Constructal Optimization of Rectangular Microchannel Heat Sink with Porous Medium for Entropy Generation Minimization
Abstract
1. Introduction
2. MCHS Model
2.1. Geometric Model
2.2. Heat Transfer Model
3. Results and Discussion
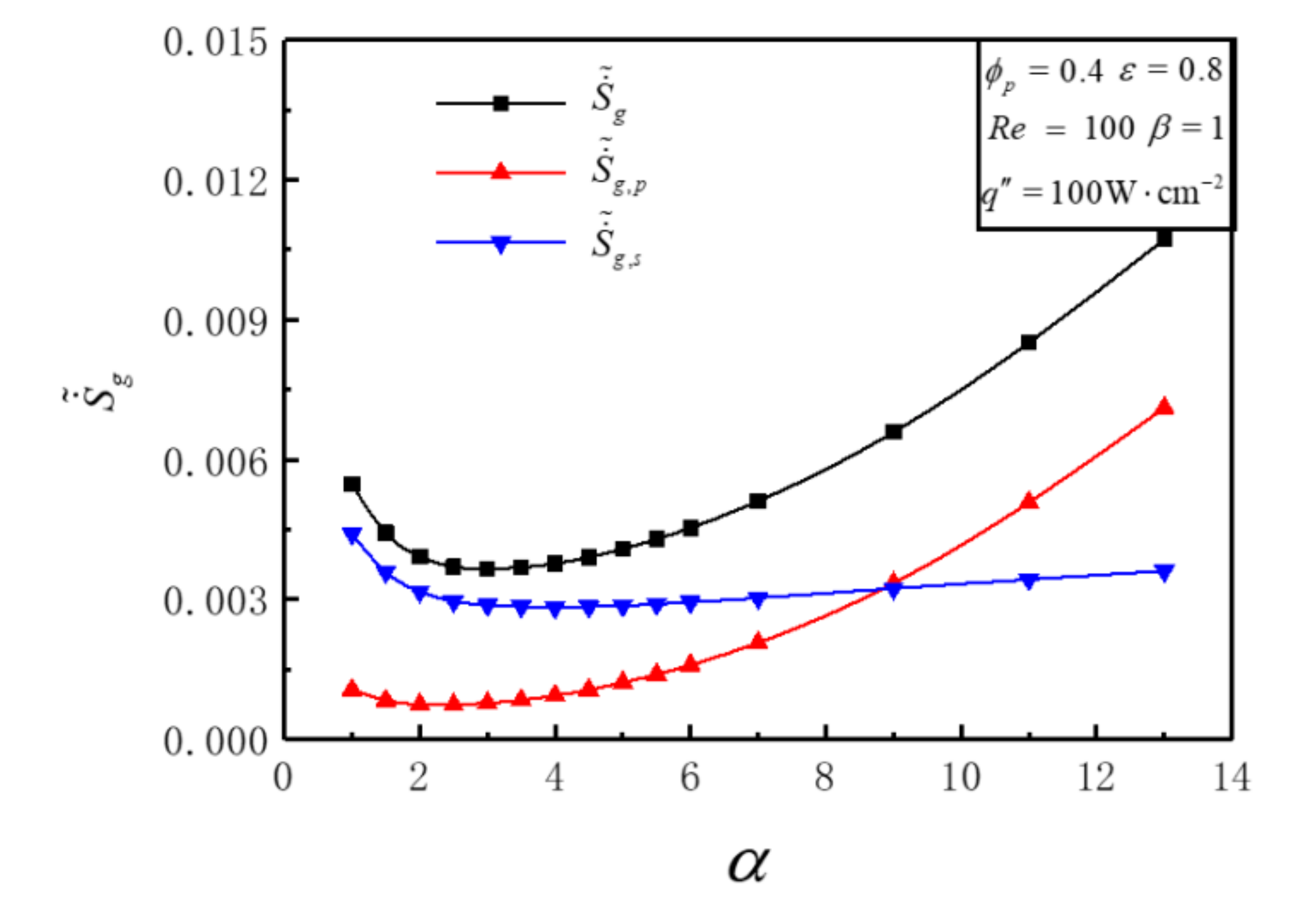
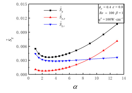
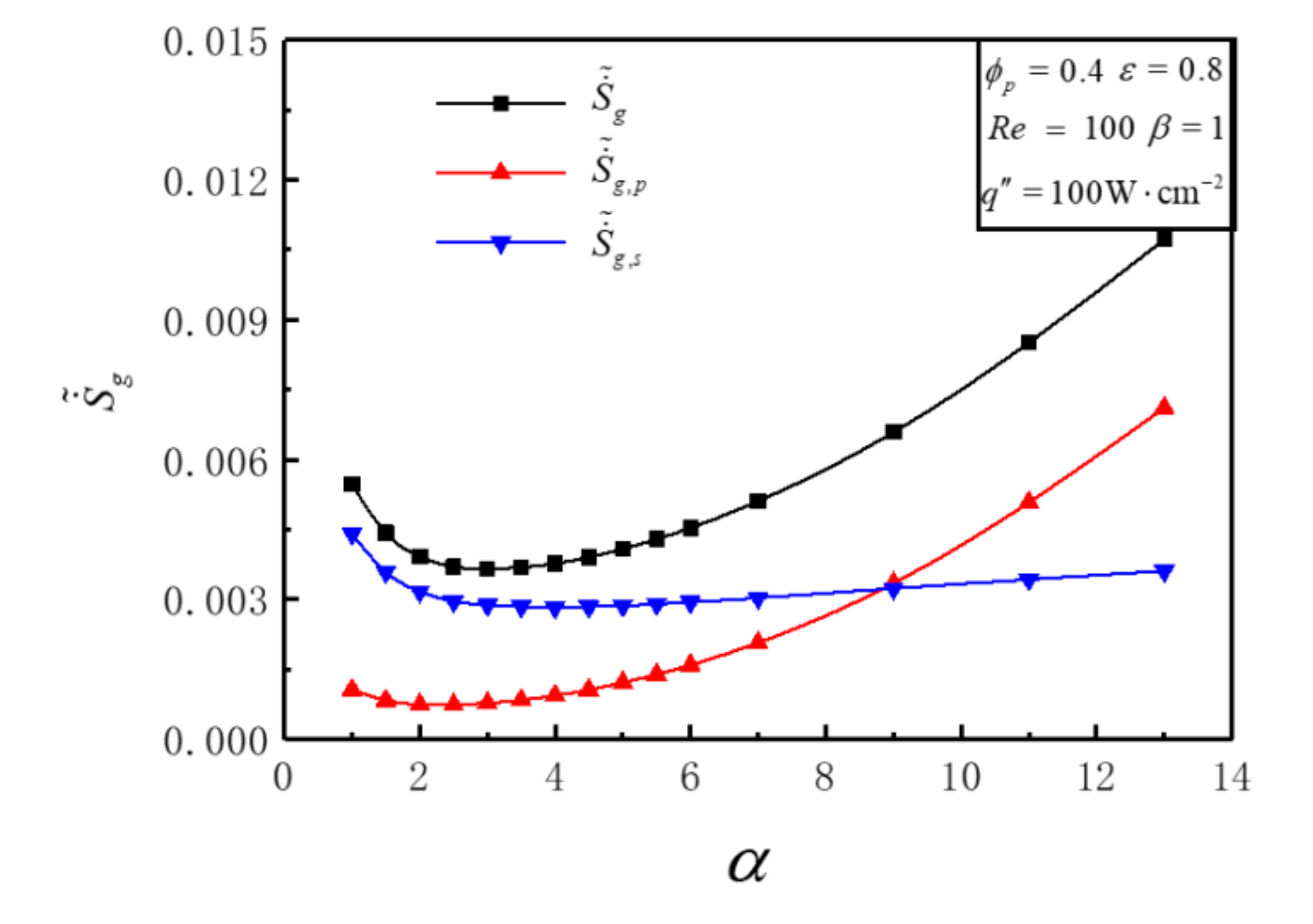
3.1. Basic Analysis and Optimization
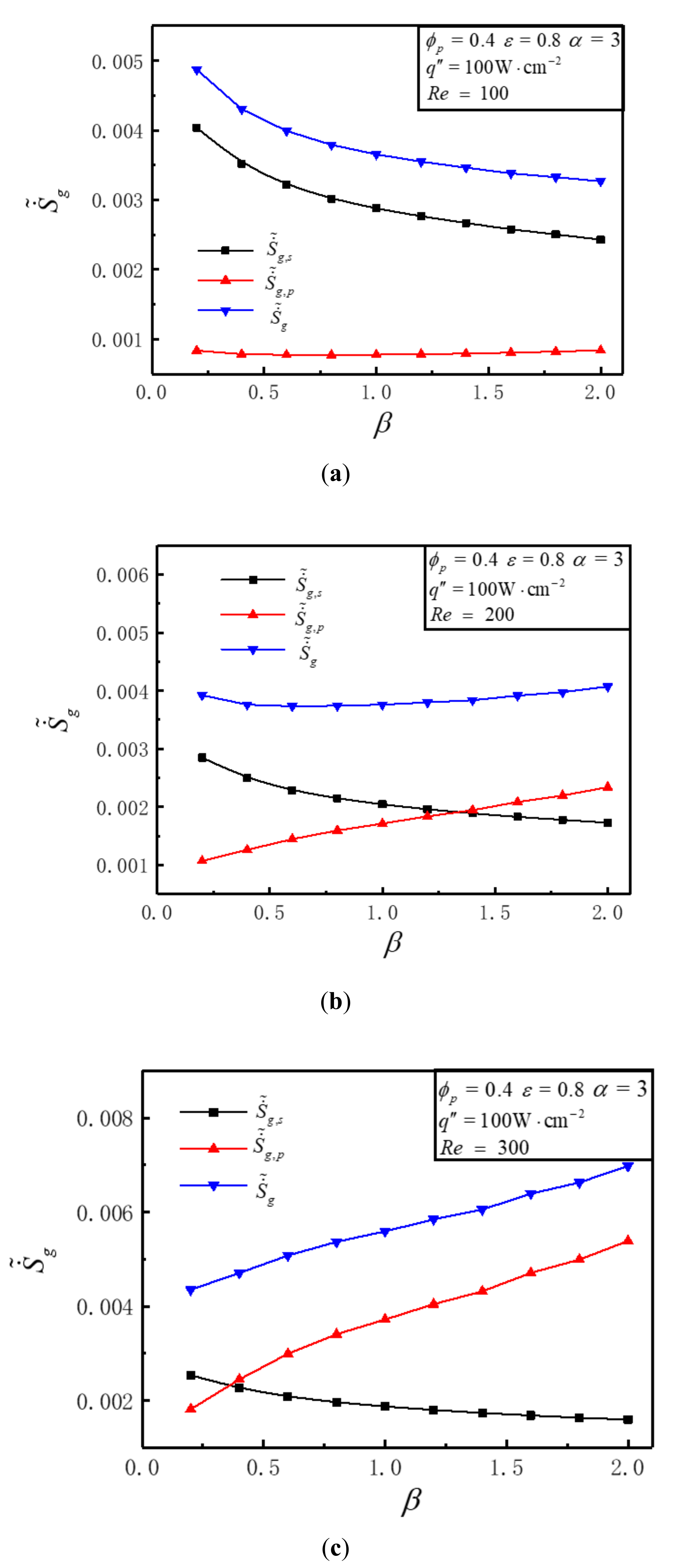
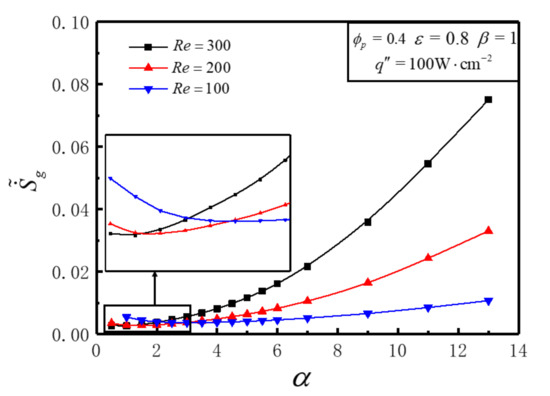
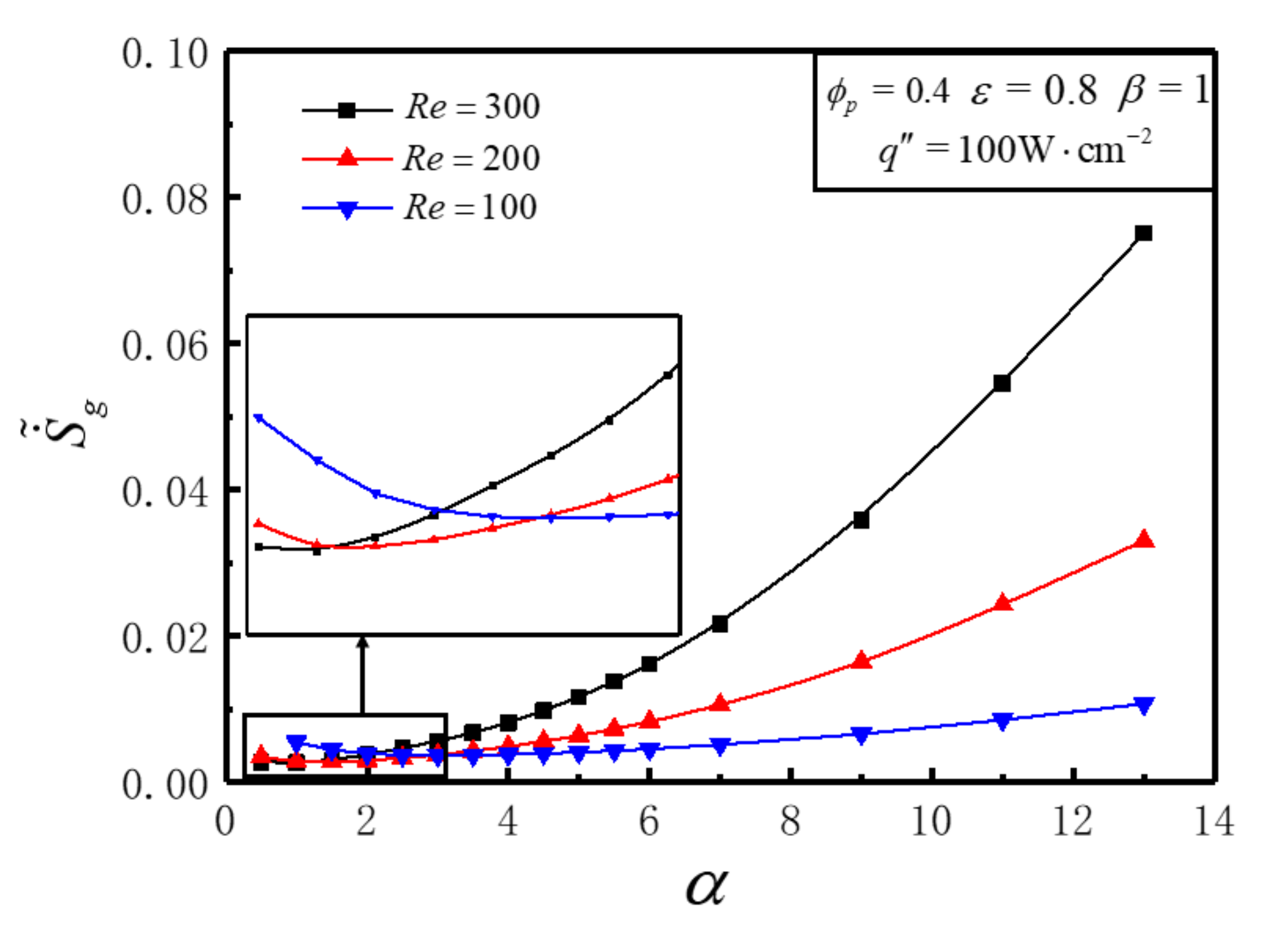
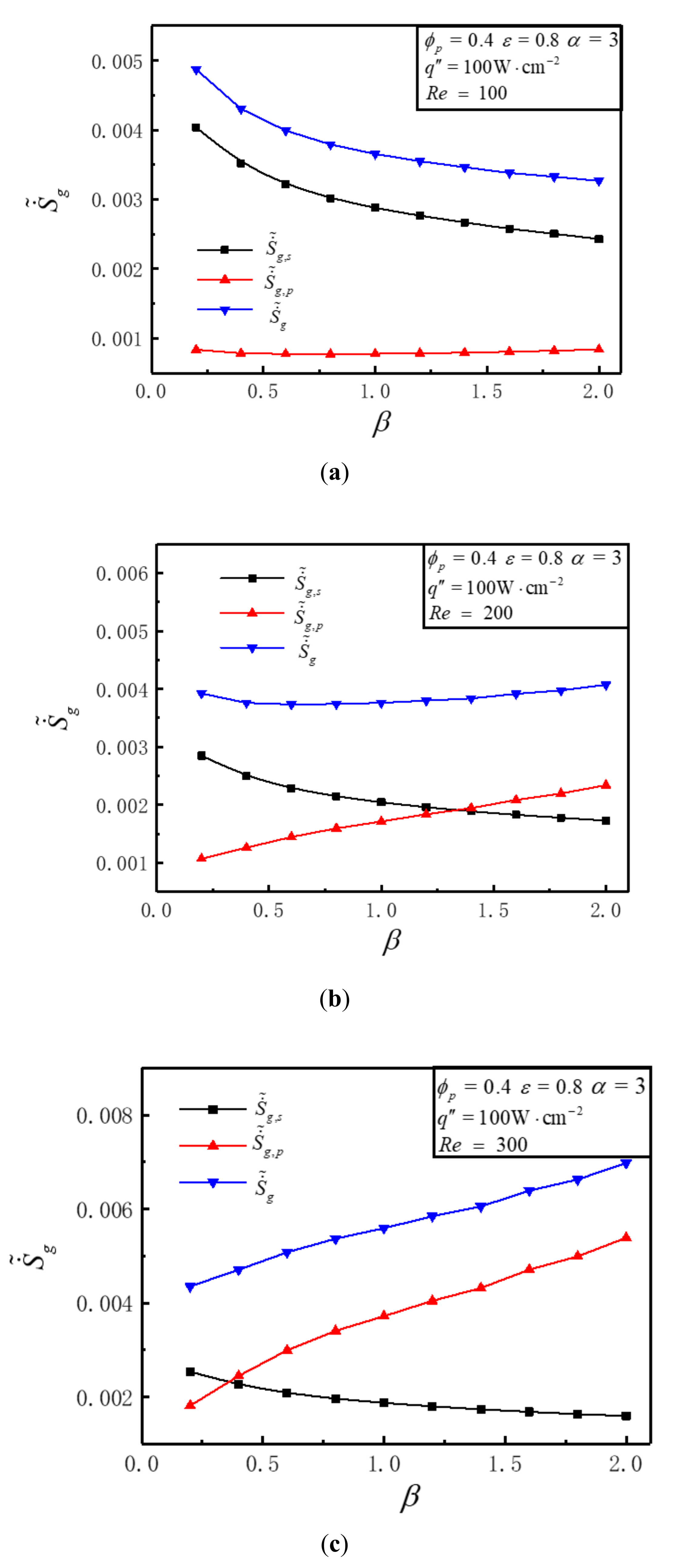
3.2. Effects of Reynolds Number on DEGR
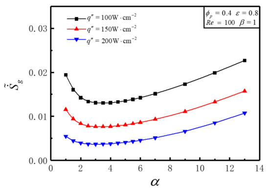
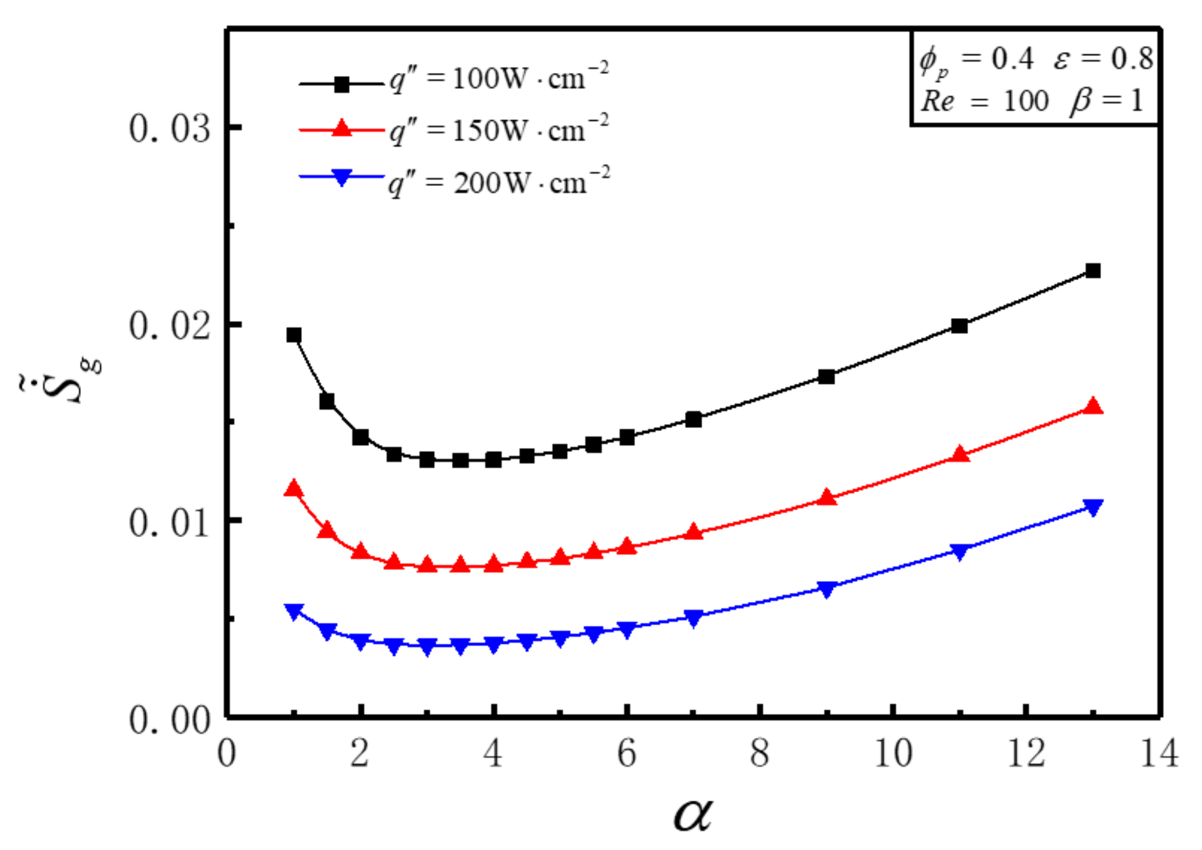
3.3. Effects of Heat Flux on DEGR
3.4. Effects of Volume Proportion of PM on DEGR
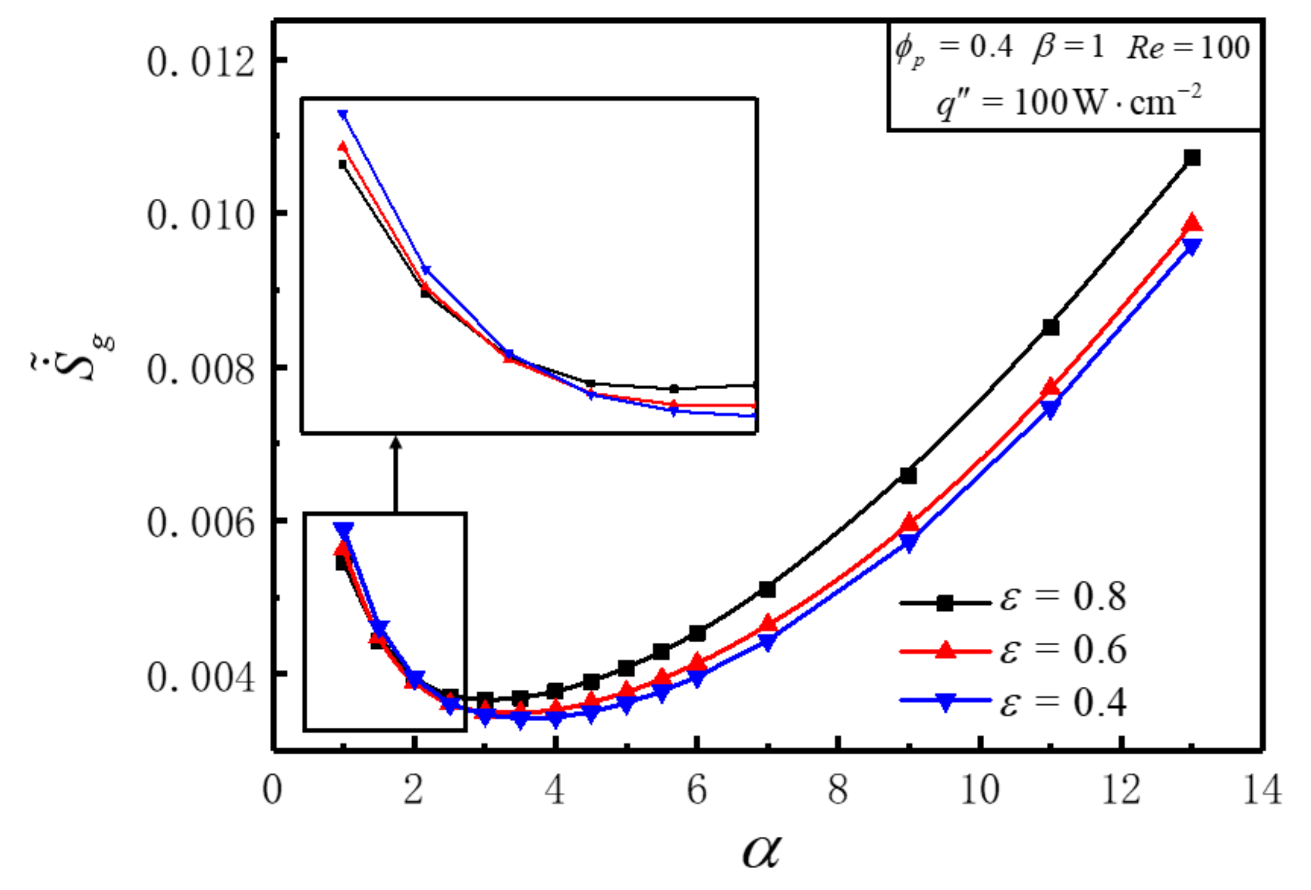
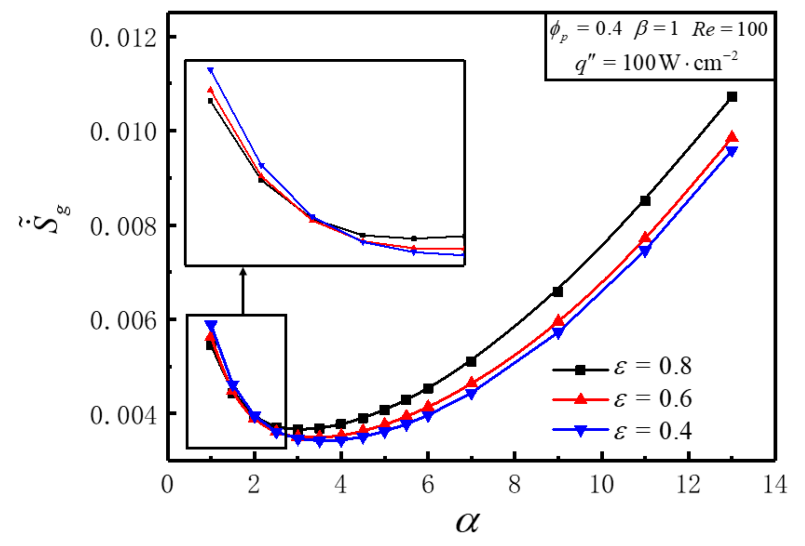
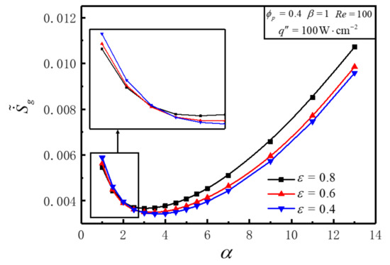
3.5. Effects of Porosity on DEGR
3.6. Effects of Length-Width Ratio on DEGR
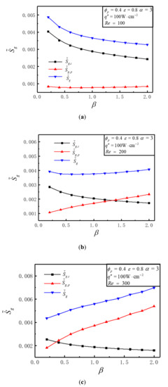
3.7. Aspect Ratio and Length-Width Ratio Are Optimized Simultaneously for EGM
4. Conclusions
Author Contributions
Funding
Acknowledgments
Conflicts of Interest
Nomenclatures
| CF | Forchheimer’s constant |
| c | Constant pressure specific heat capacity, J∙kg−1∙K−1 |
| Dh | Hydraulic diameter, mm |
| G | Width of heat sink cell, mm |
| K | Permeability, m2 |
| k | Thermal conductivity, W∙m−1∙K−1 |
| Lx | Length, mm |
| Ly | Width, mm |
| H | Height, mm |
| N | Number of cell |
| n | Normal direction of interface |
| P | Pumping power, W |
| p | Pressure, Pa |
| Q | Total heating power, W |
| Heat flux vector, W∙cm−2 | |
| Heat flux, W∙cm−2 | |
| S | Bottom area, mm2 |
| Entropy generation rate, W∙K−1 | |
| T | Temperature, K |
| V | Velocity vector, m∙s−1 |
| Vc | Volume of a cell, mm3 |
| Vp | Volume of porous medium in a cell, mm3 |
| Wc | Channel width of a cell, mm |
| Wr | Thickness of a rib, mm |
| Greek Letters | |
| A | Aspect ratio of a cell |
| Length-width ratio of heat sink | |
| Density, kg∙m−3 | |
| Dynamic viscosity coefficient, Pa∙s | |
| Volume proportion of porous medium | |
| ε | Porosity |
| Viscous dissipation function per unit volume | |
| Superscripts | |
| ~ | Dimensionless |
| Subscripts | |
| eff | Effective |
| f | Fluid |
| in | Inlet |
| max | Maximum |
| opt | Optimal |
| out | Outlet |
| p | Porous medium region |
| s | Solid |
| Abbreviation | |
| Be | Bejan number |
| DEGR | Dimensionless entropy generation rate |
| EGM | Entropy generation minimization |
| EGR | Entropy generation rate |
| HS | Heat sink |
| MCHS | Microchannel heat sink |
| PM | Porous medium |
| Re | Reynolds number |
References
- Agostini, B.; Fabbri, M.; Park, J.E.; Wojtan, L.; Thome, J.R.; Michel, B. State of the art of high heat flux cooling technologies. Heat Transfer Eng. 2007, 28, 258–281. [Google Scholar] [CrossRef]
- Mudawar, I. Assessment of high-heat-flux thermal management schemes. IEEE Trans. Compon. Packag. Technol. 2001, 24, 122–141. [Google Scholar] [CrossRef]
- Ebadian, M.A.; Lin, C.X. A review of high-heat-flux heat removal technologies. J. Heat Transfer 2011, 133, 110801. [Google Scholar] [CrossRef]
- Erp, R.V.; Soleimanzadeh, R.; Nela, L.; Kampitsis, G.; Matioli, E. Co-designing electronics with microfluidics for more sustainable cooling. Nature 2020, 585, 211–216. [Google Scholar] [CrossRef]
- Abo-Zahhad, E.M.; Ookawara, S.; Radwan, A.; El-Shazly, A.H.; ElKady, M.F. Thermal and structure analyses of high concentrator solar cell under confined jet impingement cooling. Energy Convers. Manag. 2018, 176, 39–54. [Google Scholar] [CrossRef]
- Dixit, T.; Ghosh, I. Review of micro-and mini-channel heat sinks and heat exchangers for single phase fluids. Renew. Sustain. Energy Rev. 2015, 41, 1298–1311. [Google Scholar] [CrossRef]
- Bansal, N.; Sehgal, S.S. Fluid flow within radial micro channel heat sink: A review. Indian J. Sci. Technol. 2016, 9, 1–9. [Google Scholar] [CrossRef][Green Version]
- Bejan, A. Entropy Generation through Heat and Fluid Flow; Wiley: New York, NY, USA, 1982. [Google Scholar]
- Bejan, A. Entropy Generation Minimization; CRC Press: Boca Raton, FL, USA, 1996. [Google Scholar]
- Bejan, A. Entropy generation minimization: The new thermodynamics of finite-size devices and finite-time processes. J. Appl. Phys. 1996, 79, 1191–1218. [Google Scholar] [CrossRef]
- Chen, L.G.; Sun, F.R. Advances in Finite Time Thermodynamics: Analysis and Optimization; Nova Science Publishers: New York, NY, USA, 2004. [Google Scholar]
- Bejan, A. Advanced Engineering Thermodynamics, 3rd ed.; Wiley: Hoboken, NJ, USA, 2006. [Google Scholar]
- Bejan, A. Fundamental of exergy analysis, entropy generation minimization and the generation of flow architecture. Int. J. Energ. Res. 2002, 26, 545–565. [Google Scholar] [CrossRef]
- Bejan, A. Entropy generation minimization, exergy analysis, and the constructal law. Arab. J. Sci. Eng. 2013, 38, 329–340. [Google Scholar] [CrossRef]
- Li, S.N.; Cao, B.Y. Memory behaviors of entropy production rates in heat conduction. Phys. A Stat. Mech. Its Appl. 2018, 492, 105–112. [Google Scholar] [CrossRef]
- Tian, X.W.; Wang, L.Q. Heat conduction in cylinders: Entropy generation and mathematical inequalities. Int. J. Heat Mass Transf. 2018, 121, 1137–1145. [Google Scholar] [CrossRef]
- Avellaneda, J.M.; Bataille, F.; Toutant, A.; Flamant, G. Variational entropy generation minimization of a channel flow: Convective heat transfer in a gas flow. Int. J. Heat Mass Transf. 2020, 160, 120168. [Google Scholar] [CrossRef]
- Berrehal, H.; Mabood, F.; Makinde, O.D. Entropy-optimized radiating water/FCNTs nanofluid boundary-layer flow with convective condition. Eur. Phys. J. Plus 2020, 135, 535. [Google Scholar]
- Sodagar, A.J.; Ebrahimi, M.A.; Farzaneh, G.M.; Norouzi, A. Optimizing chevron plate heat exchangers based on the second law of thermodynamics and genetic algorithm. J. Therm. Anal. Calorim. 2020, 139, 3563–3576. [Google Scholar] [CrossRef]
- Insinga, A.R. The quantum friction and optimal finite-time performance of the quantum Otto cycle. Entropy 2020, 22, 1060. [Google Scholar] [CrossRef]
- Dobre, C.; Grosu, L.; Costea, M.; Constantin, M. Beta type Stirling engine. Schmidt and finite physical dimensions thermodynamics methods faced to experiments. Entropy 2020, 22, 1278. [Google Scholar] [CrossRef]
- Moghaddam, A.J.; Saedodin, S. Entropy generation minimization of pin fin heat sinks by means of metaheuristic methods. Indian J. Sci. Technol. 2013, 6, 4886–4893. [Google Scholar] [CrossRef]
- Al-Rashed, A.; Kolsi, L.; Oztop, H.; Abu-Hamdeh, N.; Borjini, M. Natural convection and entropy production in a cubic cavity heated via pin-fins heat sinks. Int. J. Heat Technol. 2017, 35, 109–115. [Google Scholar] [CrossRef]
- Chauhan, P.R.; Kumar, R.; Bharj, R.S. Optimization of the circular microchannel heat sink under viscous heating effect using entropy generation minimization method. Therm. Sci. Eng. Prog. 2019, 13, 100365. [Google Scholar] [CrossRef]
- Li, P.; Guo, D.Z.; Huang, X.Y. Heat transfer enhancement, entropy generation and temperature uniformity analyses of shark-skin bionic modified microchannel heat sink. Int. J. Heat Mass Transf. 2020, 146, 118846. [Google Scholar] [CrossRef]
- Bejan, A. Street network theory of organization in nature. J. Adv. Transp. 1996, 30, 85–107. [Google Scholar] [CrossRef]
- Bejan, A. Constructal-theory network of conducting paths for cooling a heat generating volume. Int. J. Heat Mass Tranf. 1997, 40, 799–816. [Google Scholar] [CrossRef]
- Chen, L.G. Progress in study on constructal theory and its applications. Sci. China Technol. Sci. 2012, 55, 802–820. [Google Scholar] [CrossRef]
- Bejan, A. Shape and Structure, from Engineering to Nature; Cambridge University Press: Cambridge, UK, 2000. [Google Scholar]
- Bejan, A.; Lorente, S. Design with Constructal Theory; Wiley: Hoboken, NJ, USA, 2008. [Google Scholar]
- Rocha, L.A.O.; Lorente, S.; Bejan, A. Constructal Law and the Unifying Principle of Design; Springer: Berlin, Germany, 2013. [Google Scholar]
- Chen, L.G.; Feng, H.J. Multi-Objective Constructal Optimization for Flow and Heat and Mass Transfer Processes; Science Press: Beijing, China, 2016. (In Chinese) [Google Scholar]
- Lorente, S.; Bejan, A. Current trends in constructal law and evolutionary design. Heat Transfer Asian Res. 2019, 48, 357–389. [Google Scholar] [CrossRef]
- Chen, L.G.; Feng, H.J.; Xie, Z.H.; Sun, F.R. Progress of constructal theory in China over the past decade. Int. J. Heat Mass Transf. 2019, 130, 393–419. [Google Scholar] [CrossRef]
- Chen, L.G.; Yang, A.B.; Feng, H.J.; Ge, Y.L.; Xia, S.J. Constructal design progress for eight types of heat sinks. Sci. China Technol. Sci. 2020, 63, 879–911. [Google Scholar] [CrossRef]
- Chen, L.G.; You, J.; Feng, H.J.; Xie, Z.H. Constructal optimization for “disc-point” heat conduction with nonuniform heat generating. Int. J. Heat Mass Transf. 2019, 134, 1191–1198. [Google Scholar] [CrossRef]
- Shi, H.N.; Xie, Z.H.; Chen, L.G.; Sun, F.R. Constructal optimization for line-to-line vascular based on entropy generation minimization principle. Int. J. Heat Mass Transf. 2018, 126, 848–854. [Google Scholar] [CrossRef]
- Pedroti, V.A.; Escobar, C.C.; dos Santos, E.D.; Souza, J.A. Thermal analysis of tubular arrangements submitted to external flow using constructal theory. Int. Comm. Heat Mass Transf. 2020, 111, 104458. [Google Scholar] [CrossRef]
- Ariyo, D.O.; Bello-Ochende, T. Constructal design of subcooled microchannel heat exchangers. Int. J. Heat Mass Transf. 2020, 146, 118835. [Google Scholar] [CrossRef]
- Cai, C.G.; Feng, H.J.; Chen, L.G.; Wu, Z.X. Constructal design of a shell-and-tube evaporator with ammonia-water working fluid. Int. J. Heat Mass Transf. 2019, 135, 541–547. [Google Scholar] [CrossRef]
- Feng, H.J.; Xie, Z.J.; Chen, L.G.; Wu, Z.X.; Xia, S.J. Constructal design for supercharged boiler superheater. Energy 2020, 191, 116484. [Google Scholar] [CrossRef]
- Feng, H.J.; Chen, L.G.; Xie, Z.H.; Sun, F.R. “Disc-point” heat and mass transfer constructal optimization for solid-gas reactors based on entropy generation minimization. Energy 2015, 83, 431–437. [Google Scholar] [CrossRef]
- Wu, Z.X.; Feng, H.J.; Chen, L.G.; Tang, W. Constructal thermodynamic optimization for ocean thermal energy conversion system with dual-pressure organic Rankine cycle. Energy Convers. Manag. 2020, 210, 112727. [Google Scholar] [CrossRef]
- Bello-Ochende, T.; Meyer, J.P.; Ighalo, F.U. Combined numerical optimization and constructal theory for the design of microchannel heat sinks. Numer. Heat Transfer Part A 2010, 58, 882–899. [Google Scholar] [CrossRef]
- Xie, G.N.; Zhang, F.L.; Sundén, B.; Zhang, W.H. Constructal design and thermal analysis of microchannel heat sinks with multistage bifurcations in single-phase liquid flow. Appl. Therm. Eng. 2014, 62, 791–802. [Google Scholar] [CrossRef]
- Salimpour, M.R.; Al-Sammarraie, A.T.; Forouzandeh, A.; Farzaneh, M. Constructal design of circular multilayer microchannel heat sinks. J. Therm. Sci. Eng. Appl. 2019, 11, 011001. [Google Scholar] [CrossRef]
- Lu, Z.H.; Zhang, K.; Liu, J.X.; Li, F. Effect of branching level on the performance of constructal theory based Y-shaped liquid cooling heat sink. Appl. Therm. Eng. 2020, 168, 114824. [Google Scholar] [CrossRef]
- Badescu, V.; Baracu, T.; Avram, R.; Grigore, R.; Patrascu, M. On the design and optimization of constructal networks of heat exchangers by considering entropy generation minimization and thermoeconomics. Proc. Rom. Acad. 2018, 19, 273–278. [Google Scholar]
- Chen, L.G.; Yang, A.B.; Xie, Z.H.; Sun, F.R. Constructal entropy generation rate minimization for cylindrical pin-fin heat sinks. Int. J. Therm. Sci. 2017, 111, 168–174. [Google Scholar] [CrossRef]
- Yang, A.B.; Chen, L.G.; Xie, Z.H.; Sun, F.R. Constructal operation cost minimization for in-line cylindrical pin-fin heat sinks. Int. J. Heat Mass Transf. 2019, 129, 562–568. [Google Scholar] [CrossRef]
- Samal, B.; Barik, A.K.; Awad, M.M. Thermo-fluid and entropy generation analysis of newly designed loops for constructal cooling of a square plate. Appl. Therm. Eng. 2019, 156, 250–262. [Google Scholar] [CrossRef]
- Wang, R.; Xie, Z.H.; Yin, Y.; Chen, L.G. Constructal design of elliptical cylinders with heat generating for entropy generation minimization. Entropy 2020, 22, 651. [Google Scholar] [CrossRef]
- Yang, K.; Huang, W.; Li, X.; Wang, J.B. Analytical analysis of heat transfer and entropy generation in a tube filled with double-layer porous media. Entropy 2020, 22, 1214. [Google Scholar] [CrossRef]
- Aminian, E.; Moghadasi, H.; Saffari, H.; Gheitaghy, A.M. Investigation of forced convection enhancement and entropy generation of nanofluid flow through a corrugated minichannel filled with a porous media. Entropy 2020, 22, 1008. [Google Scholar] [CrossRef]
- Bhattacharya, A.; Mahajan, R.L. Finned metal foam heat sinks for electronics cooling in forced convection. J. Electron. Packag. 2002, 124, 155–163. [Google Scholar] [CrossRef]
- Hung, T.C.; Huang, Y.X.; Yan, W.M. Thermal performance of porous microchannel heat sink: Effects of enlarging channel outlet. Int. Commun. Heat Mass Transf. 2013, 48, 86–92. [Google Scholar] [CrossRef]
- Hung, T.C.; Huang, Y.X.; Yan, W.M. Thermal performance analysis of porous-microchannel heat sinks with different configuration designs. Int. Commun. Heat Mass Transf. 2013, 66, 235–243. [Google Scholar] [CrossRef]
- Leng, C.; Wang, X.D.; Wang, T.H.; Yan, W.M. Fluid flow and heat transfer in microchannel heat sink based on porous fin design concept. Int. Commun. Heat Mass Transf. 2015, 65, 52–57. [Google Scholar]
- Chen, K.C.; Wang, C.C. Performance improvement of high power liquid-cooled heat sink via non-uniform metal foam arrangement. Appl. Therm. Eng. 2015, 87, 41–46. [Google Scholar] [CrossRef]
- Gong, L.; Li, Y.T.; Bai, Z.; Xu, M.H. Thermal performance of micro-channel heat sink with metallic porous/solid compound fin design. Appl. Therm. Eng. 2018, 65, 288–295. [Google Scholar] [CrossRef]
- Li, Y.T.; Gong, L.; Xu, M.H.; Joshi, Y. Hydraulic and thermal performances of metal foam and pin fin hybrid heat sink. Appl. Therm. Eng. 2019, 166, 114665. [Google Scholar] [CrossRef]
- Ghorbani, M.; Salimpour, M.R.; Vafai, K. Microchannel thermal performance optimization utilizing porous layer configurations. Int. J. Heat Mass Transf. 2019, 133, 62–72. [Google Scholar] [CrossRef]
- Rasam, H.; Roy, P.; Savoldi, L.; Ghahremanian, S. Numerical assessment of heat transfer and entropy generation of a porous metal heat sink for electronic cooling applications. Energies 2020, 13, 3851. [Google Scholar] [CrossRef]
- Wang, T.H.; Wu, H.C.; Meng, J.H.; Yan, W.M. Optimization of a double-layered microchannel heat sink with semi-porous-ribs by multi-objective genetic algorithm. Int. J. Heat Mass Transf. 2020, 149, 119217. [Google Scholar] [CrossRef]
- Bejan, A. Designed porous media: Maximal heat transfer density at decreasing length scales. Int. J. Heat Mass Transf. 2004, 47, 3073–3083. [Google Scholar] [CrossRef]
- Ordonez, J.C.; Bejan, A.; Cherry, R.S. Designed porous media: Optimally nonuniform flow structures connecting one point with more points. Int. J. Therm. Sci. 2003, 42, 857–870. [Google Scholar] [CrossRef]
- Wildi-Tremblay, P.; Gosselin, L. Layered porous media architecture for maximal cooling. Int. J. Heat Mass Transf. 2007, 50, 464–478. [Google Scholar] [CrossRef]
- Lorente, S. Constructal view of eclectrokinetic transfer through porous media. J. Phys. D Appl. Phys. 2007, 40, 2941–2947. [Google Scholar] [CrossRef]
- Lorente, S.; Bejan, A. Heterogeneous porous media as multiscale structures for maximum flow access. J. Appl. Phys. 2006, 100, 114909. [Google Scholar] [CrossRef]
- Azoumah, Y.; Neveu, P.; Mazet, N. Constructal network for heat and mass transfer in a solid-gas reactive porous medium. Int. J. Heat Mass Transf. 2004, 47, 2961–2970. [Google Scholar] [CrossRef]
- Azoumah, Y.; Neveu, P.; Mazet, N. Constructal design combined with entropy generation minimization for solid-gas reactors. Int. J. Therm. Sci. 2006, 45, 716–728. [Google Scholar] [CrossRef]
- Zhou, S.B.; Chen, L.G.; Sun, F.R. Constructal entropy generation minimization for heat and mass transfer in a solid-gas reactor based on triangular element. J. Phys. D Appl. Phys. 2007, 40, 3545–3550. [Google Scholar] [CrossRef]













| Geometric Parameters | Expressions | Remarks |
|---|---|---|
| Volume Vc of the HS cell | Constant, 0.9 mm3, Geometric constraint | |
| Bottom area S of the HS | Constant, 100 mm2, Geometric constraint | |
| Volume proportion of PM | Constant, Geometric constraint | |
| Aspect ratio α of the cell | Independent variable | |
| Length-width ratio β of the HS | Independent variable | |
| Length Lx of the HS | Dependent variable | |
| Width Ly of the HS | Dependent variable | |
| Height H of the HS | Dependent variable | |
| Number N of cell | Dependent variable | |
| Width Wc of PM in a cell | Dependent variable | |
| Width Wr of the solid fin in a cell | Dependent variable |
| Calculation Order | Number of Units | ||
|---|---|---|---|
| 1 | 66,271 | 0.005604 | — |
| 2 | 182,511 | 0.005539 | 1.2% |
| 3 | 356,006 | 0.005489 | 0.9% |
| Re | αopt | Nopt | Dh/mm | |
|---|---|---|---|---|
| 100 | 3 | 0.003656 | 58 | 0.1223 |
| 200 | 1.5 | 0.002779 | 41 | 0.1547 |
| 300 | 1 | 0.002620 | 33 | 0.1714 |
| ε | αopt | Nopt | Dh/mm | |
|---|---|---|---|---|
| 0.4 | 3.5 | 0.003427 | 62 | 0.09681 |
| 0.6 | 3.5 | 0.003503 | 62 | 0.09681 |
| 0.8 | 3 | 0.003656 | 58 | 0.10280 |
Publisher’s Note: MDPI stays neutral with regard to jurisdictional claims in published maps and institutional affiliations. |
© 2021 by the authors. Licensee MDPI, Basel, Switzerland. This article is an open access article distributed under the terms and conditions of the Creative Commons Attribution (CC BY) license (https://creativecommons.org/licenses/by/4.0/).
Share and Cite
Li, W.; Xie, Z.; Xi, K.; Xia, S.; Ge, Y. Constructal Optimization of Rectangular Microchannel Heat Sink with Porous Medium for Entropy Generation Minimization. Entropy 2021, 23, 1528. https://doi.org/10.3390/e23111528
Li W, Xie Z, Xi K, Xia S, Ge Y. Constructal Optimization of Rectangular Microchannel Heat Sink with Porous Medium for Entropy Generation Minimization. Entropy. 2021; 23(11):1528. https://doi.org/10.3390/e23111528
Chicago/Turabian StyleLi, Wenlong, Zhihui Xie, Kun Xi, Shaojun Xia, and Yanlin Ge. 2021. "Constructal Optimization of Rectangular Microchannel Heat Sink with Porous Medium for Entropy Generation Minimization" Entropy 23, no. 11: 1528. https://doi.org/10.3390/e23111528
APA StyleLi, W., Xie, Z., Xi, K., Xia, S., & Ge, Y. (2021). Constructal Optimization of Rectangular Microchannel Heat Sink with Porous Medium for Entropy Generation Minimization. Entropy, 23(11), 1528. https://doi.org/10.3390/e23111528

