Enhanced Electron Scattering upon Ion Relocation in BaVS3 at 69 K
Abstract
1. Introduction
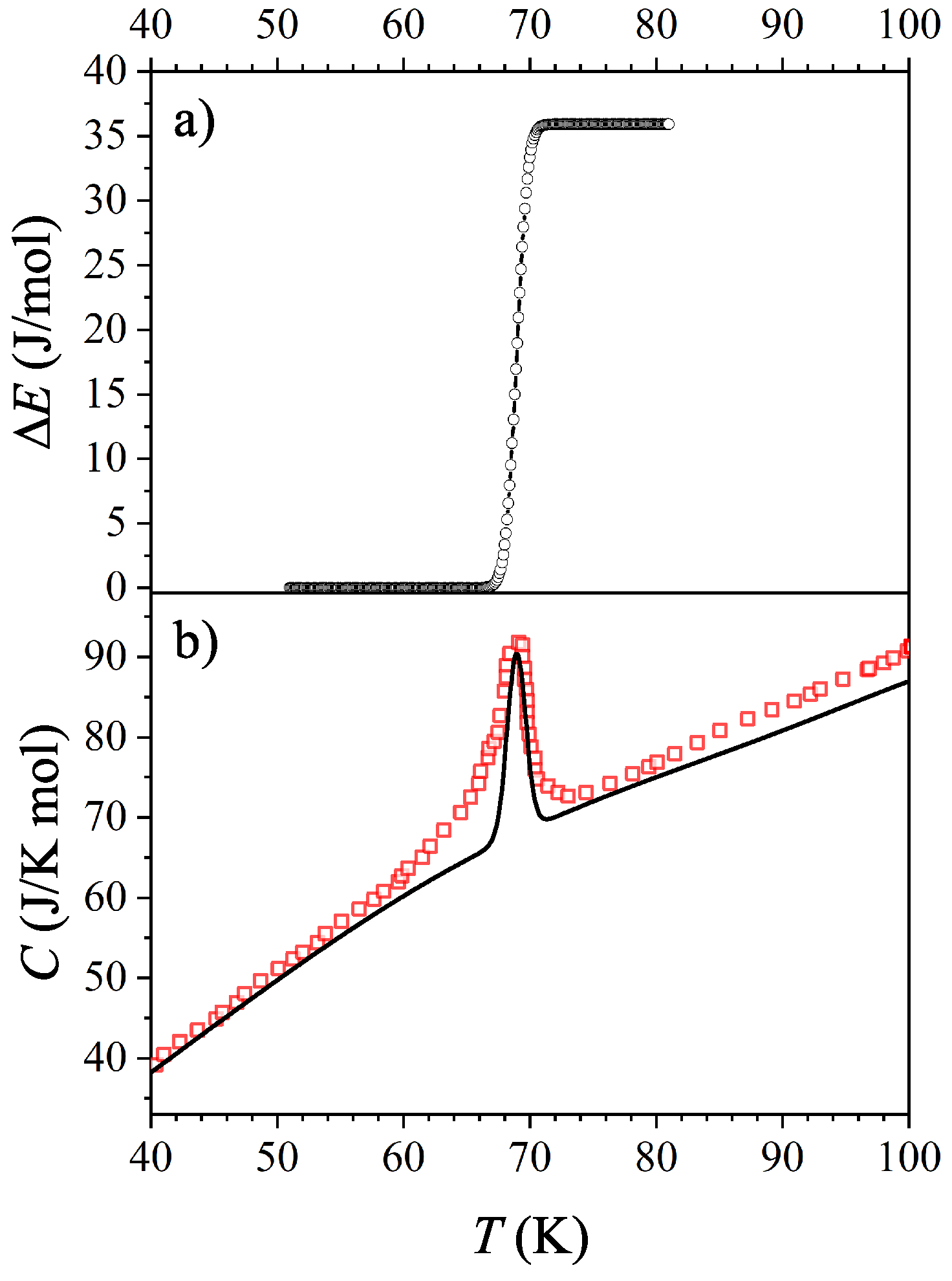
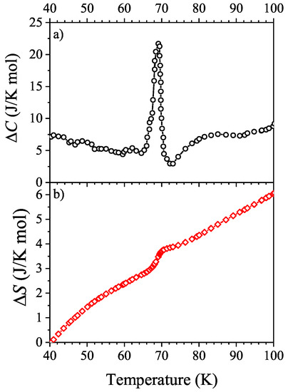
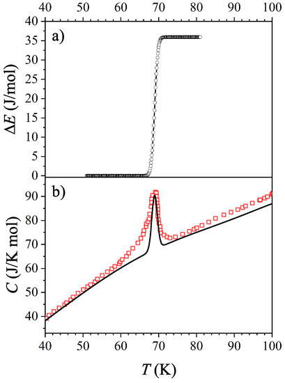
2. The Entropy Increase in the Metal-Insulator Transition
3. Contribution of Internal Electron Scattering to the Specific Heat Peak
4. The Heat Conductivity Peak
5. Conclusions
Author Contributions
Funding
Acknowledgments
Conflicts of Interest
Appendix A. Heat Capacity Measurements from Reference [2] and Reference [6]




References
- Barišić, N. Study of Novel Electronic Conductors: The case of BaVS3. Ph.D. Thesis, Ecole Polytechnique Fédérale de Lausanne (EPFL), Lausanne, Switzerland, 2004. [Google Scholar]
- Imai, H.; Wada, H.; Shiga, M. Calorimetric Study on Metal-Insulator Transition of Quasi-One-Dimensional BaVS3. J. Phys. Soc. Jpn. 1996, 65, 3460–3463. [Google Scholar] [CrossRef]
- Fagot, S.; Foury-Leylekian, P.; Ravy, S.; Pouget, J.P.; Anne, M.; Popov, G.; Lobano, M.V.; Greenblatt, M. Structural aspects of the metal-insulator transition in BaVS3. Solid State Sci. 2005, 7, 718–725. [Google Scholar] [CrossRef][Green Version]
- Fagot, S.; Foury, P.; Ravy, S.; Pouget, J.P.; Popov, G.; Lobanov, M.V.; Greenblatt, M. Structural aspects of the metal-insulator transition in BaVS3. Physica B 2005, 359–361, 1306–1308. [Google Scholar] [CrossRef][Green Version]
- Ivek, T.; Vuletić, T.; Tomić, S.; Akrap, A.; Berger, H.; Forró, L. Collective charge excitations below the metal-to-insulator transition in BaVS3. Phys. Rev. B 2008, 78, 035110. [Google Scholar] [CrossRef]
- Demkó, L.; Kézsmárki, I.; Csontos, M.; Bordács, S.; Mihály, G. Improved thermal relaxation method for the simultaneous measurement of the specific heat and thermal conductivity. Eur. Phys. J. B 2010, 74, 27–33. [Google Scholar] [CrossRef]
- Kézsmárki, I.; Mihály, G.; Gaál, R.; Barišić, N.; Berger, H.; Forró, L.; Homes, C.C.; Mihály, L. Pressure-induced suppression of the spin-gapped insulator phase in BaVS3: An infrared optical study. Phys. Rev. B 2005, 71, 193103. [Google Scholar] [CrossRef]
- Fazekas, P.; Barišić, N.; Kézsmárki, I.; Demkó, L.; Berger, H.; Forró, L.; Mihály, G. Magnetic-field-induced transition in BaVS3. Phys. Rev. B 2007, 75, 035128. [Google Scholar] [CrossRef]
- Nakamura, M.; Sekiyama, A.; Namatame, H.; Fujimori, A.; Yoshihara, H.; Ohtani, T.; Misu, A.; Takano, M. Metal-semiconductor transition and Luttinger-liquid behavior in quasi-one-dimensional BaVS3 studied by photoemission spectroscopy. Phys. Rev. B 1994, 49, 16191. [Google Scholar] [CrossRef] [PubMed]
- Fagot, S.; Foury-Leylekian, P.; Ravy, S.; Pouget, J.P.; Berger, H. One-Dimensional Instability in BaVS3. Phys. Rev. Lett. 2003, 90, 196401. [Google Scholar] [CrossRef] [PubMed]
- Lechermann, F.; Biermann, S.; Georges, A. Competing itinerant and localized states in strongly correlated BaVS3. Phys. Rev. B 2007, 76, 085101. [Google Scholar] [CrossRef]
- Graf, T.; Mandrus, D.; Lawrence, J.M.; Thompson, J.D.; Canfield, P.C.; Cheong, S.-W.; Rupp, L.W., Jr. Suppression of the metal-to-insulator transition in BaVS3 with pressure. Phys. Rev. B 1995, 51, 2037. [Google Scholar] [CrossRef] [PubMed]
- Nishihara, H.; Takano, M. NMR Study of the Metal-Insulator-Magnetic Transitions in BaVS3. J. Phys. Soc. Jpn. 1981, 50, 426–431. [Google Scholar] [CrossRef]
- Kwok, R.S.; Brown, S.E. Thermal conductivity of the charge-density-wave systems K0.3MoO3 and (TaSe4)2I near the Peierls transition. Phys. Rev. Lett. 1989, 63, 895. [Google Scholar] [CrossRef] [PubMed]
- Smontara, A.; Biljakovic, K.; Artemenko, S.N. Contribution of charge-density-wave phase excitations to thermal conductivity below the Peierls transition. Phys. Rev. B 1993, 48, 4329. [Google Scholar] [CrossRef] [PubMed]
- Maki, K. Excess thermal conductivity at the charge- and spin-density-wave transitions. Phys. Rev. B 1992, 46, 7219. [Google Scholar] [CrossRef] [PubMed]
- Kézsmárki, I.; Mihály, G.; Gaál, R.; Barišić, N.; Akrap, A.; Berger, H.; Forró, L.; Homes, C.C.; Mihály, L. Separation of Orbital Contributions to the Optical Conductivity of BaVS3. Phys. Rev. Lett. 2006, 96, 186402. [Google Scholar] [CrossRef] [PubMed]
- Shiga, M.; Imai, H.; Wada, H. Calorimetric study on sulfur-deficient ferromagnetic BaVS3. J. Magn. Magn. Mater. 1998, 177–181, 1347–1348. [Google Scholar] [CrossRef]
- Solovyev, I.V.; Anisimov, V.I.; Kurmaev, E.Z. LMTO-ASA band structure calculations of BaVS3, BaTiS3 and their solid solutions. Phys. Scr. 1994, 50, 90–92. [Google Scholar] [CrossRef]
- Sólyom, J. Fundamentals of the Physics of Solids; Springer: Berlin/Heidelberg, Germany, 2009. [Google Scholar]



© 2019 by the authors. Licensee MDPI, Basel, Switzerland. This article is an open access article distributed under the terms and conditions of the Creative Commons Attribution (CC BY) license (http://creativecommons.org/licenses/by/4.0/).
Share and Cite
Márkus, F.; Márkus, B.G. Enhanced Electron Scattering upon Ion Relocation in BaVS3 at 69 K. Entropy 2019, 21, 813. https://doi.org/10.3390/e21080813
Márkus F, Márkus BG. Enhanced Electron Scattering upon Ion Relocation in BaVS3 at 69 K. Entropy. 2019; 21(8):813. https://doi.org/10.3390/e21080813
Chicago/Turabian StyleMárkus, Ferenc, and Bence G. Márkus. 2019. "Enhanced Electron Scattering upon Ion Relocation in BaVS3 at 69 K" Entropy 21, no. 8: 813. https://doi.org/10.3390/e21080813
APA StyleMárkus, F., & Márkus, B. G. (2019). Enhanced Electron Scattering upon Ion Relocation in BaVS3 at 69 K. Entropy, 21(8), 813. https://doi.org/10.3390/e21080813

