The Stock Market Model with Delayed Information Impact from a Socioeconomic View
Abstract
1. Introduction
2. Stock Price Model with Delayed Information Impact
2.1. Information Generation and Delay
- Suppose the initial stock price is . The stock market environment is fickle daily and is influenced by a series of stochastic events, including supply and demand, macroeconomic, political factors, corporate finances and performance, market sentiment, etc. We coarse-grain all the stochastic events by information into just a single influence value. The impact of information is an abstract concept, which is a random variable that is normally distributed with mean 0 and standard deviation , here . Any theoretical normal distribution has a maximum of infinity and a minimum of minus infinity. There is an infinite range. In our model, the impact of information is normally distributed, and it must be finite. Thus, there must be a truncation. The truncation interval should be large enough and reasonable. The information has an impact on the stock price, so the truncation interval has a relation with the stock price P0. It cannot stand alone. Here, considering the extreme cases (terrible information, great information), we set the truncation interval to be. New information sequence can be obtained by random sampling from the truncated Gaussian distribution.
- In the stock market, the influence of information is in a state of change and eventually disappears. Thus, we introduce the delayed information. The progress of influence disappearance is a different matter from the memory deterioration. That the influence of information eventually disappears does not mean that the people forget the information; it is just that the information is a dead issue. Considering that significant events have a sustained impact on the investors, and the impact strength of the information will delay over time, we assume that the information influence delays linearly with time simply, and the information influence after the i-th day is expressed aswhere is the delay coefficient.
2.2. Stock Price Evolution Process
3. Descriptive Statistics and Nonlinear Behavior Analysis
3.1. Descriptive Statistics of Returns
3.2. Nonlinear Statistical Analysis of Returns
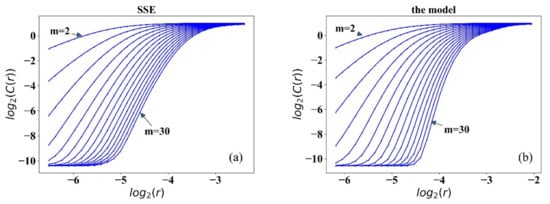
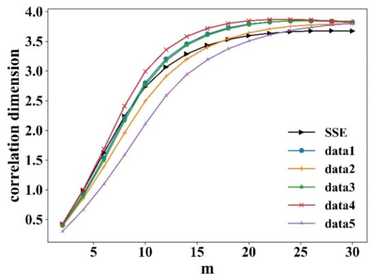
3.2.1. Correlation Dimension Analysis
3.2.2. Lyapunov Exponent Analysis, Sample Entropy Analysis, and Hurst Exponent
4. Correlation Analysis of Stocks
5. Conclusions
Author Contributions
Funding
Data Availability Statement
Acknowledgments
Conflicts of Interest
References
- Barabási, A.-L. The Network Takeover. Nat. Phys. 2012, 8, 14–16. [Google Scholar] [CrossRef]
- Lazer, D.; Pentland, A.; Adamic, L.; Aral, S.; Barabasi, A.-L.; Brewer, D.; Christakis, N.; Contractor, N.; Fowler, J.; Gutmann, M.; et al. Social Science. Computational Social Science. Science 2009, 323, 721–723. [Google Scholar] [CrossRef] [PubMed]
- Caldarelli, G.; Wolf, S.; Moreno, Y. Physics of Humans, Physics for Society. Nat. Phys. 2018, 14, 870. [Google Scholar] [CrossRef]
- Ackert, L.F.; Church, B.K.; Deaves, R. Emotion and Financial Markets. Fed. Reserv. Bank Atlanta Econ. Rev. 2003, 88, 33–41. [Google Scholar]
- Sadi, R.; Asl, H.G.; Rostami, M.R.; Gholipour, A.; Gholipour, F. Behavioral Finance: The Explanation of Investors’ Personality and Perceptual Biases Effects on Financial Decisions. Int. J. Econ. Financ. 2011, 3, 234–241. [Google Scholar] [CrossRef]
- Kraemer, M.U.G.; Yang, C.-H.; Gutierrez, B.; Wu, C.-H.; Klein, B.; Pigott, D.M.; du Plessis, L.; Faria, N.R.; Li, R.; Hanage, W.P.; et al. The Effect of Human Mobility and Control Measures on the COVID-19 Epidemic in China. Science 2020, 368, 493–497. [Google Scholar] [CrossRef] [PubMed]
- Castellano, C.; Fortunato, S.; Loreto, V. Statistical Physics of Social Dynamics. Rev. Mod. Phys. 2009, 81, 591. [Google Scholar] [CrossRef]
- Perc, M. The Social Physics Collective. Sci. Rep. 2019, 9, 16549. [Google Scholar] [CrossRef]
- Cont, R.; Bouchaud, J.-P. Herd Behavior And Aggregate Fluctuations In Financial Markets. Macroecon. Dyn. 2000, 4, 170–196. [Google Scholar] [CrossRef]
- Eguiluz, V.M.; Zimmermann, M.G. Transmission of Information and Herd Behavior: An Application to Financial Markets. Phys. Rev. Lett. 2000, 85, 5659–5662. [Google Scholar] [CrossRef]
- Ren, F.; Zheng, B. Generalized Persistence Probability in a Dynamic Economic Index. Phys. Lett. A 2003, 313, 312–315. [Google Scholar] [CrossRef]
- Zhou, W.X.; Sornette, D. Self-Organizing Ising Model of Financial Markets. Eur. Phys. J. B 2007, 55, 175–181. [Google Scholar] [CrossRef]
- Cont, R. Empirical Properties of Asset Returns: Stylized Facts and Statistical Issues. Quant. Financ. 2001, 1, 223–236. [Google Scholar] [CrossRef]
- Maganini, N.D.; Filho, A.C.D.S.; Lima, F.G. Investigation of Multifractality in the Brazilian Stock Market. Phys. A Stat. Mech. Appl. 2018, 497, 258–271. [Google Scholar] [CrossRef]
- Zhao, H.; Zhou, J.; Zhang, A.; Su, G.; Zhang, Y. Self-Organizing Ising Model of Artificial Financial Markets with Small-World Network Topology. Europhys. Lett. 2013, 101, 18001. [Google Scholar] [CrossRef]
- Wan, Y.-L.; Wang, G.-J.; Jiang, Z.-Q.; Xie, W.-J.; Zhou, W.-X. The Cooling-off Effect of Price Limits in the Chinese Stock Markets. Phys. A Stat. Mech. Appl. 2018, 505, 153–163. [Google Scholar] [CrossRef]
- Singh, V.K.; Gautam, D.; Singh, R.R.; Gupta, A.K. Agent-Based Computational Modeling of Emergent Collective Intelligence BT—Computational Collective Intelligence. Semantic Web, Social Networks and Multiagent Systems; Nguyen, N.T., Kowalczyk, R., Chen, S.-M., Eds.; Springer: Berlin/Heidelberg, Germany, 2009; pp. 240–251. [Google Scholar]
- Woolley, A.W.; Chabris, C.F.; Pentland, A.; Hashmi, N.; Malone, T.W. Evidence for a Collective Intelligence Factor in the Performance of Human Groups. Science 2010, 330, 686–688. [Google Scholar] [CrossRef]
- Mitchell, M.L.; Mulherin, J.H. The Impact of Public Information on the Stock Market. J. Financ. 1994, 49, 923–950. [Google Scholar] [CrossRef]
- Preis, T.; Reith, D.; Stanley, H.E. Complex Dynamics of Our Economic Life on Different Scales: Insights from Search Engine Query Data. Philos. Trans. R. Soc. A Math. Phys. Eng. Sci. 2010, 368, 5707–5719. [Google Scholar] [CrossRef]
- Carrière-Swallow, Y.; Labbé, F. Nowcasting with Google Trends in an Emerging Market. J. Forecast. 2013, 32, 289–298. [Google Scholar] [CrossRef]
- Preis, T.; Moat, H.S.; Stanley, H.E. Quantifying Trading Behavior in Financial Markets Using Google Trends. Sci. Rep. 2013, 3, 1684. [Google Scholar] [CrossRef] [PubMed]
- Albers, S.; Charikar, M.; Mitzenmacher, M. Delayed Information and Action in On-Line Algorithms. Inf. Comput. 2001, 170, 135–152. [Google Scholar] [CrossRef][Green Version]
- Gopikrishnan, P.; Plerou, V.; Nunes Amaral, L.A.; Meyer, M.; Stanley, H.E. Scaling of the Distribution of Fluctuations of Financial Market Indices. Phys. Rev. E 1999, 60, 5305–5316. [Google Scholar] [CrossRef] [PubMed]
- Qiu, T.; Zheng, B.; Ren, F.; Trimper, S. Return-Volatility Correlation in Financial Dynamics. Phys. Rev. E 2006, 73, 65103. [Google Scholar] [CrossRef]
- Zhang, J.W.; Zhang, Y.; Kleinert, H. Power Tails of Index Distributions in Chinese Stock Market. Phys. A Stat. Mech. Appl. 2007, 377, 166–172. [Google Scholar] [CrossRef]
- Wang, Y.; Zheng, S.; Zhang, W.; Wang, J. Complex and Entropy of Fluctuations of Agent-Based Interacting Financial Dynamics with Random Jump. Entropy 2017, 19, 512. [Google Scholar] [CrossRef]
- Balanda, K.P.; Macgillivray, H.L. Kurtosis: A Critical Review. Am. Stat. 1988, 42, 111–119. [Google Scholar]
- Gopikrishnan, P.; Meyer, M.; Amaral, L.A.N.; Stanley, H.E. Inverse Cubic Law for the Distribution of Stock Price Variations. Eur. Phys. J. B 1998, 3, 139–140. [Google Scholar] [CrossRef]
- Hsieh, D.A. Chaos and Nonlinear Dynamics: Application to Financial Markets. J. Finance 1991, 46, 1839–1877. [Google Scholar] [CrossRef]
- Alves, P.R.L.; Duarte, L.G.S.; da Mota, L.A.C.P. Detecting Chaos and Predicting in Dow Jones Index. Chaos Solitons Fractals 2018, 110, 232–238. [Google Scholar] [CrossRef]
- Zhu, H.; Zhang, W. Multifractal Property of Chinese Stock Market in the CSI 800 Index Based on MF-DFA Approach. Phys. A Stat. Mech. Appl. 2018, 490, 497–503. [Google Scholar] [CrossRef]
- Grassberger, P.; Procaccia, I. Dimensions and Entropies of Strange Attractors from a Fluctuating Dynamics Approach. Phys. D Nonlinear Phenom. 1984, 13, 34–54. [Google Scholar] [CrossRef]
- Grassberger, P.; Procaccia, I. Measuring the Strangeness of Strange Attractors. Phys. D Nonlinear Phenom. 1983, 9, 189–208. [Google Scholar] [CrossRef]
- Rosenstein, M.T.; Collins, J.J.; De Luca, C.J. A Practical Method for Calculating Largest Lyapunov Exponents from Small Data Sets. Phys. D Nonlinear Phenom. 1993, 65, 117–134. [Google Scholar] [CrossRef]
- Couillard, M.; Davison, M. A Comment on Measuring the Hurst Exponent of Financial Time Series. Phys. A Stat. Mech. Appl. 2005, 348, 404–418. [Google Scholar] [CrossRef]
- Richman, J.S.; Moorman, J.R. Physiological Time-Series Analysis Using Approximate Entropy and Sample Entropy. Am. J. Physiol. Circ. Physiol. 2000, 278, H2039–H2049. [Google Scholar] [CrossRef]
- Sharma, C.; Habib, A. Mutual Information Based Stock Networks and Portfolio Selection for Intraday Traders Using High Frequency Data: An Indian Market Case Study. PLoS ONE 2019, 14, e0221910. [Google Scholar] [CrossRef]
- Sun, X.; Liu, Z. Optimal Portfolio Strategy with Cross-Correlation Matrix Composed by DCCA Coefficients: Evidence from the Chinese Stock Market. Phys. A Stat. Mech. Appl. 2016, 444, 667–679. [Google Scholar] [CrossRef]
- Eom, C.; Park, J.W. Effects of Common Factors on Stock Correlation Networks and Portfolio Diversification. Int. Rev. Financ. Anal. 2017, 49, 1–11. [Google Scholar] [CrossRef]
- Guo, X.; Zhang, H.; Tian, T. Development of Stock Correlation Networks Using Mutual Information and Financial Big Data. PLoS ONE 2018, 13, e0195941. [Google Scholar] [CrossRef]
- Kristoufek, L. Measuring Correlations between Non-Stationary Series with DCCA Coefficient. Phys. A Stat. Mech. Appl. 2014, 402, 291–298. [Google Scholar] [CrossRef]
- Ferreira, P.; Pereira, É.J.d.A.L.; Silva, M.F.d.; Pereira, H.B. Detrended Correlation Coefficients between Oil and Stock Markets: The Effect of the 2008 Crisis. Phys. A Stat. Mech. Appl. 2019, 517, 86–96. [Google Scholar] [CrossRef]






| Data | Mean | Std | Max | Min | Skew | Kurtosis | K-S Test | α | |
|---|---|---|---|---|---|---|---|---|---|
| p-Value | H | ||||||||
| 0.00004 | 0.0172 | 0.1294 | −0.1240 | 0.2987 | 6.6543 | 8.1208 × 10−9 | 1 | 3.5784 | |
| −0.00002 | 0.0217 | 0.1601 | −0.2125 | −0.3848 | 9.3611 | 1.8554 × 10−10 | 1 | 4.0968 | |
| 0.00005 | 0.0182 | 0.1520 | −0.1367 | −0.0234 | 8.3799 | 4.2418 × 10−10 | 1 | 3.8109 | |
| S&P500 | 0.00004 | 0.0111 | 0.0934 | −0.1066 | −0.9710 | 15.2922 | 4.0739 × 10−18 | 1 | 3.4624 |
| SSE | 0.00002 | 0.0136 | 0.0060 | −0.0887 | −0.8969 | 6.1958 | 1.6704 × 10−10 | 1 | 3.5277 |
| SZSE | 0.00001 | 0.0164 | 0.0625 | −0.0895 | −0.7368 | 3.7987 | 5.8053 × 10−7 | 1 | 3.4777 |
| Data | MLE | Sample Entropy | Hurst Exponent |
|---|---|---|---|
| Data1 | 0.0778 | 1.7497 | 0.6281 |
| Data2 | 0.0762 | 1.6832 | 0.6364 |
| Data3 | 0.0773 | 1.7033 | 0.6478 |
| Data4 | 0.0757 | 1.7401 | 0.6152 |
| Data5 | 0.0575 | 1.4901 | 0.5840 |
| SSE | 0.0628 | 1.7889 | 0.5238 |
| SZSE | 0.0842 | 1.8750 | 0.5176 |
| S&P500 | 0.0639 | 1.4902 | 0.5022 |
Publisher’s Note: MDPI stays neutral with regard to jurisdictional claims in published maps and institutional affiliations. |
© 2021 by the authors. Licensee MDPI, Basel, Switzerland. This article is an open access article distributed under the terms and conditions of the Creative Commons Attribution (CC BY) license (https://creativecommons.org/licenses/by/4.0/).
Share and Cite
Wang, Z.; Shi, G.; Shang, M.; Zhang, Y. The Stock Market Model with Delayed Information Impact from a Socioeconomic View. Entropy 2021, 23, 893. https://doi.org/10.3390/e23070893
Wang Z, Shi G, Shang M, Zhang Y. The Stock Market Model with Delayed Information Impact from a Socioeconomic View. Entropy. 2021; 23(7):893. https://doi.org/10.3390/e23070893
Chicago/Turabian StyleWang, Zhiting, Guiyuan Shi, Mingsheng Shang, and Yuxia Zhang. 2021. "The Stock Market Model with Delayed Information Impact from a Socioeconomic View" Entropy 23, no. 7: 893. https://doi.org/10.3390/e23070893
APA StyleWang, Z., Shi, G., Shang, M., & Zhang, Y. (2021). The Stock Market Model with Delayed Information Impact from a Socioeconomic View. Entropy, 23(7), 893. https://doi.org/10.3390/e23070893
