Investigation of Forced Convection Enhancement and Entropy Generation of Nanofluid Flow through a Corrugated Minichannel Filled with a Porous Media
Abstract
1. Introduction
2. Materials and Methods
2.1. Geometrical Specifications of Physical Model
2.2. Governing Equations
2.3. Thermo-Physical Properties of Nanofluids
2.4. Entropy Generation Analysis
2.5. Boundary Conditions
2.6. Numerical Simulation
2.7. Governing Equations
2.8. Model Validation
3. Results and Discussion
3.1. Effect of Geometrical Properties on Average Nusselt Number
3.2. Effect of Geometrical Properties on Friction Factor
3.3. Effect of Geometrical Properties on the PEC Index
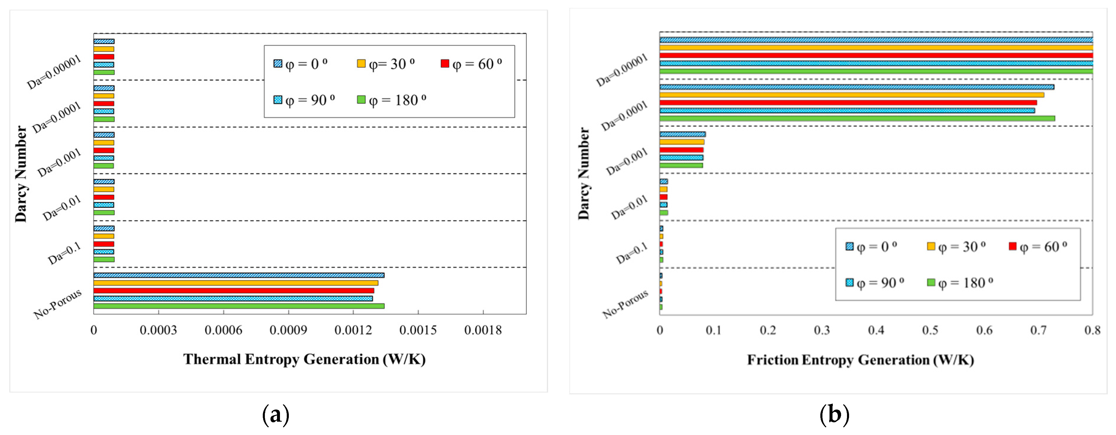
3.4. Effect of Geometrical Properties and Porosity on Entropy Generation
3.5. Effect of Utilizing Nanoparticles in Base Fluid and Volume Fraction
4. Conclusions
- Enhanced average Nusselt number was achieved by decreasing the Darcy number from 0.1 to 0.0001. The maximum average Nusselt number value was obtained as 430.91.
- Reducing behavior of friction factor with increasing the Darcy number from 0.0001 to 0.1 was observed at constant wavelength, amplitude and phase shift. Moreover, of the phase shifts of and 90° corresponded to the maximum and the minimum friction factor, respectively.
- The PEC index of sinusoidal corrugated minichannel was maximized (maximum value of 16.95) for the phase shift of wave amplitude of , and wavelength of at .
- The application of porous medium as well as increasing Darcy number at all cases, resulted in the increase and decrease in the respective thermal and frictional entropy generations.
- According to the obtained results, the geometrical properties of the most efficient configuration were , , and . This configuration was used for the investigations concerning the addition of nanoparticles (Al2O3 and CuO). Furthermore, the highest Nusselt number augmentation was stated for Al2O3 nanofluid, because of its thermo-physical characteristics.
Author Contributions
Funding
Conflicts of Interest
Nomenclature
| a | Wavy amplitude (m) |
| C | Specific Heat ) |
| D | Diameter |
| K | Permeability of Porous Medium |
| k | Thermal Conductivity |
| L | Length (m) |
| P | Dimensionless Pressure |
| p | Pressure (Pa) |
| S | Total Entropy |
| Thermal Entropy Generation | |
| Friction Entropy Generation ) | |
| T | Temperature |
| Dimensionless Velocity | |
| Velocity Components () | |
| Dimensionless Coordinates | |
| Dimensional Coordinates (m) | |
| Greek symbols | |
| α | Thermal Diffusivity ( |
| λ | Wavelength (m) |
| β | Thermal Expansion Coefficient () |
| ε | Porosity |
| θ | Dimensionless Temperature |
| ϑ | Kinematic Viscosity () |
| μ | Dynamic Viscosity () |
| ρ | Density () |
| wavy-wall shift phase/degrees | |
| Volume Fraction | |
| Subscripts | |
| Averaged | |
| f | Pure Fluid |
| s | Smooth |
| w | Wavy |
| Generation | |
| h | Hydraulic |
| m | Mixture |
| Nanoparticle | |
| Abbreviations | |
| CFD | Computational Fluid Dynamics |
| Darcy Number | |
| Nusselt Number | |
| Prandtl Number | |
| PEC | Performance Evaluation Criteria |
| Reynolds Number | |
| SIMPLE | Semi-Implicit Method for Pressure-Linked Equations |
References
- Ho, C.; Liu, Y.-C.; Ghalambaz, M.; Yan, W.-M. Forced convection heat transfer of Nano-Encapsulated Phase Change Material (NEPCM) suspension in a mini-channel heatsink. Int. J. Heat Mass Transf. 2020, 155, 119858. [Google Scholar] [CrossRef]
- Hatami, M.; Jing, D. Evaluation of wavy direct absorption solar collector (DASC) performance using different nanofluids. J. Mol. Liq. 2017, 229, 203–211. [Google Scholar] [CrossRef]
- Khoshvaght-Aliabadi, M.; Tatari, M.; Salami, M. Analysis on Al2O3/water nanofluid flow in a channel by inserting corrugated/perforated fins for solar heating heat exchangers. Renew. Energy 2018, 115, 1099–1108. [Google Scholar] [CrossRef]
- Khoshvaght-Aliabadi, M.; Hassani, S.; Mazloumi, S.H. Performance enhancement of straight and wavy miniature heat sinks using pin-fin interruptions and nanofluids. Chem. Eng. Process. Process Intensif. 2017, 122, 90–108. [Google Scholar] [CrossRef]
- Ma, T.; Du, L.-X.; Sun, N.; Zeng, M.; Sundén, B.; Wang, Q.-W. Experimental and numerical study on heat transfer and pressure drop performance of Cross-Wavy primary surface channel. Energy Convers. Manag. 2016, 125, 80–90. [Google Scholar] [CrossRef]
- Rostami, J.; Abbassi, A.; Harting, J. Heat transfer by nanofluids in wavy microchannels. Adv. Powder Technol. 2018, 29, 925–933. [Google Scholar] [CrossRef]
- Zhu, X.W.; Fu, Y.H.; Zhao, J.Q. A novel wavy-tape insert configuration for pipe heat transfer augmentation. Energy Convers. Manag. 2016, 127, 140–148. [Google Scholar] [CrossRef]
- Pati, S.; Mehta, S.K.; Borah, A. Numerical investigation of thermo-hydraulic transport characteristics in wavy channels: Comparison between raccoon and serpentine channels. Int. Commun. Heat Mass Transf. 2017, 88, 171–176. [Google Scholar] [CrossRef]
- Aslan, E.; Taymaz, I.; Islamoglu, Y. Finite volume simulation for convective heat transfer in wavy channels. Heat Mass Transf. 2016, 52, 483–497. [Google Scholar] [CrossRef]
- Valinataj-Bahnemiri, P.; Ramiar, A.; Manavi, S.; Mozaffari, A. Heat transfer optimization of two phase modeling of nanofluid in a sinusoidal wavy channel using Artificial Bee Colony technique. Eng. Sci. Technol. Int. J. 2015, 18, 727–737. [Google Scholar] [CrossRef]
- Shehzad, N.; Zeeshan, A.; Ellahi, R.; Vafai, K. Convective heat transfer of nanofluid in a wavy channel: Buongiorno’s mathematical model. J. Mol. Liq. 2016, 222, 446–455. [Google Scholar] [CrossRef]
- Mohammed, K.A.; Talib, A.A.; Nuraini, A.; Ahmed, K. Review of forced convection nanofluids through corrugated facing step. Renew. Sustain. Energy Rev. 2017, 75, 234–241. [Google Scholar] [CrossRef]
- Yang, L.; Du, K.; Zhang, Z. Heat transfer and flow optimization of a novel sinusoidal minitube filled with non-Newtonian SiC/EG-water nanofluids. Int. J. Mech. Sci. 2020, 168, 105310. [Google Scholar] [CrossRef]
- Mohammed, H.; Gunnasegaran, P.; Shuaib, N. Numerical simulation of heat transfer enhancement in wavy microchannel heat sink. Int. Commun. Heat Mass Transf. 2011, 38, 63–68. [Google Scholar] [CrossRef]
- Chang, K.; Hughes, T.J.R.; Calo, V.M. Isogeometric variational multiscale large-eddy simulation of fully-developed turbulent flow over a wavy wall. Comput. Fluids 2012, 68, 94–104. [Google Scholar] [CrossRef]
- Lecrivain, G.; Rayan, R.; Hurtado, A.; Hampel, U. Using quasi-DNS to investigate the deposition of elongated aerosol particles in a wavy channel flow. Comput. Fluids 2016, 124, 78–85. [Google Scholar] [CrossRef]
- Rush, T.; Newell, T.; Jacobi, A. An experimental study of flow and heat transfer in sinusoidal wavy passages. Int. J. Heat Mass Transf. 1999, 42, 1541–1553. [Google Scholar] [CrossRef]
- Wang, C.-C.; Chen, C.-K. Forced convection in a wavy-wall channel. Int. J. Heat Mass Transf. 2002, 45, 2587–2595. [Google Scholar] [CrossRef]
- Zhang, L.; Che, D. Influence of corrugation profile on the thermalhydraulic performance of cross-corrugated plates. Numer. Heat Transf. Part A Appl. 2011, 59, 267–296. [Google Scholar] [CrossRef]
- Naphon, P.; Kornkumjayrit, K. Numerical analysis on the fluid flow and heat transfer in the channel with V-shaped wavy lower plate. Int. Commun. Heat Mass Transf. 2008, 35, 839–843. [Google Scholar] [CrossRef]
- Khoshvaght-Aliabadi, M. Influence of different design parameters and Al2O3-water nanofluid flow on heat transfer and flow characteristics of sinusoidal-corrugated channels. Energy Convers. Manag. 2014, 88, 96–105. [Google Scholar] [CrossRef]
- Aminian, E.; Moghadasi, H.; Saffari, H. Magnetic field effects on forced convection flow of a hybrid nanofluid in a cylinder filled with porous media: A numerical study. J. Therm. Anal. Calorim. 2020, 141, 2019–2031. [Google Scholar] [CrossRef]
- Siavashi, M.; Bahrami, H.R.T.; Aminian, E. Optimization of heat transfer enhancement and pumping power of a heat exchanger tube using nanofluid with gradient and multi-layered porous foams. Appl. Therm. Eng. 2018, 138, 465–474. [Google Scholar] [CrossRef]
- Siavashi, M.; Bahrami, H.R.T.; Aminian, E.; Saffari, H. Numerical analysis on forced convection enhancement in an annulus using porous ribs and nanoparticle addition to base fluid. J. Cent. South Univ. 2019, 26, 1089–1098. [Google Scholar] [CrossRef]
- Pekmen, B.; Tezer-Sezgin, M. MHD flow and heat transfer in a lid-driven porous enclosure. Comput. Fluids 2014, 89, 191–199. [Google Scholar] [CrossRef]
- Bahrami, H.R.T.; Aminian, E.; Saffari, H. Energy transfer enhancement inside an annulus using gradient porous ribs and nanofluids. J. Energy Resour. Technol. 2020, 142, 122102. [Google Scholar] [CrossRef]
- Mehryan, S.; Ghalambaz, M.; Chamkha, A.J.; Izadi, M. Numerical study on natural convection of Ag–MgO hybrid/water nanofluid inside a porous enclosure: A local thermal non-equilibrium model. Powder Technol. 2020, 367, 443–455. [Google Scholar] [CrossRef]
- Moghadasi, H.; Aminian, E.; Saffari, H.; Mahjoorghani, M.; Emamifar, A. Numerical analysis on Laminar Forced Convection improvement of Hybrid Nanofluid within a U-Bend Pipe in Porous Media. Int. J. Mech. Sci. 2020, 179, 105659. [Google Scholar] [CrossRef]
- Akbarzadeh, M.; Maghrebi, M.J. Combined effects of corrugated walls and porous inserts on performance improvement in a heat exchanger channel. Int. J. Therm. Sci. 2018, 127, 266–276. [Google Scholar] [CrossRef]
- Arasteh, H.; Mashayekhi, R.; Ghaneifar, M.; Toghraie, D.; Afrand, M. Heat transfer enhancement in a counter-flow sinusoidal parallel-plate heat exchanger partially filled with porous media using metal foam in the channels’ divergent sections. J. Therm. Anal. Calorim. 2019, 141, 1669–1685. [Google Scholar] [CrossRef]
- Hajipour, M.; Dehkordi, A.M. Analysis of nanofluid heat transfer in parallel-plate vertical channels partially filled with porous medium. Int. J. Therm. Sci. 2012, 55, 103–113. [Google Scholar] [CrossRef]
- Nazari, S.; Toghraie, D. Numerical simulation of heat transfer and fluid flow of Water-CuO Nanofluid in a sinusoidal channel with a porous medium. Phys. E Low-Dimens. Syst. Nanostruct. 2017, 87, 134–140. [Google Scholar] [CrossRef]
- Abu-Nada, E. Application of nanofluids for heat transfer enhancement of separated flows encountered in a backward facing step. Int. J. Heat Fluid Flow 2008, 29, 242–249. [Google Scholar] [CrossRef]
- Ahmadi, A.A.; Khodabandeh, E.; Moghadasi, H.; Malekian, N.; Akbari, O.A.; Bahiraei, M. Numerical study of flow and heat transfer of water-Al2O3 nanofluid inside a channel with an inner cylinder using Eulerian–Lagrangian approach. J. Therm. Anal. Calorim. 2018, 132, 651–665. [Google Scholar] [CrossRef]
- Farhangmehr, V.; Moghadasi, H.; Asiaei, S. A nanofluid MHD flow with heat and mass transfers over a sheet by nonlinear boundary conditions: Heat and mass transfers enhancement. J. Cent. South Univ. 2019, 26, 1205–1217. [Google Scholar] [CrossRef]
- Malekian, S.; Fathi, E.; Malekian, N.; Moghadasi, H.; Moghimi, M. Analytical and numerical investigations of unsteady graphene oxide nanofluid flow between two parallel plates. Int. J. Thermophys. 2018, 39, 100. [Google Scholar] [CrossRef]
- Das, K. Slip flow and convective heat transfer of nanofluids over a permeable stretching surface. Comput. Fluids 2012, 64, 34–42. [Google Scholar] [CrossRef]
- Ghalambaz, M.; Doostani, A.; Izadpanahi, E.; Chamkha, A.J. Conjugate natural convection flow of Ag–MgO/water hybrid nanofluid in a square cavity. J. Therm. Anal. Calorim. 2020, 139, 2321–2336. [Google Scholar] [CrossRef]
- Takabi, B.; Gheitaghy, A.M.; Tazraei, P. Hybrid water-based suspension of Al2O3 and Cu nanoparticles on laminar convection effectiveness. J. Thermophys. Heat Transf. 2016, 30, 523–532. [Google Scholar] [CrossRef]
- Heidary, H.; Kermani, M. Effect of nano-particles on forced convection in sinusoidal-wall channel. Int. Commun. Heat Mass Transf. 2010, 37, 1520–1527. [Google Scholar] [CrossRef]
- Sadripour, S. Investigation of Flow Characteristics And Heat Transfer Enhancement in a Nanofluid Flow in a Corrugated Duct. J. Appl. Mech. Tech. Phys. 2018, 59, 1049–1057. [Google Scholar] [CrossRef]
- Ho, C.-J.; Wei, L.; Li, Z. An experimental investigation of forced convective cooling performance of a microchannel heat sink with Al2O3/water nanofluid. Appl. Therm. Eng. 2010, 30, 96–103. [Google Scholar] [CrossRef]
- Akbari, O.A.; Safaei, M.R.; Goodarzi, M.; Akbar, N.S.; Zarringhalam, M.; Shabani, G.A.S.; Dahari, M. A modified two-phase mixture model of nanofluid flow and heat transfer in a 3-D curved microtube. Adv. Powder Technol. 2016, 27, 2175–2185. [Google Scholar] [CrossRef]
- Khoshvaght-Aliabadi, M.; Sahamiyan, M. Performance of nanofluid flow in corrugated minichannels heat sink (CMCHS). Energy Convers. Manag. 2016, 108, 297–308. [Google Scholar] [CrossRef]
- Chen, L.; Wu, C.; Sun, F. Finite time thermodynamic optimization or entropy generation minimization of energy systems. J. Non-Equilib. Thermodyn. 1999, 24, 327–359. [Google Scholar] [CrossRef]
- Chen, L.; Meng, F.; Sun, F. Thermodynamic analyses and optimization for thermoelectric devices: The state of the arts. Sci. China Technol. Sci. 2016, 59, 442–455. [Google Scholar] [CrossRef]
- Sheremet, M.A.; Oztop, H.F.; Pop, I.; Abu-Hamdeh, N. Analysis of entropy generation in natural convection of nanofluid inside a square cavity having hot solid block: Tiwari and Das’ model. Entropy 2016, 18, 9. [Google Scholar] [CrossRef]
- Siavashi, M.; Bahrami, H.R.T.; Saffari, H. Numerical investigation of porous rib arrangement on heat transfer and entropy generation of nanofluid flow in an annulus using a two-phase mixture model. Numer. Heat Transf. Part A Appl. 2017, 71, 1251–1273. [Google Scholar] [CrossRef]
- Gholamalipour, P.; Siavashi, M.; Doranehgard, M.H. Eccentricity effects of heat source inside a porous annulus on the natural convection heat transfer and entropy generation of Cu-water nanofluid. Int. Commun. Heat Mass Transf. 2019, 109, 104367. [Google Scholar] [CrossRef]
- Tayebi, T.; Chamkha, A.J. Entropy generation analysis due to MHD natural convection flow in a cavity occupied with hybrid nanofluid and equipped with a conducting hollow cylinder. J. Therm. Anal. Calorim. 2020, 139, 2165–2179. [Google Scholar] [CrossRef]
- Tayebi, T.; Chamkha, A.J. Entropy generation analysis during MHD natural convection flow of hybrid nanofluid in a square cavity containing a corrugated conducting block. Int. J. Numer. Methods Heat Fluid Flow 2019, 30, 1115–1136. [Google Scholar] [CrossRef]
- Zhang, L.; Chen, L.; Xia, S.; Wang, C.; Sun, F. Entropy generation minimization for reverse water gas shift (RWGS) reactors. Entropy 2018, 20, 415. [Google Scholar] [CrossRef]
- Chen, L.; Yang, A.; Xie, Z.; Sun, F. Constructal entropy generation rate minimization for cylindrical pin-fin heat sinks. Int. J. Therm. Sci. 2017, 111, 168–174. [Google Scholar] [CrossRef]
- Chen, L.; Xia, S.; Sun, F. Entropy generation minimization for isothermal crystallization processes with a generalized mass diffusion law. Int. J. Heat Mass Transf. 2018, 116, 1–8. [Google Scholar] [CrossRef]
- Feng, H.; Chen, L.; Xie, Z.; Sun, F. “Disc-point” heat and mass transfer constructal optimization for solid–gas reactors based on entropy generation minimization. Energy 2015, 83, 431–437. [Google Scholar] [CrossRef]
- Fersadou, I.; Kahalerras, H.; El Ganaoui, M. MHD mixed convection and entropy generation of a nanofluid in a vertical porous channel. Comput. Fluids 2015, 121, 164–179. [Google Scholar] [CrossRef]
- Shashikumar, N.; Gireesha, B.; Mahanthesh, B.; Prasannakumara, B.; Chamkha, A.J. Entropy generation analysis of magneto-nanoliquids embedded with aluminium and titanium alloy nanoparticles in microchannel with partial slips and convective conditions. Int. J. Numer. Methods Heat Fluid Flow 2019, 29, 3638–3658. [Google Scholar]
- Sheremet, M.; Pop, I.; Öztop, H.F.; Abu-Hamdeh, N. Natural convection of nanofluid inside a wavy cavity with a non-uniform heating. Int. J. Numer. Methods Heat Fluid Flow 2017, 27, 958–980. [Google Scholar] [CrossRef]
- Cho, C.-C.; Chen, C.-L. Natural convection heat transfer and entropy generation in wavy-wall enclosure containing water-based nanofluid. Int. J. Heat Mass Transf. 2013, 61, 749–758. [Google Scholar] [CrossRef]
- Akbarzadeh, M.; Rashidi, S.; Karimi, N.; Omar, N. First and second laws of thermodynamics analysis of nanofluid flow inside a heat exchanger duct with wavy walls and a porous insert. J Therm. Anal. Calorim. 2019, 135, 177–194. [Google Scholar] [CrossRef]
- Esfahani, J.; Akbarzadeh, M.; Rashidi, S.; Rosen, M.; Ellahi, R. Influences of wavy wall and nanoparticles on entropy generation over heat exchanger plat. Int. J. Heat Mass Transf. 2017, 109, 1162–1171. [Google Scholar] [CrossRef]
- Dormohammadi, R.; Farzaneh-Gord, M.; Ebrahimi-Moghadam, A.; Ahmadi, M.H. Heat transfer and entropy generation of the nanofluid flow inside sinusoidal wavy channels. J. Mol. Liq. 2018, 269, 229–240. [Google Scholar] [CrossRef]
- Siavashi, M.; Bahrami, H.R.T.; Saffari, H. Numerical investigation of flow characteristics, heat transfer and entropy generation of nanofluid flow inside an annular pipe partially or completely filled with porous media using two-phase mixture model. Energy 2015, 93, 2451–2466. [Google Scholar] [CrossRef]
- Wang, B.; Wang, L.; Wu, J.; Hong, Y.; Yan, X.; Gong, H.; Xu, Z. Design and characterization of isothermal chambers filled with gradient-porous materials. J. Therm. Sci. Technol. 2017, 12, JTST0008. [Google Scholar] [CrossRef][Green Version]
- Miller, A.; Gidaspow, D. Dense, vertical gas-solid flow in a pipe. AIChE J. 1992, 38, 1801–1815. [Google Scholar] [CrossRef]
- Ingham, D.B.; Pop, I. Transport Phenomena in Porous Media III; Elsevier: Amsterdam, The Netherlands, 2005. [Google Scholar]
- Wang, B.; Hong, Y.; Wang, L.; Fang, X.; Wang, P.; Xu, Z. Development and numerical investigation of novel gradient-porous heat sinks. Energy Convers. Manag. 2015, 106, 1370–1378. [Google Scholar] [CrossRef]
- Maerefat, M.; Mahmoudi, S.Y.; Mazaheri, K. Numerical simulation of forced convection enhancement in a pipe by porous inserts. Heat Transf. Eng. 2011, 32, 45–56. [Google Scholar] [CrossRef]



























| Properties | Water | Al2O3 | CuO | Unit |
|---|---|---|---|---|
| 4182 | 773 | 540 | ||
| k | 0.6 | 40 | 18 | |
| ρ | 998.2 | 3880 | 6500 | |
| μ | 0.001003 | - | - | |
| - | 40 | 25 | nm | |
| β |
| Properties | Aluminum | Unit |
|---|---|---|
| 871 | ||
| k | 202 | |
| ρ | 2719 | |
| ε | 0.9 | - |
© 2020 by the authors. Licensee MDPI, Basel, Switzerland. This article is an open access article distributed under the terms and conditions of the Creative Commons Attribution (CC BY) license (http://creativecommons.org/licenses/by/4.0/).
Share and Cite
Aminian, E.; Moghadasi, H.; Saffari, H.; Gheitaghy, A.M. Investigation of Forced Convection Enhancement and Entropy Generation of Nanofluid Flow through a Corrugated Minichannel Filled with a Porous Media. Entropy 2020, 22, 1008. https://doi.org/10.3390/e22091008
Aminian E, Moghadasi H, Saffari H, Gheitaghy AM. Investigation of Forced Convection Enhancement and Entropy Generation of Nanofluid Flow through a Corrugated Minichannel Filled with a Porous Media. Entropy. 2020; 22(9):1008. https://doi.org/10.3390/e22091008
Chicago/Turabian StyleAminian, Ehsan, Hesam Moghadasi, Hamid Saffari, and Amir Mirza Gheitaghy. 2020. "Investigation of Forced Convection Enhancement and Entropy Generation of Nanofluid Flow through a Corrugated Minichannel Filled with a Porous Media" Entropy 22, no. 9: 1008. https://doi.org/10.3390/e22091008
APA StyleAminian, E., Moghadasi, H., Saffari, H., & Gheitaghy, A. M. (2020). Investigation of Forced Convection Enhancement and Entropy Generation of Nanofluid Flow through a Corrugated Minichannel Filled with a Porous Media. Entropy, 22(9), 1008. https://doi.org/10.3390/e22091008

