Cryptography in Hierarchical Coded Caching: System Model and Cost Analysis
Abstract
1. Introduction
2. Problem Statement
2.1. Related Works
2.2. Centralized Schemes
2.3. Decentralized Schemes
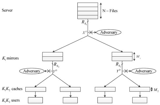
2.4. Hierarchical Coded Caching Scheme
2.5. Secure Coded Caching Scheme
2.6. Motivations
3. Secure Hierarchical Coded Caching
4. Fundamental Limits and Cost Analysis
4.1. Preliminary Discussions
4.2. Secure Achievable Rates
4.3. Memory Requirements
4.4. Lower Bounds
5. Gap Analysis
5.1. against
5.2. against
6. Conclusions and Further Works
Author Contributions
Funding
Institutional Review Board Statement
Informed Consent Statement
Data Availability Statement
Acknowledgments
Conflicts of Interest
References
- Maddah-Ali, M.A.; Niesen, U. Fundamental limits of caching. IEEE Trans. Inf. Theory 2014, 60, 2856–2867. [Google Scholar] [CrossRef]
- Sengupta, A.; Tandon, R.; Clancy, T.C. Decentralized caching with secure delivery. In Proceedings of the IEEE International Symposium on Information Theory, Honolulu, HI, USA, 29 June–4 July 2014. [Google Scholar]
- Sengupta, A.; Tandon, R.; Clancy, T.C. Fundamental limits of caching with secure delivery. IEEE Trans. Inf. Forensics Secur. 2015, 10, 355–370. [Google Scholar] [CrossRef]
- Karamchandani, N.; Niesen, U.; Maddah-Ali, M.A.; Diggavi, S.N. Hierarchical coded caching. IEEE Trans. Inf. Theory 2016, 62, 3212–3229. [Google Scholar] [CrossRef]
- Bai, B.; Li, W.; Wang, L.; Zhang, G. Coded caching in fog-ran: b-matching approach. IEEE Trans. Commun. 2019, 67, 3753–3767. [Google Scholar] [CrossRef]
- Cao, H.; Yan, Q.; Tang, X. Reducing search complexity of coded caching by shrinking search space. IEEE Commun. Lett. 2019, 23, 568–571. [Google Scholar] [CrossRef]
- Kim, G.; Hong, B.; Choi, W.; Park, H. Mds-coded caching leveraged by coordinated multi-point transmission. IEEE Commun. Lett. 2018, 22, 1220–1223. [Google Scholar] [CrossRef]
- Luo, T.; Peleato, B. The transfer load-i/o trade-off for coded caching. IEEE Commun. Lett. 2018, 22, 1524–1527. [Google Scholar] [CrossRef]
- Zhang, J.; Lin, X.; Wang, X. Coded caching under arbitrary popularity distributions. IEEE Trans. Inf. Theory 2018, 64, 349–366. [Google Scholar] [CrossRef]
- Cao, Y.; Tao, M. Treating content delivery in multi-antenna coded caching as general message sets transmission: A dof region perspective. IEEE Trans. Wirel. Commun. 2019, 18, 3129–3141. [Google Scholar] [CrossRef]
- Ngo, K.-H.; Yang, S.; Kobayashi, M. Scalable content delivery with coded caching in multi-antenna fading channels. IEEE Trans. Wirel. Commun. 2018, 17, 548–562. [Google Scholar] [CrossRef]
- Yang, Q.; Gündüz, D. Coded caching and content delivery with heterogeneous distortion requirements. IEEE Trans. Inf. Theory 2018, 64, 4347–4364. [Google Scholar] [CrossRef]
- Pedersen, J.; Amat, A.G.; Andriyanova, I.; Brännström, F. Optimizing mds coded caching in wireless networks with device-to-device communication. IEEE Trans. Wirel. Commun. 2019, 18, 286–295. [Google Scholar] [CrossRef]
- Shariatpanahi, S.P.; Caire, G.; Khalaj, B.H. Physical-layer schemes for wireless coded caching. IEEE Trans. Inf. Theory 2019, 65, 2792–2807. [Google Scholar] [CrossRef]
- Tang, A.; Roy, S.; Wang, X. Coded caching for wireless backhaul networks with unequal link rates. IEEE Trans. Commun. 2018, 66, 1–13. [Google Scholar] [CrossRef]
- Panigrahi, B.; Shailendra, S.; Rath, H.K.; Simha, A. Universal caching model and markov-based cache analysis for information centric networks. Photonic Netw. Commun. 2015, 30, 428–438. [Google Scholar] [CrossRef]
- Cheng, M.; Jiang, J.; Yan, Q.; Tang, X. Constructions of coded caching schemes with flexible memory size. IEEE Trans. Commun. 2019, 67, 4166–4176. [Google Scholar] [CrossRef]
- Shangguan, C.; Zhang, Y.; Ge, G. Centralized coded caching schemes: A hypergraph theoretical approach. IEEE Trans. Inf. Theory 2018, 64, 5755–5766. [Google Scholar] [CrossRef]
- Vilardebó, J.G. A novel centralized coded caching scheme with coded prefetching. IEEE J. Sel. Areas Commun. 2018, 36, 1165–1175. [Google Scholar] [CrossRef]
- Wang, J.; Cheng, M.; Yan, X.; Tang, Q. Placement delivery array design for coded caching scheme in d2d networks. IEEE Trans. Commun. 2019, 67, 3388–3395. [Google Scholar] [CrossRef]
- Asghari, S.M.; Ouyang, Y.; Nayyar, A.; Avestimehr, A.S. An approximation algorithm for optimal clique cover delivery in coded caching. IEEE Trans. Commun. 2019, 67, 4683–4695. [Google Scholar] [CrossRef]
- Zheng, L.; Yan, Q.; Chen, Q.; Tang, X. Delivery design for coded caching over wireless multicast networks. IEEE Access 2019, 7, 72803–72817. [Google Scholar] [CrossRef]
- Zhang, K.; Tian, C. Fundamental limits of coded caching: From uncoded prefetching to coded prefetching. IEEE J. Sel. Areas Commun. 2018, 36, 1153–1164. [Google Scholar] [CrossRef]
- Bayat, M.; Mungara, R.K.; Caire, G. Achieving spatial scalability for coded caching via coded multipoint multicasting. IEEE Trans. Wirel. Commun. 2019, 18, 227–240. [Google Scholar] [CrossRef]
- Vettigli, G.; Ji, M.; Shanmugam, K.; Llorca, G.; Tulino, A.M.; Caire, G. Efficient algorithms for coded multicasting in heterogeneous caching networks. Entropy 2019, 21, 324. [Google Scholar] [CrossRef]
- Zhong, S.; Wang, X. Joint multicast and unicast beamforming for coded caching. IEEE Trans. Commun. 2018, 66, 3354–3367. [Google Scholar] [CrossRef]
- Combes, R.; Ghorbel, A.; Kobayashi, M.; Yang, S. Utility optimal scheduling for coded caching in general topologies. IEEE J. Sel. Areas Commun. 2018, 36, 1692–1705. [Google Scholar] [CrossRef]
- Karat, N.S.; Thomas, A.; Rajan, B.S. Error correction in coded caching with symmetric batch prefetching. IEEE Trans. Commun. 2019, 67, 7264–7274. [Google Scholar] [CrossRef]
- Pääkkönen, G.; Barreal, A.; Hollanti, C.; Tirkkonen, O. Coded caching clusters with device-to-device communications. IEEE Trans. Mob. Comput. 2019, 18, 264–275. [Google Scholar] [CrossRef]
- Ibrahim, A.A.; Zewail, A.M.; Yener, A. Coded caching for heterogeneous systems: An optimization perspective. IEEE Trans. Commun. 2019, 67, 5321–5335. [Google Scholar] [CrossRef]
- Zhang, J.; Lin, X.; Wang, C.-C.; Wang, X. Coded caching for files with distinct file sizes. In Proceedings of the 2015 IEEE International Symposium on Information Theory (ISIT), Hong Kong, China, 14–19 June 2015; pp. 1686–1690. [Google Scholar]
- Lampiris, E.; Elia, P. Adding transmitters dramatically boosts coded-caching gains for finite file sizes. IEEE J. Sel. Areas Commun. 2018, 36, 1176–1188. [Google Scholar] [CrossRef]
- Niesen, U.; Maddah-Ali, M.A. Coded caching with nonuniform demands. IEEE Trans. Inf. Theory 2014, 63, 221–226. [Google Scholar]
- Ding, Y.; Wang, L.; Wu, H.; Shen, H.V.; Poor, X. Tradeoff of content sharing efficiency and secure transmission in coded caching systems. In Proceedings of the IEEE International Conference on Communications (ICC), Kansas City, MO, USA, 20–24 May 2018. [Google Scholar]
- Kiskani, M.K.; Sadjadpour, H.R. Secure coded caching in wireless ad hoc networks. In Proceedings of the International Conference on Computing, Networking and Communications (ICNC), Silicon Valley, CA, USA, 26–29 January 2018. [Google Scholar]
- Zewail, A.A.; Yener, A. Coded caching for resolvable networks with security requirements. In Proceedings of the IEEE Conference on Communications and Network Security (CNS): The Workshop on Physical-Layer Methods for Wireless Security, Philadelphia, PA, USA, 17–19 October 2016. [Google Scholar]
- Kamel, M.; Wigger, S.; Sarkiss, M. Decentralized coded caching for wiretap broadcast channels. In Proceedings of the IEEE Global Communications Conference (GLOBECOM), Abu Dhabi, United Arab Emirates, 9–13 December 2018. [Google Scholar]
- Suthan, I.; Chugh, C.H.H.; Krishnan, P. An improved secretive coded caching scheme exploiting common demands. In Proceedings of the IEEE Information Theory Workshop (ITW), Kaohsiung, Taiwan, 6–10 November 2017. [Google Scholar]
- Hachem, J.; Karamchandani, N.; Diggavi, S.N. Coded caching for multi-level popularity and access. IEEE Trans. Inf. Theory 2017, 63, 3108–3141. [Google Scholar] [CrossRef]
- Lim, S.H.; Wang, C.; Gastpar, M. Information-theoretic caching: The multi-user case. IEEE Trans. Inf. Theory 2017, 63, 7018–7037. [Google Scholar] [CrossRef]
- Sengupta, A.; Tandom, R.; Clancy, T.C. Improved approximation of storage-rate tradeoff for caching via new outer bounds. In Proceedings of the 2015 IEEE International Symposium on Information Theory (ISIT), Hong Kong, China, 14–19 June 2015. [Google Scholar]
- Vijit, K.K.P.; Rai, B.K.; Jacob, T. Towards the exact rate memory tradeoff in coded caching. In Proceedings of the National Conference on Communications (NCC), Bangalore, India, 20–23 February 2019. [Google Scholar]
- Wei, Y.; Ulukus, S. Coded caching with multiple file requests. In Proceedings of the 55th Annual Allerton Conference on Communication, Control and Computing (Allerton), Monticello, IL, USA, 3–6 October 2017. [Google Scholar]
- Maddah-Ali, M.A.; Niesen, U. Decentralized coded caching attains order-optimal memory-rate tradeoff. IEEE/ACM Trans. Netw. (TON) 2015, 23, 1029–1040. [Google Scholar] [CrossRef]
- Wei, Y.; Ulukus, S. Novel decentralized coded caching through coded prefetching. In Proceedings of the 2017 IEEE Information Theory Workshop (ITW), Kaohsiung, Taiwan, 6–10 November 2017. [Google Scholar]
- Shannon, C.E. Communication theory of secrecy systems. Bell Syst. Tech. J. 1949, 28, 656–715. [Google Scholar] [CrossRef]


Publisher’s Note: MDPI stays neutral with regard to jurisdictional claims in published maps and institutional affiliations. |
© 2021 by the authors. Licensee MDPI, Basel, Switzerland. This article is an open access article distributed under the terms and conditions of the Creative Commons Attribution (CC BY) license (https://creativecommons.org/licenses/by/4.0/).
Share and Cite
Zolfaghari, B.; Singh, V.; Rai, B.K.; Bibak, K.; Koshiba, T. Cryptography in Hierarchical Coded Caching: System Model and Cost Analysis. Entropy 2021, 23, 1459. https://doi.org/10.3390/e23111459
Zolfaghari B, Singh V, Rai BK, Bibak K, Koshiba T. Cryptography in Hierarchical Coded Caching: System Model and Cost Analysis. Entropy. 2021; 23(11):1459. https://doi.org/10.3390/e23111459
Chicago/Turabian StyleZolfaghari, Behrouz, Vikrant Singh, Brijesh Kumar Rai, Khodakhast Bibak, and Takeshi Koshiba. 2021. "Cryptography in Hierarchical Coded Caching: System Model and Cost Analysis" Entropy 23, no. 11: 1459. https://doi.org/10.3390/e23111459
APA StyleZolfaghari, B., Singh, V., Rai, B. K., Bibak, K., & Koshiba, T. (2021). Cryptography in Hierarchical Coded Caching: System Model and Cost Analysis. Entropy, 23(11), 1459. https://doi.org/10.3390/e23111459

