Assessing the Potential Earthquake Precursory Information in ULF Magnetic Data Recorded in Kanto, Japan during 2000–2010: Distance and Magnitude Dependences
Abstract
1. Introduction
2. Data Analysis
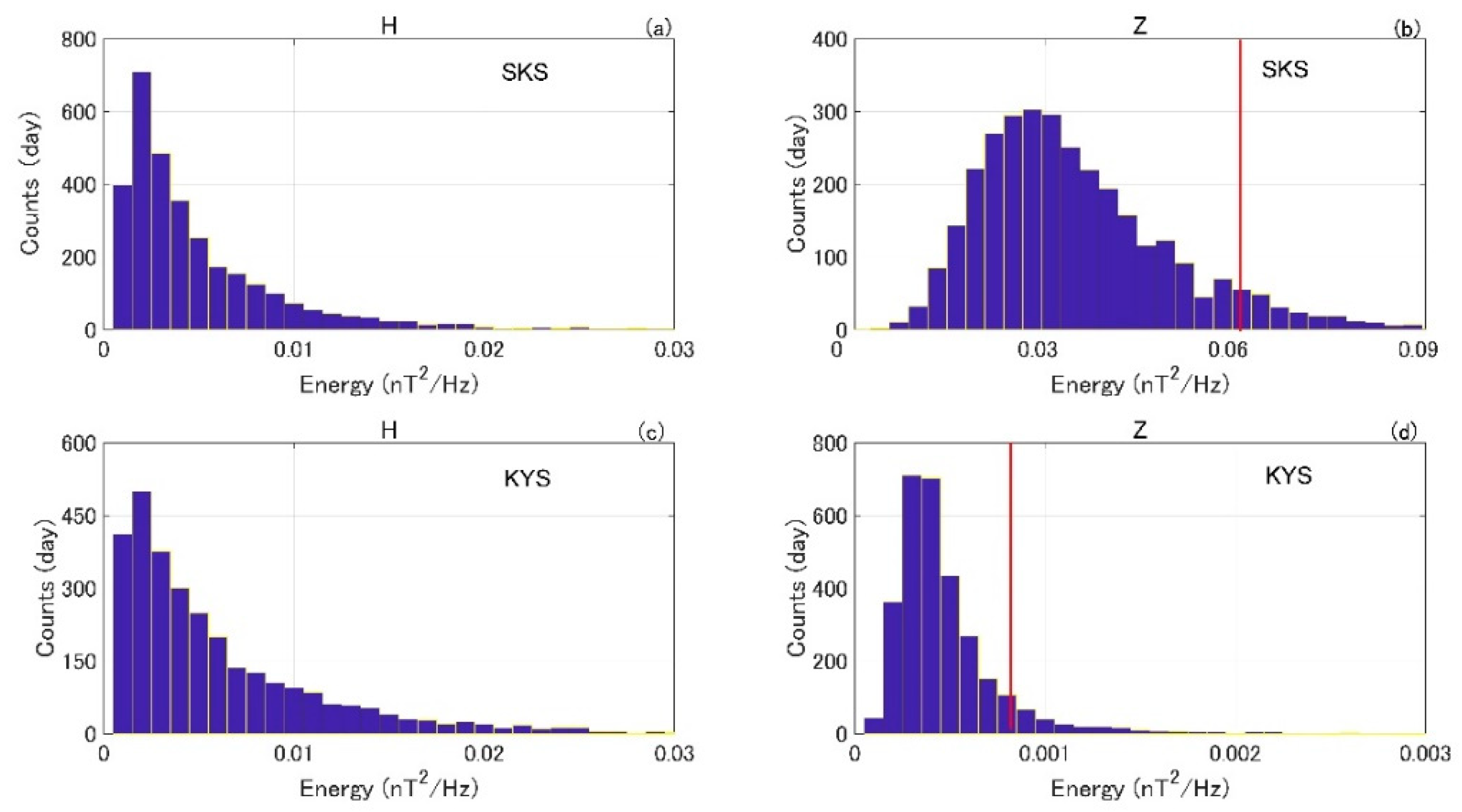
3. Definition of ULF Magnetic Anomalies and Earthquake Events
4. Assessing the Precursory Information in the Magnetic Data
4.1. Previous Statistical Results
4.2. Molchan’s Error Diagram
4.3. The Efficiency of Magnetic Anomalies for Earthquake Forecasting
5. Searching for Optimal Prediction Parameter
6. Discussion
6.1. The Influences of Data Missing on Forecasting Performance
6.2. Quantification of the Precursory Information
6.3. Coherence with Other Independent Observations
6.4. Implications and Applications
7. Conclusions
Author Contributions
Funding
Acknowledgments
Conflicts of Interest
References
- Park, S.K. Precursors to earthquakes: Seismoelectromagnetic signals. Surv. Geophys. 1996, 17, 493–516. [Google Scholar] [CrossRef]
- Johnston, M.J. Review of electric and magnetic fields accompanying seismic and volcanic activity. Surv. Geophys. 1997, 18, 441–475. [Google Scholar] [CrossRef]
- Liu, J.; Chen, Y.; Pulinets, S.A.; Tsai, Y.; Chuo, Y.J. Seismo-ionospheric signatures prior to M≥6.0 Taiwan earthquakes. Geophys. Res. Lett. 2000, 27, 3113–3116. [Google Scholar] [CrossRef]
- Liu, J.Y.; Chen, Y.; Chuo, Y.J.; Tsai, H.F. Variations of ionospheric total electron content during the Chi-Chi Earthquake. Geophys. Res. Lett. 2001, 28, 1383–1386. [Google Scholar] [CrossRef]
- Hayakawa, M.; Molchanov, O. Seismo Electromagnetics: Lithosphere–Atmosphere–Ionosphere; Terra Science Publishing Company: Tokyo, Japan, 2002; pp. 1–477. [Google Scholar]
- Pulinets, S.A.; Legenka, A.D.; Gaivoronskaya, T.V.; Depuev, V.K. Main phenomenological features of ionospheric precursors of strong earthquakes. J. Atmos. Solar Terr. Phys. 2003, 65, 1337–1347. [Google Scholar] [CrossRef]
- Zlotnicki, J.; Sasai, Y.; Yvetot, P.; Nishida, Y.; Uyeshima, M.; Fauquet, F.; Donnadieu, G. Resistivity and self-potential changes associated with volcanic activity: The July 8, 2000 Miyake-jima eruption (Japan). Earth Planet. Sci. Lett. 2003, 205, 139–154. [Google Scholar] [CrossRef]
- Hattori, K. ULF Geomagnetic Changes Associated with Large Earthquakes. Terr. Atmos. Ocean. Sci. 2004, 15, 329–360. [Google Scholar] [CrossRef]
- Parrot, M.; Berthelier, J.; Lebreton, J.P.; Sauvaud, J.A.; Santolik, O.; Blecki, J. Examples of unusual ionospheric observations made by the DEMETER satellite over seismic regions. Phys. Chem. Earth 2006, 31, 486–495. [Google Scholar] [CrossRef]
- Heki, K. Ionospheric electron enhancement preceding the 2011 Tohoku-Oki earthquake. Geophys. Res. Lett. 2011, 38. [Google Scholar] [CrossRef]
- De Santis, A.; De Franceschi, G.; Spogli, L.; Perrone, L.; Alfonsi, L.; Qamili, E.; Cianchini, G.; Giovambattista, R.D.; Salvi, S.; Filippi, E. Geospace perturbations induced by the Earth: The state of the art and future trends. Phys. Chem. Earth 2015, 85, 17–33. [Google Scholar] [CrossRef]
- Ouzounov, D.; Pulinets, S.; Hattori, K.; Taylor, P. Pre-Earthquake Processes: A Multidisciplinary Approach to Earthquake Prediction Studies; Wiley: Hoboken, NJ, USA, 2018; p. 414. [Google Scholar]
- Varotsos, P.; Alexopoulos, K. Physical properties of the variations of the electric field of the earth preceding earthquakes, I. Tectonophysics 1984, 136, 335–339. [Google Scholar] [CrossRef]
- Varotsos, P.; Alexopoulos, K. Physical properties of the variations of the electric field of the earth preceding earthquakes. II. determination of epicenter and magnitude. Tectonophysics 1984, 110, 99–125. [Google Scholar] [CrossRef]
- Varotsos, P.; Sarlis, N.V.; Skordas, E.S. Electric Fields that “Arrive” before the Time Derivative of the Magnetic Field prior to Major Earthquakes. Phys. Rev. Lett. 2003, 91, 148501. [Google Scholar] [CrossRef] [PubMed]
- Hayakawa, M.; Fujinawa, Y. Electromagnetic Phenomena Related to Earthquake Prediction; Terra Science Publishing Company: Tokyo, Japan, 1994; pp. 1–677. [Google Scholar]
- Huang, Q. Forecasting the epicenter of a future major earthquake. Proc. Natl. Acad. Sci. USA 2015, 112, 944–945. [Google Scholar] [CrossRef] [PubMed]
- Varotsos, P.; Alexopoulos, K.; Nomicos, K.; Lazaridou, M. Earthquake prediction and electric signals. Nature 1986, 322, 120. [Google Scholar] [CrossRef]
- Varotsos, P.; Alexopoulos, K.; Lazaridou, M. Latest aspects of earthquake prediction in Greece based on seismic electric signals, II. Tectonophysics 1993, 224, 1–37. [Google Scholar] [CrossRef]
- Varotsos, P.; Alexopoulos, K.; Lazaridouvarotsou, M.; Nagao, T. Earthquake predictions issued in Greece by seismic electric signals since February 6, 1990. Tectonophysics 1993, 224, 269–288. [Google Scholar] [CrossRef]
- Varotsos, P.; Sarlis, N.V.; Skordas, E.S.; Lazaridou, M. Seismic Electric Signals: An additional fact showing their physical interconnection with seismicity. Tectonophysics 2013, 589, 116–125. [Google Scholar] [CrossRef]
- Sarlis, N.V. Statistical Significance of Earth’s Electric and Magnetic Field Variations Preceding Earthquakes in Greece and Japan Revisited. Entropy 2018, 20, 561. [Google Scholar] [CrossRef]
- Sarlis, N.V.; Skordas, E.S.; Christopoulos, S.R.G.; Varotsos, P.A. Natural Time Analysis: The Area under the Receiver Operating Characteristic Curve of the Order Parameter Fluctuations Minima Preceding Major Earthquakes. Entropy 2020, 22, 583. [Google Scholar] [CrossRef]
- Villante, U.; De Lauretis, M.; De Paulis, C.; Francia, P.; Piancatelli, A.; Pietropaolo, E.; Vellante, M.; Meloni, A.; Palangio, P.; Schwingenschuh, K. The 6 April 2009 earthquake at L’Aquila: A preliminary analysis of magnetic field measurements. Nat. Hazards Earth Syst. Sci. 2010, 10, 203–214. [Google Scholar] [CrossRef]
- Prattes, G.; Schwingenschuh, K.; Eichelberger, H.U.; Magnes, W.; Boudjada, M.; Stachel, M.; Vellante, M.; Villante, U.; Wesztergom, V.; Nenovski, P. Ultra Low Frequency (ULF) European multi station magnetic field analysis before and during the 2009 earthquake at L’Aquila regarding regional geotechnical information. Nat. Hazards Earth Syst. Sci. 2011, 11, 1959–1968. [Google Scholar] [CrossRef]
- Schekotov, A.; Molchanov, O.; Hattori, K.; Fedorov, E.; Gladyshev, V.A.; Belyaev, G.G.; Chebrov, V.; Sinitsin, V.; Gordeev, E.; Hayakawa, M. Seismo-ionospheric depression of the ULF geomagnetic fluctuations at Kamchatka and Japan. Phys. Chem. Earth 2006, 31, 313–318. [Google Scholar] [CrossRef]
- Schekotov, A.; Molchanov, O.A.; Hayakawa, M.; Fedorov, E.; Chebrov, V.N.; Sinitsin, V.; Gordeev, E.; Belyaev, G.G.; Yagova, N. ULF/ELF magnetic field variations from atmosphere induced by seismicity. Radio Sci. 2007, 42. [Google Scholar] [CrossRef]
- Bleier, T.E.; Dunson, C.; Maniscalco, M.; Bryant, N.; Bambery, R.; Freund, F. Investigation of ULF magnetic pulsations, air conductivity changes, and infra red signatures associated with the 30 October Alum Rock M5.4 earthquake. Nat. Hazards Earth Syst. Sci. 2009, 9, 585–603. [Google Scholar] [CrossRef]
- Dunson, J.C.; Bleier, T.E.; Roth, S.; Heraud, J.; Alvarez, C.H.; Lira, A. The Pulse Azimuth effect as seen in induction coil magnetometers located in California and Peru 2007–2010, and its possible association with earthquakes. Nat. Hazards Earth Syst. Sci. 2011, 11, 2085–2105. [Google Scholar] [CrossRef]
- Kappler, K.N.; Schneider, D.; Maclean, L.S.; Bleier, T.; Lemon, J.J. An algorithmic framework for investigating the temporal relationship of magnetic field pulses and earthquakes applied to California. Comp. Geosci. 2019, 133, 104317. [Google Scholar] [CrossRef]
- Chavez, O.; Millanalmaraz, J.R.; Perezenriquez, R.; Arzateflores, J.A.; Kotsarenko, A.; Cruzabeyro, J.A.L.; Rojas, E. Detection of ULF geomagnetic signals associated with seismic events in Central Mexico using Discrete Wavelet Transform. Nat. Hazards Earth Syst. Sci. 2010, 10, 2557–2564. [Google Scholar] [CrossRef]
- Chavez, O.; Amezquitasanchez, J.P.; Valtierrarodriguez, M.; Cruzabeyro, J.A.L.; Kotsarenko, A.; Millanalmaraz, J.R.; Dominguezgonzalez, A.; Rojas, E. Novel ST-MUSIC-based spectral analysis for detection of ULF geomagnetic signals anomalies associated with seismic events in Mexico. Geomat. Nat. Hazards Risk 2016, 7, 1162–1174. [Google Scholar] [CrossRef][Green Version]
- Ramirezrojas, A.; Telesca, L.; Angulobrown, F. Entropy of geoelectrical time series in the natural time domain. Nat. Hazards Earth Syst. Sci. 2011, 11, 219–225. [Google Scholar] [CrossRef]
- Ramírez-Rojas, A.; Pavia-Miller, C.G.; Angulo-Brown, F. Statistical behavior of the spectral exponent and the correlation time of electric self-potential time series associated to the Ms = 7.4 September 14, 1995 earthquake in Mexico. Phys. Chem. Earth Parts A/B/C. 2004, 29, 305–312. [Google Scholar] [CrossRef]
- Liu, J.; Chen, C.; Chen, Y.; Yen, H.; Hattori, K.; Yumoto, K. Seismo-geomagnetic anomalies and M ⩾ 5.0 earthquakes observed in Taiwan during 1988–2001. Phys. Chem. Earth 2006, 31, 215–222. [Google Scholar] [CrossRef]
- Chen, C.; Liu, J.; Lin, P.; Yen, H.; Hattori, K.; Liang, W.; Chen, Y.; Yeh, Y.; Zeng, X. Pre-seismic geomagnetic anomaly and earthquake location. Tectonophysics 2010, 489, 240–247. [Google Scholar] [CrossRef]
- Chen, C.; Hsu, H.L.; Wen, S.; Yeh, T.; Chang, F.Y.; Wang, C.; Liu, J.; Sun, Y.; Hattori, K.; Yen, H. Evaluation of seismo-electric anomalies using magnetic data in Taiwan. Nat. Hazards Earth Syst. Sci. 2013, 13, 597–604. [Google Scholar] [CrossRef]
- Wen, S.; Chen, C.; Yen, H.; Yeh, T.; Liu, J.; Hattori, K.; Peng, H.; Wang, C.; Shin, T.C. Magnetic storm free ULF analysis in relation with earthquakes in Taiwan. Nat. Hazards Earth Syst. Sci. 2012, 12, 1747–1754. [Google Scholar] [CrossRef]
- Febriani, F.; Han, P.; Yoshino, C.; Hattori, K.; Nurdiyanto, B.; Effendi, N.; Maulana, I.; Gaffar, E.Z. Ultra low frequency (ULF) electromagnetic anomalies associated with large earthquakes in Java Island, Indonesia by using wavelet transform and detrended fluctuation analysis. Nat. Hazards Earth Syst. Sci. 2014, 14, 789–798. [Google Scholar] [CrossRef]
- Ahadi, S.; Puspito, N.T.; Ibrahim, G.; Saroso, S.; Yumoto, K.; Muzli, M. Anomalous ULF emissions and their possible association with the strong earthquakes in sumatra, Indonesia, during 2007–2012. J. Math. Fundam. Sci. 2015, 47, 84–103. [Google Scholar] [CrossRef]
- Zhuang, J.; Vere-Jones, D.; Guan, H.; Ogata, Y.; Ma, L. Preliminary analysis of observations on the ultra-low frequency electric field in the Beijing region. Pure Appl. Geophys. 2005, 162, 1367–1396. [Google Scholar] [CrossRef]
- Zhuang, J.; Ogata, Y.; Vere-Jones, D.; Ma, L.; Guan, H. Statistical modeling of earthquake occurrences based on external geophysical observations: With an illustrative application to the ultra-low frequency ground electric signals observed in the Beijing region. In Seismic Imaging, Fault Rock Damage and Healing; Li, Y., Ed.; De Gruyter: Berlin, Germany; Higher Education Press: Beijing, China, 2014; pp. 351–376. [Google Scholar]
- Zhao, G.; Zhan, Y.; Wang, L.; Wang, J.; Tang, J.; Xiao, Q.; Chen, X. Electromagnetic anomaly before earthquakes measured by electromagnetic experiments. Earthq. Sci. 2009, 22, 395–402. [Google Scholar] [CrossRef][Green Version]
- Guo, Z.; Xiao, C.; Zhan, W. New experiments of CSELF electromagnetic method for earthquake monitoring. Chin. J. Geophy. 2010, 53, 479–486. [Google Scholar] [CrossRef]
- Huang, Q. Retrospective investigation of geophysical data possibly associated with the Ms8.0 Wenchuan earthquake in Sichuan, China. J. Asian Earth Sci. 2011, 41, 421–427. [Google Scholar] [CrossRef]
- Huang, Q. Rethinking earthquake-related DC-ULF electromagnetic phenomena: Towards a physics-based approach. Nat. Hazards Earth Syst. Sci. 2011, 11, 2941–2949. [Google Scholar] [CrossRef]
- Jiang, F.; Chen, X.; Zhan, Y.; Zhao, G.; Yang, H.; Zhao, L.; Qiao, L.; Wang, L. Shifting Correlation Between Earthquakes and Electromagnetic Signals: A Case Study of the 2013 Minxian–Zhangxian M L 6.5 (M W 6.1) Earthquake in Gansu, China. Pure Appl. Geophys. 2016, 173, 269–284. [Google Scholar] [CrossRef][Green Version]
- Nagao, T.; Enomoto, Y.; Fujinawa, Y.; Hata, M.; Hayakawa, M.; Huang, Q.; Izutsu, J.; Kushida, Y.; Maeda, K.; Oike, K. Electromagnetic anomalies associated with 1995 Kobe earthquake. J. Geodyn. 2002, 33, 401–411. [Google Scholar] [CrossRef]
- Uyeda, S.; Hayakawa, M.; Nagao, T.; Molchanov, O.; Hattori, K.; Orihara, Y.; Gotoh, K.; Akinaga, Y.; Tanaka, H. Electric and magnetic phenomena observed before the volcano-seismic activity in 2000 in the Izu Island Region, Japan. Proc. Natl. Acad. Sci. USA 2002, 99, 7352–7355. [Google Scholar] [CrossRef]
- Uyeda, S.; Nagao, T.; Kamogawa, M. Short-term earthquake prediction: Current status of seismo-electromagnetics. Tectonophysics 2009, 470, 205–213. [Google Scholar] [CrossRef]
- Hattori, K.; Serita, A.; Gotoh, K.; Yoshino, C.; Harada, M.; Isezaki, N.; Hayakawa, M. ULF geomagnetic anomaly associated with 2000 Izu Islands earthquake swarm, Japan. Phys. Chem. Earth 2004, 29, 425–435. [Google Scholar] [CrossRef]
- Hattori, K.; Takahashi, I.; Yoshino, C.; Isezaki, N.; Iwasaki, H.; Harada, M.; Kawabata, K.; Kopytenko, E.A.; Kopytenko, Y.; Maltsev, P. ULF geomagnetic field measurements in Japan and some recent results associated with Iwateken Nairiku Hokubu Earthquake in 1998. Phys. Chem. Earth 2004, 29, 481–494. [Google Scholar] [CrossRef]
- Telesca, L.; Hattori, K. Non-uniform scaling behavior in ultra-low-frequency (ULF) earthquake-related geomagnetic signals. Phys. A Stat. Mech. Appl. 2007, 384, 522–528. [Google Scholar] [CrossRef]
- Telesca, L.; Lapenna, V.; Macchiato, M.; Hattori, K. Investigating non-uniform scaling behavior in Ultra Low Frequency (ULF) earthquake-related geomagnetic signals. Earth Planet. Sci. Lett. 2008, 268, 219–224. [Google Scholar] [CrossRef]
- Peng, H.; Ji, X. Principal component analysis of geomagnetic diurnal variation associated with earthquakes: Case study of the M6.1 Iwate-ken Nairiku Hokubu earthquake. Chin. J. Geophys. 2009, 52, 1556–1563. [Google Scholar]
- Han, P.; Hattori, K.; Xu, G.; Ashida, R.; Chen, C.; Febriani, F.; Yamaguchi, H. Further investigations of geomagnetic diurnal variations associated with the 2011 off the Pacific coast of Tohoku earthquake (Mw 9.0). J. Asian Earth Sci. 2015, 114, 321–326. [Google Scholar] [CrossRef]
- Han, P.; Hattori, K.; Huang, Q.; Hirooka, S.; Yoshino, C. Spatiotemporal characteristics of the geomagnetic diurnal variation anomalies prior to the 2011 Tohoku earthquake (Mw 9.0) and the possible coupling of multiple pre-earthquake phenomena. J. Asian Earth Sci. 2016, 129, 13–21. [Google Scholar] [CrossRef]
- Xu, G.; Han, P.; Huang, Q.; Hattori, K.; Febriani, F.; Yamaguchi, H. Anomalous behaviors of geomagnetic diurnal variations prior to the 2011 off the Pacific coast of Tohoku earthquake (Mw9.0). J. Asian Earth Sci. 2013, 77, 59–65. [Google Scholar] [CrossRef]
- Fujinawa, Y.; Noda, Y.; Takahashi, K.; Kobayashi, M.; Takamatsu, K.; Natsumeda, J. Field Detection of Microcracks to Define the Nucleation Stage of Earthquake Occurrence. Int. J. Geophys. 2013, 2013, 1–18. [Google Scholar] [CrossRef]
- Schekotov, A.; Hayakawa, M. Seismo-meteo-electromagnetic phenomena observed during a 5-year interval around the 2011 Tohoku earthquake. Phys. Chem. Earth 2015, 85, 167–173. [Google Scholar] [CrossRef]
- Molchanov, O.A.; Hayakawa, M. Generation of ULF electromagnetic emissions by microfracturing. Geophys. Res. Lett. 1995, 22, 3091–3094. [Google Scholar] [CrossRef]
- Yoshida, S. Convection current generated prior to rupture in saturated rocks. J. Geophys. Res. 2001, 106, 2103–2120. [Google Scholar] [CrossRef]
- Freund, F. Pre-earthquake signals: Underlying physical processes. J. Asian Earth Sci. 2011, 41, 383–400. [Google Scholar] [CrossRef]
- Freund, F.; Takeuchi, A.; Lau, B.W.S. Electric currents streaming out of stressed igneous rocks—A step towards understanding pre-earthquake low frequency EM emissions. Phys. Chem. Earth 2006, 31, 389–396. [Google Scholar] [CrossRef]
- Enomoto, Y. Coupled interaction of earthquake nucleation with deep Earth gases: A possible mechanism for seismo-electromagnetic phenomena. Geophys. J. Int. 2012, 191, 1210–1214. [Google Scholar] [CrossRef]
- Ren, H.; Chen, X.; Huang, Q. Numerical simulation of coseismic electromagnetic fields associated with seismic waves due to finite faulting in porous media. Geophys. J. Int. 2012, 188, 925–944. [Google Scholar] [CrossRef]
- Ren, H.; Wen, J.; Huang, Q.; Chen, X. Electrokinetic effect combined with surface-charge assumption: A possible generation mechanism of coseismic EM signals. Geophys. J. Int. 2015, 200, 837–850. [Google Scholar] [CrossRef]
- Ren, H.; Huang, Q.; Chen, X. Existence of evanescent electromagnetic waves resulting from seismoelectric conversion at a solid–porous interface. Geophys. J. Int. 2016, 204, 147–166. [Google Scholar] [CrossRef]
- Ren, H.; Huang, Q.; Chen, X. Numerical simulation of seismo-electromagnetic fields associated with a fault in a porous medium. Geophys. J. Int. 2016, 206, 205–220. [Google Scholar] [CrossRef]
- Shinbrot, T.; Kim, N.H.; Thyagu, N.N. Electrostatic precursors to granular slip events. Proc. Natl. Acad. Sci. USA 2012, 109, 10806–10810. [Google Scholar] [CrossRef]
- Leeman, J.; Scuderi, M.M.; Marone, C.; Saffer, D.M.; Shinbrot, T. On the origin and evolution of electrical signals during frictional stick slip in sheared granular material. J. Geophys. Res. 2014, 119, 4253–4268. [Google Scholar] [CrossRef]
- Hattori, K.; Han, P.; Yoshino, C.; Febriani, F.; Yamaguchi, H.; Chen, C. Investigation of ULF Seismo-Magnetic Phenomena in Kanto, Japan During 2000–2010: Case Studies and Statistical Studies. Surv. Geophys. 2013, 34, 293–316. [Google Scholar] [CrossRef]
- Han, P.; Hattori, K.; Hirokawa, M.; Zhuang, J.; Chen, C.; Febriani, F.; Yamaguchi, H.; Yoshino, C.; Liu, J.; Yoshida, S. Statistical analysis of ULF seismomagnetic phenomena at Kakioka, Japan, during 2001–2010. J. Geophys. Res. 2014, 119, 4998–5011. [Google Scholar] [CrossRef]
- Hattori, K.; Han, P. Statistical Analysis and Assessment of Ultralow Frequency Magnetic Signals in Japan As Potential Earthquake Precursors; Wiley: Hoboken, NJ, USA, 2018; pp. 229–240. [Google Scholar] [CrossRef]
- Molchan, G. Structure of optimal strategies in earthquake prediction. Tectonophysics 1991, 193, 267–276. [Google Scholar] [CrossRef]
- Molchan, G.M.; Kagan, Y.Y. Earthquake prediction and its optimization. J. Geophy. Res. 1992, 97, 4823–4838. [Google Scholar] [CrossRef]
- Hattori, K.; Han, P.; Huang, Q. Global variation of ULF geomagnetic fields and detection of anomalous changes at a certain observatory using reference data. Electr. Eng. Japan 2013, 182, 9–18. [Google Scholar] [CrossRef]
- Han, P.; Hattori, K.; Huang, Q.; Hirano, T.; Ishiguro, Y.; Yoshino, C.; Febriani, F. Evaluation of ULF electromagnetic phenomena associated with the 2000 Izu Islands earthquake swarm by wavelet transform analysis. Nat. Hazards Earth Syst. Sci. 2011, 11, 965–970. [Google Scholar] [CrossRef]
- Sarlis, N.V.; Varotsos, P. Magnetic field near the outcrop of an almost horizontal conductive sheet. J. Geodyn. 2002, 33, 463–476. [Google Scholar] [CrossRef]
- Han, P.; Hattori, K.; Zhuang, J.; Chen, C.; Liu, J.; Yoshida, S. Evaluation of ULF seismo-magnetic phenomena in Kakioka, Japan by using Molchan’s error diagram. Geophys. J. Int. 2017, 208, 482–490. [Google Scholar] [CrossRef]
- Wang, T.; Zhuang, J.; Kato, T.; Bebbington, M. Assessing the potential improvement in short-term earthquake forecasts from incorporation of GPS data. Geophys. Res. Lett. 2013, 40, 2631–2635. [Google Scholar] [CrossRef]
- Varotsos, P.; Sarlis, N.V.; Skordas, E.S. Scale-specific order parameter fluctuations of seismicity in natural time before mainshocks. EPL 2011, 96, 59002. [Google Scholar] [CrossRef]
- Varotsos, P.; Sarlis, N.V.; Skordas, E.S.; Lazaridou, M. Identifying sudden cardiac death risk and specifying its occurrence time by analyzing electrocardiograms in natural time. Appl. Phys. Lett. 2007, 91, 064106. [Google Scholar] [CrossRef]
- Sarlis, N.V.; Skordas, E.S.; Varotsos, P.; Nagao, T.; Kamogawa, M.; Tanaka, H.K.; Uyeda, S. Minimum of the order parameter fluctuations of seismicity before major earthquakes in Japan. Proc. Natl. Acad. Sci. USA 2013, 110, 13734–13738. [Google Scholar] [CrossRef]
- Sarlis, N.V.; Christopoulos, S.G. Visualization of the significance of Receiver Operating Characteristics based on confidence ellipses. Comp. Phys. Commun. 2014, 185, 1172–1176. [Google Scholar] [CrossRef]
- Donges, J.F.; Schleussner, C.; Siegmund, J.F.; Donner, R.V. Event coincidence analysis for quantifying statistical interrelationships between event time series. Eur. Phys. J. Spec. Top. 2016, 225, 471–487. [Google Scholar] [CrossRef]
- Zechar, J.D.; Jordan, T.H. Testing alarm-based earthquake predictions. Geophys. J. Int. 2008, 172, 715–724. [Google Scholar] [CrossRef]
- Zechar, J.D.; Gerstenberger, M.C.; Rhoades, D.A. Likelihood-Based Tests for Evaluating Space-Rate-Magnitude Earthquake Forecasts. Bull. Seismol. Soc. Am. 2010, 100, 1184–1195. [Google Scholar] [CrossRef]
- Zhuang, J. Next-day earthquake forecasts for the Japan region generated by the ETAS model. Earth Planets Space 2011, 63, 207–216. [Google Scholar] [CrossRef]
- Helmstetter, A.; Werner, M. Adaptive Smoothing of Seismicity in Time, Space, and Magnitude for Time-Dependent Earthquake Forecasts for California. Bull. Seismol. Soc. Am. 2014, 104, 809–822. [Google Scholar] [CrossRef]
- Uyeda, S. Current affairs in earthquake prediction in Japan. J. Asian Earth Sci. 2015, 114, 431–434. [Google Scholar] [CrossRef]
- Gupta, H.K. Encyclopedia of Earth Sciences Series. Encycl. Solid Earth Geophys. 2011. [Google Scholar] [CrossRef]
- Uyeda, S.; Kamogawa, M. The Prediction of Two Large Earthquakes in Greece. Eos Trans. Am. Geophys. Union 2008, 89, 363. [Google Scholar] [CrossRef]
- Sarlis, N.V.; Skordas, E.S.; Lazaridou, M.; Varotsos, P. Investigation of seismicity after the initiation of a Seismic Electric Signal activity until the main shock. Proc. Japan Acad. Sci. 2008, 84, 331–343. [Google Scholar] [CrossRef]








© 2020 by the authors. Licensee MDPI, Basel, Switzerland. This article is an open access article distributed under the terms and conditions of the Creative Commons Attribution (CC BY) license (http://creativecommons.org/licenses/by/4.0/).
Share and Cite
Han, P.; Zhuang, J.; Hattori, K.; Chen, C.-H.; Febriani, F.; Chen, H.; Yoshino, C.; Yoshida, S. Assessing the Potential Earthquake Precursory Information in ULF Magnetic Data Recorded in Kanto, Japan during 2000–2010: Distance and Magnitude Dependences. Entropy 2020, 22, 859. https://doi.org/10.3390/e22080859
Han P, Zhuang J, Hattori K, Chen C-H, Febriani F, Chen H, Yoshino C, Yoshida S. Assessing the Potential Earthquake Precursory Information in ULF Magnetic Data Recorded in Kanto, Japan during 2000–2010: Distance and Magnitude Dependences. Entropy. 2020; 22(8):859. https://doi.org/10.3390/e22080859
Chicago/Turabian StyleHan, Peng, Jiancang Zhuang, Katsumi Hattori, Chieh-Hung Chen, Febty Febriani, Hongyan Chen, Chie Yoshino, and Shuji Yoshida. 2020. "Assessing the Potential Earthquake Precursory Information in ULF Magnetic Data Recorded in Kanto, Japan during 2000–2010: Distance and Magnitude Dependences" Entropy 22, no. 8: 859. https://doi.org/10.3390/e22080859
APA StyleHan, P., Zhuang, J., Hattori, K., Chen, C.-H., Febriani, F., Chen, H., Yoshino, C., & Yoshida, S. (2020). Assessing the Potential Earthquake Precursory Information in ULF Magnetic Data Recorded in Kanto, Japan during 2000–2010: Distance and Magnitude Dependences. Entropy, 22(8), 859. https://doi.org/10.3390/e22080859

