Fractal Dimension Analysis of Earth Magnetic Field during 26 August 2018 Geomagnetic Storm
Abstract
1. Introduction
2. Data
2.1. Synthetic Fractal Time Series
2.2. Geomagnetic Data
3. Methodology
3.1. Fractal Methods Selection
3.2. Structure Function Scaling
3.3. Higuchi Method
3.4. Detrended Fluctuation Analysis
3.5. Influence of Data Length
4. Results and Discussion
4.1. Range of Fractal Scaling
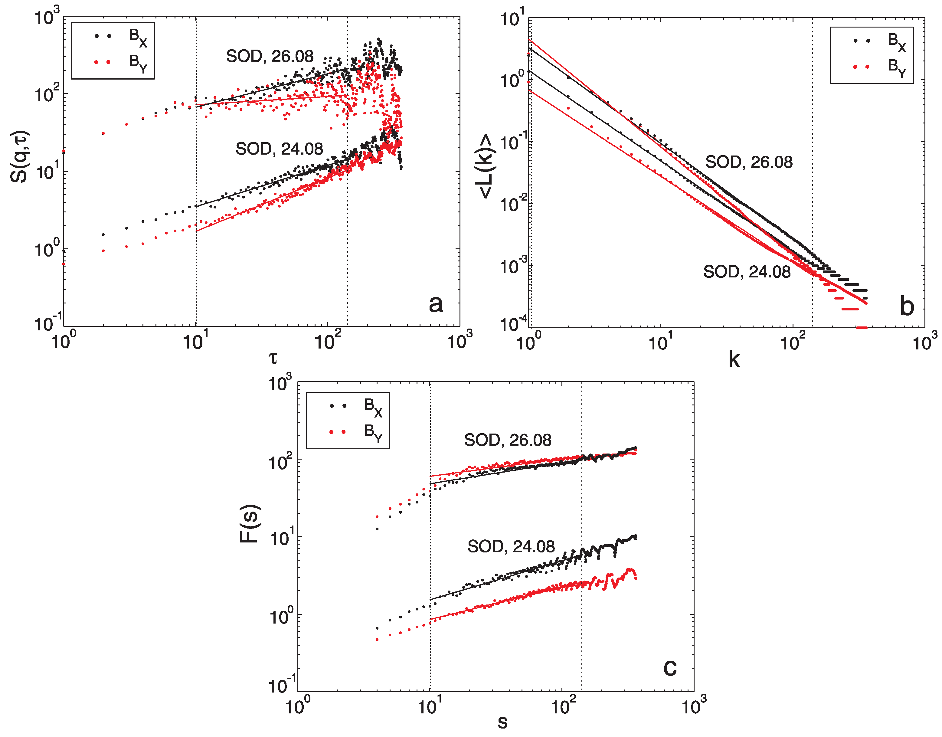
4.2. Fractal Dimension of Geomagnetic Field Components
4.3. Fractal Dimension of Sym-H
5. Conclusions
- the conducted analysis confirms the fractal nature of the particular geomagnetic field components and and reveals differences between their complexity;
 - the comparison of fractal dimension estimated by using SF, HG and DFA techniques clearly shows that its values depend on the applied methodology, as well as the physical conditions of analysed data;
 - SF and HG analysis for stations BEL, HLP, SOD show an increase in fractal dimension of values during the 26 August 2018 geomagnetic storm;
 - DFA reveals a decrease in fractal dimension for both and when the main phase of the storm appears;
 - the fractal dimension of the Sym-H index, independent of the applied technique, decreases during the geomagnetic storm;
 - the appearance of IP, CME, CIR or HSS seems to have significant influence on the fractal dimension values (their growth or decline) of each horizontal geomagnetic magnetic field component, not straightforwardly visible in the raw and data.
 
Author Contributions
Funding
Institutional Review Board Statement
Informed Consent Statement
Data Availability Statement
Acknowledgments
Conflicts of Interest
References
- Mandelbrot, B. The Fractal Geometry of Nature; W.H. Freeman: New York, NY, USA, 1983. [Google Scholar]
 - Barnsley, M.F. Fractals Everywhere, 2nd ed.; Academic Press Professional: Boston, MA, USA, 1993. [Google Scholar]
 - Falconer, K.J. Fractal Geometry: Mathematical Foundations and Applications; Wiley: Chichester, UK, 2003. [Google Scholar]
 - Watari, S. Fractal dimensions of solar activity. Sol. Phys. 1995, 158, 365–377. [Google Scholar]
 - Shi, C. Signal Pattern Recognition Based on Fractal Features and Machine Learning. Appl. Sci. 2018, 8, 1327. [Google Scholar] [CrossRef]
 - Domínguez, M.; Muñoz, V.; Valdivia, J.A. Temporal Evolution of Fractality in the Earth’s Magnetosphere and the Solar Photosphere. J. Geophys. Res. 2014, 119, 3585–3603. [Google Scholar] [CrossRef]
 - Gneiting, T.; Schlather, M. Stochastic Models That Separate Fractal Dimension and the Hurst Effect. SIAM Rev. 2004, 46, 269–282. [Google Scholar] [CrossRef]
 - Wanliss, J. Fractal properties of SYM-H during quiet and active times. J. Geophys. Res. Space Phys. 2005, 110. [Google Scholar] [CrossRef]
 - Balasis, G.; Daglis, I.A.; Kapiris, P.; Mandea, M.; Vassiliadis, D.; Eftaxias, K. From pre-storm activity to magnetic storms: A transition described in terms of fractal dynamics. Ann. Geophys. 2006, 24, 3557–3567. [Google Scholar] [CrossRef]
 - Klinkenberg, B. A review of methods used to determine the fractal dimension of linear features. Math. Geol. 1994, 26, 23–46. [Google Scholar] [CrossRef]
 - Katz, M.J. Fractals and the analysis of waveforms. Comput. Biol. Med. 1988, 18, 145–156. [Google Scholar] [CrossRef]
 - Higuchi, T. Approach to an irregular time series on the basis of the fractal theory. Phys. D Nonlinear Phenom. 1988, 31, 277–283. [Google Scholar] [CrossRef]
 - Hurst, H.E. Long-term storage capacity of reservoirs. Trans. Am. Soc. Civ. Eng. 1951, 116, 770–799. [Google Scholar] [CrossRef]
 - Peng, C.K.; Buldyrev, S.V.; Goldberger, A.L.; Havlin, S.; Sciortino, F.; Simons, M.; Stanley, H.E. Long-range correlations in nucleotide sequences. Nature 1992, 356, 168. [Google Scholar] [CrossRef] [PubMed]
 - Peng, C.K.; Buldyrev, S.V.; Havlin, S.; Simons, M.; Stanley, H.E.; Goldberger, A.L. Mosaic organization of DNA nucleotides. Phys. Rev. E 1994, 49, 1685. [Google Scholar] [CrossRef] [PubMed]
 - Habib, A.; Sorensen, J.P.R.; Bloomfield, J.P.; Muchan, K.; Newell, A.J.; Butler, A.P. Temporal scaling phenomena in groundwater-floodplain systems using robust detrended fluctuation analysis. J. Hydrol. 2017, 549, 715–730. [Google Scholar] [CrossRef]
 - Simonsen, I.; Hansen, A.; Nes, O.-M. Determination of the Hurst Exponent by use of wavelet transforms. Phys. Rev. E 1998, 58, 79–87. [Google Scholar] [CrossRef]
 - Takalo, J.; Timonen, J. On the relation of the AE and PC indices. J. Geophys. Res. 1998, 103, 29393–29398. [Google Scholar] [CrossRef]
 - Consolini, G.; De Marco, R.; De Michelis, P. Intermittency and multifractional Brownian character of geomagnetic time series. Nonlinear Process. Geophys. 2013, 20, 455–466. [Google Scholar] [CrossRef]
 - De Michelis, P.; Consolini, G. On the local Hurst exponent of geomagnetic field fluctuations: Spatial distribution for different geomagnetic activity levels. J. Geophys. Res. (Space Phys.) 2015, 120, 2691–2701. [Google Scholar] [CrossRef]
 - Balasis, G.; Daglis, I.A.; Papadimitriou, C.; Kalimeri, M.; Anastasiadis, A.; Eftaxias, K. Investigating Dynamical Complexity in the Magnetosphere using Various Entropy Measures. J. Geophys. Res. 2009, 114, A00D06. [Google Scholar] [CrossRef]
 - Consolini, G.; De Michelis, P. Permutation entropy analysis of complex magnetospheric dynamics. J. Atmos. Sol. Terr. Phys. 2014, 115, 25–31. [Google Scholar] [CrossRef]
 - Alberti, T.; Faranda, D.; Consolini, G.; De Michelis, P.; Donner, R.V.; Carbone, V. Concurrent Effects between Geomagnetic Storms and Magnetospheric Substorms. Universe 2022, 8, 226. [Google Scholar] [CrossRef]
 - Uritsky, V.M.; Pudovkin, M.I. Low frequency 1/f -like fluctuations of the AE-index as a possible manifestation of self-organized criticality in the magnetosphere. Ann. Geophys. 1998, 16, 1580–1588. [Google Scholar] [CrossRef]
 - Hamid, N.S.A.; Gopir, G.; Ismail, M.; Misran, N.; Hasbi, A.M.; Usang, M.D.; Yumoto, K. The Hurst exponents of the geomagnetic horizontal component during quiet and active periods. In Proceedings of the 2009 International Conference on Space Science and Communication, Negeri Sembilan, Malaysia, 26–27 October 2009; pp. 186–190. [Google Scholar]
 - Zaourar, N.; Hamoudi, M.; Holschneider, M.; Mandea, M. Fractal dynamics of geomagnetic storms. Arab. J. Geosci. 2013, 6, 1693–1702. [Google Scholar] [CrossRef]
 - Hall, C.M. Complexity signatures in the geomagnetic H component recorded by the Tromsø magnetometer (70∘ N, 19∘ E) over the last quarter of a century. Nonlin. Process. Geophys. 2014, 21, 1051–1058. [Google Scholar] [CrossRef]
 - Nasuddin, K.A.; Abdullah, M.; Abdul Hamid, N.S. Characterization of the South Atlantic Anomaly. Nonlin. Process. Geophys. 2019, 26, 25–35. [Google Scholar] [CrossRef]
 - Donner, R.V.; Stolbova, V.; Balasis, G.; Donges, J.F.; Georgiou, M.; Potirakis, S.M.; Kurths, J. Temporal organization of magnetospheric fluctuations unveiled by recurrent patterns in the Dst index. Chaos 2018, 28, 085716. [Google Scholar] [CrossRef]
 - Alberti, T.; Lekscha, J.; Consolini, G.; De Michelis, P.; Donner, R.V. Disentangling nonlinear geomagnetic variability during magnetic storms and quiescence by timescale dependent recurrence properties. J. Space Weather Space Clim. 2020, 10, 25. [Google Scholar] [CrossRef]
 - Rifqi, F.N.; Hamid, N.S.A.; Rabiu, A.B.; Yoshikawa, A. Identification of Fractal Properties in Geomagnetic Data of Southeast Asian Region during Various Solar Activity Levels. Universe 2021, 7, 248. [Google Scholar] [CrossRef]
 - Gil, A.; Glavan, V.; Wawrzaszek, A.; Modzelewska, R.; Tomasik, L. Katz Fractal Dimension of Geoelectric Field during Severe Geomagnetic Storms. Entropy 2021, 23, 1531. [Google Scholar] [CrossRef]
 - Piersanti, M.; Michelis, P.D.; Moro, D.D.; Tozzi, R.; Pezzopane, M.; Consolini, G.; Marcucci, M.F.; Laurenza, M.; Matteo, S.D.; Pignalberi, A.; et al. From the Sun to Earth: Effects of the 25 August 2018 geomagnetic storm. Ann. Geophys. 2020, 38, 703–724. [Google Scholar] [CrossRef]
 - Astafyeva, E.; Bagiya, M.S.; Forster, M.; Nishitani, N. Unprecedented hemispheric asymmetries during a surprise ionospheric storm: A game of drivers. J. Geophys. Res. 2020, 125, e2019JA02726. [Google Scholar] [CrossRef]
 - Akala, A.O.; Oyedokun, O.J.; Amaechi, P.O.; Simi, K.G.; Ogwala, A.; Arowolo, O.A. Solar origins of 26 August 2018 geomagnetic storm: Responses of the interplanetary medium and equatorial/low-latitude ionosphere to the storm. Space Weather 2021, 19, e2021SW002734. [Google Scholar] [CrossRef]
 - Cherniak, I.; Zakharenkova, I. Development of the storm-induced ionospheric irregularities at equatorial and middle latitudes during the 25–26 August 2018 geomagnetic storm. Space Weather 2022, 20, e2021SW002891. [Google Scholar] [CrossRef]
 - Raghavendra, B.S.; Dutt, D.N. Computing fractal dimension of signals using multiresolution box-counting method. World Acad. Sci. Eng. Technol. 2010, 37, 1266–1281. [Google Scholar]
 - Esteller, R.; Vachtsevanos, G.; Echauz, J.; Litt, B. A Comparison of waveform fractal dimension algorithms. IEEE Trans. Circuits Syst. 2001, 48, 177–183. [Google Scholar] [CrossRef]
 - Mandelbrot, B.B.; Van Ness, J.W. Fractional Brownian motions, fractional noises and applications. Soc. Ind. Appl. Math. Rev. 1968, 10, 422–437. [Google Scholar] [CrossRef]
 - Iyemori, T.; Rao, D.R.K. Decay of the Dst field of geomagnetic disturbance after substorm onset and its implication to storm-substorm relation. Ann. Geophys. 1996, 14, 608–618. [Google Scholar] [CrossRef]
 - Iyemori, T.; Takeda, M.; Nose, M.; Odagi, Y.; Toh, H. Mid-Latitude Geomagnetic Indices “ASY” and “SYM” for 2009 (Provisional). 2009. Available online: https://wdc.kugi.kyoto-u.ac.jp/aeasy/asy.pdf (accessed on 10 April 2022).
 - Mansilla, G.A.; Zossi, M.M. Longitudinal variation of the ionospheric response to the 26 August 2018 geomagnetic storm at equatorial/low latitudes. Pure Appl. Geophys. 2020, 177, 5833–5844. [Google Scholar] [CrossRef]
 - Spogli, L.; Sabbagh, D.; Regi, M.; Cesaroni, C.; Perrone, L.; Alfonsi, L.; Ippolito, A. Ionospheric response over Brazil to the August 2018 geomagnetic storm as probed by CSES-01 and Swarm satellites and by local ground-based observations. J. Geophys. Res. 2020, 126, e2020JA028368. [Google Scholar] [CrossRef]
 - Younas, W.; Amory-Mazaudier, C.; Khan, M.; Fleury, R. Ionospheric and magnetic signatures of a space weather event on 25–29 August 2018: CME and HSSWs. J. Geophys. Res. 2020, 125, e2020JA027981. [Google Scholar] [CrossRef]
 - Modzelewska, R.; Krasińska, A.; Wawrzaszek, A.; Gil, A. Scaling Features of Diurnal Variation of Galactic Cosmic Rays. Sol. Phys. 2021, 296, 125. [Google Scholar] [CrossRef]
 - Sevcik, C. On fractal dimension of waveforms. Chaos Solitons Fractals 2006, 28, 579–580. [Google Scholar] [CrossRef]
 - Castiglioni, P. What is wrong in Katz’s method? Comments on: A note on fractal dimensions of biomedical waveforms. Comput. Biol. Med. 2010, 40, 950–952. [Google Scholar] [CrossRef] [PubMed]
 - Di Matteo, T.; Aste, T.; Dacorogna, M.M. Long-term memories of developed and emerging markets: Using the scaling analysis to characterize their stage of development. J. Bank. Financ. 2005, 29, 827–851. [Google Scholar] [CrossRef]
 - De Michelis, P.; Consolini, G.; Tozzi, R. Magnetic field fluctuation features at Swarm’s altitude: A fractal approach. Geophys. Res. Lett. 2015, 42, 3100–3105. [Google Scholar] [CrossRef]
 - De Michelis, P.; Pignalberi, A.; Consolini, G.; Coco, I.; Tozzi, R.; Pezzopane, M.; Giannattasio, F.; Balasis, G. On the 2015 St. Patrick’s Storm Turbulent State of the Ionosphere: Hints From the Swarm Mission. J. Geophys. Res. 2020, 125, e2020JA027934. [Google Scholar] [CrossRef]
 - Kantelhardt, J.W.; Koscielny-Bunde, E.; Rego, H.H.A.; Havlin, S.; Bunde, A. Detecting long-range correlations with detrended fluctuation analysis. Physica A 2001, 295, 441–454. [Google Scholar] [CrossRef]
 - Higuchi, T. Relationship between the Fractal Dimension and the Power-low Index for a Time Series: A Numerical Investigation. Physica D 1990, 46, 254–264. [Google Scholar] [CrossRef]
 - Wajnsztejn, R.; De Carvalho, T.D.; Garner, D.M.; Raimundo, R.D.; Vanderlei, L.C.M.; Godoy, M.; Ferreira, C.; Valenti, V.E.; de Abreu, L.C. Higuchi fractal dimension applied to RR intervals in children with attention deficit hyperactivity disorder. J. Hum. Growth Dev. 2016, 26, 147–153. [Google Scholar] [CrossRef][Green Version]
 - Ihlen, E.A.F. Introduction to Multifractal Detrended Fluctuation Analysis in Matlab. Front. Physiol. 2012, 3, 141. [Google Scholar] [CrossRef]
 - Hu, K.; Ivanov, P.C.; Chen, Z.; Carpena, P.; Stanley, H.E. Effect of trends on detrended fluctuation analysis. Phys. Rev. E 2001, 64, 011114. [Google Scholar] [CrossRef]
 - Damouras, S.; Chang, M.D.; Sejdic, E.; Chau, T. An empirical examination of detrended fluctuation analysis for gait data. Gait Posture 2010, 31, 336–340. [Google Scholar] [CrossRef] [PubMed]
 - Ma, K.; Yang, C.B.; Cai, X. Correlations in the Bak-Sneppen model from detrended fluctuation analysis. Physica A 2005, 357, 455–465. [Google Scholar] [CrossRef]
 - Phothisonothai, M.; Nakagawa, M. Fractal-Based EEG Data Analysis of Body Parts Movement Imagery Tasks. J. Physiol. Sci. 2007, 57, 217. [Google Scholar] [CrossRef] [PubMed]
 - Tsurutani, B.; Sugiura, M.; Iyemori, T.; Goldstein, B.; Gonzalez, W.; Akasofu, S.; Smith, E. The nonlinear response of AE to the IMF BS driver: A spectral break at 5 h. Geophys. Res. Lett. 1990, 17, 279–282. [Google Scholar] [CrossRef]
 - Alberti, T.; Consolini, G.; Ditlevsen, P.D.; Donner, R.V.; Quattrociocchi, V. Multiscale measures of phase-space trajectories. Chaos 2020, 30, 123116. [Google Scholar] [CrossRef]
 - Wanliss, J.A.; Showalter, K.M. High-resolution global storm index: Dst versus SYM-H. J. Geophys. Res. 2006, 111, A02202. [Google Scholar] [CrossRef]
 - Alberti, T.; Consolini, G.; De Michelis, P. Complexity measures of geomagnetic indices in the last two solar cycles. J. Atmos. Sol. Terr. Phys. 2021, 217, 105583. [Google Scholar] [CrossRef]
 - Muñoz, V.; Domínguez, M.; Valdivia, J.A.; Good, S.; Nigro, G.; Carbone, V. Evolution of fractality in space plasmas of interest to geomagnetic activity. Nonlin. Process. Geophys. 2018, 25, 207–216. [Google Scholar] [CrossRef]
 - Wawrzaszek, A.; Echim, M.; Bruno, R. Multifractal Analysis of Heliospheric Magnetic Field Fluctuations Observed by Ulysses. Astrophys. J. 2019, 876, 153. [Google Scholar] [CrossRef]
 - Toledo, B.; Medina, P.; Blunier, S.; Rogan, J.; Stepanova, M.; Valdivia, J.A. Multifractal Characteristics of Geomagnetic Field Fluctuations for the Northern and Southern Hemispheres at Swarm Altitude. Entropy 2021, 23, 558. [Google Scholar] [CrossRef]
 - Carrizales-Velazquez, C.; Donner, R.V.; Guzmán-Vargas, L. Generalization of Higuchi’s fractal dimension for multifractal analysis of time series with limited length. Nonlinear Dyn. 2022, 108, 417–431. [Google Scholar] [CrossRef]
 








| Code | Name | Geogr. Lat | Geogr. Lon | CGM Lat | CGM Lon | 
|---|---|---|---|---|---|
| [] | [] | [] | [] | ||
| BEL | Belsk | 51.84 | 20.79 | 47.67 | 95.81 | 
| HLP | Hel | 54.70 | 18.81 | 50.70 | 95.21 | 
| SOD | Sodankylä | 67.37 | 26.63 | 63.92 | 107.26 | 
| HRN | Hornsund | 77.00 | 15.55 | 74.13 | 109.59 | 
| N | RMSE-SF | RMSE-HG | RMSE-DFA | ||||||
|---|---|---|---|---|---|---|---|---|---|
| WCF | TF | FBM | WCF | TF | FBM | WCF | TF | FBM | |
| 128 | 0.12 | 0.08 | 0.10 | 0.08 | 0.07 | 0.07 | 0.07 | 0.06 | 0.16 | 
| 256 | 0.08 | 0.09 | 0.10 | 0.05 | 0.07 | 0.07 | 0.03 | 0.05 | 0.07 | 
| 512 | 0.09 | 0.06 | 0.12 | 0.05 | 0.06 | 0.09 | 0.02 | 0.04 | 0.14 | 
| 1024 | 0.09 | 0.06 | 0.10 | 0.05 | 0.06 | 0.09 | 0.01 | 0.03 | 0.10 | 
| 2048 | 0.08 | 0.06 | 0.06 | 0.05 | 0.06 | 0.07 | 0.01 | 0.03 | 0.05 | 
| 4096 | 0.08 | 0.06 | 0.08 | 0.05 | 0.06 | 0.08 | 0.01 | 0.03 | 0.11 | 
| N | ME-SF | ME-HG | ME-DFA | ||||||
|---|---|---|---|---|---|---|---|---|---|
| WCF | TF | FBM | WCF | TF | FBM | WCF | TF | FBM | |
| 128 | −0.05 | −0.03 | 0.04 | −0.02 | 0.02 | 0.02 | −0.07 | −0.04 | 0.00 | 
| 256 | −0.02 | −0.05 | 0.05 | 0.02 | 0.02 | 0.02 | −0.02 | −0.02 | 0.01 | 
| 512 | −0.03 | −0.02 | 0.05 | 0.01 | 0.02 | 0.03 | −0.02 | −0.01 | 0.04 | 
| 1024 | −0.03 | −0.02 | 0.03 | 0.01 | 0.02 | 0.00 | −0.01 | 0.00 | 0.02 | 
| 2048 | −0.02 | −0.02 | 0.02 | 0.01 | 0.03 | 0.00 | −0.01 | 0.01 | 0.00 | 
| 4096 | −0.02 | −0.02 | 0.04 | 0.01 | 0.03 | 0.03 | −0.01 | 0.01 | 0.04 | 
Publisher’s Note: MDPI stays neutral with regard to jurisdictional claims in published maps and institutional affiliations.  | 
© 2022 by the authors. Licensee MDPI, Basel, Switzerland. This article is an open access article distributed under the terms and conditions of the Creative Commons Attribution (CC BY) license (https://creativecommons.org/licenses/by/4.0/).
Share and Cite
Wawrzaszek, A.; Modzelewska, R.; Krasińska, A.; Gil, A.; Glavan, V. Fractal Dimension Analysis of Earth Magnetic Field during 26 August 2018 Geomagnetic Storm. Entropy 2022, 24, 699. https://doi.org/10.3390/e24050699
Wawrzaszek A, Modzelewska R, Krasińska A, Gil A, Glavan V. Fractal Dimension Analysis of Earth Magnetic Field during 26 August 2018 Geomagnetic Storm. Entropy. 2022; 24(5):699. https://doi.org/10.3390/e24050699
Chicago/Turabian StyleWawrzaszek, Anna, Renata Modzelewska, Agata Krasińska, Agnieszka Gil, and Vasile Glavan. 2022. "Fractal Dimension Analysis of Earth Magnetic Field during 26 August 2018 Geomagnetic Storm" Entropy 24, no. 5: 699. https://doi.org/10.3390/e24050699
APA StyleWawrzaszek, A., Modzelewska, R., Krasińska, A., Gil, A., & Glavan, V. (2022). Fractal Dimension Analysis of Earth Magnetic Field during 26 August 2018 Geomagnetic Storm. Entropy, 24(5), 699. https://doi.org/10.3390/e24050699
        
                                                
