Grey-Wolf-Based Wang’s Demons for Retinal Image Registration
Abstract
1. Introduction
2. Literature Survey
3. Non-Rigid Image Registration Using Demons Algorithm
3.1. Thirion’s Demons
3.2. Wang’s Demons
3.3. Tang’s Demons
4. Optimization Framework for Image Registration
| Algorithm 1 Grey-Wolf Optimizer (GWO) procedure |
| Start |
| Initialize the population Wi (i = 1,2,..., n) and a, A and C in GWO |
| Evaluate the search agent’s fitness value |
| Wα denotes the best search agent |
| Wβ denotes next best search agent |
| Wδ denotes 3rd best search agent |
| While(t < Maxgeneration) |
| For each search agent |
| Update search agent’s current position |
| End for |
| Update values of a, A and C |
| Evaluate search agents’ fitness values |
| Update Wα, Wβ, and Wδ |
| t++ |
| End while |
| Return Wα |
| Stop |
| Algorithm 2: Proposed algorithm based Wang’s Demons Registration |
| Start |
| Read the source and target images |
| Set upper bound and lower bound for optimization |
| Apply the meta-heuristic algorithm (GWO) for optimization |
| Generate new solutions |
| For solution 1 to n |
| Apply the solutions on demons algorithm |
| Perform demons algorithm for each solution and return the correlation value between the original and registered images |
| Choose the highest correlation value and return it as best fit |
| Obtain the solution values for which best fit was returned |
| Save the registered image for post-processing |
| End for |
| Calculate the mean square error, joint entropy, and mutual information following the optimization of demons registration |
| Stop |
5. Proposed Method
6. Results and Discussion
6.1. Dataset
6.2. Meta-Heuristics Based Wang’s Demons Registration
6.2.1. Grey-Wolf Optimization-Based Wang’s Demons Registration
6.2.2. Firefly Algorithm-Based Wang’s Demons Registration
6.2.3. Cuckoo search algorithm-based Wang’s Demons registration
6.2.4. Genetic Algorithm-Based Wang’s Demons Registration
6.2.5. Particle Swarm Optimization Algorithm-Based Wang’s Demons Registration
6.2.6. Comparative Study in Terms of the Time Complexity and the Fitness Values Using Wang’s Demons Registration
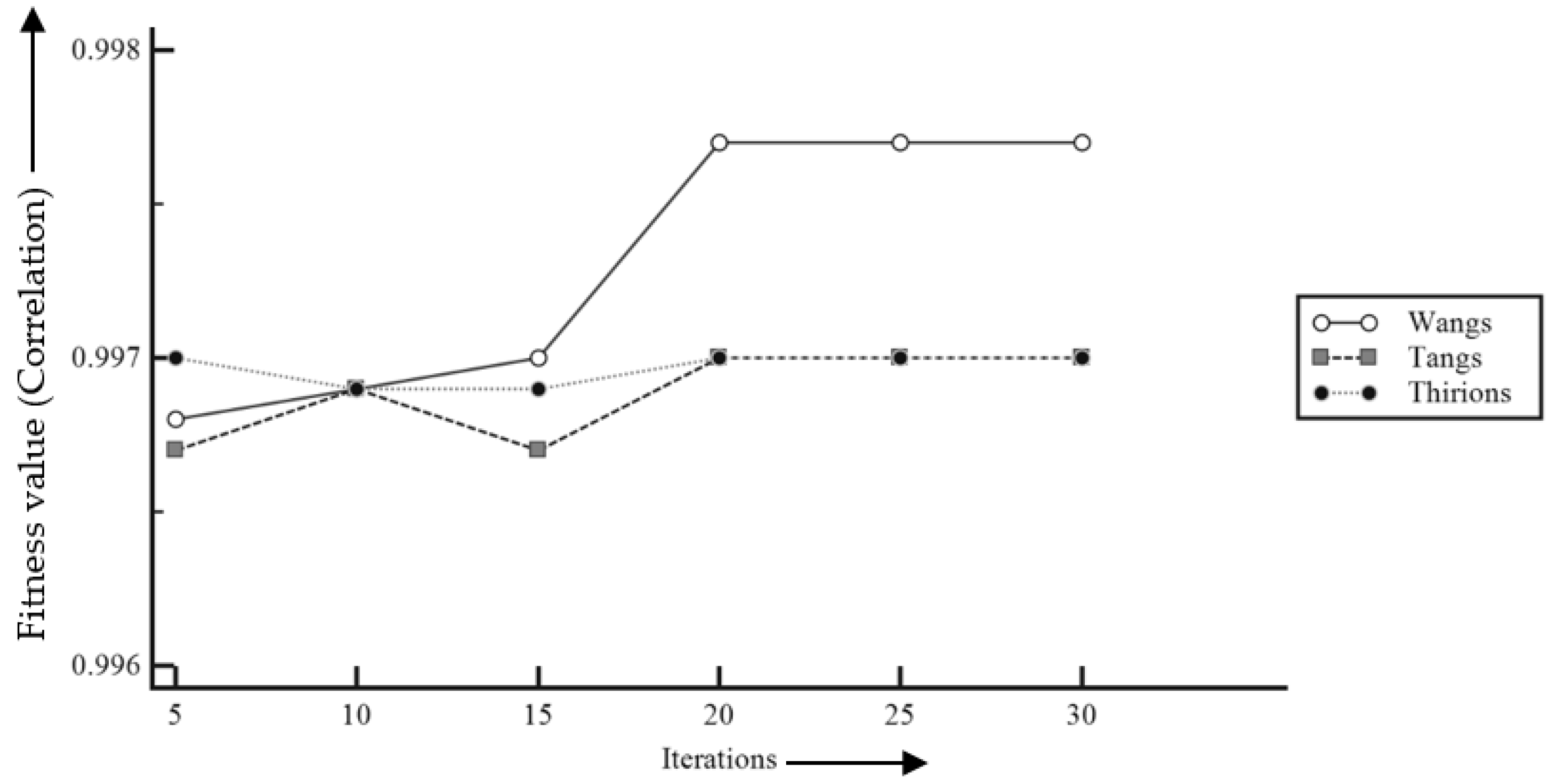
6.3. Comparative Study of the GWO-Based Different Demons Registration
7. Discussion
8. Conclusions
Author Contributions
Funding
Conflicts of Interest
References
- Hajnal, V.J.; Hill, D.L.G.; Hawkes, D.J. Medical Image Registration; CRC LLC: Boca Raton, FL, USA, 2001. [Google Scholar]
- Pohl, C.; Van Genderen, J.L. Multisensor image fusion in remote sensing: Concepts, methods and application. Int. J. Remote Sens. 1998, 19, 823–854. [Google Scholar] [CrossRef]
- Daneshvar, S.; Ghassemian, H. MRI and PET image fusion by combining IHS and retina-inspired models. Inform. Fusion. 2010, 11, 114–123. [Google Scholar] [CrossRef]
- Patton, N.; Aslam, T.M.; MacGillivray, T.; Deary, J.I.; Dhillon, B.; Eikelboom, R.H.; Yogesan, K.; Constable, I.J. Retinal image analysis: Concepts, applications and potential. Prog. Retin. Eye Res. 2006, 25, 99–127. [Google Scholar] [CrossRef]
- Walter, T.; Massin, P.; Erginay, A.; Ordonez, R.; Jeulin, C.; Klein, J.C. Automatic detection of microaneurysms in color fundus images. Med. Image Anal. 2007, 11, 555–566. [Google Scholar] [CrossRef]
- Yan, M.; Huang, K. A region based algorithm for vessel detection in retinal images. Med. Image Comput. Comput. Assist. Interv. 2006, 1, 645–653. [Google Scholar]
- Zhu, Y.M. Mutual information-based registration of temporal and stereo retinal images using constrained optimization. Comput. Meth. Prog. Bio. 2007, 86, 210–215. [Google Scholar] [CrossRef] [PubMed]
- Cideciyan, A.V. Registration of ocular fundus images: An algorithm using cross-correlation of triple invariant image descriptors. IEEE Eng. Med. Biol. 1995, 14, 52–58. [Google Scholar] [CrossRef]
- Cao, H. A Novel Automated Approach of Multimodality Retinal Image Registration and Fusion. Ph.D. Dissertation, Louisiana State University and Agricultural and Mechanical College, Computer Science, Baton Rouge, LA, USA, 2008. [Google Scholar]
- Chanwimaluang, T. Advanced Retinal Imaging: Feature Extraction, 2-D Registration, and 3-D Reconstruction. Ph.D. Dissertation, Oklahoma State University, Stillwater, OK, USA, 2006. [Google Scholar]
- Zitov, B.; Flusser, J.; Sroubek, F. Image registration: A survey and recent advances. In Proceedings of the 12th IEEE International Conference on Image Processing (ICIP 2005), Genoa, Italy, 11–14 September 2005. [Google Scholar]
- Li, H.; Chutatape, O. Automated feature extraction in colorretinal images by a model based approach. IEEE Trans. Biomed. Eng. 2004, 51, 246–254. [Google Scholar] [CrossRef]
- Sinthanayothin, C.; Boyce, J.F.; Cook, H.L.; Williamson, T.H. Automated localisation of the optic disc, fovea, and retinal blood vessels from digital colour fundus images. Br. J. Ophthalmol. 1999, 83, 902–910. [Google Scholar] [CrossRef]
- Foracchia, M.; Grisan, E.; Rugger, A. Detection of optic disc in retinal images by means of a geometrical model of vessel structure. IEEE Trans. Biomed. Eng. 2004, 23, 1189–1195. [Google Scholar] [CrossRef]
- Barrett, S.F.; Naess, E.; Molvik, T. Employing the Hough transform to locate the optic disk. Biomed. Sci. Instrum. 2001, 37, 81–86. [Google Scholar] [PubMed]
- Ibanez, M.V.; Simo, A. Bayesian detection of the fovea in eye fundus angiographies. Pattern Recogn. Lett. 1999, 20, 229–240. [Google Scholar] [CrossRef]
- Hunter, A.; Lowell, J.; Steel, D.; Basu, A.; Ryder, R. Non-linear filtering for vascular segmentation and detection of venous beading. In Technical Report; University of Durham: Durham, UK, 2002. [Google Scholar]
- Delibasi, K.K.; Kechriniotis, A.I.; Tsonos, C.; Assimakis, N. Automatic model-based tracing algorithm for vessel segmentation and diameter estimation. Comput. Meth. Prog. Bio. 2010, 100, 108–122. [Google Scholar] [CrossRef] [PubMed]
- Gregson, P.H.; Shen, Z.; Scott, R.C.; Kozousek, V. Automated grading of venous beading. Comput. Biomed. Res. 1995, 28, 291–304. [Google Scholar] [CrossRef] [PubMed]
- Akita, K.; Kuga, H. A computer method of understanding ocular fundus images. Pattern Recogn. 1982, 16, 431–443. [Google Scholar] [CrossRef]
- Ramli, R.; Idris, M.Y.I.; Hasikin, K.A.; Karim, N.K.; Abdul Wahab, A.W.; Ahmedy, I.; Arof, H. Feature-Based Retinal Image Registration Using D-Saddle Feature. J. Healthc. Eng. 2017, 1–15. [Google Scholar] [CrossRef] [PubMed]
- Hernandez-Matas, C.; Zabulis, X.; Triantafyllou, A.; Anyfanti, P.; Argyros, A.A. Retinal image registration under the assumption of a spherical eye. Comput. Med. Imaging Graph. 2017, 55, 95–105. [Google Scholar] [CrossRef]
- Gharabaghi, S.; Daneshvar, S.; Sedaaghi, M.H. Retinal Image Registration Using Geometrical Features. J. Digit. Imaging 2012, 26, 248–258. [Google Scholar] [CrossRef]
- Li, Z.; Huang, F.; Zhang, J.; Dashtbozorg, B.; Abbasi-Sureshjani, S.; Sun, Y.; Long, X.; Yu, Q.; ter Haar Romeny, B.; Tan, T. Multi-modal and multi-vendor retina image registration. Biomed. Opt. Express 2018, 9, 410–418. [Google Scholar] [CrossRef]
- Araki, T.; Ikeda, N.; Dey, N.; Chakraborty, S.; Saba, L.; Kumar, D.; Suri, J.S. A comparative approach of four different image registration techniques for quantitative assessment of coronary artery calcium lesions using intravascular ultrasound. Comput. Methods Programs Biomed. 2015, 118, 158–172. [Google Scholar] [CrossRef]
- Wang, C.; Ren, Q.; Qin, X.; Yu, Y. Adaptive DiffeomorphicMultiresolution Demons and Their Application to Same Modality Medical Image Registration with Large Deformation. Int. J. Biomed. Imaging 2018, 2018, 7314612. [Google Scholar] [CrossRef] [PubMed]
- Chakraborty, S.; Ghosh, S.; Chatterjee, S.; Chowdhuri, S.; Ray, R.; Dey, N. Rigid image registration using parallel processing. In Proceedings of the International Conference on Circuits, Communication, Control and Computing, Bangalore, India, 21–22 November 2014. [Google Scholar]
- Tang, Z.; Fan, Y. Groupwise Image Registration Guided by a Dynamic Digraph of Images. Neuroinformatics 2016, 14, 131–145. [Google Scholar] [CrossRef] [PubMed]
- Chakraborty, S.; Dey, N.; Nath, S.; Roy, S.; Acharjee, S. Effects of rigid, affine, b-splines and demons registration on video content: A review. In Proceedings of the International Conference on Control, Instrumentation, Communication and Computational Technologies (ICCICCT), Kanyakumari, India, 10–11 July 2014; pp. 101–107. [Google Scholar]
- Thirion, J.P. Image matching as a diffusion process: An analogy with Maxwell’s demons. Med. Image Anal. 1998, 2, 243–260. [Google Scholar] [CrossRef]
- Gu, X.; Pan, H.; Liang, Y.; Castillo, R.; Yang, D.; Choi, D.; Castillo, E.; Majumdar, A.; Guerrero, T.; Jiang, S.B. Implementation and evaluation of various demons deformable image registration algorithms on a GPU. Phys. Med. Biol. 2010, 55, 207–219. [Google Scholar] [CrossRef] [PubMed]
- Papież, B.W.; Franklin, J.M.; Heinrich, M.P.; Gleeson, F.V.; Brady, M.; Schnabel, J.A. GIFTed Demons: Deformable Image Registration with Local Structure-Preserving Regularization Using Supervoxels for Liver Applications. J. Med. Imaging. 2018, 5, 1–5. [Google Scholar] [CrossRef] [PubMed]
- Ayatollahi, F.; Shokouhi, S.B.; Ayatollahi, A. A new hybrid particle swarm optimization for multimodal brain image registration. J. Biomed. Sci. Eng. 2012, 5, 153–161. [Google Scholar] [CrossRef]
- Ashour, S.A.; Samanta, S.; Dey, N.; Kausar, N.; Abdessalemkaraa, B.W.; Hassanien, E.A. Computed tomography image enhancement using cuckoo search: A log transform based approach. JSIP 2015, 6, 244–257. [Google Scholar] [CrossRef]
- Shehab, M. Artificial Intelligence in Diffusion MRI. Stud. Comput. Intell. 2020, 877, 1–9. [Google Scholar]
- Daniel, E.; Anitha, J.; Kamaleshwaran, K.; Rani, I. Optimum spectrum mask based medical image fusion using Gray Wolf Optimization. Biomed. Signal. Process. Control. 2017, 34, 36–43. [Google Scholar] [CrossRef]
- Daniel, E. Optimum Wavelet-Based Homomorphic Medical Image Fusion Using Hybrid Genetic–Grey Wolf Optimization Algorithm. IEEE Sens. J. 2018, 18, 6804–6811. [Google Scholar] [CrossRef]
- Zhang, Y.; Wu, L. A novel method for rigid image registration based on firefly algorithm. Int J. Res. Rev. Soft Intell. Comput. 2012, 2, 141–146. [Google Scholar]
- Cocianu, C.-L.; Stan, A. New Evolutionary-Based Techniques for Image Registration. Appl. Sci. 2019, 9, 176. [Google Scholar] [CrossRef]
- Gao, Z.-M.; Zhao, J. An Improved Grey Wolf Optimization Algorithm with Variable Weights. Comput. Intell. Neurosci. 2019, 2019, 2981282. [Google Scholar] [CrossRef] [PubMed]
- Mirjalili, S.; Mirjalili, S.M.; Lewis, A. Grey Wolf Optimizer. Adv. Eng. Softw. 2014, 69, 46–61. [Google Scholar] [CrossRef]
- Yang, X.S.; He, X. Firefly Algorithm: Recent Advances and Applications. Int. J. Swarm Intell. 2013, 1, 36–50. [Google Scholar] [CrossRef]
- Lan, S.; Guo, Z.; You, J. Non-rigid medical image registration using image field in Demons algorithm. Pattern Recognit. Lett. 2019, 125, 98–104. [Google Scholar] [CrossRef]
- Chakraborty, S.; Dey, N.; Samanta, S.; Ashour, A.S.; Balas, V.E. Firefly algorithm for optimized nonrigid demons registration. In Bio-Inspired Computation and Applications in Image Processing; Academic Press: Cambridge, MA, USA, 2016; pp. 221–237. [Google Scholar]
- Chakraborty, S.; Dey, N.; Samanta, S.; Ashour, A.S.; Barna, C.; Balas, M.M. Optimization of Non-rigid Demons Registration Using Cuckoo Search Algorithm. Cogn. Comput. 2017, 9, 817–826. [Google Scholar] [CrossRef]
- Mishra, B.; Pati, U.C.; Sinha, U. Modified demons registration for highly deformed medical images. In Proceedings of the 2015 Third International Conference on Image Information Processing (ICIIP), Waknaghat, India, 21–24 December 2015; pp. 1–6. [Google Scholar]
- Zhuang, S.; Xia, Y. A novel deformable image registration algorithm based on improved active demons. In Proceedings of the 2017 10th International Congress on Image and Signal Processing, BioMedical Engineering and Informatics (CISP-BMEI), Shanghai, China, 14–16 October 2017; pp. 117–123. [Google Scholar]
- Yogapriya, J.; Nithya, B. Fuzzy Based Grey Wolf Optimization for Effective Medical Image Retrieval System. In Proceedings of the International Conference on Communication and Signal. Processing (ICCSP), Chennai, India, 3–5 April 2018; pp. 1–6. [Google Scholar]
- Asha, C.S.; Lal, S.; Gurupur, V.P.; Saxena, P.U.P. Multi-modal Medical Image Fusion with Adaptive Weighted Combination of NSST Bands using Chaotic Grey Wolf Optimization. IEEE Access 2019, 7, 40782–40796. [Google Scholar] [CrossRef]
- Zhang, Y.D.; Wu, L. Rigid Image Registration based on Normalized Cross Correlation and Chaotic Firefly Algorithm. Int. J. Digit. Content Technol. Appl. 2012, 6, 129–140. [Google Scholar]
- Du, X.; Dang, J.; Wang, Y.; Liu, X.; Li, S. An Algorithm Multi-Resolution Medical Image Registration Based on Firefly Algorithm and Powell. In Proceedings of the 2013 Third International Conference on Intelligent System Design and Engineering Applications, Hong Kong, China, 16–18 January 2013; pp. 68–74. [Google Scholar]
- Li, T.; Li, P.; Li, W.; Gao, L.; Yi, J.; Bai, Y. Cuckoo Search-based range image registration for free-form surface inspection. In Proceedings of the 2015 IEEE 19th International Conference on Computer Supported Cooperative Work in Design (CSCWD), Calabria, Italy, 6–8 May 2015; pp. 1–6. [Google Scholar]
- Jebril, N.A.; Abu Al-Haija, Q. Cuckoo Optimization Algorithm (COA) for Image Processing. In Nature Inspired Optimization Techniques for Image Processing Applications; Springer: Cham, Switzerland, 2018; pp. 189–213. [Google Scholar]
- Vercauteren, T.; Pennec, X.; Perchant, A.; Ayache, N. Non-parametric Diffeomorphic Image Registration with the Demons Algorithm. In Medical Image Computing and Computer-Assisted Intervention–MICCAI 2007; Springer: Berlin/Heidelberg, Germany, 2007; pp. 319–326. [Google Scholar]
- Yang, X.S.; Deb, S. Cuckoo search via Lévy flights. In Proceedings of the 2009 World Congress on Nature & Biologically Inspired Computing (NaBIC), Coimbatore, India, 9–11 December 2009; pp. 210–214. [Google Scholar]
- Ahmed, S.S.; Dey, N.; Ashour, A.S.; Sifaki-Pistolla, D.; Bălas-Timar, D.; Balas, V.E.; Tavares, J.M.R. Effect of fuzzy partitioning in Crohn’s disease classification: A neuro-fuzzy-based approach. Med. Biol. Eng. Comput. 2016, 55, 101–115. [Google Scholar] [CrossRef] [PubMed]
- del Moral, R.; Navarro, J.; Lahoz-Beltra, R.; Marijuán, P.C. Cognitive and Emotional Contents of Laughter: Framing a New Neurocomputational Approach. Int. J. Synth. Emot. (IJSE) 2014, 5, 31–54. [Google Scholar] [CrossRef]
- Naik, A.; Satapathy, S.C.; Ashour, A.S.; Dey, N. Social group optimization for global optimization of multimodal functions and data clustering problems. Neural Comput. Appl. 2018, 30, 271–287. [Google Scholar] [CrossRef]
- Roy, P.; Goswami, S.; Chakraborty, S.; Azar, A.T.; Dey, N. Image segmentation using rough set theory: A review. Int. J. Rough Sets Data Anal. (IJRSDA) 2014, 1, 62–74. [Google Scholar] [CrossRef]
- Dey, N.; Ashour, A.S.; Chakraborty, S.; Samanta, S.; Sifaki-Pistolla, D.; Ashour, A.S.; Le, D.-N.; Nguyen, G.N. Healthy and Unhealthy Rat Hippocampus Cells Classification: A Neural Based Automated System for Alzheimer Disease Classification. J. Adv. Microsc. Res. 2016, 11, 1–10. [Google Scholar] [CrossRef]
- Wang, H.; Dong, L.; O’Daniel, J.; Mohan, R.; Garden, A.S.; Ang, K.K.; Cheung, R. Validation of an accelerated “demons” algorithm for deformable image registration in radiation therapy. Phys. Med. Biol. 2005, 50, 2887–2905. [Google Scholar] [CrossRef]
- Parekar, J.; Porwal, P.; Kokare, M. Automatic retinal image registration using fully connected vascular tree. In Proceedings of the 2016 International Conference on Signal and Information Processing (IConSIP), Vishnupuri, India, 6–8 October 2016; pp. 1–6. [Google Scholar]
- Hang, Y.; Zhang, X.; Shao, Y.; Wu, H.; Sun, W. Retinal image registration based on the feature of bifurcation point. In Proceedings of the 2017 10th International Congress on Image and Signal Processing, BioMedical Engineering and Informatics (CISP-BMEI), Shanghai, China, 14–16 October 2017; pp. 1–5. [Google Scholar]
- Tang, H.; Pan, A.; Yang, Y.; Yang, K.; Luo, Y.; Zhang, S.; Ong, S.-H. Retinal Image Registration Based on Robust Non-Rigid Point Matching Method. J. Med. Imaging Health Inform. 2018, 8, 1–10. [Google Scholar] [CrossRef]
- FIRE: Fundus Image Registration Dataset. Available online: https://projects.ics.forth.gr/cvrl/fire/ (accessed on 8 May 2020).
















| 2-D Filter | Sigma | |
|---|---|---|
| Velocity field smoothing kernel | Gaussian low pass filter | 10 pixels |
| Alpha (noise) constant | 2.5 dB | |
| 5 × 15 | 10 × 15 | 15 × 15 | 20 × 15 | 25 × 15 | 30 × 15 | |
|---|---|---|---|---|---|---|
| Correlation | 0.9968 | 0.9969 | 0.9970 | 0.9977 | 0.9977 | 0.9977 |
| Time for Optimization | 24,153.56 | 47,175.47 | 70,458.02 | 100,752.23 | 138,726.54 | 174,113.1 |
| k1, k2, k3 | 89, 60, 18 | 97, 79, 18 | 98, 98, 20 | 99, 99, 20 | 99, 99, 20 | 99, 99, 20 |
| 5 × 15 | 10 × 15 | 15 × 15 | 20 × 15 | 25 × 15 | 30 × 15 | |
|---|---|---|---|---|---|---|
| Correlation | 0.9766 | 0.9870 | 0.9969 | 0.9970 | 0.9970 | 0.9970 |
| Time for Optimization | 25,104.92 | 58,984.51 | 84,369.26 | 132,714.22 | 165,263.5 | 210,714.76 |
| k1, k2, k3 | 66, 71, 19 | 87, 50, 18 | 96, 81, 20 | 98, 98, 20 | 98, 98, 20 | 98, 98, 20 |
| 5 × 15 | 10 × 15 | 15 × 15 | 20 × 15 | 25 × 15 | 30 × 15 | |
|---|---|---|---|---|---|---|
| Correlation | 0.9965 | 0.9977 | 0.9977 | 0.9977 | 0.9977 | 0.9977 |
| Time for Optimization | 24,820.26 | 53,485.82 | 81,148.52 | 121,591.49 | 156,132.41 | 211,056.74 |
| k1, k2, k3 | 67, 92, 18 | 99, 99, 20 | 99, 99, 20 | 99, 99, 20 | 99, 99, 20 | 99, 99, 20 |
| 5 × 15 | 10 × 15 | 15 × 15 | 20 × 15 | 25 × 15 | 30 × 15 | |
|---|---|---|---|---|---|---|
| Correlation | 0.9157 | 0.9265 | 0.9266 | 0.9266 | 0.9266 | 0.9266 |
| Time for Optimization | 4909.18 | 10,104.6 | 14,314.98 | 19,729.19 | 23,934.43 | 29,177.21 |
| k1, k2,k3 | 74, 74, 15 | 94, 94, 19 | 96, 96, 19 | 96, 96, 19 | 96, 96, 19 | 96, 96, 19 |
| 5 × 15 | 10 × 15 | 15 × 15 | 20 × 15 | 25 × 15 | 30 × 15 | |
|---|---|---|---|---|---|---|
| Correlation | 0.9657 | 0.9960 | 0.9970 | 0.9970 | 0.9970 | 0.9970 |
| Time for Optimization | 56,841.91 | 104,131.62 | 143,152.31 | 198,331.62 | 224,136.44 | 297,528.52 |
| k1, k2,k3 | 64, 72, 18 | 92, 76, 19 | 98, 98, 20 | 98, 98, 20 | 98, 98, 20 | 98, 98, 20 |
| Total Number of Iterations | 120 | |
|---|---|---|
| Velocity field smoothing kernel | 2-D filter | Sigma |
| Gaussian low pass filter of window size 60 × 60 | 10 pixels | |
| Alpha (noise) constant | 2.5 dB | |
| . | 5 × 15 | 10 × 15 | 15 × 15 | 20 × 15 | 25 × 15 | 30 × 15 |
|---|---|---|---|---|---|---|
| Correlation | 0.9968 | 0.9969 | 0.9970 | 0.9977 | 0.9977 | 0.9977 |
| Time for Optimization | 24,153.56 | 47,175.47 | 70,458.02 | 100,752.23 | 138,726.54 | 174,113.1 |
| k1, k2, k3 | 89, 60, 18 | 97, 79, 18 | 98, 98, 20 | 99, 99, 20 | 99, 99, 20 | 99, 99, 20 |
| 5 × 15 | 10 × 15 | 15 × 15 | 20 × 15 | 25 × 15 | 30 × 15 | |
|---|---|---|---|---|---|---|
| Correlation | 0.9967 | 0.9969 | 0.9967 | 0.9970 | 0.9970 | 0.9970 |
| Time for Optimization | 27,703.23 | 48,149.94 | 71,915.53 | 101,793.91 | 146,753.1 | 175,665.3 |
| k1, k2, k3 | 74, 98, 18 | 79, 99, 20 | 80, 91, 18 | 98, 98, 20 | 98, 98, 20 | 98, 98, 20 |
| 5 × 15 | 10 × 15 | 15 × 15 | 20 × 15 | 25 × 15 | 30 × 15 | |
|---|---|---|---|---|---|---|
| Correlation | 0.9970 | 0.9969 | 0.9969 | 0.9970 | 0.9970 | 0.9970 |
| Time for Optimization | 23,927.88 | 50,362.82 | 73,978.46 | 103,359.34 | 149,332.8 | 175,360.6 |
| k1, k2, k3 | 96, 94, 19 | 53, 99, 19 | 68, 98, 20 | 98, 98, 20 | 98, 98, 20 | 98, 98, 20 |
| Optimized Values | Wang’s Demons | Tang’s Demons | Thirion’s Demons |
|---|---|---|---|
| MSE | 8.3585 × 10−5 | 2.7314 × 10−4 | 2.6885 × 10−4 |
| MJE | 5.3007 | 5.3464 | 5.3456 |
| NMI | 0.4920 | 0.4493 | 0.4500 |
| Correlation | 0.9977 | 0.9970 | 0.9970 |
| Sl. No. | Year | Technique Used | Database Used | Size of Data | Performance Measures | Limitations |
|---|---|---|---|---|---|---|
| 1 | Gharabaghi 2012 [23] | Geometrical feature-based registration | DRIVE | 20 | Accuracy of 96% | Multimodal registration not taken into account |
| 2 | Chanwimaluang 2005 [10] | Area-based registration and Feature-based registration, Affine registration | NIH | 1008 | Accuracy of 95.1% | The time complexity of processing not discussed/addressed |
| 3 | Tang et al. 2018 [64] | Non-rigid point matching registration | http://imagebank.asrs.org/ | 200 | Accuracy of 92.44% | The feature matching technique wasn’t robust. Time complexity not discussed |
| 4 | Hernandez-Matas et al. 2017 [22] | Rigid registration with PSO | FIRE | 116 | Highest accuracy of 71.11% was observed while applying on different methods | A comparative study of other optimization method was missing. Discussion about the inclusion of non-rigid registration was missing. |
| 5 | Ramli et al. 2017 [21] | Feature-based Registration (D-Saddle feature) | FIRE | 134 | Registration accuracy 43% | Applied on Mono-modal images only. The method fails for small overlapping areas. Time complexity not addressed |
| 6 | Hang et al. 2017 [63] | SIFT Feature based registration | FIRE | 134 | 2.52 seconds/frame | The method fails when overlapping areas of the two images are very small. |
| 7 | Li et al. 2018 [12] | Feature-based multimodal registration | University Eye Clinic Maastricht, Maastricht | 600 | Dice coefficient was measured (Average failure of 10.37) | Comparative analysis was weak. Time complexity not discussed |
| 8 | Parekar et al. 2016 [62] | Feature matching registration | DRIVE | 12 | Mean error (2.789) and std dev (0.974) | The concept was based on similarity transformation |
| Original Parameters | Optimized Parameters | Improvements | |
|---|---|---|---|
| Correlation | 0.4666 | 0.9977 | 53.2324346 (Increase) |
| MSE | 3.6971 × 10−4 | 8.3585 × 10−5 | 77.39173947 (Decrease) |
| MJE | 5.3615 | 5.3007 | 1.134011004 (Decrease) |
| NMI | 0.4408 | 0.4920 | 10.40650407 (Increase) |
| Registration time/Frame (sec) | 443.242591 | 428.124839 | 3.41071736 (Decrease) |
© 2020 by the authors. Licensee MDPI, Basel, Switzerland. This article is an open access article distributed under the terms and conditions of the Creative Commons Attribution (CC BY) license (http://creativecommons.org/licenses/by/4.0/).
Share and Cite
Chakraborty, S.; Pradhan, R.; S. Ashour, A.; Moraru, L.; Dey, N. Grey-Wolf-Based Wang’s Demons for Retinal Image Registration. Entropy 2020, 22, 659. https://doi.org/10.3390/e22060659
Chakraborty S, Pradhan R, S. Ashour A, Moraru L, Dey N. Grey-Wolf-Based Wang’s Demons for Retinal Image Registration. Entropy. 2020; 22(6):659. https://doi.org/10.3390/e22060659
Chicago/Turabian StyleChakraborty, Sayan, Ratika Pradhan, Amira S. Ashour, Luminita Moraru, and Nilanjan Dey. 2020. "Grey-Wolf-Based Wang’s Demons for Retinal Image Registration" Entropy 22, no. 6: 659. https://doi.org/10.3390/e22060659
APA StyleChakraborty, S., Pradhan, R., S. Ashour, A., Moraru, L., & Dey, N. (2020). Grey-Wolf-Based Wang’s Demons for Retinal Image Registration. Entropy, 22(6), 659. https://doi.org/10.3390/e22060659

