EXK-SC: A Semantic Communication Model Based on Information Framework Expansion and Knowledge Collision
Abstract
1. Introduction and Overview
- We generalize the work of Choi and Park from a single fixed semantic type to a dynamic expansion mode, associated with knowledge collision, which can reflect the asynchronous knowledge update processes between the sender and the receiver to some degree. In addition, it also takes into account the effect of channel noise in the new model.
- We present a new measure related to the semantic communication system based on the framework with semantic expansion and knowledge collision, called the Measure of Comprehension and Interpretation, which can be used to quantify the semantic entropy of discrete sources.
- We discuss the additional gains from semantic expansion and find the relationship between the semantic expansion and the transmission information rate. We demonstrate that knowledge matching of its asynchronous scaling up plays a key role in semantic communications.
2. Related Work
2.1. Preliminaries
2.2. Semantic Information Theory
2.3. Semantic Communication as a Lewis Signaling Game with Knowledge Bases
3. Semantic Communication Models
3.1. Motivation
3.2. Basic Model
- Semantic Types: , is a random variable that is generated by Alice.
- Signals: , is a signal that Alice sends to Bob.
- Responses: , is a response that Bob chooses.
- Knowledge instances: and represent the knowledge instance used by Alice and Bob during semantic encoding and decoding, respectively.
- , the mutual information between the input and output of the channel. It corresponds to the channel capacity in Shannon’s information theory.
- , the mutual information between and given S and . It indicates the amount of information that two knowledge instances contain about each other when signals are known.
- , the conditional mutual information between S and , and .
- The explicit channel is noiseless, i.e., . In this setting, the Formula (10) can be simplified towhich is consistent with the result in [5]. The mutual information between T and is subjected to the entropy of the signal S and the conditional mutual information between and given S. In semantic communications or emergent communications, the signal S is usually limited. According to Equation (17), one can increase the conditional mutual information between and to solve the problem from another perspective. In other words, in the case of limited technical bandwidth, the SC performance can be improved by increasing the similarity between two knowledge instances.
- The implicit channel is noiseless, i.e., . This means that Alice and Bob have the same knowledge instance, so the communication performance will not be affected by the difference in the background of both parties. can be expressed as follows:where is the mutual information between , S and . Even when the implicit channel is noiseless, is not exactly equal to , and we cannot ignore the influence of knowledge in SC. Compared to Shannon’s channel capacity, it adds a term, regulated by the relationship between the knowledge instance and the signal.
- III.
- Both explicit and implicit channels are noiseless, i.e., . In this setting, the mutual information between T and equals the entropy of T or ,Equation (22) indicates that Bob can perfectly understand the meaning of Alice when channels are noiseless. That is, no information is lost.
3.3. EXK-SC Model
4. Experiment and Numerical Results
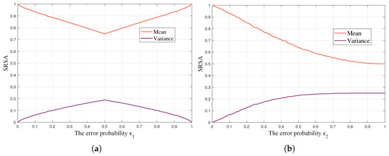
- Case I: , and . The implicit channel is noiseless. Bob has the same asynchronous knowledge scaling-up updates mode as Alice. That is, the receiver has all the knowledge of the sender.
- Case II: (with error probability 0.5), and . The receiver has partial knowledge of the sender.
- Case III: , (with error probability 0.5) and . The receiver has partial knowledge of the sender.
- Case IV: , and . The collision factors are not equal to this.
5. Conclusions
Author Contributions
Funding
Institutional Review Board Statement
Informed Consent Statement
Data Availability Statement
Acknowledgments
Conflicts of Interest
Appendix A. Proof of the Mutual Information for Three Special Channel Cases
- The explicit channel is noiseless. Since , we have and . Moreover, S is a function of , it follows that . Similarly, is also a function of S, and we obtain . Thus, the formula (10) can be simplified to
- The implicit channel is noiseless. Since , the mutual information between T and is written as follows:It can also be expressed as follows:
- Both explicit and implicit channels are noiseless, i.e.,. In this setting, we have . Thus, Equation (17) is written as follows:Similarly, we also obtain .
References
- Shannon, C.E. A mathematical theory of communication. Bell Syst. Tech. J. 1948, 27, 379–423. [Google Scholar] [CrossRef]
- Cover, T.M.; Thomas, J.A. Elements of Information Theory; John Wiley & Sons: Hoboken, NJ, USA, 1991. [Google Scholar]
- Shi, G.; Xiao, Y.; Li, Y.; Xie, X. From semantic communication to semantic-aware networking: Model, architecture, and open problems. IEEE Commun. Mag. 2021, 59, 44–50. [Google Scholar] [CrossRef]
- Weaver, W. Recent contributions to the mathematical theory of communication. ETC A Rev. Gen. Semant. 1953, 261–281. [Google Scholar]
- Choi, J.; Park, J. Semantic Communication as a Signaling Game with Correlated Knowledge Bases. arXiv 2022, arXiv:2209.00280. [Google Scholar]
- Carnap, R.; Bar-Hillel, Y. An Outline of a Theory of Semantic Information; Research Laboratory of Electronics, Massachusetts Institute of Technology: Cambridge, MA, USA, 1952. [Google Scholar]
- Bao, J.; Basu, P.; Dean, M.; Partridge, C.; Swami, A.; Leland, W.; Hendler, J.A. Towards a theory of semantic communication. In Proceedings of the 2011 IEEE Network Science Workshop, West Point, NY, USA, 22–24 June 2011; pp. 110–117. [Google Scholar]
- Floridi, L. Outline of a theory of strongly semantic information. Minds Mach. 2004, 14, 197–221. [Google Scholar] [CrossRef]
- Qin, Z.; Tao, X.; Lu, J.; Li, G.Y. Semantic communications: Principles and challenges. arXiv 2021, arXiv:2201.01389. [Google Scholar]
- Shi, G.; Gao, D.; Song, X.; Chai, J.; Yang, M.; Xie, X.; Li, L.; Li, X. A new communication paradigm: From bit accuracy to semantic fidelity. arXiv 2021, arXiv:2101.12649. [Google Scholar]
- D’Alfonso, S. On quantifying semantic information. Information 2011, 2, 61–101. [Google Scholar] [CrossRef]
- Kolchinsky, A.; Wolpert, D.H. Semantic information, autonomous agency and non-equilibrium statistical physics. Interface Focus 2018, 8, 20180041. [Google Scholar] [CrossRef] [PubMed]
- Kountouris, M.; Pappas, N. Semantics-empowered communication for networked intelligent systems. IEEE Commun. Mag. 2021, 59, 96–102. [Google Scholar] [CrossRef]
- Tucker, M.; Shah, J.; Levy, R.; Zaslavsky, N. Towards Human-Agent Communication via the Information Bottleneck Principle. arXiv 2022, arXiv:2207.00088. [Google Scholar]
- Liu, J.; Zhang, W.; Poor, H.V. A rate-distortion framework for characterizing semantic information. In Proceedings of the 2021 IEEE International Symposium on Information Theory (ISIT), Virtual, 12–20 July 2021; pp. 2894–2899. [Google Scholar]
- Chen, J.; Yu, L.; Wang, J.; Shi, W.; Ge, Y.; Tong, W. On the Rate-Distortion-Perception Function. arXiv 2022, arXiv:2204.06049. [Google Scholar]
- Stavrou, P.A.; Kountouris, M. A rate distortion approach to goal-oriented communication. In Proceedings of the 2022 IEEE International Symposium on Information Theory (ISIT), Espoo, Finland, 26 June–1 July 2022; pp. 590–595. [Google Scholar]
- Weng, Z.; Qin, Z. Semantic communication systems for speech transmission. IEEE J. Sel. Areas Commun. 2021, 39, 2434–2444. [Google Scholar] [CrossRef]
- Huang, D.; Tao, X.; Gao, F.; Lu, J. Deep learning-based image semantic coding for semantic communications. In Proceedings of the 2021 IEEE Global Communications Conference (GLOBECOM), Madrid, Spain, 7–11 December 2021; pp. 1–6. [Google Scholar]
- Zhou, Q.; Li, R.; Zhao, Z.; Peng, C.; Zhang, H. Semantic communication with adaptive universal transformer. IEEE Wireless Commun. Lett. 2021, 11, 453–457. [Google Scholar] [CrossRef]
- Zhang, H.; Shao, S.; Tao, M.; Bi, X.; Letaief, K.B. Deep Learning-Enabled Semantic Communication Systems with Task-Unaware Transmitter and Dynamic Data. arXiv 2022, arXiv:2205.00271. [Google Scholar] [CrossRef]
- Catteeuw, D.; Manderick, B. The limits and robustness of reinforcement learning in Lewis signalling games. Connect. Sci. 2014, 26, 161–177. [Google Scholar] [CrossRef]




Publisher’s Note: MDPI stays neutral with regard to jurisdictional claims in published maps and institutional affiliations. |
© 2022 by the authors. Licensee MDPI, Basel, Switzerland. This article is an open access article distributed under the terms and conditions of the Creative Commons Attribution (CC BY) license (https://creativecommons.org/licenses/by/4.0/).
Share and Cite
Xin, G.; Fan, P. EXK-SC: A Semantic Communication Model Based on Information Framework Expansion and Knowledge Collision. Entropy 2022, 24, 1842. https://doi.org/10.3390/e24121842
Xin G, Fan P. EXK-SC: A Semantic Communication Model Based on Information Framework Expansion and Knowledge Collision. Entropy. 2022; 24(12):1842. https://doi.org/10.3390/e24121842
Chicago/Turabian StyleXin, Gangtao, and Pingyi Fan. 2022. "EXK-SC: A Semantic Communication Model Based on Information Framework Expansion and Knowledge Collision" Entropy 24, no. 12: 1842. https://doi.org/10.3390/e24121842
APA StyleXin, G., & Fan, P. (2022). EXK-SC: A Semantic Communication Model Based on Information Framework Expansion and Knowledge Collision. Entropy, 24(12), 1842. https://doi.org/10.3390/e24121842
