Discrete Memristor and Discrete Memristive Systems
Abstract
:1. Introduction
- The mathematical model for integer-order discrete memristors is clear, but the physical significance of discrete memristors still needs to be explored.
- The characteristics of discrete memristors, such as the memory effect and frequency domain, should be discussed.
- Physical implementation of the designed discrete memristors should be carried out and discussed.
2. Preliminaries
2.1. Fractional-Order Differences
2.2. The Generalized Memristor
- Case 1:
- .
- Case 2:
- .
- (1)
- When it is driven by a bipolar periodic signal, the device must exhibit a “pinched hysteresis loop” in the voltage–current plane, assuming the response is periodic.
- (2)
- Starting from some critical frequency, the hysteresis loop area should decrease monotonically as excitation frequency increases.
- (3)
- The pinched hysteresis loop should shrink to a single-valued function when the frequency tends to infinity.
3. Models of Discrete Memristor
3.1. Fractional-Order G–L Difference-Based Model
3.2. Fractional-Order Caputo Difference-Based Model
3.3. Integer-Order Discrete Memristor
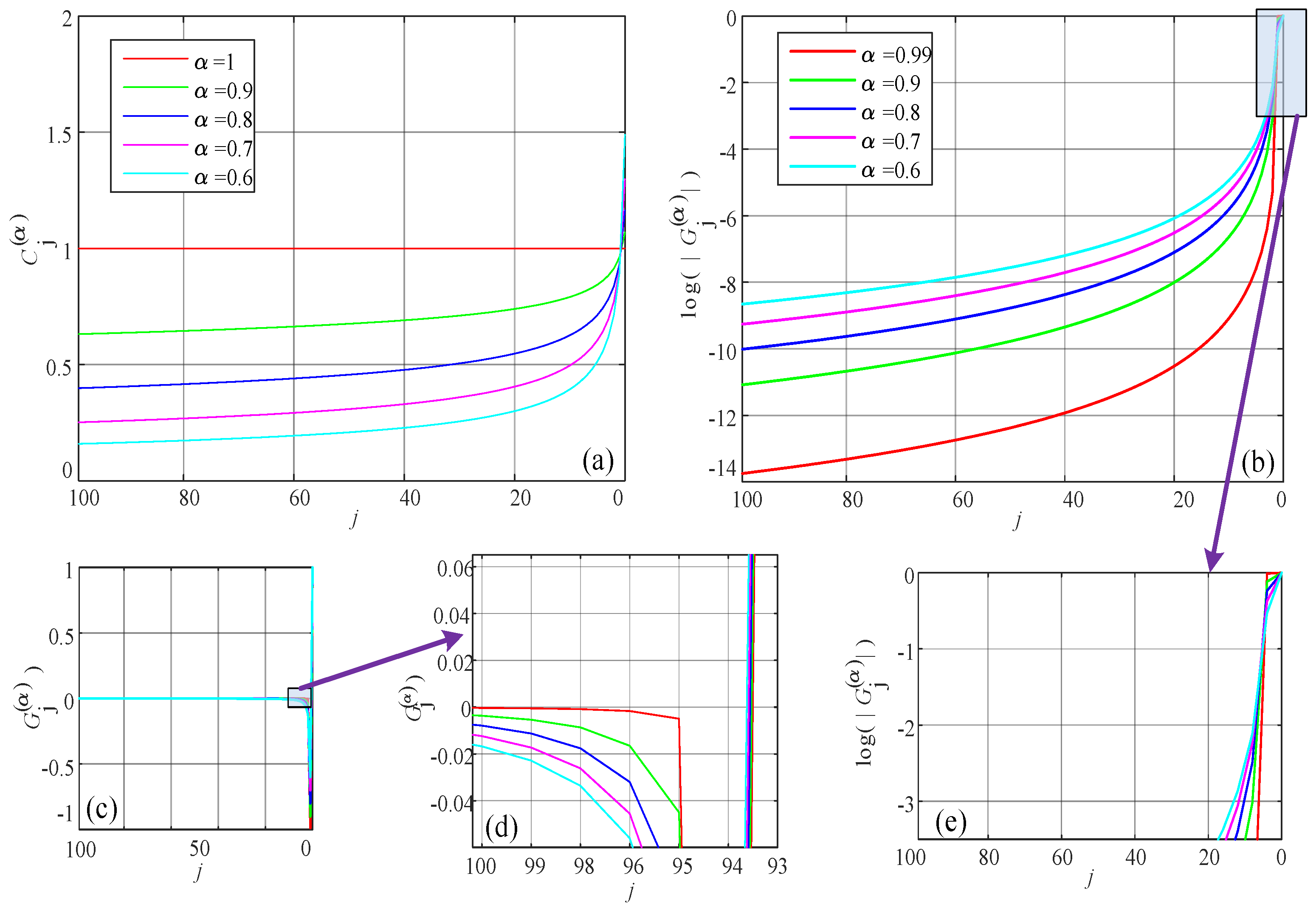
3.4. Short-Term Memory Effects and Frequency Domain
3.4.1. The Imperfect Memory Effect
3.4.2. Short-Term Memory Memristor
4. Physical Significance of Discrete Memristor
- Both continuous and discrete memristors have memory effects. In particular, there exists a perfect memory effect in integer-order memristors, according to their mathematical models.
- The theoretical work of continuous memristors has been investigated systematically. However, there is little work on discrete cases.
- There is some research regarding nano-device implementation of both continuous and discrete memristors. However, an issue should be resolved. The implemented nano-devices have “∞” hysteresis loop but usually do not relate to a mathematical model, and the “∞” hysteresis loops are not elegant. We believe that discrete memristor models can prove a useful tool for memristor nano-devices.
- Although there are reports of the FPGA implementation of continuous memristors, analog circuit implementation of continuous memristors is the main technical means. However, discrete memristors are naturally supposed to be realized in digital circuits including DSP and FPGA.
- Continuous memristors can be used in continuous systems such as nonlinear chaotic systems and neural networks.
5. Discrete Memristive Systems
5.1. Design of Discrete Memristive Map
5.2. Caputo Fractional-Order Sine Map
5.3. G–L Fractional-Order Sine Map
5.4. Integer-Order Discrete Sine Map
5.5. Complexity Analysis
5.5.1. Maximum LEs of the Integer-Order System
5.5.2. SampEn and NetPE Complexity Analysis
6. Implementations of the Discrete Memristive Systems
6.1. FPGA Digital Circuit Design
6.2. FPGA Implementation Results
7. Conclusions
Author Contributions
Funding
Institutional Review Board Statement
Informed Consent Statement
Data Availability Statement
Acknowledgments
Conflicts of Interest
References
- Chua, L. Memristor-the missing circuit element. IEEE Trans. Circuit Theory 1971, 18, 507–519. [Google Scholar] [CrossRef]
- Strukov, D.; Snider, G.S.; Stewart, D.; Williams, R. The missing memristor found. Nature 2008, 453, 80–83. [Google Scholar] [CrossRef]
- Adhikari, S.P.; Sah, M.; Kim, H.; Chua, L. Three Fingerprints of Memristor. IEEE Trans. Circuits Syst. I Regul. Pap. 2013, 60, 3008–3021. [Google Scholar] [CrossRef]
- Pal, S.; Bose, S.; Ki, W.H.; Islam, A. Design of Power-and Variability-Aware Nonvolatile RRAM Cell Using Memristor as a Memory Element. IEEE J. Electron Devices Soc. 2019, 7, 701–709. [Google Scholar] [CrossRef]
- Serb, A.; Khiat, A.; Prodromakis, T. Seamlessly fused digital-analogue reconfigurable computing using memristors. Nat. Commun. 2018, 9, 2170. [Google Scholar] [CrossRef] [PubMed]
- Kim, K.; Williams, R. A Family of Stateful Memristor Gates for Complete Cascading Logic. IEEE Trans. Circuits Syst. I Regul. Pap. 2019, 66, 4348–4355. [Google Scholar]
- Chandrasekaran, S.; Simanjuntak, F.; Saminathan, R.; Panda, D.; Tseng, T.Y. Improving linearity by introducing Al in HfO2 as memristor synapse device. Nanotechnology 2019, 30, 445205. [Google Scholar] [CrossRef]
- Yao, P.; Wu, H.; Gao, B.; Tang, J.; Zhang, Q.; Zhang, W.; Yang, J.J.; Qian, H. Fully hardware-implemented memristor convolutional neural network. Nature 2020, 577, 641–646. [Google Scholar] [CrossRef]
- Xu, C.; Wang, C.; Sun, Y.; Hong, Q.; Deng, Q.; Chen, H. Memristor-based neural network circuit with weighted sum simultaneous perturbation training and its applications. Neurocomputing 2021, 462, 581–590. [Google Scholar] [CrossRef]
- Pershin, Y.V.; Di Ventra, M. Solving mazes with memristors: A massively parallel approach. Phys. Rev. E 2011, 84, 046703. [Google Scholar] [CrossRef] [Green Version]
- Wang, G.Y.; He, J.L.; Yuan, F.; Peng, C.J. Dynamical Behaviors of a TiO2 Memristor Oscillator. Chin. Phys. Lett. 2013, 30, 110506. [Google Scholar] [CrossRef]
- Xu, Q.; Tan, X.; Zhang, Y.; Bao, H.; Hu, Y.; Bao, B.; Chen, M. Riddled Attraction Basin and Multistability in Three-Element-Based Memristive Circuit. Complex 2020, 2020, 4624792:1–4624792:13. [Google Scholar] [CrossRef]
- Liang, Z.; He, S.; Wang, H.; Sun, K. A novel discrete memristive chaotic map. Eur. Phys. J. Plus 2022, 137, 309. [Google Scholar] [CrossRef]
- Chew, Z.J.; Li, L. A discrete memristor made of ZnO nanowires synthesized on printed circuit board. Mater. Lett. 2013, 91, 298–300. [Google Scholar] [CrossRef]
- Mickel, P.R.; Lohn, A.; Choi, B.J.; Yang, J.J.; Zhang, M.X.; Marinella, M.J.; James, C.D.; Williams, R.S. A physical model of switching dynamics in tantalum oxide memristive devices. Appl. Phys. Lett. 2013, 102, 223502. [Google Scholar] [CrossRef]
- Khanal, G.M.; Cardarilli, G.; Chakraborty, A.; Acciarito, S.; Mulla, M.Y.; Di Nunzio, L.; Fazzolari, R.; Re, M. A ZnO-rGO composite thin film discrete memristor. In Proceedings of the 2016 IEEE International Conference on Semiconductor Electronics (ICSE), Kuala Lumpur, Malaysia, 17–19 August 2016; pp. 129–132. [Google Scholar]
- Ordonez-Miranda, J.; Ezzahri, Y.; Tiburcio-Moreno, J.A.; Joulain, K.; Drevillon, J. Radiative thermal memristor. Phys. Rev. Lett. 2019, 123, 025901. [Google Scholar] [CrossRef] [PubMed]
- Merrikh-Bayat, F.; Parvizi, M. Practical method to make a discrete memristor based on the aqueous solution of copper sulfate. Appl. Phys. A 2016, 122, 1–10. [Google Scholar] [CrossRef]
- Jo, S.; Chang, T.; Ebong, I.; Bhadviya, B.B.; Mazumder, P.; Lu, W. Nanoscale memristor device as synapse in neuromorphic systems. Nano Lett. 2010, 10, 1297–1301. [Google Scholar] [CrossRef]
- Kim, H.; Sah, M.; Yang, C.; Cho, S.; Chua, L. Memristor Emulator for Memristor Circuit Applications. IEEE Trans. Circuits Syst. I Regul. Pap. 2012, 59, 2422–2431. [Google Scholar]
- Song, H.; Kim, Y.; Park, J.; Kim, K. Designed Memristor Circuit for Self?Limited Analog Switching and its Application to a Memristive Neural Network. Adv. Electron. Mater. 2019, 5, 1800740. [Google Scholar] [CrossRef]
- Wang, J.; Mou, J.; Yan, H.; Liu, X.; Ma, Y.; Cao, Y. A three-port switch NMR laser chaotic system with memristor and its circuit implementation. Eur. Phys. J. Plus 2021, 136, 1112. [Google Scholar] [CrossRef]
- Jiang, Y.; Li, C.; Zhang, C.; Zhao, Y.; Zang, H. A Double-Memristor Hyperchaotic Oscillator With Complete Amplitude Control. IEEE Trans. Circuits Syst. I Regul. Pap. 2021, 68, 4935–4944. [Google Scholar] [CrossRef]
- Tolba, M.F.; Fouda, M.; Hezayyin, H.G.; Madian, A.H.; Radwan, A.G. Memristor FPGA IP Core Implementation for Analog and Digital Applications. IEEE Trans. Circuits Syst. II Express Briefs 2019, 66, 1381–1385. [Google Scholar] [CrossRef]
- Wang, H.; Zhan, D.; Wu, X.; He, S. Dynamics of a fractional-order Colpitts oscillator and its FPGA implementation. Eur. Phys. J. Special Topics 2022. [Google Scholar] [CrossRef]
- Yang, Q.; Chen, D.; Zhao, T.; Chen, Y. Fractional calculus in image processing: A review. Fract. Calc. Appl. Anal. 2016, 19, 1222–1249. [Google Scholar] [CrossRef] [Green Version]
- Kelley, W.G.; Peterson, A.C. Difference Equations: An Introduction with Applications; Academic Press: Cambridge, MA, USA, 2001. [Google Scholar]
- Bruzzone, L.; Prieto, D.F. Automatic analysis of the difference image for unsupervised change detection. IEEE Trans. Geosci. Remote Sens. 2000, 38, 1171–1182. [Google Scholar] [CrossRef] [Green Version]
- Qu, L.; Lin, J. A difference resonator for detecting weak signals. Measurement 1999, 26, 69–77. [Google Scholar] [CrossRef]
- Bai, D.; Wang, G. A Memristive Chaotic Mapping Based on FPGA. J. Hangzhou Dianzi Univ. 2013, 33, 9–12. [Google Scholar]
- He, S.; Sun, K.; Peng, Y.; Wang, L. Modeling of discrete fracmemristor and its application. AIP Adv. 2020, 10, 015332. [Google Scholar] [CrossRef]
- Peng, Y.; Sun, K.; He, S. A discrete memristor model and its application in Hénon map. Chaos Solitons Fractals 2020, 137, 109873. [Google Scholar] [CrossRef]
- Peng, Y.; He, S.; Sun, K. A higher dimensional chaotic map with discrete memristor. AEU-Int. J. Electron. Commun. 2021, 129, 153539. [Google Scholar] [CrossRef]
- Bao, B.; Li, H.; Wu, H.; Zhang, X.; Chen, M. Hyperchaos in a second-order discrete memristor-based map model. Electron. Lett. 2020, 56, 769–770. [Google Scholar] [CrossRef]
- Bao, H.; Hua, Z.; Li, H.; Chen, M.; Bao, B. Discrete Memristor Hyperchaotic Maps. IEEE Trans. Circuits Syst. I Regul. Pap. 2021, 68, 4534–4544. [Google Scholar] [CrossRef]
- Bao, H.; Hua, Z.; Li, H.; Chen, M.; Bao, B.C. Memristor-based hyperchaotic maps and application in AC-GANs. IEEE Trans. Ind. Informatics 2021, 18, 5297–5306. [Google Scholar] [CrossRef]
- Xu, Q.; Ju, Z.; Ding, S.; Feng, C.; Chen, M.; Bao, B. Electromagnetic induction effects on electrical activity within a memristive Wilson neuron model. Cogn. Neurodyn. 2022, 1–11. [Google Scholar] [CrossRef]
- Fu, L.; He, S.; Wang, H.; Sun, K. Simulink modeling and dynamic characteristics of discrete memristor chaotic system. Acta Phys. Sin.-Chin. Ed. 2022, 71, 030501. [Google Scholar] [CrossRef]
- Atici, F.M.; Eloe, P.W. A transform method in discrete fractional calculus. Int. J. Differ. Equ. 2007, 2, 165–176. [Google Scholar]
- Holm, M. Sum and difference compositions in discrete fractional calculus. Cubo (Temuco) 2011, 13, 153–184. [Google Scholar] [CrossRef] [Green Version]
- Chua, L.; Kang, S.M. Memristive devices and systems. Proc. IEEE 1976, 64, 209–223. [Google Scholar] [CrossRef]
- Abdeljawad, T.; Baleanu, D. Fractional Differences and Integration by Parts. J. Comput. Anal. Appl. 2011, 13, 574–582. [Google Scholar]
- Huang, L.; Wang, L.; Shi, D. Discrete fractional order chaotic systems synchronization based on the variable structure control with a new discrete reaching-law. IEEE/CAA J. Autom. Sin. 2016, 1–7. [Google Scholar] [CrossRef]
- Wu, X.; He, S.; Tan, W.; Wang, H. From Memristor-Modeled Jerk System to the Nonlinear Systems with Memristor. Symmetry 2022, 14, 659. [Google Scholar] [CrossRef]
- Wu, F.; Gao, R.; Liu, J.; Li, C. New fractional variable-order creep model with short memory. Appl. Math. Comput. 2020, 380, 125278. [Google Scholar] [CrossRef]
- Wu, G.; Luo, M.; Huang, L.; Banerjee, S. Short memory fractional differential equations for new memristor and neural network design. Nonlinear Dyn. 2020, 100, 3611–3623. [Google Scholar] [CrossRef]
- Wu, J.; Wang, G.; Qiu, R. Design and implementation of digital simulator for memristor. J. Hangzhou Dianzi Univ. Nat. Sci. 2018, 38, 1–6. [Google Scholar]
- Delgado-Bonal, A.; Marshak, A. Approximate entropy and sample entropy: A comprehensive tutorial. Entropy 2019, 21, 541. [Google Scholar] [CrossRef] [PubMed] [Green Version]
- Yan, B.; He, S.; Sun, K. Design of a network permutation entropy and its applications for chaotic time series and EEG signals. Entropy 2019, 21, 849. [Google Scholar] [CrossRef] [Green Version]
























| Memristor | Integer-Order | Fractional-Order | ||
|---|---|---|---|---|
| Formula | Symbol | Formula | Symbol | |
| Charge-controlled memristor | ![]() | ![]() | ||
| Magnetron controlled memristor | ![]() | ![]() | ||
| Discrete memristor | ![]() | ![]() | ||
| Type | Characteristics | Applications | Modeling |
|---|---|---|---|
| Continuous memristor |
|
|
|
| Discrete memristor |
|
|
|
Publisher’s Note: MDPI stays neutral with regard to jurisdictional claims in published maps and institutional affiliations. |
© 2022 by the authors. Licensee MDPI, Basel, Switzerland. This article is an open access article distributed under the terms and conditions of the Creative Commons Attribution (CC BY) license (https://creativecommons.org/licenses/by/4.0/).
Share and Cite
He, S.; Zhan, D.; Wang, H.; Sun, K.; Peng, Y. Discrete Memristor and Discrete Memristive Systems. Entropy 2022, 24, 786. https://doi.org/10.3390/e24060786
He S, Zhan D, Wang H, Sun K, Peng Y. Discrete Memristor and Discrete Memristive Systems. Entropy. 2022; 24(6):786. https://doi.org/10.3390/e24060786
Chicago/Turabian StyleHe, Shaobo, Donglin Zhan, Huihai Wang, Kehui Sun, and Yuexi Peng. 2022. "Discrete Memristor and Discrete Memristive Systems" Entropy 24, no. 6: 786. https://doi.org/10.3390/e24060786
APA StyleHe, S., Zhan, D., Wang, H., Sun, K., & Peng, Y. (2022). Discrete Memristor and Discrete Memristive Systems. Entropy, 24(6), 786. https://doi.org/10.3390/e24060786







