Free-Space QKD with Modulating Retroreflectors Based on the B92 Protocol
Abstract
:1. Introduction
2. MRR-QKD with B92
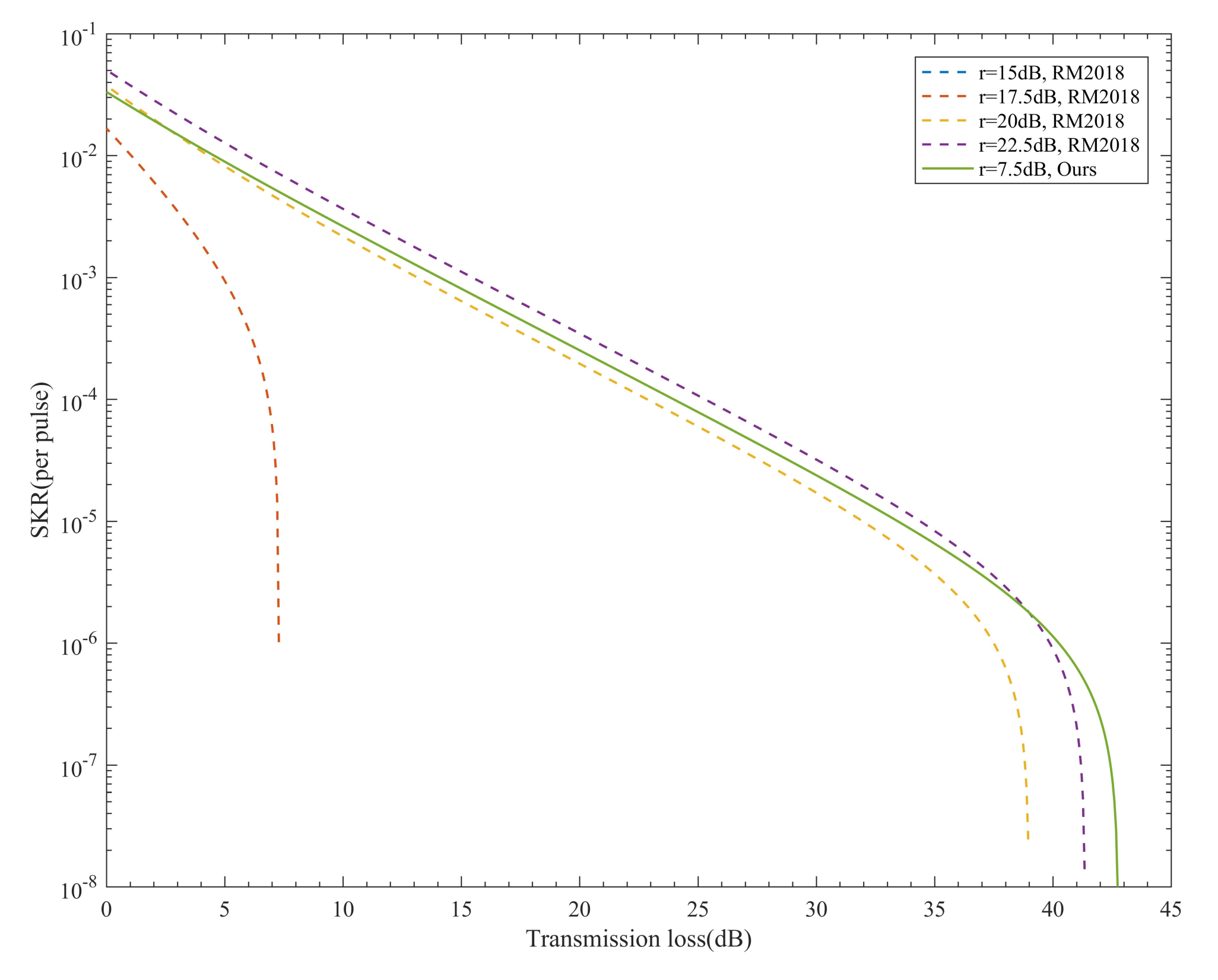
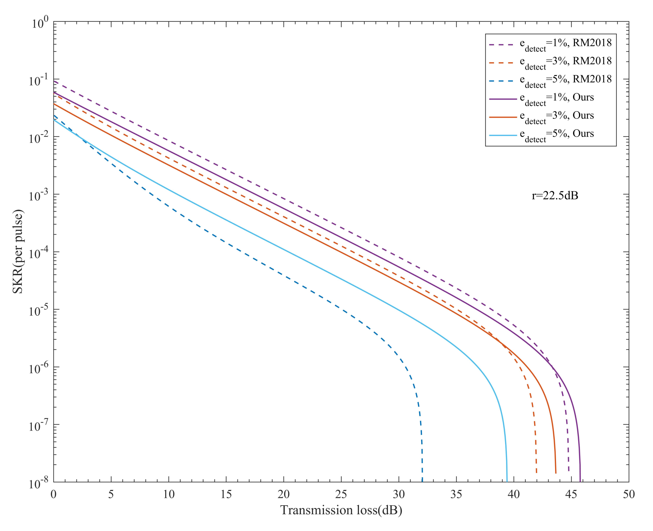
3. Results
4. Discussion
5. Conclusions
Author Contributions
Funding
Institutional Review Board Statement
Informed Consent Statement
Data Availability Statement
Acknowledgments
Conflicts of Interest
Appendix A


Appendix B

Appendix C

References
- Bennett, C.H.; Brassard, G. Quantum cryptography: Public key distribution and coin tossing. Theor. Comput. Sci. 2014, 560, 7–11. [Google Scholar] [CrossRef]
- Boaron, A.; Boso, G.; Rusca, D.; Vulliez, C.; Autebert, C.; Caloz, M.; Perrenoud, M.; Gras, G.; Bussières, F.; Li, M.J.; et al. Secure Quantum Key Distribution over 421 km of Optical Fiber. Phys. Rev. Lett. 2018, 121, 190502. [Google Scholar] [CrossRef] [PubMed] [Green Version]
- Fang, X.T.; Zeng, P.; Liu, H.; Zou, M.; Wu, W.; Tang, Y.L.; Sheng, Y.J.; Xiang, Y.; Zhang, W.; Li, H.; et al. Implementation of quantum key distribution surpassing the linear rate-transmittance bound. Nat. Photonics 2020, 14, 422–425. [Google Scholar] [CrossRef]
- Pittaluga, M.; Minder, M.; Lucamarini, M.; Sanzaro, M.; Woodward, R.I.; Li, M.J.; Yuan, Z.; Shields, A.J. 600-km repeater-like quantum communications with dual-band stabilization. Nat. Photonics 2021, 15, 530–535. [Google Scholar] [CrossRef]
- Nauerth, S.; Moll, F.; Rau, M.; Fuchs, C.; Horwath, J.; Frick, S.; Weinfurter, H. Air-to-ground quantum communication. Nat. Photonics 2013, 7, 382–386. [Google Scholar] [CrossRef]
- Liao, S.K.; Cai, W.Q.; Liu, W.Y.; Zhang, L.; Li, Y.; Ren, J.G.; Yin, J.; Shen, Q.; Cao, Y.; Li, Z.P.; et al. Satellite-to-ground quantum key distribution. Nature 2017, 549, 43–47. [Google Scholar] [CrossRef] [Green Version]
- Yin, J.; Li, Y.H.; Liao, S.K.; Yang, M.; Cao, Y.; Zhang, L.; Ren, J.G.; Cai, W.Q.; Liu, W.Y.; Li, S.L.; et al. Entanglement-based secure quantum cryptography over 1120 kilometres. Nature 2020, 582, 501–505. [Google Scholar] [CrossRef]
- Liao, S.K.; Cai, W.Q.; Handsteiner, J.; Liu, B.; Yin, J.; Zhang, L.; Rauch, D.; Fink, M.; Ren, J.G.; Liu, W.Y.; et al. Satellite-Relayed Intercontinental Quantum Network. Phys. Rev. Lett. 2018, 120, 030501. [Google Scholar] [CrossRef] [Green Version]
- Jacobs, B.C.; Franson, J.D. Quantum cryptography in free space. Opt. Lett. 1996, 21, 1854. [Google Scholar] [CrossRef]
- Chen, Y.A.; Zhang, Q.; Chen, T.Y.; Cai, W.Q.; Liao, S.K.; Zhang, J.; Chen, K.; Yin, J.; Ren, J.G.; Chen, Z.; et al. An integrated space-to-ground quantum communication network over 4,600 kilometres. Nature 2021, 589, 214–219. [Google Scholar] [CrossRef]
- Liao, S.K.; Lin, J.; Ren, J.G.; Liu, W.Y.; Qiang, J.; Yin, J.; Li, Y.; Shen, Q.; Zhang, L.; Liang, X.F.; et al. Space-to-Ground Quantum Key Distribution Using a Small-Sized Payload on Tiangong-2 Space Lab. Chin. Phys. Lett. 2017, 34, 090302. [Google Scholar] [CrossRef]
- Bedington, R.; Arrazola, J.M.; Ling, A. Progress in satellite quantum key distribution. NPJ Quantum Inf. 2017, 3, 30. [Google Scholar] [CrossRef]
- Oi, D.K.; Ling, A.; Vallone, G.; Villoresi, P.; Greenland, S.; Kerr, E.; Macdonald, M.; Weinfurter, H.; Kuiper, H.; Charbon, E.; et al. CubeSat quantum communications mission. EPJ Quantum Technol. 2017, 4, 6. [Google Scholar] [CrossRef] [Green Version]
- Takenaka, H.; Carrasco-Casado, A.; Fujiwara, M.; Kitamura, M.; Sasaki, M.; Toyoshima, M. Satellite-to-ground quantum-limited communication using a 50-kg-class microsatellite. Nat. Photonics 2017, 11, 502–508. [Google Scholar] [CrossRef] [Green Version]
- Villar, A.; Lohrmann, A.; Bai, X.; Vergoossen, T.; Bedington, R.; Perumangatt, C.; Lim, H.Y.; Islam, T.; Reezwana, A.; Tang, Z.; et al. Entanglement demonstration on board a nano-satellite. Optica 2020, 7, 734. [Google Scholar] [CrossRef]
- Rabinovich, W.S.; Mahon, R.; Ferraro, M.S.; Goetz, P.G.; Bashkansky, M.; Freeman, R.E.; Reintjes, J.; Murphy, J.L. Free space quantum key distribution using modulating retro-reflectors. Opt. Express 2018, 26, 11331. [Google Scholar] [CrossRef]
- Rarity, J.G.; Tapster, P.R.; Gorman, P.M.; Knight, P. Ground to satellite secure key exchange using quantum cryptography. New J. Phys. 2002, 4, 82. [Google Scholar] [CrossRef]
- Vallone, G.; Marangon, D.G.; Canale, M.; Savorgnan, I.; Bacco, D.; Barbieri, M.; Calimani, S.; Barbieri, C.; Laurenti, N.; Villoresi, P. Adaptive real time selection for quantum key distribution in lossy and turbulent free-space channels. Phys. Rev. A 2015, 91, 042320. [Google Scholar] [CrossRef]
- Wang, X.; Liu, W.; Wu, T.; Guo, C.; Zhang, Y.; Zhao, S.; Dong, C. Free Space Measurement Device Independent Quantum Key Distribution with Modulating Retro-Reflectors under Correlated Turbulent Channel. Entropy 2021, 23, 1299. [Google Scholar] [CrossRef]
- Wang, X.Y.; Wu, T.Y.; Dong, C.; Zhao, S.H.; Sun, Y. Prefixed-threshold real-time selection for correlated turbulent channel model for quantum key distribution with modulating retro-reflectors. Quantum Inf. Process. 2021, 20, 44. [Google Scholar] [CrossRef]
- Stievater, T.; Rabinovich, W.; Goetz, P.; Mahon, R.; Binari, S. A Surface-Normal Coupled-Quantum-Well Modulator at 1.55 μm. IEEE Photonics Technol. Lett. 2004, 16, 2036–2038. [Google Scholar] [CrossRef]
- Quintana, C.; Wang, Q.; Jakonis, D.; Piao, X.; Erry, G.; Platt, D.; Thueux, Y.; Gomez, A.; Faulkner, G.; Chun, H.; et al. High Speed Electro-Absorption Modulator for Long Range Retroreflective Free Space Optics. IEEE Photonics Technol. Lett. 2017, 29, 707–710. [Google Scholar] [CrossRef]
- Huang, J.; Yin, Z.; Wang, S.; Li, H.; Chen, W.; Han, Z. Effect of intensity modulator extinction on practical quantum key distribution system. Eur. Phys. J. D 2012, 66, 159. [Google Scholar] [CrossRef]
- Ghatak, A. Optics, 4th ed.; McGraw-Hill: New Delhi, India, 2009. [Google Scholar]
- Bennett, C.H. Quantum cryptography using any two nonorthogonal states. Phys. Rev. Lett. 1992, 68, 3121–3124. [Google Scholar] [CrossRef] [PubMed]
- Toyoshima, M.; Takenaka, H.; Shoji, Y.; Takayama, Y.; Koyama, Y.; Kunimori, H. Polarization measurements through space-to-ground atmospheric propagation paths by using a highly polarized laser source in space. Opt. Express 2009, 17, 22333. [Google Scholar] [CrossRef]
- Gordon, K.; Fernandez, V.; Townsend, P.; Buller, G. A short wavelength GigaHertz clocked fiber-optic quantum key distribution system. IEEE J. Quantum Electron. 2004, 40, 900–908. [Google Scholar] [CrossRef] [Green Version]
- Ma, X.; Qi, B.; Zhao, Y.; Lo, H.K. Practical decoy state for quantum key distribution. Phys. Rev. A 2005, 72, 012326. [Google Scholar] [CrossRef] [Green Version]
- Gobby, C.; Yuan, Z.L.; Shields, A.J. Quantum key distribution over 122 km of standard telecom fiber. Appl. Phys. Lett. 2004, 84, 3762–3764. [Google Scholar] [CrossRef]
- Tang, Z.-L.; Li, M.; Wei, Z.-J.; Lu, F.; Liao, C.-J.; Liu, S.-H. The quantum key distribution system based on polarization states produced by phase modulation. Acta Phys. Sin. 2005, 54, 2534. [Google Scholar] [CrossRef]
- Wang, J.Y.; Yang, B.; Liao, S.K.; Zhang, L.; Shen, Q.; Hu, X.F.; Wu, J.C.; Yang, S.J.; Jiang, H.; Tang, Y.L.; et al. Direct and full-scale experimental verifications towards ground–satellite quantum key distribution. Nat. Photonics 2013, 7, 387–393. [Google Scholar] [CrossRef]
- Schmitt-Manderbach, T.; Weier, H.; Fürst, M.; Ursin, R.; Tiefenbacher, F.; Scheidl, T.; Perdigues, J.; Sodnik, Z.; Kurtsiefer, C.; Rarity, J.G.; et al. Experimental demonstration of free-space decoy-state quantum key distribution over 144 km. Phys. Rev. Lett. 2007, 98, 010504. [Google Scholar] [CrossRef] [PubMed]
- Lydersen, L.; Skaar, J. Security of Quantum Key Distribution with BIT and Basis Dependent Detector Flaws. Quantum Inf. Comput. 2010, 10, 60–76. [Google Scholar] [CrossRef]
- Muller, A.; Herzog, T.; Huttner, B.; Tittel, W.; Zbinden, H.; Gisin, N. “Plug and play” systems for quantum cryptography. Appl. Phys. Lett. 1997, 70, 793–795. [Google Scholar] [CrossRef]
- Zhao, Y.; Qi, B.; Lo, H.K. Quantum key distribution with an unknown and untrusted source. Phys. Rev. A 2008, 77, 052327. [Google Scholar] [CrossRef] [Green Version]
- Peng, X.; Xu, B.; Guo, H. Passive-scheme analysis for solving the untrusted source problem in quantum key distribution. Phys. Rev. A 2010, 81, 042320. [Google Scholar] [CrossRef] [Green Version]
- Nikulin, V.V. Laser communication system with acousto-optic tracking and modulation: Experimental study. Opt. Eng. 2009, 48, 125001. [Google Scholar] [CrossRef]





| Symbol | Description | Value |
|---|---|---|
| wavelength | 1550 nm | |
| misalignment-error probability 1 | ||
| background rate | ||
| detection efficiency 2 | 1 | |
| f | error correction efficiency |
| Items | RM2018 | Our Scheme | Condition |
|---|---|---|---|
| Complexity | high | low | |
| Multiple quantum wells | 8 | 3 | |
| Protocol | BB84 | B92 | |
| SKR 1 | dB | ||
| dB | |||
| 0 | dB | ||
| 0 | dB | ||
| SKR 2 | |||
Publisher’s Note: MDPI stays neutral with regard to jurisdictional claims in published maps and institutional affiliations. |
© 2022 by the authors. Licensee MDPI, Basel, Switzerland. This article is an open access article distributed under the terms and conditions of the Creative Commons Attribution (CC BY) license (https://creativecommons.org/licenses/by/4.0/).
Share and Cite
Zhu, M.; Hu, M.; Guo, B. Free-Space QKD with Modulating Retroreflectors Based on the B92 Protocol. Entropy 2022, 24, 204. https://doi.org/10.3390/e24020204
Zhu M, Hu M, Guo B. Free-Space QKD with Modulating Retroreflectors Based on the B92 Protocol. Entropy. 2022; 24(2):204. https://doi.org/10.3390/e24020204
Chicago/Turabian StyleZhu, Minghao, Min Hu, and Banghong Guo. 2022. "Free-Space QKD with Modulating Retroreflectors Based on the B92 Protocol" Entropy 24, no. 2: 204. https://doi.org/10.3390/e24020204
APA StyleZhu, M., Hu, M., & Guo, B. (2022). Free-Space QKD with Modulating Retroreflectors Based on the B92 Protocol. Entropy, 24(2), 204. https://doi.org/10.3390/e24020204

