Underdetermined DOA Estimation for Wideband Signals via Focused Atomic Norm Minimization
Abstract
1. Introduction
2. Signal Model and Problem Formulation
3. Wideband Signal Processing Using Virtual Array
3.1. Virtual Array Signal
3.2. Focusing on the Virtual Array
3.3. Source Number Detection Using Information Theory Criteria
3.4. DOA Estimation via ANM
3.4.1. ANM Principle
3.4.2. DOA Estimation
| Algorithm 1 The proposed undetermined wideband DOA estimation method. |
| Input: |
| The data: ; |
| Output: |
|
Estimation of ; |
| 1: Wideband signal processing and obtain the output of the frequency domain after DFT: ; |
| 2: Obtain the covariance matrix of each frequency: ; |
| 3: Vectorizing: ; |
| 4: Reduce redundancy and sort by (12); |
| 5: Fix the focusing frequency: ; |
| 6: Calculate the focusing matrices: by (15) and (16); |
| 7: Recover the optimal Toeplitz matrix: through SDP via (38); |
| 8: Estimate the DOAs via Root-MUSIC. |
4. Simulation Results
4.1. Simulation Setting
4.2. Performance Comparison
4.2.1. Source Number Detection
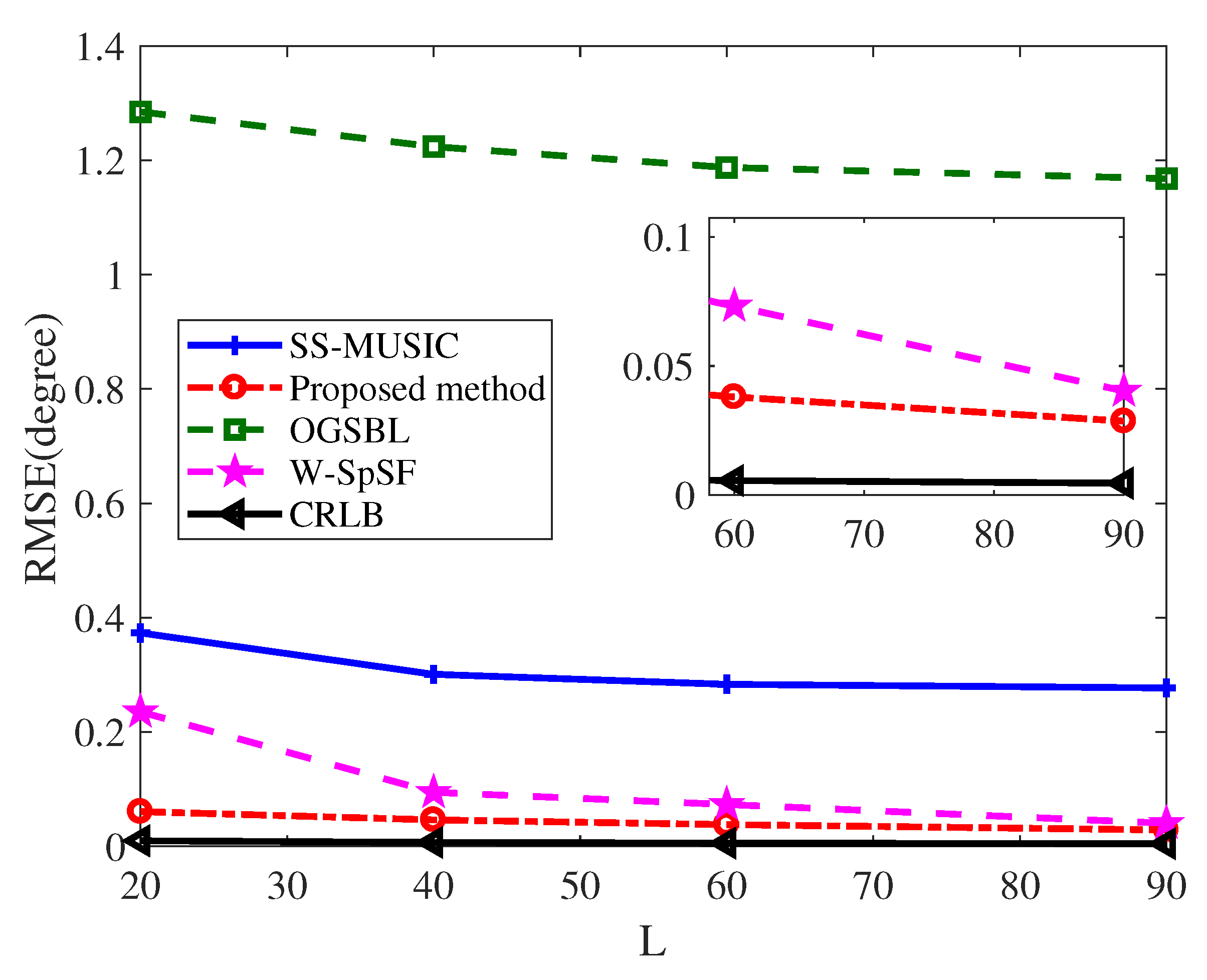
4.2.2. DOA Estimation
5. Conclusions
Author Contributions
Funding
Conflicts of Interest
References
- Tuncer, T.; Friedlander, B. Classical and Modern Direction of Arrival Estimation; Academic: New York, NY, USA, 2009. [Google Scholar]
- Wang, B.; Zhang, S.; Wang, W. Bayesian inverse synthetic aperture radar imaging by exploiting sparse probing frequencies. IEEE Antennas Wirel. Propag. Lett. 2015, 14, 169–1701. [Google Scholar] [CrossRef]
- Wu, Y.; Zhang, S.; Kang, H. Fast marginalized sparse Bayesian learning for 3-D interferometric ISAR Image information via super resolution ISAR imaging. IEEE J. Sel. Top. Appl. Earth Obs. Remote Sens. 2015, 10, 4942–4951. [Google Scholar] [CrossRef]
- Mao, L.; Li, H.; Zhang, Q. Transmit design and DOA estimation for wideband MIMO system with colocated nested arrays. Signal Process. 2018, 134, 244–248. [Google Scholar] [CrossRef]
- Li, X.; Zhao, C.; Yu, J.; Wei, W. Underwater Bearing-Only and Bearing-DopplerTarget Tracking Based on Square Root Unscented Kalman Filter. Entropy 2019, 21, 740. [Google Scholar] [CrossRef]
- Chen, X.; Li, Y.; Li, Y.; Yu, J.; Li, X. A Novel Probabilistic Data Association for Target Tracking in a Cluttered Environment. Sensors 2016, 16, 2180. [Google Scholar] [CrossRef] [PubMed]
- Li, Y.; Chen, X.; Yu, J.; Yang, X.; Yang, H. The Data-Driven Optimization Method and Its Application in Feature Extraction of Ship-Radiated Noise with Sample Entropy. Energies 2019, 12, 359. [Google Scholar] [CrossRef]
- Roy, R.; Paulraj, A.; Kailath, T. Comparative performance of ESPRIT and MUSIC for direction-of-arrival estimation. In Proceedings of the IEEE International Conference on Acoustics, Speech, and Signal Processing, ICASSP ’87, Dallas, TX, USA, 6–9 April 1987; Volume 12, pp. 2344–2347. [Google Scholar]
- Li, Y.; Chen, X.; Yu, J.; Yang, X. A Fusion Frequency Feature Extraction Method for Underwater Acoustic Signal Based on Variational ModeDecomposition, Duffing Chaotic Oscillator and a Kind of Permutation Entropy. Electronics 2019, 8, 61. [Google Scholar] [CrossRef]
- Yu, H.; Liu, J.; Huang, Z. A New Method for Wideband DOA Estimation. In Proceedings of the 2007 International Conference on Wireless Communications, Networking and Mobile Computing, Shanghai, China, 21–25 September 2007; pp. 1–5. [Google Scholar]
- Shi, J.; Zhang, Q.; Shi, W. Wideband DOA estimation with deficient snapshots using low rank Toeplitz structure. IET Electron. Lett. 2019, 17, 961–963. [Google Scholar] [CrossRef]
- Pal, P.; Vaidyanathan, P. A Novel Autofocusing Approach for Estimating Directions-of-Arrival of Wideband Signals. In Proceedings of the 2009 Conference Record of the Forty-Third Asilomar Conference on Signals, Systems and Computers, Pacific Grove, CA, USA, 1–4 November 2009; pp. 1663–1667. [Google Scholar]
- Shi, J.; Zhang, Q.; Wang, Y. Wideband DOA Estimation based on A-shaped Array. In Proceedings of the 2017 IEEE International Conference on Signal Processing, Communications and Computing (ICSPCC), Xiamen, China, 22–25 October 2017; pp. 1–5. [Google Scholar]
- Qin, Y.; Liu, Y.; Liu, J.; Yu, Z. Underdetermined Wideband DOA Estimation for Off-Grid Sources with Coprime Array Using Sparse Bayesian Learning. Sensors 2018, 18, 253. [Google Scholar] [CrossRef]
- Ma, W.; Hsieh, T.; Chi, C. DOA estimation of quasistationary signals with less sensors than sources and unknown spatial noise covariance: A Khatri-Rao subspace approach. IEEE Trans. Signal Process. 2010, 58, 2168–2180. [Google Scholar] [CrossRef]
- Shen, Q.; Liu, W.; Cui, W.; Wu, S. Underdetermined DOA Estimation Under the Compressive Sensing Framework: A Review. IEEE Access 2016, 4, 8865–8878. [Google Scholar] [CrossRef]
- Shi, Y.; Mao, X.; Zhao, C.; Liu, W. Underdetermined DOA estimation for Wideband Signals via Joint Sparse Signal Reconstruction. IEEE Signal Process. Lett. 2019, 26, 1541–1545. [Google Scholar] [CrossRef]
- He, Z.; Shi, Z.; Huang, L. Underdetermined DOA estimation for wideband signals using robust sparse covariance fitting. IEEE Signal Process. Lett. 2015, 4, 435–439. [Google Scholar] [CrossRef]
- Pal, P.; Vaidyanathan, P. Nested arrays: A novel approach to array processing with enhanced degrees of freedom. IEEE Trans. Signal Process. 2010, 58, 4167–4180. [Google Scholar] [CrossRef]
- Tan, Z.; Eldar, Y.; Nehorai, A. Direction-of-arrival estimation using coprime arrays: A super resolution viewpoint. IEEE Trans. Signal Process. 2014, 62, 5565–5576. [Google Scholar] [CrossRef]
- Pal, P.; Vaidyanathan, P. Sparse sensing with co-prime samplers and arrays. IEEE Trans. Signal Process. 2011, 59, 573–586. [Google Scholar]
- Raj, A.; McClellan, J. Single Snapshot Super-Resolution DOA Estimation for Arbitrary Array Geometries. IEEE Signal Process. Lett. 2019, 26, 119–123. [Google Scholar]
- Li, Y.; Chi, Y. Off-the-Grid Line Spectrum Denoising and Estimation With Multiple Measurement Vectorss. IEEE Trans. Signal Process. 2016, 64, 1257–1269. [Google Scholar] [CrossRef]
- Wang, Y.; Xu, P.; Tian, Z. Efficient Channel Estimation for Massive MIMO Systems via Truncated two-dimensional Atomic Norm Minimization. In Proceedings of the 2017 IEEE International Conference on Communications (ICC), Paris, France, 21–25 May 2017; pp. 1–6. [Google Scholar]
- Carlin, M.; Rocca, P.; Oliveri, G.; Viani, F.; Massa, A. Directions of arrival estimation through Bayesian compressive sensing strategies. IEEE Trans. Antennas Propag. 2013, 61, 3828–3838. [Google Scholar] [CrossRef]
- Shen, Q.; Liu, W.; Cui, W.; Wu, S.; Zhang, Y.; Amin, M. Focused compressive sensing for underdetermined wideband DOA estimation exploiting high-order difference coarrays. IEEE Signal Process. Lett. 2017, 24, 86–90. [Google Scholar] [CrossRef]
- Tan, W.; Feng, X. Covariance matrix reconstruction for direction finding with nested arrays using iterative reweighted nuclear norm minimization. Int. J. Antennas Propag. 2019, 2019, 7657898. [Google Scholar] [CrossRef]
- Bhaskar, B.; Tang, G.; Recht, B. Atomic norm denoising with applications to line spectral estimation. IEEE Trans. Signal Process. 2013, 61, 5987–5999. [Google Scholar] [CrossRef]
- Huang, L.; So, H. Source Enumeration Via MDL Criterion Based on Linear Shrinkage Estimation of Noise Subspace Covariance Matrix. Trans. Signal Process. 2013, 61, 4806–4821. [Google Scholar] [CrossRef]
- Seghouane, A.-K. Asymptotic bootstrap corrections of AIC for linear regression models. Signal Process. 2010, 90, 217–224. [Google Scholar] [CrossRef]
- Feng, Z.; Liao, H. Wideband Direction of Arrival Estimation Based on the Principal Angle between Subspace. Electromagn. Res. Lett. 2018, 78, 23–29. [Google Scholar] [CrossRef]
- Bo, L.; Xiong, J.; Luo, L. Novel Wideband DOA Estimation Method Using Direction-Free Focusing Matrix. In Proceedings of the 2013 3rd International Conference on Computer Science and Network Technology, Dalian, China, 12–13 October 2013; pp. 1065–1069. [Google Scholar]
- Cui, W.; Shen, Q.; Liu, W.; Wu, S. Low complexity DOA estimation for wideband off-grid sources based on re-focused compressive sensing with dynamic dictionary. IEEE J. Sel. Signal Process. 2019, 5, 918–928. [Google Scholar] [CrossRef]
- Zhang, Z.; Wang, Y.; Tian, Z. Efficient two-dimensional line spectrum estimation based on decoupled atomicnorm minimization. Signal Process. 2019, 163, 95–106. [Google Scholar] [CrossRef]
- Wang, Y.; Tian, Z. IVDST: A Fast Algorithm for Atomic Norm Minimization in Line Spectral Estimation. IEEE Signal Process. Lett. 2018, 25, 1715–1719. [Google Scholar] [CrossRef]
- Iwai, T.; Hirose, N.; Kikuma, N. Doa Estimation by Music Algorithm using Forward-backward Spatial Smoothing with Overlapped and Augmented Arrays. In Proceedings of the 2014 International Symposium on Antennas and Propagation Conference Proceedings, Kaohsiung, Taiwan, 2–5 December 2014; pp. 375–376. [Google Scholar]
- Yang, J.; Liao, G.; Li, J. An efficient off-grid DOA estimation sparse Bayesian learning strategies. Signal Process. 2016, 128, 110–122. [Google Scholar] [CrossRef]
- Liu, C.; Vaidyanathan, P. Cramér bounds for coprime and other sparse arrays, which find more sources than sensors. Digit. Signal Process. 2017, 61, 43–61. [Google Scholar] [CrossRef]







| Parameter | Value |
|---|---|
| Number of sensors | 6 |
| Number of sensors of inner sub-array | 3 |
| Number of sensors of outer sub-array | 3 |
| Low frequency | 1000 Hz |
| High frequency | 5000 Hz |
| Center frequency | 3000 Hz |
| Velocity of underwater acoustic | 1500 m/s |
| Azimuthal range | 0–180 degree |
| Methods | Pd = 0.9 | Pd = 1 | ||
|---|---|---|---|---|
| Overdetermined Case | Underdetermined Case | Overdetermined Case | Underdetermined Case | |
| AIC | −10 dB | −8.2 dB | \ | \ |
| AIC-C3 | −8.2 dB | −8.2 dB | −6.8 dB | 1.0 dB |
| MDL | −6.8 dB | −5.0 dB | −5.5 dB | −4.2 dB |
© 2020 by the authors. Licensee MDPI, Basel, Switzerland. This article is an open access article distributed under the terms and conditions of the Creative Commons Attribution (CC BY) license (http://creativecommons.org/licenses/by/4.0/).
Share and Cite
Shi, J.; Zhang, Q.; Tan, W.; Mao, L.; Huang, L.; Shi, W. Underdetermined DOA Estimation for Wideband Signals via Focused Atomic Norm Minimization. Entropy 2020, 22, 359. https://doi.org/10.3390/e22030359
Shi J, Zhang Q, Tan W, Mao L, Huang L, Shi W. Underdetermined DOA Estimation for Wideband Signals via Focused Atomic Norm Minimization. Entropy. 2020; 22(3):359. https://doi.org/10.3390/e22030359
Chicago/Turabian StyleShi, Juan, Qunfei Zhang, Weijie Tan, Linlin Mao, Lihuan Huang, and Wentao Shi. 2020. "Underdetermined DOA Estimation for Wideband Signals via Focused Atomic Norm Minimization" Entropy 22, no. 3: 359. https://doi.org/10.3390/e22030359
APA StyleShi, J., Zhang, Q., Tan, W., Mao, L., Huang, L., & Shi, W. (2020). Underdetermined DOA Estimation for Wideband Signals via Focused Atomic Norm Minimization. Entropy, 22(3), 359. https://doi.org/10.3390/e22030359

