Applying Hybrid ARIMA-SGARCH in Algorithmic Investment Strategies on S&P500 Index
Abstract
:1. Introduction
- RQ1. Is the result obtained from the main test robust to varying family of GARCH models?
- RQ2. Does the hybrid model with EGARCH outperform the one with SGARCH?
- RQ3. Is the result obtained from the main test robust to varying window sizes?
- RQ4. Is the hybrid model sensitive to different window sizes?
- RQ5. Is the result obtained from the main test robust to varying distributions?
- RQ6. Is the hybrid model sensitive to different distributions?
2. Literature Review
2.1. Linear Forecasting Models—Autoregressive Integrated Moving Average Models
2.2. Non-Linear Forecasting Models
2.2.1. Autoregressive Conditional Heteroskedasticity—ARCH(q)
2.2.2. Generalized Autoregressive Conditional Heteroscedasticity—GARCH(p,q)
2.2.3. The Conditional Variance Equation: Exponential GARCH
2.2.4. Underlying Return Distributions
2.3. The Hybrid ARIMA-GARCH
3. Methodology and Data
3.1. Data Analysis
3.1.1. Data Fetching and Preprocessing of Historical Data
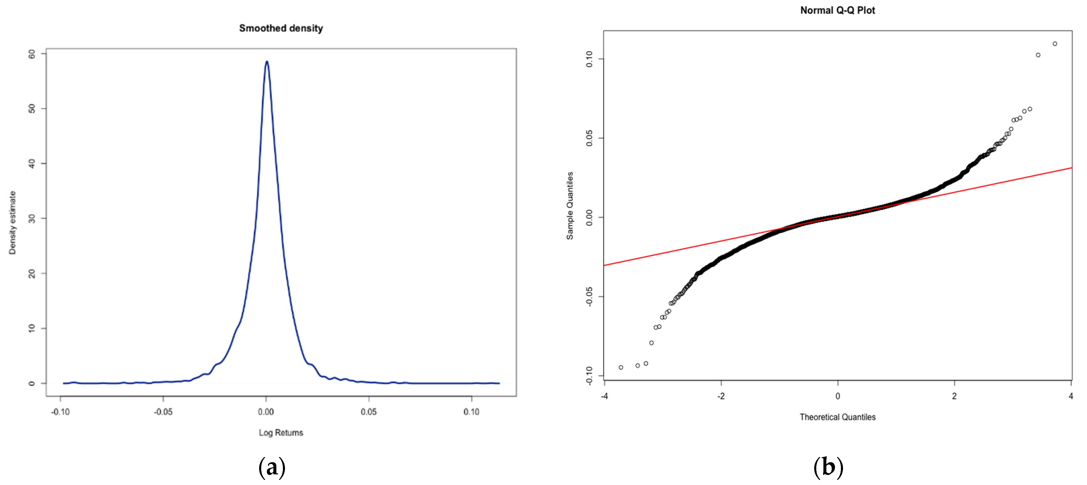
3.1.2. Descriptive Statistics
3.2. Methodology
3.2.1. Fundamental Concepts and Definitions
Autoregressive Moving Average Models—ARMA(p,q)
Autoregressive Integrated Moving Average Models—ARIMA(p,d,q)
The Autoregressive Conditional Heteroskedasticity—ARCH(q)
Generalized Autoregressive Conditional Heteroscedasticity—GARCH(p,q)
The Conditional Variance Equation: Exponential GARCH
The Hybrid ARIMA-GARCH
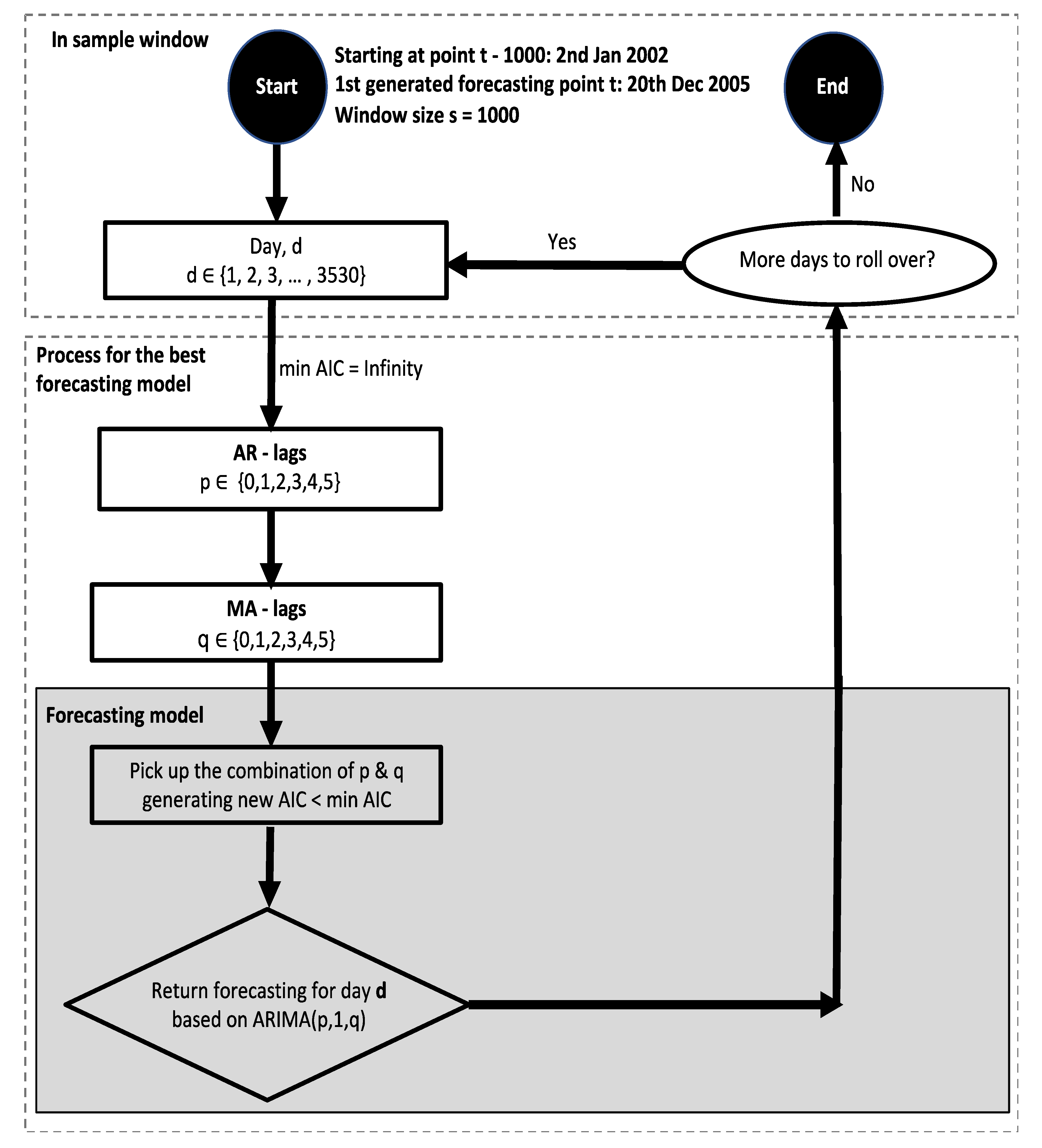
3.2.2. Overview of the Methodology and Input Parameters
3.2.3. The Implementation of Forecasting Models
ARIMA(p,1,q)
3.2.4. Dynamic ARIMA(p,1,q)-SGARCH(1,1)
3.2.5. Trading Strategy Criteria
3.2.6. Criteria and Evaluation of Statistic Fit and Forecasting
Akaike Information Criterion (AIC)
Error Metrics
Performance Statistics
4. Results and Robustness Tests
4.1. Results
4.2. Robustness Test
4.2.1. Varying Family of GARCH Models
4.2.2. Varying Window Sizes
4.2.3. Varying Distributions
5. Conclusions
Author Contributions
Funding
Institutional Review Board Statement
Informed Consent Statement
Data Availability Statement
Conflicts of Interest
References
- Sakowski, P.; Turovtseva, A. Verification of Investment Opportunities on the Cryptocurrency Market within the Markowitz Framework; Working Papers 2020-41; Faculty of Economic Sciences, University of Warsaw: Warsaw, Poland, 2020. [Google Scholar]
- Torre-Torres, O.V.; Venegas-Martínez, F.; Martínez-Torre-Enciso, M. Enhancing portfolio performance and VIX futures trading timing with markov-switching GARCH models. Mathematics 2021, 9, 185. [Google Scholar] [CrossRef]
- Guobužaitė, R.; Teresienė, D. Can Economic Factors Improve Momentum Trading Strategies? The Case of Managed Futures during the COVID-19 Pandemic. Economies 2021, 9, 86. [Google Scholar] [CrossRef]
- Ivanyuk, V. Formulating the concept of an investment strategy adaptable to changes in the market situation. Economies 2021, 9, 95. [Google Scholar] [CrossRef]
- Chlebus, M.; Dyczko, M.; Woźniak, M. Nvidia’s Stock Returns Prediction Using Machine Learning Techniques for Time Series Forecasting Problem. Cent. Eur. Econ. J. 2021, 8, 44–62. [Google Scholar] [CrossRef]
- Strickland, J. Predictive Analytics Using R; Published by Lulu, Inc.: Morrisville, NC, USA, 2014; ISBN 978-1-312-84101-7. [Google Scholar]
- Box, G.E.P.; Jenkins, G.M. Time Series Analysis Forecasting and Control; Holden Day: San Francisco, CA, USA, 1976. [Google Scholar]
- Ariyo, A.; Adewumi, A.; Ayo, C. Stock Price Prediction Using the ARIMA Model. In Proceedings of the UKSim-AMSS 16th International Conference on Computer Modelling and Simulation, Cambridge, UK, 26–28 March 2014; pp. 105–111. [Google Scholar] [CrossRef] [Green Version]
- Kamruzzaman, M.; Khudri, M.M.; Rahman, M.M. Modeling and Predicting Stock Market Returns: A Case Study on Dhaka Stock Exchange of Bangladesh. Dhaka Univ. J. Sci. 2017, 65, 97–101. [Google Scholar] [CrossRef]
- Abbasi, U.; Almarashi, A.; Khan, K.; Hanif, S. Forecasting cement stock prices using ARIMA model: A case study of flying cement. Sci. Int. 2017, 29, 1939-1043. [Google Scholar]
- Engle, R.F. Autoregressive conditional heteroscedasticity with estimates of the variance of United Kingdom inflation. Econometrica 1982, 50, 987–1007. [Google Scholar] [CrossRef]
- Ghani, I.M.; Rahim, H.A. Modeling and Forecasting of Volatility using ARIMA-GARCH: Case Study on Malaysia Natural Rubber Prices. IOP Conf. Ser. Mater. Sci. Eng. 2018, 548, 012023. [Google Scholar] [CrossRef]
- Chua, C.L.; Tsiaplias, S. Information flows and stock market volatility. J. Econom. 2019, 34, 129–148. [Google Scholar] [CrossRef] [Green Version]
- Jansen, S. Machine Learning for Algorithmic Trading: Predictive Models to Extract Signals from Market and Alternative Data for Systematic Trading Strategies with Python, 2nd ed.; Packt Publishing Ltd.: Birmingham, UK, 2020. [Google Scholar]
- Tsay, R.S. An Introduction to Analysis of Financial Data with R; John Wiley & Sons: Street Hoboken, NJ, USA, 2012. [Google Scholar]
- Bollerslev, T. Generalized autoregressive conditional heteroscedasticity. J. Econom. 1986, 31, 307–327. [Google Scholar] [CrossRef] [Green Version]
- Engle, R.F. GARCH 101: The Use of ARCH/GARCH Models in Applied Econometrics. J. Econ. Perspect. 2001, 15, 157–168. [Google Scholar] [CrossRef] [Green Version]
- Engle, R.F.; Ng, V.K.; Rothschild, M. Asset pricing with a factor-ARCH covariance structure: Empirical estimates for treasury bills. J. Econom. 1990, 45, 213–237. [Google Scholar] [CrossRef] [Green Version]
- Higgins, M.L.; Bera, A.K. A class of nonlinear ARCH models. Int. Econ. Rev. 1992, 33, 137–158. [Google Scholar] [CrossRef]
- Glosten, L.R.; Jagannathan, R.; Runkle, D.E. On the relation between the expected value and the volatility of the nominal excess return on stocks. J. Financ. 1993, 48, 1779–1801. [Google Scholar] [CrossRef]
- Sentana, E. Quadratic ARCH Models. Rev. Econ. Stud. 1995, 62, 639–661. [Google Scholar] [CrossRef]
- Nelson, D.B. Conditional Heteroskedasticity in Asset Returns: A New Approach. Econometrica 1991, 59, 347–370. [Google Scholar] [CrossRef]
- Wilhelmsson, A. Garch Forecasting Performance under Different Distribution Assumptions. J. Forecast. 2006, 25, 561–578. [Google Scholar] [CrossRef] [Green Version]
- Bollerslev, T. A Conditionally Heteroskedastic Time Series Model for Speculative Prices and Rates of Return. Rev. Econ. Stat. 1987, 69, 542–547. [Google Scholar] [CrossRef] [Green Version]
- Weiss, A.A. ARMA Models With ARCH Errors. J. Time Ser. Anal. 1984, 5, 129–143. [Google Scholar] [CrossRef]
- Jabłecki, J.; Kokoszczyński, R.; Sakowski, P.; Ślepaczuk, R.; Wójcik, P. Volatility as an Asset Class: Obvious Benefits and Hidden Risks; Peter Lang: Frankfurt am Main, Germany, 2015; ISBN 978-3-653-97884-1. [Google Scholar] [CrossRef]
- Castellano Gomez, S.; Ślepaczuk, R. Optimisation in algorithmic investment strategies. Work. Pap. Fac. Econ. Sci. Univ. Wars. 2021. Available online: https://www.wne.uw.edu.pl/application/files/8616/3847/9793/WNE_WP375.pdf (accessed on 19 December 2021).
- Hauser, M.; Kunst, R. Fractionally Integrated Models with ARCH Errors: With an Application to the Swiss One-Month Euromarket Interest Rate. Rev. Quant. Financ. Account. 1998, 10, 95–113. [Google Scholar] [CrossRef]
- Kijewski, M.; Ślepaczuk, R. Predicting prices of S&P500 index using classical methods and recurrent neural networks. Work. Pap. Fac. Econ. Sci. Univ. Wars. 2020. Available online: https://www.wne.uw.edu.pl/index.php/download_file/5769/4919/ (accessed on 15 July 2021).
- Yaziz, S.R.; Azizan, N.A.; Zakaria, R.; Ahmad, M. The performance of hybrid ARIMA-GARCH modeling in forecasting gold price. In Proceedings of the 20th International Congress on Modelling And Simulation, Adelaide, Australia, 1–6 December 2013; pp. 1201–1207. [Google Scholar]
- Sun, K. Equity Return Modeling and Prediction Using Hybrid ARIMA-GARCH Model. Int. J. Financ. Res. 2017, 8, 154–161. [Google Scholar] [CrossRef]
- Ismail, M.T.; Mustapa, F. Modelling and Forecasting S&P500 Stock Prices Using Hybrid ARIMA-GARCH Model. J. Phys. Conf. Ser. 2019, 1366, 012130. [Google Scholar] [CrossRef]
- Shumway, R.H.; Stoffer, D.S. Time Series Analysis and Its Applications With R Examples, 2nd ed.; Springer: Berlin/Heidelberg, Germany, 2000. [Google Scholar]
- Brooks, C. Introductory Econometrics for Finance, 2nd ed.; Cambridge University Press: Cambridge, UK, 2008. [Google Scholar]
- Bollerslev, T.; Chou, R.; Kroner, K.F. ARCH Modeling in Finance: A Review of The Theory and Empirical Evidence. J. Econom. 1992, 52, 5–59. [Google Scholar] [CrossRef]
- Allison, P.D. Multiple Regression: A Primer; Pine Forge Press: Thousand Oaks, CA, USA, 1999. [Google Scholar]
- Mandelbrot, B. The Variation of Certain Speculative Prices. J. Bus. 1963, 36, 394–419. [Google Scholar] [CrossRef]
- Kość, K.; Sakowski, P.; Ślepaczuk, R. Momentum and Contrarian Effects on the Cryptocurrency Market. Phys. A Stat. Mech. Its Appl. 2019, 523, 691–701. [Google Scholar] [CrossRef] [Green Version]
- Zenkova, M.; Ślepaczuk, R. Robustness of Support Vector Machines in Algorithmic Trading on Cryptocurrency Market. Cent. Eur. Econ. J. 2018, 5, 186–205. [Google Scholar] [CrossRef] [Green Version]
- Michańków, J.; Sakowski, P.; Ślepaczuk, R. The comparison of LSTM in algorithmic investment strategies on BTC and SP500 index on various frequencies. Sensors 2022, in press. [Google Scholar]
- Bui, Q.; Ślepaczuk, R. Applying Hurst Exponent in Pair Trading Strategies on Nasdaq 100 index. Phys. A Stat. Mech. Its Appl. 2021, 592, 126784. [Google Scholar] [CrossRef]
- Batrancea, L. An Econometric Approach Regarding the Impact of Fiscal Pressure on Equilibrium: Evidence from Electricity, Gas and Oil Companies Listed on the New York Stock Exchange. Mathematics 2021, 9, 630. [Google Scholar] [CrossRef]












| Descript Statistics | S&P500 Original Prices | Log Returns |
|---|---|---|
| Min | 676.5300 | −0.0947 |
| 1st Quantile | 1151.5349 | −0.0047 |
| Median | 1360.9550 | 0.0005 |
| Arithmetic Mean | 1574.6801 | 0.0002 |
| 3rd Quantile | 1986.2225 | 0.0057 |
| Max | 3240.0200 | 0.1096 |
| Skew | 0.9886 | −0.2295 |
| Kurtosis | −0.0715 | 8.6448 |
| Standard Error Mean (se) | 8.2559 | 0.0002 |
| Standard Deviation (sd) | 585.5315 | 0.0119 |
| Parameters | Values |
|---|---|
| Sample sizes | s ∈ {500, 1000, 1500} (days) |
| Distribution | Generalized Error Distribution (GED) Skewed Normal Distribution (SNORM) Skewed Generalized Error Distribution (SGED) Skewed Student t Distribution (SSTD) |
| xGARCH MODEL | x ∈ {SGARCH, eGARCH} (x represents the type of tested GARCH model. In other words, x is either symmetric (s)GARCH or exponential (e)GARCH. |
| Error Metrics | Performance Statistics | ||||||||
|---|---|---|---|---|---|---|---|---|---|
| METHOD | MAE | MSE | RMSE | MAPE | ARC | ASD | MD | IR | IR* |
| BUY&HOLD S&P500 | 6.931% | 18.826% | 56.775% | 0.368 | 0.045 | ||||
| ARIMA 1000 | 12.122 | 310.372 | 17.617 | 0.00775 | 8.084% | 18.878% | 50.007% | 0.428 | 0.069 |
| SGARCH.GED 1000 | 11.831 | 303.044 | 17.408 | 0.00754 | 14.026% | 18.893% | 25.885% | 0.742 | 0.402 |
| Error Metrics | Performance Statistics | ||||||||
|---|---|---|---|---|---|---|---|---|---|
| METHOD | MAE | MSE | RMSE | MAPE | ARC | ASD | MD | IR | IR* |
| BUY & HOLD S&P500 | 6.931% | 18.826% | 56.775% | 0.368 | 0.045 | ||||
| ARIMA 1000 | 12.122 | 310.372 | 17.617 | 0.00775 | 8.084% | 18.878% | 50.007% | 0.428 | 0.069 |
| SGARCH.GED 1000 | 11.831 | 303.044 | 17.408 | 0.00754 | 14.026% | 18.893% | 25.885% | 0.742 | 0.402 |
| EGARCH.GED 1000 | 11.828 | 301.745 | 17.371 | 0.00753 | 11.010% | 18.901% | 29.150% | 0.582 | 0.220 |
| Error Metrics | Performance Statistics | ||||||||
|---|---|---|---|---|---|---|---|---|---|
| METHOD | MAE | MSE | RMSE | MAPE | ARC | ASD | MD | IR | IR* |
| BUY & HOLD S&P500 | 6.931% | 18.826% | 56.775% | 0.368 | 0.045 | ||||
| ARIMA 500 | 12.216 | 318.342 | 17.842 | 0.00777 | −0.573% | 18.830% | 46.471% | −0.030 | 0.000 |
| SGARCH.GED 500 | 11.91 | 307.812 | 17.545 | 0.00758 | 5.912% | 18.871% | 35.666% | 0.313 | 0.052 |
| ARIMA 1000 | 12.122 | 310.372 | 17.617 | 0.00775 | 8.084% | 18.878% | 50.007% | 0.428 | 0.069 |
| SGARCH.GED 1000 | 11.831 | 303.044 | 17.408 | 0.00753 | 14.026% | 18.893% | 25.885% | 0.742 | 0.402 |
| ARIMA 1500 | 12.069 | 308.983 | 17.578 | 0.00771 | 5.005% | 18.852% | 50.733% | 0.265 | 0.026 |
| SGARCH.GED 1500 | 11.825 | 303.298 | 17.415 | 0.00753 | 12.186% | 18.896% | 25.885% | 0.645 | 0.304 |
| Error Metrics | Performance Statistics | ||||||||
|---|---|---|---|---|---|---|---|---|---|
| METHOD | MAE | MSE | RMSE | MAPE | ARC | ASD | MD | IR | IR* |
| BUY & HOLD S&P500 | 6.931% | 18.826% | 56.775% | 0.368 | 0.045 | ||||
| ARIMA 1000 | 12.122 | 310.372 | 17.617 | 0.00775 | 8.084% | 18.879% | 50.007% | 0.428 | 0.069 |
| SGARCH.GED 1000 | 11.831 | 303.044 | 17.408 | 0.00754 | 14.026% | 18.893% | 25.885% | 0.742 | 0.402 |
| SGARCH.SNORM 1000 | 11.880 | 303.151 | 17.411 | 0.00758 | 8.987% | 18.890% | 33.079% | 0.476 | 0.129 |
| SGARCH.SSTD 1000 | 11.928 | 305.642 | 17.483 | 0.00762 | 8.860% | 18.881% | 28.373% | 0.469 | 0.147 |
| SGARCH.SGED 1000 | 11.848 | 302.362 | 17.389 | 0.00755 | 9.201% | 18.859% | 37.566% | 0.488 | 0.119 |
Publisher’s Note: MDPI stays neutral with regard to jurisdictional claims in published maps and institutional affiliations. |
© 2022 by the authors. Licensee MDPI, Basel, Switzerland. This article is an open access article distributed under the terms and conditions of the Creative Commons Attribution (CC BY) license (https://creativecommons.org/licenses/by/4.0/).
Share and Cite
Vo, N.; Ślepaczuk, R. Applying Hybrid ARIMA-SGARCH in Algorithmic Investment Strategies on S&P500 Index. Entropy 2022, 24, 158. https://doi.org/10.3390/e24020158
Vo N, Ślepaczuk R. Applying Hybrid ARIMA-SGARCH in Algorithmic Investment Strategies on S&P500 Index. Entropy. 2022; 24(2):158. https://doi.org/10.3390/e24020158
Chicago/Turabian StyleVo, Nguyen, and Robert Ślepaczuk. 2022. "Applying Hybrid ARIMA-SGARCH in Algorithmic Investment Strategies on S&P500 Index" Entropy 24, no. 2: 158. https://doi.org/10.3390/e24020158
APA StyleVo, N., & Ślepaczuk, R. (2022). Applying Hybrid ARIMA-SGARCH in Algorithmic Investment Strategies on S&P500 Index. Entropy, 24(2), 158. https://doi.org/10.3390/e24020158
