Entanglement Robustness via Spatial Deformation of Identical Particle Wave Functions
Abstract
1. Introduction
2. Materials and Methods
2.1. Deformations of Identical Particle States
2.2. sLOCC, Spatial Indistinguishability, Concurrence and Fidelity
3. Indistinguishability as a Feature for Recovering Entanglement
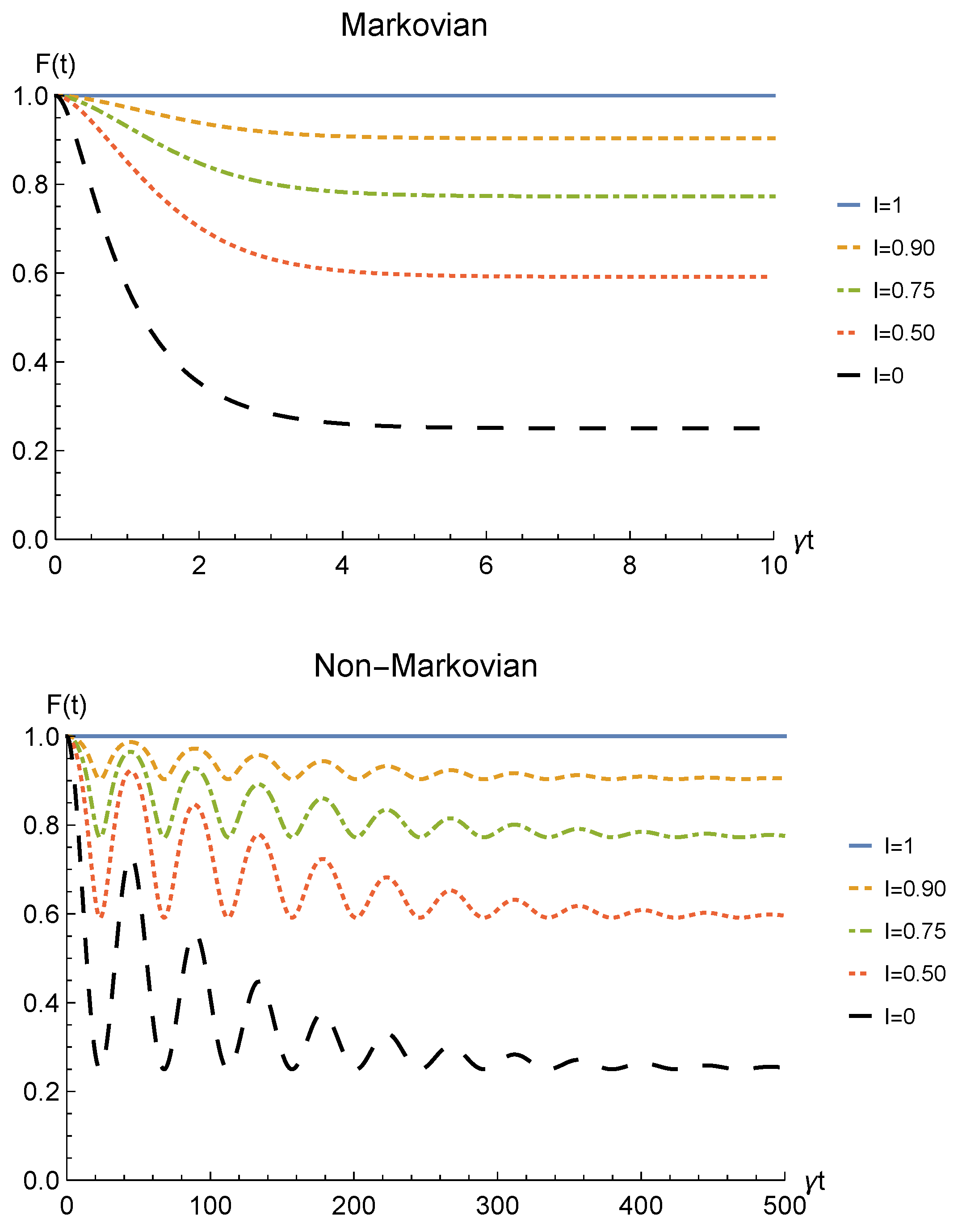
3.1. Amplitude Damping Channel
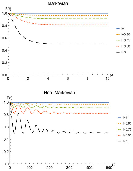
3.2. Phase Damping Channel
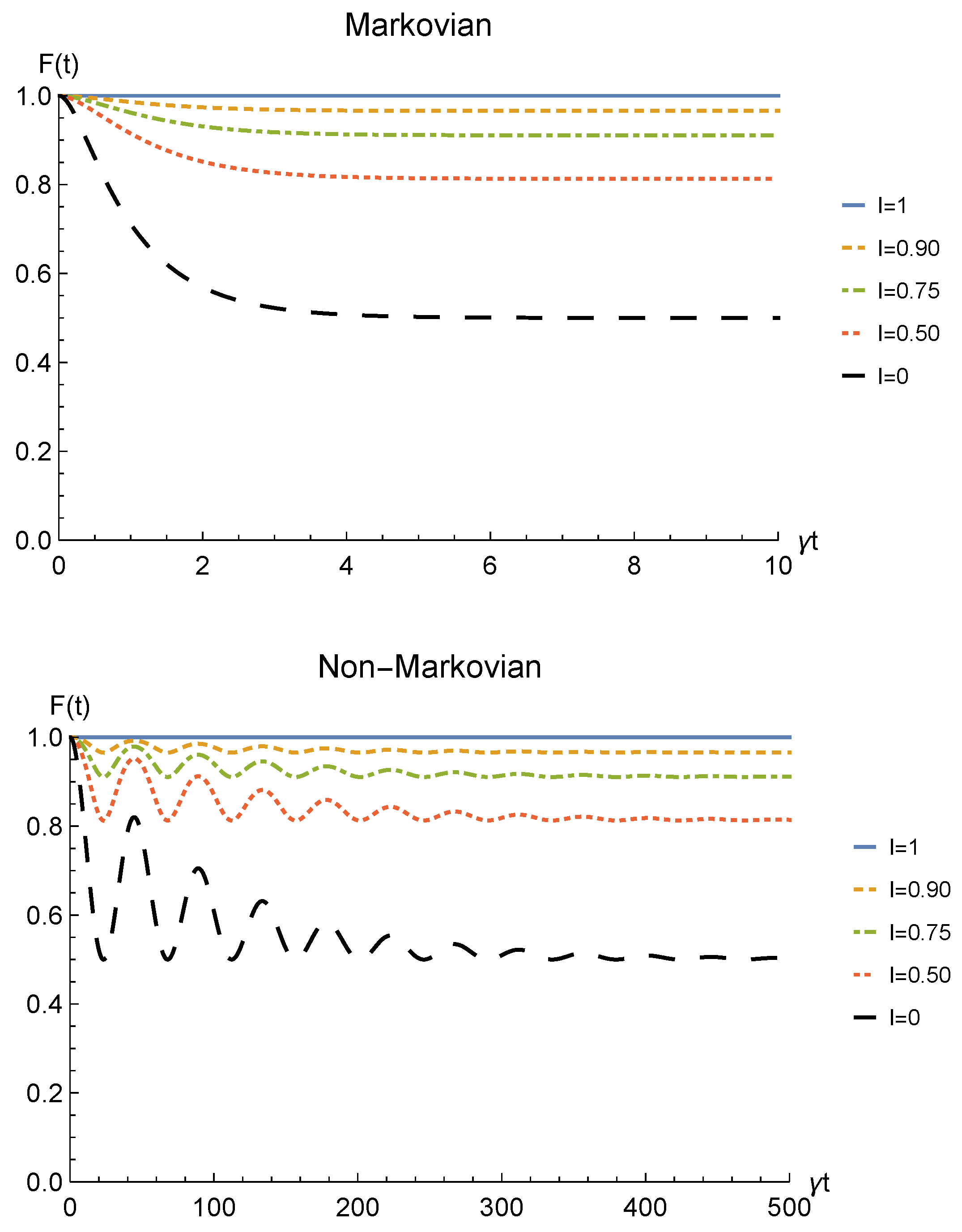
3.3. Depolarizing Channel
4. Discussion
Author Contributions
Funding
Institutional Review Board Statement
Informed Consent Statement
Data Availability Statement
Acknowledgments
Conflicts of Interest
References
- Preskill, J. Quantum Computing in the NISQ era and beyond. Quantum 2018, 2, 79. [Google Scholar] [CrossRef]
- Rotter, I.; Bird, J. A review of progress in the physics of open quantum systems: Theory and experiment. Rep. Prog. Phys. 2015, 78, 114001. [Google Scholar] [CrossRef]
- Preskill, J. Reliable quantum computers. Proc. R. Soc. Lond. A Math. Phys. Eng. Sci. 1998, 454, 385–410. [Google Scholar] [CrossRef]
- Knill, E. Quantum computing with realistically noisy devices. Nature 2005, 434, 39. [Google Scholar] [CrossRef] [PubMed]
- Shor, P.W. Scheme for reducing decoherence in quantum computer memory. Phys. Rev. A 1995, 52, R2493. [Google Scholar] [CrossRef]
- Steane, A.M. Error correcting codes in quantum theory. Phys. Rev. Lett. 1996, 77, 793. [Google Scholar] [CrossRef] [PubMed]
- Mazzola, L.; Maniscalco, S.; Piilo, J.; Suominen, K.A.; Garraway, B.M. Sudden death and sudden birth of entanglement in common structured reservoirs. Phys. Rev. A 2009, 79, 042302. [Google Scholar] [CrossRef]
- Bellomo, B.; Lo Franco, R.; Maniscalco, S.; Compagno, G. Entanglement trapping in structured environments. Phys. Rev. A 2008, 78, 060302. [Google Scholar] [CrossRef]
- Lo Franco, R.; Bellomo, B.; Maniscalco, S.; Compagno, G. Dynamics of quantum correlations in two-qubit systems within non-Markovian environments. Int. J. Mod. Phys. B 2013, 27, 1345053. [Google Scholar] [CrossRef]
- Aolita, L.; De Melo, F.; Davidovich, L. Open-system dynamics of entanglement: A key issues review. Rep. Prog. Phys. 2015, 78, 042001. [Google Scholar] [CrossRef]
- Xu, J.S.; Li, C.F.; Gong, M.; Zou, X.B.; Shi, C.H.; Chen, G.; Guo, G.C. Experimental demonstration of photonic entanglement collapse and revival. Phys. Rev. Lett. 2010, 104, 100502. [Google Scholar] [CrossRef] [PubMed]
- Bylicka, B.; Chruściński, D.; Maniscalco, S. Non-Markovianity and reservoir memory of quantum channels: A quantum information theory perspective. Sci. Rep. 2014, 4, 1–7. [Google Scholar] [CrossRef]
- Man, Z.X.; Xia, Y.J.; Franco, R.L. Cavity-based architecture to preserve quantum coherence and entanglement. Sci. Rep. 2015, 5, 1–13. [Google Scholar] [CrossRef] [PubMed]
- Tan, J.; Kyaw, T.H.; Yeo, Y. Non-Markovian environments and entanglement preservation. Phys. Rev. A 2010, 81, 062119. [Google Scholar] [CrossRef]
- Tong, Q.J.; An, J.H.; Luo, H.G.; Oh, C. Mechanism of entanglement preservation. Phys. Rev. A 2010, 81, 052330. [Google Scholar] [CrossRef]
- Breuer, H.P.; Laine, E.M.; Piilo, J.; Vacchini, B. Colloquium: Non-Markovian dynamics in open quantum systems. Rev. Mod. Phys. 2016, 88, 021002. [Google Scholar] [CrossRef]
- Man, Z.X.; Xia, Y.J.; Franco, R.L. Harnessing non-Markovian quantum memory by environmental coupling. Phys. Rev. A 2015, 92, 012315. [Google Scholar] [CrossRef]
- Bennett, C.H.; Brassard, G.; Popescu, S.; Schumacher, B.; Smolin, J.A.; Wootters, W.K. Purification of Noisy Entanglement and Faithful Teleportation via Noisy Channels. Phys. Rev. Lett. 1996, 76, 722–725. [Google Scholar] [CrossRef]
- Kwiat, P.G.; Barraza-Lopez, S.; Stefanov, A.; Gisin, N. Experimental entanglement distillation and ‘hidden’non-locality. Nature 2001, 409, 1014–1017. [Google Scholar] [CrossRef] [PubMed]
- Dong, R.; Lassen, M.; Heersink, J.; Marquardt, C.; Filip, R.; Leuchs, G.; Andersen, U.L. Experimental entanglement distillation of mesoscopic quantum states. Nat. Phys. 2008, 4, 919–923. [Google Scholar] [CrossRef]
- Zanardi, P.; Rasetti, M. Noiseless quantum codes. Phys. Rev. Lett. 1997, 79, 3306. [Google Scholar] [CrossRef]
- Lidar, D.A.; Chuang, I.L.; Whaley, K.B. Decoherence-free subspaces for quantum computation. Phys. Rev. Lett. 1998, 81, 2594. [Google Scholar] [CrossRef]
- Viola, L.; Lloyd, S. Dynamical suppression of decoherence in two-state quantum systems. Phys. Rev. A 1998, 58, 2733–2744. [Google Scholar] [CrossRef]
- Viola, L.; Knill, E. Random decoupling schemes for quantum dynamical control and error suppression. Phys. Rev. Lett. 2005, 94, 060502. [Google Scholar] [CrossRef] [PubMed]
- D’Arrigo, A.; Franco, R.L.; Benenti, G.; Paladino, E.; Falci, G. Recovering entanglement by local operations. Ann. Phys. 2014, 350, 211–224. [Google Scholar] [CrossRef]
- Lo Franco, R.; D’Arrigo, A.; Falci, G.; Compagno, G.; Paladino, E. Preserving entanglement and nonlocality in solid-state qubits by dynamical decoupling. Phys. Rev. B 2014, 90, 054304. [Google Scholar] [CrossRef]
- Orieux, A.; D’Arrigo, A.; Ferranti, G.; Lo Franco, R.; Benenti, G.; Paladino, E.; Falci, G.; Sciarrino, F.; Mataloni, P. Experimental on-demand recovery of entanglement by local operations within non-Markovian dynamics. Sci. Rep. 2015, 5, 1–8. [Google Scholar] [CrossRef] [PubMed]
- Facchi, P.; Lidar, D.; Pascazio, S. Unification of dynamical decoupling and the quantum Zeno effect. Phys. Rev. A 2004, 69, 032314. [Google Scholar] [CrossRef]
- Franco, R.L.; Bellomo, B.; Andersson, E.; Compagno, G. Revival of quantum correlations without system-environment back-action. Phys. Rev. A 2012, 85, 032318. [Google Scholar] [CrossRef]
- Xu, J.S.; Sun, K.; Li, C.F.; Xu, X.Y.; Guo, G.C.; Andersson, E.; Franco, R.L.; Compagno, G. Experimental recovery of quantum correlations in absence of system-environment back-action. Nat. Commun. 2013, 4, 1–7. [Google Scholar] [CrossRef]
- Damodarakurup, S.; Lucamarini, M.; Di Giuseppe, G.; Vitali, D.; Tombesi, P. Experimental inhibition of decoherence on flying qubits via “bang-bang” control. Phys. Rev. Lett. 2009, 103, 040502. [Google Scholar] [CrossRef]
- Cuevas, Á.; Mari, A.; De Pasquale, A.; Orieux, A.; Massaro, M.; Sciarrino, F.; Mataloni, P.; Giovannetti, V. Cut-and-paste restoration of entanglement transmission. Phys. Rev. A 2017, 96, 012314. [Google Scholar] [CrossRef]
- Ladd, T.D.; Jelezko, F.; Laflamme, R.; Nakamura, Y.; Monroe, C.; O’Brien, J.L. Quantum computers. Nature 2010, 464, 45. [Google Scholar] [CrossRef]
- Altman, E.; Brown, K.R.; Carleo, G.; Carr, L.D.; Demler, E.; Chin, C.; DeMarco, B.; Economou, S.E.; Eriksson, M.A.; Fu, K.M.C.; et al. Quantum Simulators: Architectures and Opportunities. PRX Quantum 2021, 2, 017003. [Google Scholar] [CrossRef]
- Tichy, M.C.; Mintert, F.; Buchleitner, A. Essential entanglement for atomic and molecular physics. J. Phys. B At. Mol. Opt. Phys. 2011, 44, 192001. [Google Scholar] [CrossRef]
- Ghirardi, G.; Marinatto, L. General criterion for the entanglement of two indistinguishable particles. Phys. Rev. A 2004, 70, 012109. [Google Scholar] [CrossRef]
- Cunden, F.D.; Di Martino, S.; Facchi, P.; Florio, G. Spatial separation and entanglement of identical particles. Int. J. Quantum Inform. 2014, 12, 461001. [Google Scholar] [CrossRef]
- Li, Y.S.; Zeng, B.; Liu, X.S.; Long, G.L. Entanglement in a two-identical-particle system. Phys. Rev. A 2001, 64, 054302. [Google Scholar] [CrossRef]
- Paskauskas, R.; You, L. Quantum correlations in two-boson wave functions. Phys. Rev. A 2001, 64, 042310. [Google Scholar] [CrossRef]
- Schliemann, J.; Cirac, J.I.; Kus, M.; Lewenstein, M.; Loss, D. Quantum correlations in two-fermion systems. Phys. Rev. A 2001, 64, 022303. [Google Scholar] [CrossRef]
- Zanardi, P. Quantum entanglement in fermionic lattices. Phys. Rev. A 2002, 65, 042101. [Google Scholar] [CrossRef]
- Eckert, K.; Schliemann, J.; Bruss, D.; Lewenstein, M. Quantum correlations in systems of indistinguishable particles. Ann. Phys. 2002, 299, 88–127. [Google Scholar] [CrossRef]
- Balachandran, A.P.; Govindarajan, T.R.; de Queiroz, A.R.; Reyes-Lega, A.F. Entanglement and Particle Identity: A Unifying Approach. Phys. Rev. Lett. 2013, 110, 080503. [Google Scholar] [CrossRef]
- Sasaki, T.; Ichikawa, T.; Tsutsui, I. Entanglement of indistinguishable particles. Phys. Rev. A 2011, 83, 012113. [Google Scholar] [CrossRef]
- Benenti, G.; Siccardi, S.; Strini, G. Entanglement in helium. Eur. Phys. J. D 2013, 67, 83. [Google Scholar] [CrossRef]
- Bose, S.; Home, D. Generic entanglement generation, quantum statistics, and complementarity. Phys. Rev. Lett. 2002, 88, 050401. [Google Scholar] [CrossRef]
- Bose, S.; Home, D. Duality in Entanglement Enabling a Test of Quantum Indistinguishability Unaffected by Interactions. Phys. Rev. Lett. 2013, 110, 140404. [Google Scholar] [CrossRef] [PubMed]
- Tichy, M.C.; de Melo, F.; Kus, M.; Mintert, F.; Buchleitner, A. Entanglement of identical particles and the detection process. Fortschr. Phys. 2013, 61, 225–237. [Google Scholar] [CrossRef]
- Killoran, N.; Cramer, M.; Plenio, M.B. Extracting Entanglement from Identical Particles. Phys. Rev. Lett. 2014, 112, 150501. [Google Scholar] [CrossRef]
- Sciara, S.; Lo Franco, R.; Compagno, G. Universality of Schmidt decomposition and particle identity. Sci. Rep. 2017, 7, 44675. [Google Scholar] [CrossRef]
- Lo Franco, R.; Compagno, G. Quantum entanglement of identical particles by standard information-theoretic notions. Sci. Rep. 2016, 6, 20603. [Google Scholar] [CrossRef] [PubMed]
- Compagno, G.; Castellini, A.; Lo Franco, R. Dealing with indistinguishable particles and their entanglement. Phil. Trans. R. Soc. A Math. Phys. Eng. Sci. 2018, 376, 20170317. [Google Scholar] [CrossRef] [PubMed]
- Lo Franco, R.; Compagno, G. Indistinguishability of elementary systems as a resource for Quantum Information Processing. Phys. Rev. Lett. 2018, 120, 240403. [Google Scholar] [CrossRef] [PubMed]
- Morris, B.; Yadin, B.; Fadel, M.; Zibold, T.; Treutlein, P.; Adesso, G. Entanglement between Identical Particles Is a Useful and Consistent Resource. Phys. Rev. X 2020, 10, 041012. [Google Scholar]
- Nosrati, F.; Castellini, A.; Compagno, G.; Lo Franco, R. Robust entanglement preparation against noise by controlling spatial indistinguishability. NPJ Quantum Inf. 2020, 6, 1–7. [Google Scholar] [CrossRef]
- Sun, K.; Wang, Y.; Liu, Z.H.; Xu, X.Y.; Xu, J.S.; Li, C.F.; Guo, G.C.; Castellini, A.; Nosrati, F.; Compagno, G.; et al. Experimental quantum entanglement and teleportation by tuning remote spatial indistinguishability of independent photons. Opt. Lett. 2020, 45, 6410–6413. [Google Scholar] [CrossRef]
- Barros, M.R.; Chin, S.; Pramanik, T.; Lim, H.T.; Cho, Y.W.; Huh, J.; Kim, Y.S. Entangling bosons through particle indistinguishability and spatial overlap. Opt. Express 2020, 28, 38083–38092. [Google Scholar] [CrossRef]
- Qureshi, T.; Rizwan, U. Hanbury Brown–Twiss Effect with Wave Packets. Quanta 2017, 6, 61–69. [Google Scholar] [CrossRef]
- Mani, H.; Ramadas, N.; Sreedhar, V. Quantum entanglement in one-dimensional anyons. Phys. Rev. A 2020, 101, 022314. [Google Scholar] [CrossRef]
- Castellini, A.; Bellomo, B.; Compagno, G.; Lo Franco, R. Activating remote entanglement in a quantum network by local counting of identical particles. Phys. Rev. A 2019, 99, 062322. [Google Scholar] [CrossRef]
- Castellini, A.; Lo Franco, R.; Lami, L.; Winter, A.; Adesso, G.; Compagno, G. Indistinguishability-enabled coherence for quantum metrology. Phys. Rev. A 2019, 100, 012308. [Google Scholar] [CrossRef]
- Sun, K.; Liu, Z.H.; Wang, Y.; Hao, Z.Y.; Xu, X.Y.; Xu, J.S.; Li, C.F.; Guo, G.C.; Castellini, A.; Lami, L.; et al. Experimental quantum phase discrimination enhanced by controllable indistinguishability-based coherence. arXiv 2021, arXiv:2103.14802. [Google Scholar]
- Nosrati, F.; Castellini, A.; Compagno, G.; Lo Franco, R. Dynamics of spatially indistinguishable particles and quantum entanglement protection. Phys. Rev. A 2020, 102, 062429. [Google Scholar] [CrossRef]
- Horodecki, R.; Horodecki, P.; Horodecki, M.; Horodecki, K. Quantum entanglement. Rev. Mod. Phys. 2009, 81, 865–942. [Google Scholar] [CrossRef]
- Berrada, K.; El Baz, M.; Eleuch, H.; Hassouni, Y. A comparative study of negativity and concurrence based on spin coherent states. Int. J. Mod. Phys. C 2010, 21, 291–305. [Google Scholar] [CrossRef]
- Mohamed, A.B.A.; Eleuch, H. Generation and robustness of bipartite non-classical correlations in two nonlinear microcavities coupled by an optical fiber. J. Opt. Soc. Am. B 2018, 35, 47–53. [Google Scholar] [CrossRef]
- Wootters, W.K. Entanglement of Formation of an Arbitrary State of Two Qubits. Phys. Rev. Lett. 1998, 80, 2245–2248. [Google Scholar] [CrossRef]
- Jozsa, R. Fidelity for Mixed Quantum States. J. Mod. Opt. 1994, 41, 2315–2323. [Google Scholar] [CrossRef]
- Breuer, H.P.; Petruccione, F. The Theory of Open Quantum Systems; Oxford University Press: Oxford, UK, 2002. [Google Scholar]
- Haikka, P.; Maniscalco, S. Non-Markovian dynamics of a damped driven two-state system. Phys. Rev. A 2010, 81. [Google Scholar] [CrossRef]
- Nielsen, M.A.; Chuang, I.L. Quantum Computation and Quantum Information; Cambridge University Press: Cambridge, UK, 2010. [Google Scholar]
- Bellomo, B.; Lo Franco, R.; Compagno, G. Non-Markovian Effects on the Dynamics of Entanglement. Phys. Rev. Lett. 2007, 99. [Google Scholar] [CrossRef] [PubMed]
- Bruzewicz, C.; Chiaverini, J.; McConnell, R.; Sage, J. Trapped-ion quantum computing: Progress and challenges. Appl. Phys. Rev. 2019, 6, 021314. [Google Scholar] [CrossRef]
- Myatt, C.J.; King, B.E.; Turchette, Q.A.; Sackett, C.A.; Kielpinski, D.; Itano, W.M.; Monroe, C.; Wineland, D.J. Decoherence of quantum superpositions through coupling to engineered reservoirs. Nature 2000, 403, 269–273. [Google Scholar] [CrossRef] [PubMed]
- Schindler, P.; Nigg, D.; Monz, T.; Barreiro, J.T.; Martinez, E.; Wang, S.X.; Quint, S.; Brandl, M.F.; Nebendahl, V.; Roos, C.F.; et al. A quantum information processor with trapped ions. New J. Phys. 2013, 15, 123012. [Google Scholar] [CrossRef]
- Giovannetti, V.; Fazio, R. Information-capacity description of spin-chain correlations. Phys. Rev. A 2005, 71, 032314. [Google Scholar] [CrossRef]
- Blais, A.; Gambetta, J.; Wallraff, A.; Schuster, D.I.; Girvin, S.M.; Devoret, M.H.; Schoelkopf, R.J. Quantum-information processing with circuit quantum electrodynamics. Phys. Rev. A 2007, 75, 032329. [Google Scholar] [CrossRef]
- Blais, A.; Girvin, S.M.; Oliver, W.D. Quant. Inf. Proc. and quantum optics with circuit quantum electrodynamics. Nat. Phys. 2020, 16, 247–256. [Google Scholar] [CrossRef]
- Almeida, M.P.; de Melo, F.; Hor-Meyll, M.; Salles, A.; Walborn, S.P.; Ribeiro, P.H.S.; Davidovich, L. Environment-Induced Sudden Death of Entanglement. Science 2007, 316, 579–582. [Google Scholar] [CrossRef]
- Zhou, D.; Lang, A.; Joynt, R. Disentanglement and decoherence from classical non-Markovian noise: Random telegraph noise. Quantum Inf. Proc. 2010, 9, 727–747. [Google Scholar] [CrossRef]
- Lo Franco, R.; D’Arrigo, A.; Falci, G.; Compagno, G.; Paladino, E. Entanglement dynamics in superconducting qubits affected by local bistable impurities. Phys. Scr. 2012, 2012, 014019. [Google Scholar] [CrossRef]
- Bordone, P.; Buscemi, F.; Benedetti, C. Effect of Markov and non-Markov classical noise on entanglement dynamics. Fluc. Noise Lett. 2012, 11, 1242003. [Google Scholar] [CrossRef]
- Bellomo, B.; Lo Franco, R.; Andersson, E.; Cresser, J.D.; Compagno, G. Dynamics of correlations due to a phase-noisy laser. Phys. Scr. 2012, 2012, 014004. [Google Scholar] [CrossRef]
- Cai, X. Quantum dephasing induced by non-Markovian random telegraph noise. Sci. Rep. 2020, 10, 1–11. [Google Scholar] [CrossRef]
- Wold, H.J.; Brox, H.; Galperin, Y.M.; Bergli, J. Decoherence of a qubit due to either a quantum fluctuator, or classical telegraph noise. Phys. Rev. B 2012, 86, 205404. [Google Scholar] [CrossRef]
- Perez-Leija, A.; Guzmán-Silva, D.; León-Montiel, R.d.J.; Gräfe, M.; Heinrich, M.; Moya-Cessa, H.; Busch, K.; Szameit, A. Endurance of quantum coherence due to particle indistinguishability in noisy quantum networks. NPJ Quantum Inf. 2018, 4, 45. [Google Scholar] [CrossRef]
- Paladino, E.; Galperin, Y.M.; Falci, G.; Altshuler, B.L. 1/f noise: Implications for solid-state quantum information. Rev. Mod. Phys. 2014, 86, 361–418. [Google Scholar] [CrossRef]
- Hamdouni, Y.; Petruccione, F. Time evolution and decoherence of a spin-1/2 particle coupled to a spin bath in thermal equilibrium. Phys. Rev. B 2007, 76, 174306. [Google Scholar] [CrossRef]
- Romero, K.M.F.; Lo Franco, R. Simple non-Markovian microscopic models for the depolarizing channel of a single qubit. Phys. Scr. 2012, 86, 065004. [Google Scholar] [CrossRef]
- Melikidze, A.; Dobrovitski, V.V.; De Raedt, H.A.; Katsnelson, M.I.; Harmon, B.N. Parity effects in spin decoherence. Phys. Rev. B 2004, 70, 014435. [Google Scholar] [CrossRef]
- Hutton, A.; Bose, S. Mediated entanglement and correlations in a star network of interacting spins. Phys. Rev. A 2004, 69, 042312. [Google Scholar] [CrossRef]
- Xin, T.; Wei, S.J.; Pedernales, J.S.; Solano, E.; Long, G.L. Quantum simulation of quantum channels in nuclear magnetic resonance. Phys. Rev. A 2017, 96, 062303. [Google Scholar] [CrossRef]
- Ryan, C.A.; Laforest, M.; Laflamme, R. Randomized benchmarking of single-and multi-qubit control in liquid-state NMR quantum information processing. New J. Phys. 2009, 11, 013034. [Google Scholar] [CrossRef]
- Kasprzak, J.; Richard, M.; Kundermann, S.; Baas, A.; Jeambrun, P.; Keeling, J.M.J.; Marchetti, F.M.; Szymańska, M.H.; André, R.; Staehli, J.L.; et al. Bose–Einstein condensation of exciton polaritons. Nature 2006, 443, 409–414. [Google Scholar] [CrossRef]
- Zipkes, C.; Palzer, S.; Sias, C.; Köhl, M. A trapped single ion inside a Bose–Einstein condensate. Nature 2010, 464, 388–391. [Google Scholar] [CrossRef] [PubMed]
- Puentes, G.; Voigt, D.; Aiello, A.; Woerdman, J.P. Experimental observation of universality in depolarized light scattering. Opt. Lett. 2005, 30, 3216–3218. [Google Scholar] [CrossRef] [PubMed]
- Puentes, G.; Aiello, A.; Voigt, D.; Woerdman, J.P. Entangled mixed-state generation by twin-photon scattering. Phys. Rev. A 2007, 75, 032319. [Google Scholar] [CrossRef]
- Shaham, A.; Eisenberg, H.S. Realizing controllable depolarization in photonic quantum-information channels. Phys. Rev. A 2011, 83, 022303. [Google Scholar] [CrossRef]













Publisher’s Note: MDPI stays neutral with regard to jurisdictional claims in published maps and institutional affiliations. |
© 2021 by the authors. Licensee MDPI, Basel, Switzerland. This article is an open access article distributed under the terms and conditions of the Creative Commons Attribution (CC BY) license (https://creativecommons.org/licenses/by/4.0/).
Share and Cite
Piccolini, M.; Nosrati, F.; Compagno, G.; Livreri, P.; Morandotti, R.; Lo Franco, R. Entanglement Robustness via Spatial Deformation of Identical Particle Wave Functions. Entropy 2021, 23, 708. https://doi.org/10.3390/e23060708
Piccolini M, Nosrati F, Compagno G, Livreri P, Morandotti R, Lo Franco R. Entanglement Robustness via Spatial Deformation of Identical Particle Wave Functions. Entropy. 2021; 23(6):708. https://doi.org/10.3390/e23060708
Chicago/Turabian StylePiccolini, Matteo, Farzam Nosrati, Giuseppe Compagno, Patrizia Livreri, Roberto Morandotti, and Rosario Lo Franco. 2021. "Entanglement Robustness via Spatial Deformation of Identical Particle Wave Functions" Entropy 23, no. 6: 708. https://doi.org/10.3390/e23060708
APA StylePiccolini, M., Nosrati, F., Compagno, G., Livreri, P., Morandotti, R., & Lo Franco, R. (2021). Entanglement Robustness via Spatial Deformation of Identical Particle Wave Functions. Entropy, 23(6), 708. https://doi.org/10.3390/e23060708

