Proposal to Test a Transient Deviation from Quantum Mechanics’ Predictions for Bell’s Experiment
Abstract
1. Introduction
- (i)
- Failure of the principle of correspondence in chaotic systems (“quantum chaos”).
- (ii)
- Evolution from a superposition state to the observed state of a system is not described by the theory (the “measurement” or “projection” problem).
- (iii)
- Correlations between measurements performed in distant regions of a spatially extended entangled state are higher than allowed by Local Realism (violation of Bell’s inequalities).
2. The AB Model
2.1. A Hidden Variables Theory
2.2. Delayed Reaction
3. A Proposal to Test the Transient Deviation Hypothesis
3.1. Difficulty of Direct Observation
3.2. Description of the Proposed Setup
- (i)
- The source of pairs: a set of nonlinear crystals is pumped with square-shaped laser pulses of rise time and fall time τrf and full duration τpulse, equally separated by a time Rp−1. All these parameters, and also the pump intensity, are adjustable. A laser diode at 405 nm pumping a pair of two crossed type-I phase-matched nonlinear crystals [22] seems to be the simplest choice.
- (ii)
- The stations A and B are provided with devices to record the time of detection of each photon (time stamping), and also the time of emission of each pump pulse (to determine the starting time of the stroboscopic reconstruction) with resolution τres. Samples of the pump are sent to each station to synchronize the starting time of each pulse. In some experiments devoted to test QM vs. LR, the analyzers’ settings {a,b} are varied randomly in a time shorter than τ to enforce the lack of correlation between the hidden variables and the settings. The assumed decay of α(t) and β(t) to a random state implies that the lack of correlation occurs spontaneously. This not only means an important experimental simplification, but it also solves the problem of ensuring settings’ randomness, which is a sort of infinite regress [23,24,25].Measurement runs are repeated with different values of L to scan the time scale.
- (iii)
- Time hierarchy: the following relationships should hold:τres ≪ τ, to resolve details of η(t).τrf ≪ τ, to allow pump pulse to be square shaped.τ ≪ τpulse, to give enough time to the evolution of α(t).τpulse ≪ Rp−1, to allow pulses to be well separated.τd ≪ Rp−1, to allow α(t) to decay to the regime of random emission.
3.3. Predicted Observations
- (I)
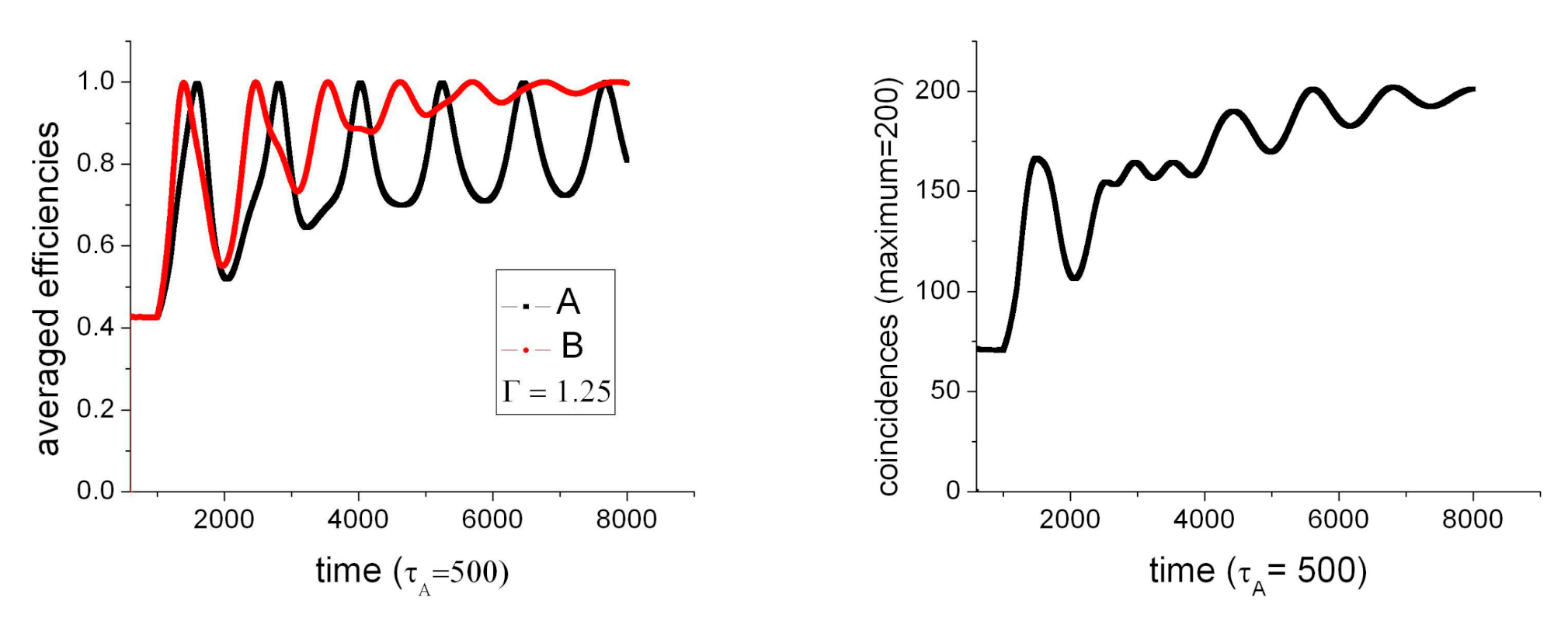
- At fixed L: <η>(t) increases with time until it saturates. Time needed to reach the saturation value decreases if source intensity is increased. At high intensity, oscillations may appear. If Rp is increased above a certain threshold (the unknown value τd−1), <η>(t = 0) would also start to increase, for α(t) and β(t) would have had no time to decay between pulses. In the limit case of a continuous source, <η> = 1.
- (II)
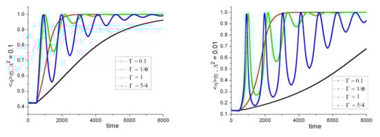
- At variable L: the time <η>(t) takes to reach saturation, and also the period of the oscillations (if they exist), increase with L.
4. Results Obtained in Incomplete Experiments
5. Conclusions
Author Contributions
Funding
Data Availability Statement
Acknowledgments
Conflicts of Interest
Appendix A. The Asymmetrical Setup
Appendix A.1. LA, LB Are Slightly Different

Appendix A.2. LA, LB Are Very Different

References
- Clauser, J.; Shimony, A. Bell’s theorem: Experimental tests and implications. Rep. Prog. Phys. 1978, 41, 1881. [Google Scholar] [CrossRef]
- Tresser, C. Bell’s theory with no locality assumption. Eur. Phys. J. D 2010, 58, 385. [Google Scholar] [CrossRef][Green Version]
- Gisin, N.; Rigo, M. Relevant and irrelevant nonlinear Schrödinger equations. J. Phys. A Math. Gen. 1995, 28, 7375. [Google Scholar] [CrossRef]
- Hansson, J. Nonlinear gauge interactions: A possible solution to the measurement problem in quantum mechanics. Phys. Essays 2010, 23, 237. [Google Scholar] [CrossRef]
- Gisin, N. Weinberg’s non-linear quantum mechanics and superluminal communications. Phys. Lett. A 1990, 143, 1–2. [Google Scholar] [CrossRef]
- Weinberg, S. Dreams of a Final Theory; Vintage: New York, NY, USA, 1994. [Google Scholar]
- Larsson, J. Loopholes in Bell Inequality Tests of Local Realism. J. Phys. A 2014, 47, 424003. [Google Scholar] [CrossRef]
- Aspect, A.; Dalibard, J.; Roger, G. Experimental test of Bell’s inequalities using time-varying analyzers. Phys. Rev. Lett. 1982, 49, 1804. [Google Scholar] [CrossRef]
- Weihs, G.; Jennewein, T.; Simon, C.; Weinfurter, H.; Zeilinger, A. Violation of Bell’s inequality under strict Einstein locality conditions. Phys. Rev. Lett. 1998, 81, 5039. [Google Scholar] [CrossRef]
- Wheeler, J.; Feynmann, R. Interaction with the absorber as the mechanism of radiation. Rev. Mod. Phys. 1945, 17, 157. [Google Scholar] [CrossRef]
- Pegg, D. Time symmetric electrodynamics and the Kocher-Commins experiment. Eur. J. Phys. 1982, 3, 44. [Google Scholar] [CrossRef]
- Giustina, M.; Versteegh, M.A.; Wengerowsky, S.; Handsteiner, J.; Hochrainer, A.; Phelan, K.; Steinlechner, F.; Kofler, J.; Larsson, J.Å.; Abellán, C.; et al. A significant loophole-free test of Bell’s theorem with entangled photons. Phys. Rev. Lett. 2015, 115, 250401. [Google Scholar] [CrossRef]
- Bierhorst, P.; Shalm, L.; Stevens, M.; Gerrits, T.; Glancy, S.; Allman, M.; Coakley, K.; Dyer, S.; Hodge, C.; Lita, A.; et al. A strong loophole-free test of Local realism. Phys. Rev. Lett. 2015, 115, 250402. [Google Scholar]
- Hensen, B.; Bernien, H.; Dréau, A.E.; Reiserer, A.; Kalb, N.; Blok, M.S.; Ruitenberg, J.; Vermeulen, R.F.; Schouten, R.N.; Abellán, C.; et al. Loophole-free Bell inequality violation using electron spins separated by 1.3 kilometres. Nature 2015, 526, 682. [Google Scholar] [CrossRef]
- Rosenfeld, W.; Burchardt, D.; Garthoff, R.; Redeker, K.; Ortegel, N.; Rau, M.; Weinfurter, H. Event-ready Bell-test using entangled atoms simultaneously closing detection and locality loopholes. arXiv 2016, arXiv:1611.04604. [Google Scholar] [CrossRef]
- Gill, R. Time, finite statistics, and Bell’s fifth position. arXiv 2010, arXiv:0301059v1. [Google Scholar]
- Hnilo, A. Consequences of recent loophole-free experiments on a relaxation of measurement independence. Phys. Rev. A 2017, 95, 022102. [Google Scholar] [CrossRef]
- Kurtsiefer, C.; Oberparleiter, M.; Weinfurter, H. High efficiency entangled photon pair collection in type II parametric fluorescence. Phys. Rev. A 2001, 64, 023802. [Google Scholar] [CrossRef]
- Peng, C.Z.; Yang, T.; Bao, X.H.; Jin, X.M.; Feng, F.Y.; Yang, B.; Yang, J.; Yin, J.; Zhang, Q.; Li, N.; et al. Experimental Free-Space Distribution of Entangled Photon Pairs over a Noisy Ground Atmosphere of 13 km. arXiv 2004, arXiv:quant-ph/0412218v1. [Google Scholar]
- Scheidl, T.; Ursin, R.; Kofler, J.; Ramelow, S.; Ma, X.S.; Herbst, T.; Ratschbacher, L.; Fedrizzi, A.; Langford, N.K.; Jennewein, T.; et al. Violation of local realism with freedom of choice. Proc. Natl. Acad. Sci. USA 2010, 107, 19708. [Google Scholar] [CrossRef]
- Agüero, M.; Hnilo, A.; Kovalsky, M. Time resolved measurement of the Bell’s inequalities and the coincidence-loophole. Phys. Rev. A 2012, 86, 052121. [Google Scholar] [CrossRef]
- Kwiat, P.G.; Waks, E.; White, A.G.; Appelbaum, I.; Eberhard, P.H. Ultrabright source of polarization-entangled photons. Phys. Rev. A 1999, 60, R773. [Google Scholar] [CrossRef]
- Hall, M.J.W. Local deterministic model of singlet state correlations. Phys. Rev. Lett. 2010, 105, 250404. [Google Scholar] [CrossRef] [PubMed]
- Barrett, J.; Gisin, N. How much measurement independence is needed in order to demonstrate non-locality? Phys. Rev. Lett. 2011, 106, 100406. [Google Scholar] [CrossRef] [PubMed]
- Hnilo, A. Hidden variables with directionalization. Found. Phys. 1991, 21, 547. [Google Scholar] [CrossRef]
- Agüero, M.; Hnilo, A.; Kovalsky, M. Measuring the entanglement of photons produced by a nanosecond pulsed source. J. Opt. Soc. Am. B 2014, 31, 3088. [Google Scholar] [CrossRef]
- Larsson, J.; Gill, R. Bell’s inequality and the coincidence-time loophole. Europhys. Lett. 2004, 67, 707. [Google Scholar] [CrossRef]
- Nonaka, M.; Kovalsky, M.; Agüero, M.; Hnilo, A. Testing how different levels of entanglement affect predictability in practical setups. Quantum Inf. Process. 2021, 20, 165. [Google Scholar] [CrossRef]






| Time Parameter (Name) | Description |
|---|---|
| τ (20–200 ns) | Time between stations, L/c |
| τres (2 ns) | Resolution of time stamping |
| τpulse (200 ns–2 μs) | Pulse duration |
| τrf (≪τpulse) | Pulse rise and fall time |
| τd (<12.5 ns?) | Decay time to initial state |
| Rp−1 (>τd) | Separation between pulses |
Publisher’s Note: MDPI stays neutral with regard to jurisdictional claims in published maps and institutional affiliations. |
© 2021 by the authors. Licensee MDPI, Basel, Switzerland. This article is an open access article distributed under the terms and conditions of the Creative Commons Attribution (CC BY) license (https://creativecommons.org/licenses/by/4.0/).
Share and Cite
Hnilo, A.A.; Agüero, M.B.; Kovalsky, M.G. Proposal to Test a Transient Deviation from Quantum Mechanics’ Predictions for Bell’s Experiment. Entropy 2021, 23, 1589. https://doi.org/10.3390/e23121589
Hnilo AA, Agüero MB, Kovalsky MG. Proposal to Test a Transient Deviation from Quantum Mechanics’ Predictions for Bell’s Experiment. Entropy. 2021; 23(12):1589. https://doi.org/10.3390/e23121589
Chicago/Turabian StyleHnilo, Alejandro Andrés, Monica Beatriz Agüero, and Marcelo Gregorio Kovalsky. 2021. "Proposal to Test a Transient Deviation from Quantum Mechanics’ Predictions for Bell’s Experiment" Entropy 23, no. 12: 1589. https://doi.org/10.3390/e23121589
APA StyleHnilo, A. A., Agüero, M. B., & Kovalsky, M. G. (2021). Proposal to Test a Transient Deviation from Quantum Mechanics’ Predictions for Bell’s Experiment. Entropy, 23(12), 1589. https://doi.org/10.3390/e23121589
