thermodynamic Model
- The studied system is established as a steady state model.
- The change of mechanical energy of working fluid is not considered.
- The heat release from the cycle part to the environment can be neglected.
- Except for the two streams at the outlet of the DRC and the cold side outlet of the MTR in Case 2, the two streams maintain identical temperatures before they are mixed [31].
- For the boiler model, the exhaust flue gas loss and ash thermophysical loss are obtained from the simulated results. All other losses are set to 1.2% [36].
- The pressure loss of the flue gas in the boiler is ignored [37].
3.2. Economic Model
3.3. Environmental Impact Model
3.4. Multi-Objective Optimization Method
3.5. Decision Method
4. Results and Discussion
4.1. Comparison of Different Layouts
4.1.1. Comparison of Typical Layouts
4.1.2. Comparison of Improved Layouts
4.2. Analysis of Multi-Objective Optimization Results
4.2.1. Evolution Process of Pareto Frontier
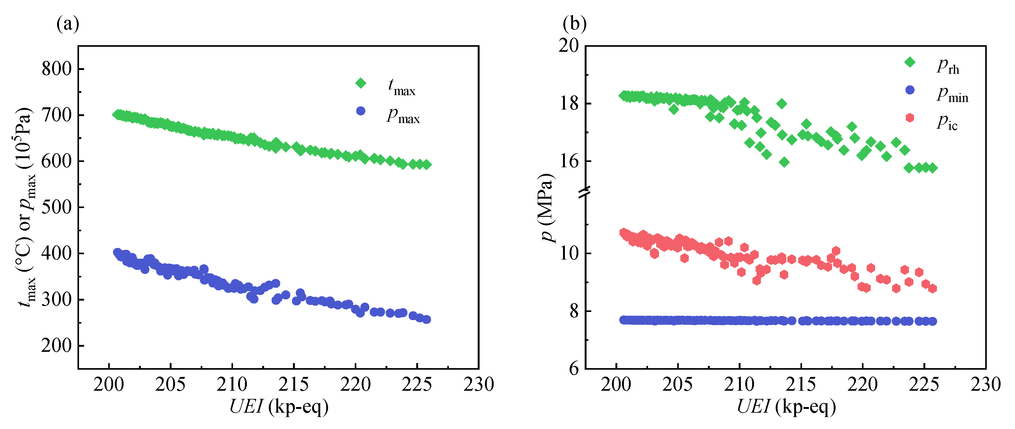
4.2.2. Characteristic Analysis of Pareto Optimal Points
4.2.3. Correlation Analysis of Pareto Optimal Points
4.3. Comparison of Three Optimal Points
4.4. Sensitivity Analysis
5. Conclusions
- Overlap is the optimal scheme for the extraction of tail flue gas energy, and intercooling is the optimal improved scheme. Case D3 is the optimal layout with the ultimate environmental impact (UEI) of 219.8 kp-eq and levelized cost of electricity (LCOE) of 56.9 USD/MWh.
- The two objectives, namely, UEI and LCOE, conflict with each other. The Spearman correlation coefficient between the maximum temperature and pressure of the system is 0.966, which indicates that a coordination between them is required in the parameter design process.
- The decision optimal point shows a better comprehensive performance, the maximum temperature/pressure of which is 635.3 °C/30.1 MPa. Compared with economic and environmental optimal points, it takes 3.4% and 6.5% expenses in exchange for 5.3% and 17.7% benefits.
- The coal price per unit of heat shows the highest sensitivity and the sensitivity of it to the LCOE is higher in the higher UEI region. The pinch temperature difference of recuperator shows opposite sensitivities when the UEI is below 218 kp-eq and above 223 kp-eq.
Author Contributions
Funding
Institutional Review Board Statement
Informed Consent Statement
Data Availability Statement
Conflicts of Interest
Nomenclature
| AE | annual emissions (kg/year) |
| ccoal | coal price per unit of heat (USD/GJ) |
| CEI | environmental impact per capita (kg pollutant-eq/year·p-eq) |
| CELF | constant escalation levelization factor |
| CF | characterization factor |
| CLC | closeness coefficient |
| CP | characteristic parameter |
| CRF | capital recovery factor |
| d | Euclidean distance |
| EI | environmental impact (kg pollutant-eq/year) |
| fp | pressure correction coefficient |
| ft | temperature correction coefficient |
| Gen | generation number |
| h | enthalpy (kJ/kg) |
| ie | annual effective interest rate |
| LCOE | levelized cost of electricity (USD/kWh) |
| mass flow rate (kg/s) | |
| MaxGen | maximum generation number |
| MF | mass fraction |
| n | system economic lifetime (year) |
| NEI | normalized environmental impact (p-eq) |
| p | pressure (MPa) |
| PEC | purchased equipment cost (USD) |
| heat rate (kW) | |
| rn | annual nominal escalation rate |
| t | temperature (°C) |
| TCI | total capital investment (USD) |
| UEI | ultimate environmental impact (p-eq) |
| power (kW) | |
| WF | weight factor |
| Abbreviations | |
| AP | acidification potential |
| BP | British Petroleum |
| CC | carrying charges |
| DOP | decision optimal point |
| DP | dust pollution potential |
| DRC | double recompressor |
| DRH | double reheater |
| ECOP | economic optimal point |
| ENOP | environmental optimal point |
| FC | fuel costs |
| GWP | global warming potential |
| HT | high-pressure turbine |
| HTP | human toxicity potential |
| HTR | high-temperature recuperator |
| IC | intercooler |
| LHV | low heat value |
| LT | low-pressure turbine |
| LTR | low-temperature recuperator |
| MC | main compressor |
| MTR | medium-temperature recuperator |
| NSGA-II | fast elitist non-dominated sorting genetic algorithm |
| OMC | operating and maintenance costs |
| PC | precooler |
| RC | recompressor |
| RHP | reheat part |
| SC | system costs |
| SCO2 | supercritical carbon dioxide |
| SCPG | SCO2 coal-fired power generation |
| SFR | split flow recuperator |
| SFT | split flow turbine |
| SHP | superheat part |
| TH | tail heater |
| TOPSIS | technique for order preference by similarity to an ideal solution |
| TRR | total revenue requirement |
| Greek letters | |
| Δt | pinch temperature difference (°C) |
| ηsys | system efficiency (%) |
| τ | annual operation hour (h/year) |
| ψ | relation coefficient |
| φfix | fixed cost coefficient |
| φvar | variable cost coefficient (USD/MWh) |
| Subscripts | |
| 0 | the first year |
| c | compressor |
| cold | cold side |
| ele | electricity |
| ex | exhaust |
| fg | flue gas |
| hot | hot side |
| i | ith environmental impact category or ith candidate |
| ic | intercooling |
| in | inlet |
| j | jth pollutant or jth indicator |
| l | levelized |
| max | maximum |
| min | minimum |
| out | outlet |
| p | precooler |
| r | recuperator |
| rh | reheat |
| t | turbine |
| tot | total |
References
- Li, P.; Hu, Q.Y.; Sun, Y.; Han, Z.H. Thermodynamic and economic performance analysis of heat and power cogeneration system based on advanced adiabatic compressed air energy storage coupled with solar auxiliary heat. J. Energy Storage 2021, 42, 103089. [Google Scholar] [CrossRef]
- Li, P.; Hu, Q.Y.; Han, Z.H.; Wang, C.X.; Wang, R.X.; Han, X.; Wang, Y.Z. Thermodynamic analysis and multi-objective optimization of a trigenerative system based on compressed air energy storage under different working media and heating storage media. Energy 2022, 239, 122252. [Google Scholar] [CrossRef]
- BP Statistical Review of World Energy. Available online: http://www.bp.com/statisticalreview (accessed on 30 June 2022).
- Yang, Y.P.; Li, C.Z.; Wang, N.L.; Yang, Z.P. Progress and prospects of innovative coal-fired power plants within the energy internet. Glob. Energy Interconnect. 2019, 2, 160–179. [Google Scholar] [CrossRef]
- Hofmann, M.; Tsatsaronis, G. Comparative exergoeconomic assessment of coal-fired power plants—Binary Rankine cycle versus conventional steam cycle. Energy 2018, 142, 168–179. [Google Scholar] [CrossRef]
- Ahn, Y.; Bae, S.J.; Kim, M.; Cho, S.K.; Baik, S.; Lee, J.I.; Cha, J.E. Review of Supercritical CO2 Power Cycle Technology and Current Status of Research and Development. Nucl. Eng. Technol. 2015, 47, 647–661. [Google Scholar] [CrossRef]
- Wang, X.; Wang, R.; Bian, X.; Cai, J.; Tian, H.; Shu, G.; Li, X.; Qin, Z. Review of dynamic performance and control strategy of supercritical CO2 Brayton cycle. Energy AI 2021, 5, 100078. [Google Scholar] [CrossRef]
- Ehsan, M.M.; Guan, Z.Q.; Klimenko, A.Y. A comprehensive review on heat transfer and pressure drop characteristics and correlations with supercritical CO2 under heating and cooling applications. Renew. Sustain. Energy Rev. 2018, 92, 658–675. [Google Scholar] [CrossRef]
- Liao, G.L.; Liu, L.J.; E, J.; Zhang, F.; Chen, J.W.; Deng, Y.W.; Zhu, H. Effects of technical progress on performance and application of supercritical carbon dioxide power cycle: A review. Energy Convers. Manag. 2019, 199, 111986. [Google Scholar] [CrossRef]
- Xu, J.L.; Liu, C.; Sun, E.H.; Xie, J.; Li, M.J.; Yang, Y.P.; Liu, J.Z. Perspective of S-CO2 power cycles. Energy 2019, 186, 115831. [Google Scholar] [CrossRef]
- Crespi, F.; Gavagnin, G.; Sanchez, D.; Martinez, G.S. Supercritical carbon dioxide cycles for power generation: A review. Appl. Energy 2017, 195, 152–183. [Google Scholar] [CrossRef]
- White, M.T.; Bianchi, G.; Chai, L.; Tassou, S.A.; Sayma, A.I. Review of supercritical CO2 technologies and systems for power generation. Appl. Therm. Eng. 2021, 185, 116447. [Google Scholar] [CrossRef]
- Yu, A.F.; Su, W.; Lin, X.X.; Zhou, N.J. Recent trends of supercritical CO2 Brayton cycle: Bibliometric analysis and research review. Nucl. Eng. Technol. 2021, 53, 699–714. [Google Scholar] [CrossRef]
- Liu, M.; Zhang, X.W.; Ma, Y.G.; Yan, J.J. Thermo-economic analyses on a new conceptual system of waste heat recovery integrated with an S-CO2 cycle for coal-fired power plants. Energy Convers. Manag. 2018, 161, 243–253. [Google Scholar] [CrossRef]
- Xu, C.; Zhang, Q.; Yang, Z.P.; Li, X.S.; Xu, G.; Yang, Y.P. An improved supercritical coal-fired power generation system incorporating a supplementary supercritical CO2 cycle. Appl. Energy 2018, 231, 1319–1329. [Google Scholar] [CrossRef]
- Wang, D.; Xie, X.Y.; Wang, C.N.; Zhou, Y.L.; Yang, M.; Li, X.L.; Liu, D.Y. Thermo-economic analysis on an improved coal-fired power system integrated with S-CO2 brayton cycle. Energy 2021, 220, 119654. [Google Scholar] [CrossRef]
- Hanak, D.P.; Manovic, V. Calcium looping with supercritical CO2 cycle for decarbonisation of coal-fired power plant. Energy 2016, 102, 343–353. [Google Scholar] [CrossRef]
- Olumayegun, O.; Wang, M.H.; Oko, E. Thermodynamic performance evaluation of supercritical CO2 closed Brayton cycles for coal-fired power generation with solvent-based CO2 capture. Energy 2019, 166, 1074–1088. [Google Scholar] [CrossRef]
- Wang, Y.J.; Xu, J.L.; Liu, Q.B.; Sun, E.H.; Chen, C. New combined supercritical carbon dioxide cycles for coal-fired power plants. Sustain. Cities Soc. 2019, 50, 101656. [Google Scholar] [CrossRef]
- Zhou, J.; Zhu, M.; Tang, Y.F.; Xu, K.; Su, S.; Hu, S.; Wang, Y.; Xu, J.; He, L.M.; Xiang, J. Innovative system configuration analysis and design principle study for different capacity supercritical carbon dioxide coal-fired power plant. Appl. Therm. Eng. 2020, 174, 115298. [Google Scholar] [CrossRef]
- Bai, W.G.; Li, H.Z.; Zhang, L.; Zhang, Y.F.; Yang, Y.; Zhang, C.; Yao, M.Y. Energy and exergy analyses of an improved recompression supercritical CO2 cycle for coal-fired power plant. Energy 2021, 222, 119976. [Google Scholar] [CrossRef]
- Zhu, M.; Zhou, J.; Su, S.; Xu, J.; Li, A.S.; Chen, L.; Wang, Y.; Hu, S.; Jiang, L.; Xiang, J. Study on supercritical CO2 coal-fired boiler based on improved genetic algorithm. Energy Convers. Manag. 2020, 221, 113163. [Google Scholar] [CrossRef]
- Wei, X.Y.; Manovic, V.; Hanak, D.P. Techno-economic assessment of coal- or biomass-fired oxy-combustion power plants with supercritical carbon dioxide cycle. Energy Convers. Manag. 2020, 221, 113143. [Google Scholar] [CrossRef]
- Xu, J.L.; Wang, X.; Sun, E.H.; Li, M.J. Economic comparison between sCO2 power cycle and water-steam Rankine cycle for coal-fired power generation system. Energy Convers. Manag. 2021, 238, 114150. [Google Scholar] [CrossRef]
- Sun, R.Q.; Yang, K.X.; Liu, M.; Yan, J.J. Thermodynamic and economic comparison of supercritical carbon dioxide coal-fired power system with different improvements. Int. J. Energy Res. 2021, 45, 9555–9579. [Google Scholar] [CrossRef]
- Michalski, S.; Hanak, D.P.; Manovic, V. Advanced power cycles for coal-fired power plants based on calcium looping combustion: A techno-economic feasibility assessment. Appl. Energy 2020, 269, 114954. [Google Scholar] [CrossRef]
- Thanganadar, D.; Asfand, F.; Patchigolla, K.; Turner, P. Techno-economic analysis of supercritical carbon dioxide cycle integrated with coal-fired power plant. Energy Convers. Manag. 2021, 242, 114294. [Google Scholar] [CrossRef]
- Li, M.J.; Wang, G.; Xu, J.L.; Ni, J.W.; Sun, E.H. Life Cycle Assessment Analysis and Comparison of 1000 MW S-CO2 Coal Fired Power Plant and 1000 MW USC Water-Steam Coal-Fired Power Plant. J. Therm. Sci. 2020, 31, 463–484. [Google Scholar] [CrossRef]
- Xu, J.L.; Sun, E.H.; Li, M.J.; Liu, H.; Zhu, B.G. Key issues and solution strategies for supercritical carbon dioxide coal fired power plant. Energy 2018, 157, 227–246. [Google Scholar] [CrossRef]
- Zhou, J.; Zhang, C.H.; Su, S.; Wang, Y.; Hu, S.; Liu, L.; Ling, P.; Zhong, W.Q.; Xiang, J. Exergy analysis of a 1000 MW single reheat supercritical CO2 Brayton cycle coal-fired power plant. Energy Convers. Manag. 2018, 173, 348–358. [Google Scholar] [CrossRef]
- Sun, E.H.; Xu, J.L.; Li, M.J.; Liu, G.L.; Zhu, B.G. Connected-top-bottom-cycle to cascade utilize flue gas heat for supercritical carbon dioxide coal fired power plant. Energy Convers. Manag. 2018, 172, 138–154. [Google Scholar] [CrossRef]
- Sun, E.H.; Xu, J.L.; Hu, H.; Li, M.J.; Miao, Z.; Yang, Y.P.; Liu, J.Z. Overlap energy utilization reaches maximum efficiency for S-CO2 coal fired power plant: A new principle. Energy Convers. Manag. 2019, 195, 99–113. [Google Scholar] [CrossRef]
- Moisseytsev, A.; Sienicki, J.J. Investigation of alternative layouts for the supercritical carbon dioxide Brayton cycle for a sodium-cooled fast reactor. Nucl. Eng. Des. 2009, 239, 1362–1371. [Google Scholar] [CrossRef]
- STEAG Ebsilon Professional. Available online: http://www.ebsilon.com (accessed on 30 June 2022).
- Thermophysical Properties of Fluid Systems. Available online: https://searchworks.stanford.edu/view/4136952 (accessed on 30 June 2022).
- Zhang, Y.F.; Li, H.Z.; Han, W.L.; Bai, W.G.; Yang, Y.; Yao, M.Y.; Wang, Y.M. Improved design of supercritical CO2 Brayton cycle for coal-fired power plant. Energy 2018, 155, 1–14. [Google Scholar] [CrossRef]
- Tong, Y.J.; Duan, L.Q.; Pang, L.P. Off-design performance analysis of a new 300 MW supercritical CO2 coal-fired boiler. Energy 2021, 216, 119306. [Google Scholar] [CrossRef]
- Liu, M.; Yang, K.X.; Zhang, X.W.; Yan, J.J. Design and optimization of waste heat recovery system for supercritical carbon dioxide coal-fired power plant to enhance the dust collection efficiency. J. Cleaner Prod. 2020, 275, 122523. [Google Scholar] [CrossRef]
- Zhou, J.; Ling, P.; Su, S.; Xu, J.; Xu, K.; Wang, Y.; Hu, S.; Zhu, M.; Xiang, J. Exergy analysis of a 1000 MW single reheat advanced supercritical carbon dioxide coal-fired partial flow power plant. Fuel 2019, 255, 115777. [Google Scholar] [CrossRef]
- Bai, W.G.; Zhang, Y.F.; Yang, Y.; Li, H.Z.; Yao, M.Y. 300 MW boiler design study for coal-fired supercritical CO2 Brayton cycle. Appl. Therm. Eng. 2018, 135, 66–73. [Google Scholar] [CrossRef]
- Bejan, A.; Tsatsaronis, G.; Moran, M. Thermal Design and Optimization; John Wiley & Sons: New York, NY, USA, 1996. [Google Scholar]
- Weiland, N.T.; Lance, B.W.; Pidaparti, S.R. sCO2 Power Cycle Component Cost Correlations from DOE Data Spanning Multiple Scales and Applications. In Proceedings of the ASME Turbo Expo 2019: Turbomachinery Technical Conference and Exposition, Phoenix, AZ, USA, 17–21 June 2019. [Google Scholar]
- Chen, D.X.; Han, Z.H.; Guo, D.Y.; Bai, Y.P.; Zhao, L.F. Exergoeconomic perspective to evaluate and optimize supercritical carbon dioxide coal-fired power generation system. Energy Convers. Manag. 2021, 244, 114482. [Google Scholar] [CrossRef]
- Noaman, M.; Saade, G.; Morosuk, T.; Tsatsaronis, G. Exergoeconomic analysis applied to supercritical CO2 power systems. Energy 2019, 183, 756–765. [Google Scholar] [CrossRef]
- Park, S.; Kim, J.; Yoon, M.; Rhim, D.; Yeom, C. Thermodynamic and economic investigation of coal-fired power plant combined with various supercritical CO2 Brayton power cycle. Appl. Therm. Eng. 2018, 130, 611–623. [Google Scholar] [CrossRef]
- Mecheri, M. SCO2 closed Brayton cycle for coal-fired power plant: An economic analysis of a technical optimization. In Proceedings of the 2nd European sCO2 Conference, Essen, Germany, 30–31 August 2018; pp. 127–134. [Google Scholar]
- Xu, C.; Li, X.S.; Xin, T.T.; Liu, X.; Xu, G.; Wang, M.; Yang, Y.P. A thermodynamic analysis and economic assessment of a modified de-carbonization coal-fired power plant incorporating a supercritical CO2 power cycle and an absorption heat transformer. Energy 2019, 179, 30–45. [Google Scholar] [CrossRef]
- Handbook on Life Cycle Assessment. Available online: https://www.universiteitleiden.nl/en/research/research-projects/science/cml-new-dutch-lca-guide (accessed on 30 June 2022).
- Yang, J.X.; Xu, C.; Wang, R.S. Product Life Cycle Evaluation Method and Application; China Meteorological Press: Beijing, China, 2002. (In Chinese) [Google Scholar]
- Rasheed, R.; Javed, H.; Rizwan, A.; Sharif, F.; Yasar, A.; Tabinda, A.B.; Ahmad, S.R.; Wang, Y.B.; Su, Y.H. Life cycle assessment of a cleaner supercritical coal-fired power plant. J. Cleaner Prod. 2021, 279, 123869. [Google Scholar] [CrossRef]
- Han, Y.; Sun, Y.Y. Collaborative optimization of energy conversion and NOx removal in boiler cold-end of coal-fired power plants based on waste heat recovery of flue gas and sensible heat utilization of extraction steam. Energy 2020, 207, 118172. [Google Scholar] [CrossRef]
- Skorek-Osikowska, A.; Bartela, L.; Kotowicz, J. Thermodynamic and ecological assessment of selected coal-fired power plants integrated with carbon dioxide capture. Appl. Energy 2017, 200, 73–88. [Google Scholar] [CrossRef]
- CML-IA Characterisation Factors. Available online: https://www.universiteitleiden.nl/en/research/research-output/science/cml-ia-characterisation-factors (accessed on 30 June 2022).
- Deb, K.; Pratap, A.; Agarwal, S.; Meyarivan, T. A fast and elitist multiobjective genetic algorithm: NSGA-II. IEEE Trans. Evol. Comput. 2002, 6, 182–197. [Google Scholar] [CrossRef]
- Mathworks MATLAB. Available online: https://www.mathworks.com (accessed on 30 June 2022).
- Liu, Z.J.; Guo, J.C.; Wu, D.; Fan, G.Y.; Zhang, S.C.; Yang, X.Y.; Ge, H. Two-phase collaborative optimization and operation strategy for a new distributed energy system that combines multi-energy storage for a nearly zero energy community. Energy Convers. Manag. 2021, 230, 113800. [Google Scholar] [CrossRef]
- Hwang, C.-L.; Yoon, K. (Eds.) Methods for Multiple Attribute Decision Making. In Multiple Attribute Decision Making; Springer: Berlin/Heidelberg, Germany, 1981; pp. 58–191. [Google Scholar] [CrossRef]
- Rao, Z.H.; Xue, T.C.; Huang, K.X.; Liao, S.M. Multi-objective optimization of supercritical carbon dioxide recompression Brayton cycle considering printed circuit recuperator design. Energy Convers. Manag. 2019, 201, 112094. [Google Scholar] [CrossRef]
- Forthofer, R.N.; Lee, E.S.; Hernandez, M. (Eds.) 3—Descriptive Methods. In Biostatistics, 2nd ed.; Academic Press: San Diego, CA, USA, 2007; pp. 21–69. [Google Scholar] [CrossRef]
















| Items | Literature Results | Present Results | Errors |
|---|---|---|---|
| Cycle part | |||
| Heat transfer of recuperator (MW) | 3822.59 | 3821.73 | −0.02% |
| Power output of turbine (MW) | 1359.81 | 1355.53 | −0.31% |
| Power consumption of compressor (MW) | 359.81 | 355.53 | −1.19% |
| Heat release of cooler (MW) | 952.51 | 949.63 | −0.30% |
| Efficiency of cycle (%) | 51.22 | 51.29 | 0.14% |
| Boiler part | |||
| Heat transfer to cycle part (MW) | 1952.51 | 1949.63 | −0.15% |
| Heat transfer of flue gas cooler (MW) | 58.83 | 58.62 | −0.35% |
| Heat loss of exhaust flue gas (MW) | 118.02 | 117.58 | −0.38% |
| Mass flow of coal (t/h) | 317.54 | 315.85 | −0.53% |
| Efficiency of boiler (%) | 94.43 | 94.79 | 0.38% |
| Car (%) | Har (%) | Oar (%) | Sar (%) | Nar (%) | Mar (%) | Aar (%) | LHV (kJ/kg) |
|---|---|---|---|---|---|---|---|
| 61.70 | 3.67 | 8.56 | 0.60 | 1.12 | 15.55 | 8.80 | 23,442 |
| Components | Energy Equilibrium Equations a |
|---|---|
| Boiler heating surface | |
| Recuperator | |
| Turbine | |
| Compressor | |
| Precooler |
| Parameters | Values |
|---|---|
| Maximum temperature of system (tmax) | 600 °C a |
| Maximum pressure of system (pmax) | 30 MPa a |
| Reheat pressure (prh) | 16 MPa |
| Minimum pressure of system (pmin) | 7.6 MPa b |
| Minimum temperature of system | 32 °C a |
| Compressor isentropic efficiency | 0.89 b |
| Turbine isentropic efficiency | 0.93 a |
| Generator efficiency | 0.99 a |
| Pinch temperature difference of recuperator | 10 °C c |
| Pressure drop in components except for boiler | 0.1 MPa b |
| Pressure drop in superheat part of boiler | 0.6 MPa |
| Pressure drop in reheat part of boiler | 0.25 MPa |
| Pressure drop in tail heater of boiler | 0.1 MPa |
| Excess air coefficient | 1.2 c |
| Split ratio to tail heater | 0.1 d |
| Hot air temperature | 340 °C |
| Exhaust temperature of flue gas | 120 °C |
| Output electric power of system | 300 MW |
| Schemes | Parameters | Values |
|---|---|---|
| Double reheat | Inlet temperature of low-pressure turbine 2 | 600 °C a |
| Inlet pressure of low-pressure turbine | 20 MP a | |
| Inlet pressure of low-pressure turbine 2 | 13 MP a | |
| Pressure drop in double reheater of boiler | 0.2 MP a | |
| Double recompression | Second split ratio | 0.15 |
| Intercooling | Inlet pressure of intercooler (pic) | 9.3 MP a |
| Inlet temperature of intercooler | 32 °C a |
| Symbols | Economic Parameters | Values |
|---|---|---|
| n | system economic lifetime | 20 year a |
| τ | annual operation hour | 8000 h/year a |
| ie | annual effective interest rate | 0.10 a |
| rn,OMC | annual nominal escalation rate of OMC | 0.025 a |
| rn,FC | annual nominal escalation rate of FC | 0.025 b |
| ψ | relation coefficient | 1.3608 c |
| ccoal | coal price per unit of heat | 4.09 USD/GJ d |
| φfix | fixed cost coefficient | 0.015 e |
| φvar | variable cost coefficient | 1.65 USD/MW e |
| Environmental Impact Categories | Units | Pollutants | CF |
|---|---|---|---|
| GWP | kg CO2-eq/kg | CO2 | 1 a |
| AP | kg SO2-eq/kg | SO2 | 1 a |
| NOx | 0.7 a | ||
| HTP | kg 1,4-DB-eq/kg | SO2 | 0.096 a |
| NOx | 1.2 a | ||
| DP | kg dust-eq/kg | dust | 1 b |
| Environmental Impact Categories | CEI90 | WF |
|---|---|---|
| GWP | 8700 | 0.83 |
| AP | 36 | 0.73 |
| HTP | 24.65 | 0.73 |
| DP | 18 | 0.61 |
| Parameters | Section 4.2 | Section 4.4 |
|---|---|---|
| Population size | 100 | 100 |
| MaxGen | 1200 | 200 |
| Pareto fraction | 0.35 (Gen ≤ 1000) | 0.35 (Gen ≤ 150) |
| 1 (Gen > 1000) | 1 (Gen > 150) | |
| Others | default | default |
| Items | Case A | Case B | Case C | Case D |
|---|---|---|---|---|
| Efficiency (%) | ||||
| ηsys | 46.20 | 47.85 | 47.19 | 47.89 |
| PEC of identical components (USD) | ||||
| Boiler | 1.43 × 108 | 1.39 × 108 | 1.40 × 108 | 1.39 × 108 |
| High-pressure turbine (HT) | 5.67 × 106 | 5.77 × 106 | 5.55 × 106 | 5.78 × 106 |
| Low-pressure turbine (LT) | 4.76 × 106 | 4.85 × 106 | 4.64 × 106 | 4.84 × 106 |
| Main compressor (MC) | 8.36 × 106 | 8.13 × 106 | 8.22 × 106 | 8.12 × 106 |
| Recompressor (RC) | 8.14 × 106 | 9.14 × 106 | 9.25 × 106 | 9.13 × 106 |
| High-temperature recuperator (HTR) | 2.87 × 107 | 4.66 × 107 | 2.78 × 107 | 2.72 × 107 |
| Low-temperature recuperator (LTR) | 3.39 × 107 | 3.47 × 107 | 3.55 × 107 | 3.47 × 107 |
| Precooler (PC) | 5.26 × 106 | 4.88 × 106 | 5.03 × 106 | 4.87 × 106 |
| Generator | 2.46 × 106 | 2.46 × 106 | 2.46 × 106 | 2.46 × 106 |
| PEC of added components (USD) | ||||
| Split flow recuperator (SFR) | - | - | 2.57 × 106 | 5.18 × 106 |
| Split flow turbine (SFT) | - | - | 1.76 × 106 | - |
| Items | Case D | Case D1 | Case D2 | Case D3 |
|---|---|---|---|---|
| Efficiency (%) | ||||
| ηsys | 47.89 | 48.20 | 48.60 | 48.32 |
| PEC of identical components (USD) | ||||
| Boiler | 1.39 × 108 | 1.38 × 108 | 1.37 × 108 | 1.38 × 108 |
| HT | 5.78 × 106 | 4.51 × 106 | 6.21 × 106 | 5.64 × 106 |
| LT | 4.84 × 106 | 4.01 × 106 | 5.19 × 106 | 4.72 × 106 |
| MC | 8.12 × 106 | 8.08 × 106 | 8.03 × 106 | 2.32 × 106 |
| RC | 9.13 × 106 | 9.09 × 106 | 9.03 × 106 | 8.62 × 106 |
| HTR | 2.72 × 107 | 2.85 × 107 | 1.64 × 107 | 2.61 × 107 |
| LTR | 3.47 × 107 | 3.43 × 107 | 3.39 × 107 | 2.49 × 107 |
| PC | 4.87 × 106 | 4.80 × 106 | 4.71 × 106 | 5.01 × 106 |
| Generator | 2.46 × 106 | 2.46 × 106 | 2.46 × 106 | 2.46 × 106 |
| SFR | 5.18 × 106 | 5.43 × 106 | 3.13 × 106 | 4.98 × 106 |
| PEC of added components (USD) | ||||
| LT2 | - | 3.60 × 106 | - | - |
| Medium-temperature recuperator (MTR) | - | - | 6.27 × 107 | - |
| Double recompressor (DRC) or MC2 | - | - | 8.50 × 106 | 7.25 × 106 |
| Intercooler (IC) | - | - | - | 2.22 × 106 |
| Rank | Parameters | Values | Rank | Parameters | Values |
|---|---|---|---|---|---|
| 1st | UEI and LCOE | −1.000 | 12th | pic and LCOE | 0.909 |
| 2nd | tmax and LCOE | 0.997 | 12th | pic and UEI | −0.909 |
| 2nd | tmax and UEI | −0.997 | 14th | tmax and pic | 0.903 |
| 4th | pmax and LCOE | 0.979 | 15th | pmax and pic | 0.901 |
| 4th | pmax and UEI | −0.979 | 16th | prh and pmin | 0.888 |
| 6th | tmax and pmax | 0.966 | 17th | pmax and pmin | 0.885 |
| 7th | prh and LCOE | 0.947 | 18th | pmin and pic | 0.885 |
| 7th | prh and UEI | −0.947 | 19th | pmin and LCOE | 0.879 |
| 9th | tmax and prh | 0.943 | 19th | pmin and UEI | −0.879 |
| 10th | pmax and prh | 0.932 | 21st | tmax and pmin | 0.870 |
| 11th | prh and pic | 0.919 |
| Points | tmax (°C) | pmax (MPa) | prh (MPa) | pmin (MPa) | pic (MPa) | UEI (kp-eq) | LCOE (USD/MWh) |
|---|---|---|---|---|---|---|---|
| DOP | 635.3 | 30.08 | 15.95 | 7.602 | 9.216 | 213.8 | 58.29 |
| ENOP | 700.0 | 40.00 | 18.26 | 7.639 | 10.68 | 200.7 | 70.82 |
| ECOP | 591.1 | 25.35 | 15.74 | 7.596 | 8.738 | 225.8 | 56.37 |
Publisher’s Note: MDPI stays neutral with regard to jurisdictional claims in published maps and institutional affiliations. |
© 2022 by the authors. Licensee MDPI, Basel, Switzerland. This article is an open access article distributed under the terms and conditions of the Creative Commons Attribution (CC BY) license (https://creativecommons.org/licenses/by/4.0/).
Share and Cite
Chen, D.; Han, Z.; Bai, Y.; Guo, D.; Zhao, L.; Li, P. Layout Comparison and Parameter Optimization of Supercritical Carbon Dioxide Coal-Fired Power Generation Systems under Environmental and Economic Objectives. Entropy 2022, 24, 1123. https://doi.org/10.3390/e24081123
Chen D, Han Z, Bai Y, Guo D, Zhao L, Li P. Layout Comparison and Parameter Optimization of Supercritical Carbon Dioxide Coal-Fired Power Generation Systems under Environmental and Economic Objectives. Entropy. 2022; 24(8):1123. https://doi.org/10.3390/e24081123
Chicago/Turabian StyleChen, Dongxu, Zhonghe Han, Yaping Bai, Dongyang Guo, Linfei Zhao, and Peng Li. 2022. "Layout Comparison and Parameter Optimization of Supercritical Carbon Dioxide Coal-Fired Power Generation Systems under Environmental and Economic Objectives" Entropy 24, no. 8: 1123. https://doi.org/10.3390/e24081123
APA StyleChen, D., Han, Z., Bai, Y., Guo, D., Zhao, L., & Li, P. (2022). Layout Comparison and Parameter Optimization of Supercritical Carbon Dioxide Coal-Fired Power Generation Systems under Environmental and Economic Objectives. Entropy, 24(8), 1123. https://doi.org/10.3390/e24081123

