Resting-State EEG in Alpha Rhythm May Be Indicative of the Performance of Motor Imagery-Based Brain–Computer Interface
Abstract
1. Introduction
2. Materials and Methods
2.1. Database Introduction
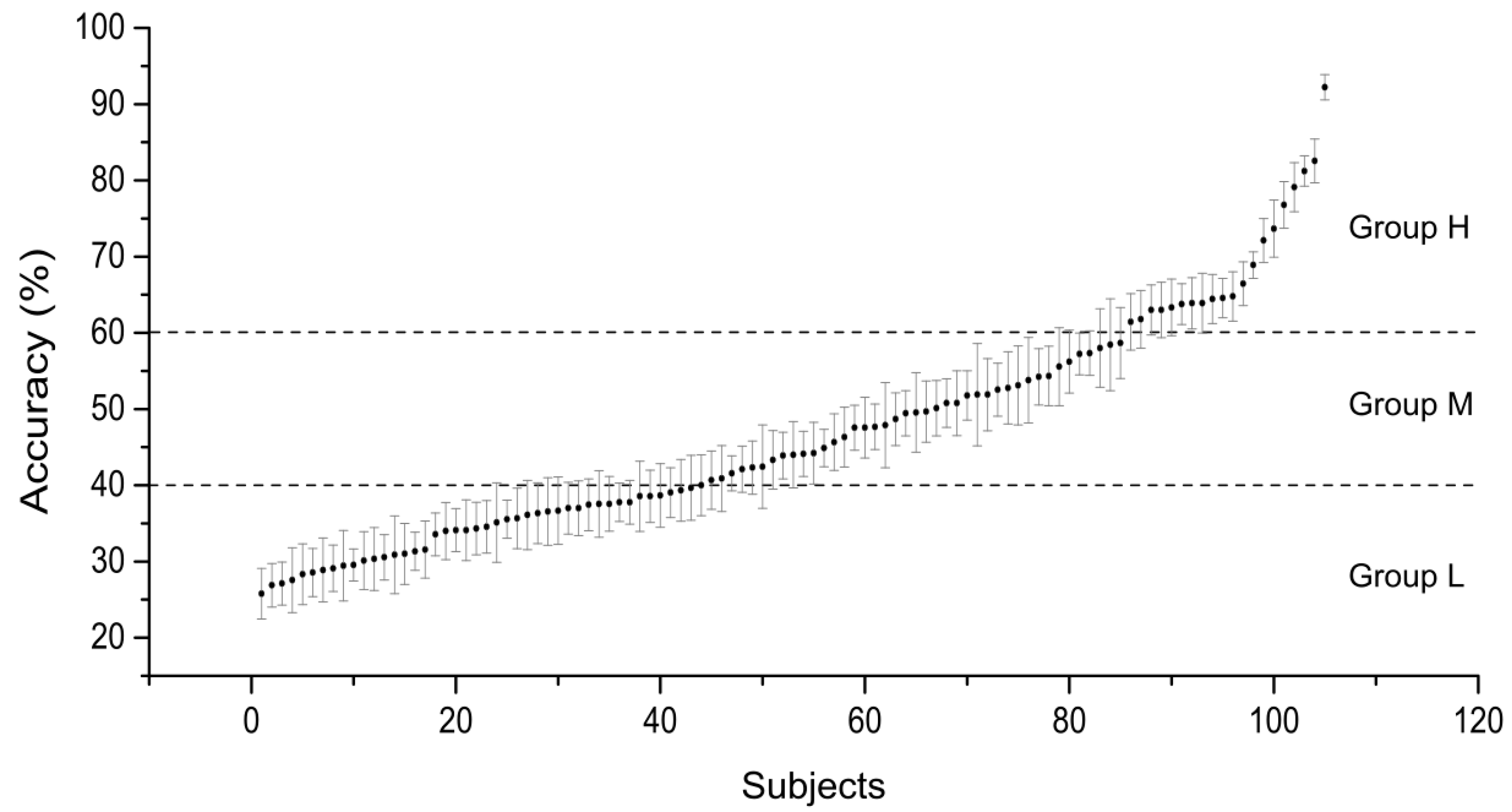
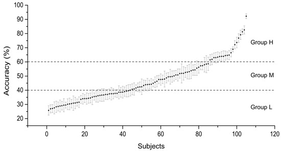
2.2. Subject Grouping
2.3. Resting-State Signal Processing
3. Results
3.1. Correlation Analysis
3.2. Screening Model of the MI Performance
4. Discussion
5. Conclusions
Author Contributions
Funding
Institutional Review Board Statement
Data Availability Statement
Conflicts of Interest
References
- Wolpaw, J.; Wolpaw, E.W. Brain-Computer Interfaces: Principles and Practice; Oxford University Press: New York, NY, USA, 2012; p. 4. [Google Scholar]
- Minpeng, X.; Feng, H.; Tzyy-Ping, J.; Xiaosong, G.; Dong, M. Current Challenges for the Practical Application of Electroencephalography-Based Brain–Computer Interfaces. Engineering 2021, 7, 1710–1712. [Google Scholar]
- Biasiucci, A.; Leeb, R.; Iturrate, I.; Perdikis, S.; Al-Khodairy, A.; Corbet, T.; Schnider, A.; Schmidlin, T.; Zhang, H.; Bassolino, M.; et al. Brain-actuated functional electrical stimulation elicits lasting arm motor recovery after stroke. Nat. Commun. 2018, 9, 2421. [Google Scholar]
- Pfurtscheller, G.; Da Silva, F.H.L. Event-related EEG/MEG synchronization and desynchronization: Basic principles. Neurophysiol. Clin. 1999, 110, 1842–1857. [Google Scholar] [CrossRef]
- Sébastien, R.; David, T.; Fabien, L. Is Event-Related Desynchronization variability correlated with BCI performance? In Proceedings of the MetroXRAINE 2022-IEEE International Conference on Metrology for eXtended Reality, Artificial Intelligence, and Neural Engineering, Rome, Italy, 26–28 October 2022. [Google Scholar]
- Giles, J.; Ang, K.K.; Phua, K.S.; Arvaneh, M. A transfer learning algorithm to reduce brain-computer interface calibration time for long-term users. Front Neuroerg. 2022, 3, 837307. [Google Scholar] [CrossRef]
- Rimbert, S.; Gayraud, N.; Bougrain, L.; Clerc, M.; Fleck, S. Can a Subjective Questionnaire Be Used as Brain-Computer Interface Performance Predictor? Front. Hum. Neurosci. 2018, 12, 529. [Google Scholar] [CrossRef]
- Sannelli, C.; Vidaurre, C.; Müller, K.R.; Blankertz, B. A large scale screening study with a SMR-based BCI: Categorization of BCI users and differences in their SMR activity. PLoS ONE 2019, 14, e0207351. [Google Scholar] [CrossRef]
- Kaiser, V.; Bauernfeind, G.; Kreilinger, A.; Kaufmann, T.; Kübler, A.; Neuper, C.; Müller-Putza, G.R. Cortical effects of user training in a motor imagery based brain-computer interface measured by fNIRS and EEG. Neuroimage 2014, 85, 432–444. [Google Scholar] [CrossRef]
- Lotte, F.; Jeunet, C. Defining and quantifying users’ mental imagery-based BCI skills: A first step. J. Neural Eng. 2018, 15, 046030. [Google Scholar] [CrossRef]
- Lee, M.; Yoon, J.G.; Lee, S.W. Predicting motor imagery performance from resting-state EEG using dynamic causal modeling. Front. Hum. Neurosci. 2020, 14, 321. [Google Scholar] [CrossRef]
- Daum, I.; Rockstroh, B.; Birbaumer, N.; Elbert, T.; Canavan, A.; Lutzenberger, W. Behavioural treatment of slow cortical potentials in intractable epilepsy: Neuropsychological predictors of outcome. J. Neurol. Neurosurg. Psychiatry 1993, 56, 94–97. [Google Scholar] [CrossRef][Green Version]
- Burde, W.; Blankertz, B. Is the locus of control of reinforcement a predictor of brain-computer interface performance? In Proceedings of the 3rd International Brain-Computer Interface Workshop and Training Course, Graz, Austria, 21–24 September 2006. [Google Scholar]
- Hammer, E.M.; Halder, S.; Blankertz, B.; Sannelli, C.; Dickhaus, T.; Kleih, S.; Müller, K.-R.; Küblerab, A. Psychological predictors of SMR-BCI performance. Biol. Psychol. 2012, 89, 80–86. [Google Scholar] [CrossRef] [PubMed]
- Kanthack, T.F.D.; Guillot, A.; Clémençon, M.; Debarnot, U.; Di Rienzo, F. Effect of physical fatigue elicited by continuous and intermittent exercise on motor imagery ability. Res. Q. Exerc. Sport. 2020, 91, 525–538. [Google Scholar] [CrossRef] [PubMed]
- Grosse-Wentrup, M.; Schölkopf, B.; Hill, J. Causal influence of gamma oscillations on the sensorimotor rhythm. NeuroImage 2011, 56, 837–842. [Google Scholar] [CrossRef] [PubMed]
- Ahn, M.; Cho, H.; Ahn, S.; Jun, S.C. High theta and low alpha powers may be indicative of BCI-illiteracy in motor imagery. PLoS ONE 2013, 8, e80886. [Google Scholar] [CrossRef] [PubMed]
- Zhang, R.; Xu, P.; Chen, R.; Li, F.; Guo, L.; Li, P.; Zhang, T.; Yao, D. Predicting inter-session performance of SMR-based brain–computer interface using the spectral entropy of resting-state EEG. Brain Topogr. 2015, 28, 680–690. [Google Scholar] [CrossRef]
- Carrere, L.C.; Escher, L.G.; Gentiletti, G.G. A foot motor imagery brain-computer interface with realistic visual feedback: Preliminary evaluation in healthy and stroke subjects. Res. Biomed. Eng. 2021, 37, 595–604. [Google Scholar] [CrossRef]
- Romero-Laiseca, M.A.; Delisle-Rodriguez, D.; Cardoso, V.; Gurve, D.; Loterio, F.; Posses Nascimento, J.H.; Krishnan, S.; Frizera-Neto, A.; Bastos-Filho, T. A Low-Cost Lower-Limb Brain-Machine Interface Triggered by Pedaling Motor Imagery for Post-Stroke Patients Rehabilitation. IEEE Trans. Neural. Syst. Rehabil. Eng. 2020, 28, 988–996. [Google Scholar] [CrossRef]
- Schalk, G.; McFarland, D.J.; Hinterberger, T.; Birbaumer, N.; Wolpaw, J.R. BCI2000: A general-purpose brain-computer interface (BCI) system. IEEE Trans. Biomed. Eng. 2004, 51, 1034–1043. [Google Scholar] [CrossRef]
- Goldberger, A.L.; Amaral, L.A.; Glass, L.; Hausdorff, J.M.; Ivanov, P.C.; Mark, R.G.; Mietus, J.E.; Moody, G.B.; Peng, C.-K.; Stanley, H.E. PhysioBank, PhysioToolkit, and PhysioNet: Components of a new research resource for complex physiologic signals. Circulation 2000, 101, e215–e220. [Google Scholar] [CrossRef]
- Müller-Gerking, J.; Pfurtscheller, G.; Flyvbjerg, H.; Flyvbjerg, H. Designing optimal spatial filters for single-trial EEG classification in a movement task. Clin. Neurophysiol. 1999, 110, 787–798. [Google Scholar] [CrossRef]
- Chang, C.-C.; Lin, C.-J. LIBSVM: A library for support vector machines. ACM Trans. Intell. Syst. Technol. 2011, 2, 1–27. [Google Scholar] [CrossRef]
- Zhang, A.; Yang, B.; Huang, L. Feature extraction of EEG signals using power spectral entropy. In Proceedings of the 2008 International Conference on BioMedical Engineering and Informatics, Sanya, China, 27 May 2008. [Google Scholar]
- Aboy, M.; Hornero, R.; Abásolo, D.; Álvarez, D. Interpretation of the Lempel-Ziv complexity measure in the context of biomedical signal analysis. IEEE Trans. Biomed. Eng. 2006, 53, 2282–2288. [Google Scholar] [CrossRef] [PubMed]
- Chen, D.; Chen, J. Research of Lempel-Ziv Complexity for Electroencephalographic Signal in Emotion Recognition. J. Taiyuan Univ. Technol. 2014, 45, 758–763. [Google Scholar]
- Kajihara, T.; Anwar, M.N.; Kawasaki, M.; Mizuno, Y.; Nakazawa, K.; Kitajo, K. Neural dynamics in motor preparation: From phase-mediated global computation to amplitude-mediated local computation. Neuroimage 2015, 118, 445–455. [Google Scholar] [CrossRef]
- Canolty, R.T.; Knight, R.T. The functional role of cross-frequency coupling. Trends Cogn. Sci. 2010, 14, 506–515. [Google Scholar] [CrossRef]
- Babiloni, C.; Marzano, N.; Iacoboni, M.; Infarinato, F.; Aschieri, P.; Buffo, P.; Cibelli, G.; Soricelli, A.; Eusebi, F.; Percio, C.D. Resting state cortical rhythms in athletes: A high-resolution EEG study. Brain Res. Bull. 2010, 81, 149–156. [Google Scholar] [CrossRef]
- Babiloni, C.; Infarinato, F.; Marzano, N.; Iacoboni, M.; Dassù, F.; Soricelli, A.; Rossini, P.M.; Limatola, C.; Percio, S.C. Intra-hemispheric functional coupling of alpha rhythms is related to golfer’s performance: A coherence EEG study. Int. J. Psychophysiol. 2011, 82, 260–268. [Google Scholar] [CrossRef]
- Hohaia, W.; Saurels, B.W.; Johnston, A.; Yarrow, K.; Arnold, D.H. Occipital alpha-band brain waves when the eyes are closed are shaped by ongoing visual processes. Sci. Rep. 2022, 12, 1194. [Google Scholar] [CrossRef]
- Randolph, A.B. Not all created equal: Individual-Technology fit of brain-computer interfaces. In Proceedings of the 2012 45th Hawaii International Conference on System Sciences.Maui, Hawaii, HI, USA, 4–7 January 2012. [Google Scholar]
- Randolph, A.B.; Jackson, M.M. Individual characteristics and their effect on predicting mu rhythm modulation. Int. J. Hum. Comput. Interact. 2010, 27, 24–37. [Google Scholar] [CrossRef]






Publisher’s Note: MDPI stays neutral with regard to jurisdictional claims in published maps and institutional affiliations. |
© 2022 by the authors. Licensee MDPI, Basel, Switzerland. This article is an open access article distributed under the terms and conditions of the Creative Commons Attribution (CC BY) license (https://creativecommons.org/licenses/by/4.0/).
Share and Cite
Wang, K.; Tian, F.; Xu, M.; Zhang, S.; Xu, L.; Ming, D. Resting-State EEG in Alpha Rhythm May Be Indicative of the Performance of Motor Imagery-Based Brain–Computer Interface. Entropy 2022, 24, 1556. https://doi.org/10.3390/e24111556
Wang K, Tian F, Xu M, Zhang S, Xu L, Ming D. Resting-State EEG in Alpha Rhythm May Be Indicative of the Performance of Motor Imagery-Based Brain–Computer Interface. Entropy. 2022; 24(11):1556. https://doi.org/10.3390/e24111556
Chicago/Turabian StyleWang, Kun, Feifan Tian, Minpeng Xu, Shanshan Zhang, Lichao Xu, and Dong Ming. 2022. "Resting-State EEG in Alpha Rhythm May Be Indicative of the Performance of Motor Imagery-Based Brain–Computer Interface" Entropy 24, no. 11: 1556. https://doi.org/10.3390/e24111556
APA StyleWang, K., Tian, F., Xu, M., Zhang, S., Xu, L., & Ming, D. (2022). Resting-State EEG in Alpha Rhythm May Be Indicative of the Performance of Motor Imagery-Based Brain–Computer Interface. Entropy, 24(11), 1556. https://doi.org/10.3390/e24111556

