An Information-Theoretic View of Mixed-Delay Traffic in 5G and 6G
Abstract
1. Introduction
1.1. Related Works
1.2. Related Surveys and Contributions
- (i)
- An overview of interference mitigation techniques drawn from information theory, with a focus on superposition coding, dirty paper coding, and coordinated multi point transmission and reception.
- (ii)
- A summary of joint coding schemes and recent results on their performance for mixed delay traffic in
- (a)
- point-to-point networks;
- (b)
- broadcast networks;
- (c)
- cooperative networks;
- (d)
- C-RANs.
- (iii)
- A discussion of open problems in the design of joint coding schemes for mixed delay traffic.
1.3. Outline of the Survey
2. Mixed Delay Traffic and Interference Mitigation
2.1. Coding and Delay
- (i)
- the length of each codeword, ;
- (ii)
- and the rate, defined by
- the communication delay over the network from the mobile users to the BSs;
- the processing time of the compression at the BSs as well as the communication delay over the fronthaul links to the cloud processor;
- the decoding processing time at the cloud processor.
2.2. Superposition Coding
2.3. Dirty-Paper Coding (DPC)
2.4. Coordinated Multi Point (CoMP)
3. Point-to-Point Communications
3.1. Introduction
3.2. The Broadcast Approach over Fading Channels without Transmitter Channel State Information
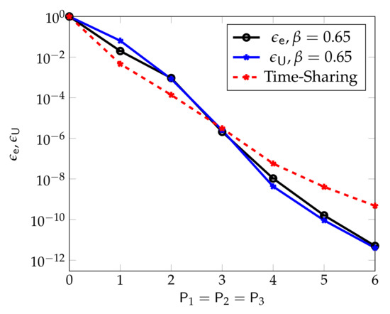
3.3. Finite Block-Length Analysis over Gaussian Channels
- Case 1: URLLC and eMBB transmissions do not overlap. i.e., .
- Case 2: The eMBB transmission interval includes the URLLC transmission interval, i.e., .
- Case 3: URLLC and eMBB transmissions overlap, but URLLC transmission is not included in eMBB transmission, i.e., and .
3.4. Summary
4. Broadcast Channels with Mixed-Delay Traffic
4.1. Introduction
4.2. Broadcast Approach over Fading Channels
4.3. Summary
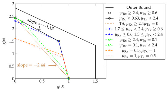
5. Cooperative Interference Networks
5.1. Introduction
5.2. Problem Description
- Wyner’s linear symmetric model in Figure 9a, where Txs and Rxs are aligned on two parallel lines and interference is only from the two Txs on the left and the right of any given Tx/Rx pair. This topology models for example situations in a corridor or along a railway line or highway where BSs are aligned. Cooperation links are present between neighbouring Txs and between neighbouring Rxs.
- Wyner’s hexagonal model in Figure 9b, where cells are assumed of hexagonal shape. Interference is from the six neighbouring cells. Cooperation links are present between BSs and between mobiles of neighbouring cells.
- Sectorized hexagonal model in Figure 9c, where cells are again of hexagonal shape. In this model, Txs and Rxs use directed antennas, allowing us to divide each cell into three sectors with non-interfering communications, and interference is only from the neighbouring sectors in neighbouring cells, but not from sectors within the same cell. Here, a single mobile user is assumed in each sector, and thus three mobiles in each cell. Cooperation links are present between BSs of neighbouring cells and between mobiles in neighbouring sectors that are not in the same cell.
5.3. Coding Schemes
- Txs in are silenced and Rxs in do not take any action.
- Txs in send only URLLC messages. Tx/Rx pairs in are called URLLC Txs/Rxs.
- Txs in send only eMBB messages. Tx/Rx pairs in are called eMBB Txs/Rxs.
5.4. Results on the Joint eMBB/URLLC DoF Region
5.5. Random User Activities
5.6. Summary
6. Cloud Radio Access Networks (C-RANs)
6.1. Introduction
6.2. Fading C-RAN Model
6.3. Static CRAN Model with Slotted Communication
- OMA: URLLC and eMBB messages are sent using orthogonal multiaccess (OMA), i.e., a pure scheduling approach where the minislots dedicated for URLLC and eMBB communications are disjoint. Specifically, here every -th minislot is dedicated for URLLC transmission and the other minislots for eMBB transmissions.
- NOMA–puncturing: eMBB and URLLC messages are sent using non-orthogonal multiaccess (NOMA), i.e., eMBB and URLLC are sent over the same minislots. In particular, URLLC messages are transmitted in the minislot following their generation. To avoid this URLLC communication interfering with eMBB communication, BSs compress only the signals they receive in minislots where no URLLC communication is taking place from their corresponding mobile user.
- NOMA–treating URLLC as noise: eMBB and URLLC messages are sent using NOMA. URLLC communication is treated as noise for eMBB decoding. Therefore, BSs compress all their output signals, and send all this compression information to the cloud processor.
- NOMA–SIC: As in the previous item, except that BSs perform successive interference cancellation (SIC) on their decoded URLLC messages. That means, if URLLC decoding is successful, they subtract the URLLC signal from their outputs before compressing it for transmission to the cloud processor.
6.4. Summary
7. Conclusions and Outlook
- The presented works have considered perfect channel state information (CSI) at the Rxs, and sometimes even at the Txs, where naturally CSI is more difficult to obtain. An interesting model for mixed-delay traffic is where CSI can be used for encoding and decoding of eMBB messages but not of URLLC messages [72,73]. The motivation behind such a model is that the processing of pilot and feedback signals required to gather CSI at the Rxs and Txs introduces inadmissibly large delays for URLLC communication.
- So far, firm finite-blocklength results for mixed-delay traffic have been mostly limited to the P2P case; see [74] for an exception. Extensions to multi-user network scenarios is an important future research direction.
- In practical scenarios, both URLLC and eMBB messages are randomly generated by higher layer applications. This naturally leads to potential bottlenecks where not-yet-transmitted messages have to be buffered, similar to [75]. In this context, a thorough analysis of the behavior of the buffered contents and the required size of these buffers, is of significant practical interest.
- Langberg and Effros [77] introduced the notion of time-rate region which describes the fraction of the blocklengths required for the transmissions of the various messages to the different Rxs in a network scenario under given message communication rates. A natural question is whether the interference mitigation techniques discussed in this survey can improve the inner bound on the time-rate region for general networks obtained in [77], which is obtained through a reduction to standard network information theory problems.
- Finally, mixed-delay traffic where different messages are transmitted over different blocklengths is inherently also connected to variable-rate and variable-length coding [20,77,78,79]. For example, the variable-rate channel coding framework of [78] includes the variable-to-variable scenario where depending on the specific system configuration and channel state realization, a receiver can decode a message of variable-size (similarly to the broadcast approaches in Sections III-B and IV) and decoding is performed after a variable number of channel uses. An interesting line of future research is to extend this scenario to multiple messages and mixed-delay traffic where URLLC and eMBB messages are decoded with different delays, and to study the four-dimensional tradeoff between URLLC and eMBB variable-rates and variable-delays.
Author Contributions
Funding
Institutional Review Board Statement
Informed Consent Statement
Data Availability Statement
Acknowledgments
Conflicts of Interest
References
- Tataria, H.; Shafi, M.; Molisch, A.F.; Dohler, M.; Sjöland, H.; Tufvesson, F. 6G wireless systems: Vision, requirements, challenges, insights, and opportunities. Proc. IEEE 2021, 109, 1166–1199. [Google Scholar] [CrossRef]
- Popovski, P.; Trillingsgaard, K.F.; Simeone, O.; Durisi, G. 5G wireless network slicing for eMBB, URLLC, and mMTC: A communication-theoretic view. IEEE Access 2018, 6, 55765–55779. [Google Scholar] [CrossRef]
- Popovski, P.; Stefanović, Č.; Nielsen, J.J.; de Carvalho, E.; Angjelichinoski, M.; Trillingsgaard, K.F.; Bana, A. Wireless access in ultra-reliable low-latency communication (URLLC). IEEE Trans. Commun. 2019, 67, 5783–5801. [Google Scholar] [CrossRef]
- Ge, X. Ultra-reliable low-latency communications in autonomous vehicular networks. IEEE Trans. Veh. Technol. 2019, 68, 5005–5016. [Google Scholar] [CrossRef]
- Shirvanimoghaddam, M.; Mohamadi, M.S.; Abbas, R.; Minja, A.; Yue, C.; Matuz, B.; Han, G.; Lin, Z.; Li, Y.; Johnson, S.; et al. Short block-length codes for ultra-reliable low latency communications. IEEE Commun. Mag. 2019, 57, 130–137. [Google Scholar] [CrossRef]
- Zhang, X.; Wang, J.; Poor, H.V. Statistical QoS-driven energy-efficiency optimization for URLLC over 5G mobile wireless networks in the finite blocklength regime. In Proceedings of the Conference on Information Sciences and Systems, Baltimore, MD, USA, 20–22 March 2019; pp. 1–6. [Google Scholar]
- Bairagi, A.K.; Munir, M.S.; Alsenwi, M.; Tran, N.H.; Alshamrani, S.S.; Masud, M.; Han, Z.; Hong, C.S. Coexistence mechanism between eMBB and URLLC in 5G wireless networks. IEEE Trans. Commun. 2021, 69, 1736–1749. [Google Scholar] [CrossRef]
- Xiao, K.; Liu, X.; Han, X.H.; Hao, P.; Zhang, J.; Zhou, D.; Wei, X. Flexible multiplexing mechanism for coexistence of URLLC and eMBB services in 5G networks. ZTE Commun. 2021, 19, 82–90. [Google Scholar]
- Bennis, M.; Debbah, M.; Poor, H.V. Ultrareliable and low-latency wireless communication: Tail, risk, and scale. Proc. IEEE 2018, 106, 1834–1853. [Google Scholar] [CrossRef]
- Aleksandra, C.; Lehrmann, C.H.; Ying, Y.; Lara, S.; Georgios, K.; Stübert, B.M.; Lars, D. 6G wireless networks: Vision, requirements, architecture, and key technologies. IEEE Veh. Technol. Mag. 2019, 14, 28–41. [Google Scholar]
- Aleksandra, C.; Lehrmann, C.H.; Ying, Y.; Lara, S.; Georgios, K.; Stübert, B.M.; Lars, D. Cloud RAN for mobile networks—A technology overview. IEEE Commun. Surv. Tutor. 2015, 17, 405–426. [Google Scholar]
- Peng, M.; Li, Y.; Zhao, Z.; Wang, C. System architecture and key technologies for 5G heterogeneous cloud radio access networks. IEEE Netw. 2015, 29, 6–14. [Google Scholar] [CrossRef]
- Zhang, J.; Xu, X.; Zhang, K.; Zhang, B.; Tao, X.; Zhang, P. Machine learning based flexible transmission time interval scheduling for eMBB and uRLLC coexistence scenario. IEEE Access 2019, 7, 65811–65820. [Google Scholar] [CrossRef]
- Bairagi, A.K.; Munir, M.S.; Alsenwi, M.; Tran, N.H.; Hong, C.S. A matching based coexistence mechanism between eMBB and URLLC in 5G wireless networks. In Proceedings of the 34th ACM/SIGAPP Symposium on Applied Computing, New York, NY, USA, 8–12 April 2019. [Google Scholar]
- Elsayed, M.; Erol-Kantarci, M. AI-enabled radio resource allocation in 5G for URLLC and eMBB users. In Proceedings of the IEEE 2nd 5G World Forum (5GWF), Dresden, Germany, 30 September–2 October 2019; pp. 590–595. [Google Scholar]
- Alsenwi, M.; Tran, N.H.; Bennis, M.; Pandey, S.R.; Bairagi, A.K.; Hong, C.S. Intelligent resource slicing for eMBB and URLLC coexistence in 5G and beyond: A deep reinforcement learning based approach. IEEE Trans. Wirel. Commun. 2021, 20, 4585–4600. [Google Scholar] [CrossRef]
- Khan, H.; Butt, M.M.; Samarakoon, S.; Sehier, P.; Bennis, M. Deep learning assisted CSI estimation for joint URLLC and eMBB resource allocation. In Proceedings of the IEEE International Conference on Communications Workshops (ICC Workshops), Dublin, Ireland, 7–11 June 2020; pp. 1–6. [Google Scholar]
- Li, J.; Zhang, X. Deep reinforcement learning-based joint scheduling of eMBB and URLLC in 5G networks. IEEE Wirel. Commun. Lett. 2020, 9, 1543–1546. [Google Scholar] [CrossRef]
- Almekhlafi, M.; Arfaoui, M.A.; Elhattab, M.; Assi, C.; Ghrayeb, A. Joint scheduling of eMBB and URLLC services in RIS-aided downlink cellular networks. In Proceedings of the International Conference on Computer Communications and Networks (ICCCN), Athens, Greece, 19–22 July 2021; pp. 1–9. [Google Scholar]
- Huleihel, W.; Steinberg, Y. Channels with cooperation links that may be absent. IEEE Trans. Inf. Theory 2017, 63, 5886–5906. [Google Scholar] [CrossRef]
- Keresztfalvi, T.; Lapidoth, A. Semi-robust communications over a broadcast channel. IEEE Trans. Inf. Theory 2019, 65, 5043–5049. [Google Scholar] [CrossRef]
- Keresztfalvi, T.; Lapidoth, A. Multiplexing zero-error and rare-error communications over a noisy channel. IEEE Trans. Inf. Theory 2019, 65, 2824–2837. [Google Scholar] [CrossRef]
- Blackwell, D.; Breiman, L.; Thomasian, A.J. The capacities of certain channel classes under random coding. Ann. Math. Stat. 1960, 31, 558–567. [Google Scholar] [CrossRef]
- Csiszár, I.; Narayan, P. Capacity and decoding rules for classes of arbitrarily varying channels. IEEE Trans. Inf. Theory 1989, 35, 752–769. [Google Scholar] [CrossRef]
- Lapidoth, A.; Narayan, P. Reliable communication under channel uncertainty. IEEE Trans. Inf. Theory 1998, 44, 2148–2177. [Google Scholar] [CrossRef]
- Morais, F.Z.; da Costa, C.A.; Alberti, A.M.; Both, C.B.; Righi, R.R. When SDN meets C-RAN: A survey exploring multi-point coordination, interference, and performance. J. Netw. Comput. Appl. 2020, 162, 102655. [Google Scholar] [CrossRef]
- Zhang, S. An overview of network slicing for 5G. IEEE Wirel. Commun. 2019, 26, 111–117. [Google Scholar] [CrossRef]
- Hossain, E.; Hasan, M. 5G cellular: Key enabling technologies and research challenges. IEEE Instrum. Meas. Mag. 2015, 18, 11–21. [Google Scholar] [CrossRef]
- Sun, Y.; Peng, M.; Zhou, Y.; Huang, Y.; Mao, S. Application of machine learning in wireless networks: Key techniques and open issues. IEEE Commun. Surv. Tutor. 2019, 21, 3072–3108. [Google Scholar] [CrossRef]
- Mao, Y.; Dizdar, O.; Clerckx, B.; Schober, R.; Popovski, P.; Poor, H.V. Rate-splitting multiple access: Fundamentals, survey, and future research trends. arXiv 2022, arXiv:2201.03192. [Google Scholar]
- Shariatmadari, H.; Iraji, S.; Jantti, R.; Popovski, P.; Li, Z.; Uusitalo, M.A. Fifth-generation control channel design: Achieving ultra reliable low-latency communications. IEEE Veh. Technol. Mag. 2018, 13, 84–93. [Google Scholar] [CrossRef]
- Vaezi, M.; Azari, A.; Khosravirad, S.R.; Shirvanimoghaddam, M.; Azari, M.M.; Chasaki, D.; Popovski, P. Cellular, wide-area, and non-terrestrial IoT: A survey on 5G advances and the road towards 6G. arXiv 2021, arXiv:2107.03059. [Google Scholar] [CrossRef]
- Makki, B.; Chitti, K.; Behravan, A.; Alouini, M.S. A survey of NOMA: Current status and open research challenges. IEEE Open J. Commun. Soc. 2020, 1, 179–189. [Google Scholar] [CrossRef]
- Vaezi, M.; Amarasuriya, G.; Liu, Y.; Arafa, A.; Fang, F.; Ding, Z. Interplay between NOMA and other emerging technologies: A survey. IEEE Trans. Cogn. Commun. Netw. 2019, 5, 900–919. [Google Scholar] [CrossRef]
- Dai, L.; Wang, B.; Ding, Z.; Wang, Z.; Chen, S.; Hanzo, L. A survey of non-orthogonal multiple access for 5G. IEEE Commun. Surv. Tutor. 2018, 20, 2294–2323. [Google Scholar] [CrossRef]
- Islam, S.M.R.; Avazov, N.; Dobre, O.A.; Kwak, K. Power-domain non-orthogonal multiple access (NOMA) in 5G systems: Potentials and challenges. IEEE Commun. Surv. Tutor. 2017, 19, 721–742. [Google Scholar] [CrossRef]
- Veeravalli, V.V.; Gamal, A.E. Interference Management in Wireless Networks: Fundamental Bounds and the Role of Cooperation; Cambridge University Press: Cambridge, UK, 2018. [Google Scholar]
- Cover, T.M.; Tomas, J.A. Elements of Information Theory; John Wiley & Sons: Hoboken, NJ, USA, 2012. [Google Scholar]
- Cover, T. Broadcast channels. IEEE Trans. Inf. Theory 1972, 18, 2–14. [Google Scholar] [CrossRef]
- Costa, M. Writing on dirty paper (Corresp.). IEEE Trans. Inf. Theory 1983, 29, 439–441. [Google Scholar] [CrossRef]
- Erez, U.; Brink, S.t. A close-to-capacity dirty paper coding scheme. IEEE Trans. Inf. Theory 2005, 51, 3417–3432. [Google Scholar] [CrossRef]
- Cohen, A.S.; Lapidoth, A. Generalized writing on dirty paper. In Proceedings of the IEEE International Symposium on Information Theory, Lausanne, Switzerland, 30 June–5 July 2002; p. 227. [Google Scholar]
- Yu, W.; Kwon, T.; Shin, C. Multicell coordination via joint scheduling, beamforming, and power spectrum adaptation. IEEE Trans. Wirel. Commun. 2013, 12, 1–14. [Google Scholar] [CrossRef]
- Chen, J.; Mitra, U.; Gesbert, D. Optimal UAV relay placement for single user capacity maximization over terrain with obstacles. In Proceedings of the IEEE International Workshop on Signal Processing Advances in Wireless Communications, Cannes, France, 2–5 July 2019; pp. 1–5. [Google Scholar]
- Nikbakht, H.; Wigger, M.; Shamai, S. Multiplexing gain region of sectorized cellular networks with mixed delay constraints. In Proceedings of the IEEE International Workshop on Signal Processing Advances in Wireless Communications, Cannes, France, 2–5 July 2019. [Google Scholar]
- Levy, N.; Shamai, S. Clustered local decoding for Wyner-type cellular models. IEEE Trans. Inf. Theory 2009, 55, 4976–4985. [Google Scholar] [CrossRef]
- Zhou, L.; Yu, W. Uplink multicell processing with limited backhaul via per-base-station successive interference cancellation. IEEE J. Sel. Areas Commun. 2013, 31, 1981–1993. [Google Scholar] [CrossRef]
- Simeone, O.; Somekh, O.; Poor, H.V.; Shamai, S. Local base station cooperation via finite-capacity links for the uplink of linear cellular networks. IEEE Trans. Inf. Theory 2009, 55, 190–204. [Google Scholar] [CrossRef]
- Simeone, O.; Levy, N.; Sanderovich, A.; Somekh, O.; Zaidel, B.M.; Poor, H.V.; Shamai, S. Cooperative wireless cellular systems: An information-theoretic view. In Foundations and Trends in Communications and Information Theory; Now Publishers Inc.: Hanover, MA, USA, 2012; Volume 8, pp. 1–177. [Google Scholar]
- Egan, M.; Collings, I.B. Low complexity quantization codebooks for CoMP. In Proceedings of the IEEE International Symposium on Personal, Indoor, and Mobile Radio Communications, London, UK, 8–11 September 2013; pp. 1024–1028. [Google Scholar]
- Cohen, K.M.; Steiner, A.; Shamai, S. The broadcast approach under mixed delay constraints. In Proceedings of the IEEE International Symposium on Information Theory, Cambridge, MA, USA, 1–6 July 2012; pp. 209–213. [Google Scholar]
- Cohen, K.M.; Steiner, A.; Shamai, S. Broadcasting with mixed delay demands. In Proceedings of the IEEE 27th Convention of Electrical and Electronics Engineers in Israel, Eilat, Israel, 14–17 November 2012; pp. 1–5. [Google Scholar]
- Tajer, A.; Steiner, A.; Shamai, S. The broadcast approach in communication networks. Entropy 2021, 23, 120. [Google Scholar] [CrossRef]
- Nikbakht, H.; Egan, M.; Gorce, J.-M. Joint channel coding of consecutive messages with heterogeneous decoding deadlines in the finite blocklength regime. In Proceedings of the IEEE Wireless Communications and Networking Conference, Austin, TX, USA, 10–13 April 2022. [Google Scholar]
- Nikbakht, H.; Egan, M.; Gorce, J.-M. Dirty Paper Coding for Consecutive Messages with Heterogeneous Decoding Deadlines in the Finite Blocklength Regime. [Research Report] Inria—Research Centre Grenoble—Rhône-Alpes. Available online: https://hal.inria.fr/hal-03556888 (accessed on 1 February 2022).
- Erseghe, T. Coding in the finite-blocklength regime: Bounds based on Laplace integrals and their asymptotic approximations. IEEE Trans. Inf. Theory 2016, 62, 6854–6883. [Google Scholar] [CrossRef]
- Cohen, A.; Médard, M.; Shamai, S. Broadcast approach meets network coding for data streaming. arXiv 2022, arXiv:2202.03018v1. [Google Scholar]
- Polyanskiy, Y.; Poor, H.V.; Verdu, S. Channel coding rate in the finite blocklength regime. IEEE Trans. Inf. Theory 2010, 56, 2307–2359. [Google Scholar] [CrossRef]
- Scarlett, J. On the dispersions of the Gel’fand—Pinsker channel and dirty paper coding. IEEE Trans. Inf. Theory 2015, 61, 4569–4586. [Google Scholar] [CrossRef]
- Lin, P.H.; Lin, S.C.; Jorswieck, E.A. Early decoding for Gaussian broadcast channels with heterogeneous blocklength constraints. In Proceedings of the IEEE International Symposium on Information Theory, Melbourne, Australia, 12–20 July 2021; pp. 3243–3248. [Google Scholar]
- Nikbakht, H.; Wigger, M.; Shamai, S. Coordinated multi point transmission and reception for mixed delay traffic. IEEE Trans. Commun. 2021, 69, 8116–8131. [Google Scholar] [CrossRef]
- Nikbakht, H.; Wigger, M.; Shamai, S.; Gorce, J.-M. Cooperative encoding and decoding of mixed delay traffic under random-user activity. In Proceedings of the IEEE Information Theory Workshop, Kanazawa, Japan, 17–21 October 2021; pp. 1–6. [Google Scholar]
- Nikbakht, H.; Wigger, M.; Shamai, S. Random user activity with mixed delay traffic. In Proceedings of the IEEE Information Theory Workshop, Riva del Garda, Italy, 11–14 April 2021. [Google Scholar]
- Jafar, S.A. Interference Alignment: A New Look at Signal Dimensions in a Communication Network; Now Publishers Inc.: Hanover, MA, USA, 2011; Volume 7, pp. 1–134. [Google Scholar]
- Nikbakht, H.; Wigger, M.; Shamai, S. Multiplexing gains under mixed-delay constraints on Wyner’s soft-handoff model. Entropy 2020, 22, 182. [Google Scholar] [CrossRef]
- Somekh, O.; Simeone, O.; Poor, H.V.; Shamai, S. The two-tap input-erasure Gaussian channel and its application to cellular communications. In Proceedings of the Allerton Conference on Communication, Control, and Computing, Monticello, IL, USA, 23–26 September 2008. [Google Scholar]
- Levy, N.; Shamai, S. ‘Information theoretic aspects of users’ activity in a Wyner-like cellular model. IEEE Trans. Inf. Theory 2010, 56, 2241–2248. [Google Scholar] [CrossRef]
- Somekh, O.; Simeone, O.; Poor, H.V.; Shamai, S. Throughput of cellular uplink with dynamic user activity and cooperative base-stations. In Proceedings of the IEEE Information Theory Workshop, Taormina, Italy, 11–16 October 2009. [Google Scholar]
- Nikbakht, H.; Wigger, M.; Hachem, W.; Shamai, S. Mixed delay constraints on a fading C-RAN uplink. In Proceedings of the IEEE Information Theory Workshop, Visby, Sweden, 25–28 August 2019. [Google Scholar]
- Kassab, R.; Simeone, O.; Popovski, P. Coexistence of URLLC and eMBB services in the C-RAN uplink: An information-theoretic study. In Proceedings of the IEEE Global Communications Conference, Abu Dhabi, United Arab Emirates, 9–13 December 2018. [Google Scholar]
- Kassab, R.; Simeone, O.; Popovski, P.; Islam, T. Non-orthogonal multiplexing of ultra-reliable and broadband services in fog-radio architectures. IEEE Access 2019, 7, 13035–13049. [Google Scholar] [CrossRef]
- Wang, J.; Yuan, B.; Huang, L.; Jafar, S.A. GDoF of interference channel with limited cooperation under finite precision CSIT. arXiv 2019, arXiv:1908.00703. [Google Scholar]
- Chan, Y.; Wang, J.; Jafar, S.A. Towards an extremal network theory–robust GDoF gain of transmitter cooperation over TIN. IEEE Trans. Inf. Theory 2020, 66, 3827–3845. [Google Scholar] [CrossRef]
- Mary, P.; Gorce, J.; Unsal, A.; Poor, H.V. Finite blocklength information theory: What is the practical impact on wireless communications? In Proceedings of the IEEE Global Communications Conference, Washington, DC, USA, 4–8 December 2016. [Google Scholar]
- Steiner, A.; Shamai, S. On queuing and multilayer coding. IEEE Trans. Inf. Theory 2010, 56, 2392–2415. [Google Scholar] [CrossRef]
- Zou, S.; Liang, Y.; Lai, L.; Poor, H.V.; Shamai, S. Degraded broadcast channel with secrecy outside a bounded range. IEEE Trans. Inf. Theory 2018, 64, 2104–2120. [Google Scholar] [CrossRef]
- Langberg, M.; Effros, M. Beyond capacity: The joint time-rate region. arXiv 2021, arXiv:2101.12236v1. [Google Scholar]
- Verdu, S.; Shamai, S. Variable-rate channel capacity. IEEE Trans. Inf. Theory 2010, 56, 2651–2667. [Google Scholar] [CrossRef]
- Shulman, N.; Feder, M. Static broadcasting. In Proceedings of the IEEE International Symposium on Information Theory, Sorrento, Italy, 25–30 June 2000. [Google Scholar]

















| Survey | Year | Comments |
|---|---|---|
| [26] | 2020 | System level perspective on C-RANs. |
| [11] | 2014 | System level perspective on C-RANs. |
| [27] | 2019 | Overview of network slicing. |
| [28] | 2015 | Overview of 5G cellular interference management. |
| [29] | 2019 | Machine learning for interference management. |
| [30] | 2022 | Survey on rate-splitting in multiple access networks. |
| [2] | 2018 | Overview of eMBB and URLLC from a communications theory perspective. |
| [31] | 2018 | Survey on control channel design. |
| [32] | 2021 | Survey on communication theoretic aspects of 5G. |
| [33] | 2020 | Survey on NOMA. |
| [34] | 2019 | Survey on NOMA. |
| [35] | 2018 | Survey on NOMA. |
| [36] | 2016 | Survey on NOMA. |
Publisher’s Note: MDPI stays neutral with regard to jurisdictional claims in published maps and institutional affiliations. |
© 2022 by the authors. Licensee MDPI, Basel, Switzerland. This article is an open access article distributed under the terms and conditions of the Creative Commons Attribution (CC BY) license (https://creativecommons.org/licenses/by/4.0/).
Share and Cite
Nikbakht, H.; Wigger, M.; Egan, M.; Shamai, S.; Gorce, J.-M.; Poor, H.V. An Information-Theoretic View of Mixed-Delay Traffic in 5G and 6G. Entropy 2022, 24, 637. https://doi.org/10.3390/e24050637
Nikbakht H, Wigger M, Egan M, Shamai S, Gorce J-M, Poor HV. An Information-Theoretic View of Mixed-Delay Traffic in 5G and 6G. Entropy. 2022; 24(5):637. https://doi.org/10.3390/e24050637
Chicago/Turabian StyleNikbakht, Homa, Michèle Wigger, Malcolm Egan, Shlomo Shamai (Shitz), Jean-Marie Gorce, and H. Vincent Poor. 2022. "An Information-Theoretic View of Mixed-Delay Traffic in 5G and 6G" Entropy 24, no. 5: 637. https://doi.org/10.3390/e24050637
APA StyleNikbakht, H., Wigger, M., Egan, M., Shamai, S., Gorce, J.-M., & Poor, H. V. (2022). An Information-Theoretic View of Mixed-Delay Traffic in 5G and 6G. Entropy, 24(5), 637. https://doi.org/10.3390/e24050637

