A Novel Delay Linear Coupling Logistics Map Model for Color Image Encryption
Abstract
1. Introduction
2. Delay Linear Coupling Logistics Map
2.1. DLCL Model
2.2. Performance Evaluation of DLCL
2.2.1. Trajectory
2.2.2. Analysis of Lyapunov Exponent
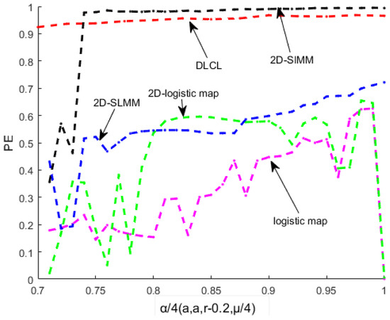
2.2.3. Analysis of Permutation Entropy
2.2.4. Randomness Analysis
3. Image Encryption Algorithm Based on DLCL
Image Encryption Algorithm
- Input original color image.
- Image pre-processing. The color image is separated, and then combined to get a new image according to the Formula (4):where .
- The initial value is obtained according to the image , we set and . A chaotic sequence for permutation is generated. The average value of the pixel values is averaged and mapped to the range of (0,1) according to the determined transformation formula to obtain the first initial value, the pixel value of the image is subtracted from the average value of all the pixels, after calculating the variance, the variance is mapped to the range of (0,1) according to the determined transformation formula to obtain the second initial value, and the expression is as follows:where M is the row of input image, N is the column of image, and is the average value of all the pixels. By Formula (4), we can get the length of series S.
- Given a 256-bit external binary key K, 8-bit as a unit of its block is divided, we can getGenerating two initial values of the chaotic sequence according to Formula (8) and substituting the sequence S’ for diffusion:
- The sequence S is used for scrambling and diffusion of the image. First, S is divided into two series and according to Formula (7). Then, and , are used, respectively, to replace the rows and columns of the image :The two subsequences and obtained in Equation (7) are sorted from small to large. The permutation of the image is performed according to the subscript array of the sorted subsequence . According to the sorted subsequence generating the standard array , then column replacement gets a new image ;
- Transform the series to according to two initial values from Formula (7), execute the diffusion to image according to Formula (9):where floor(x) is the smallest integer not greater than x, and ⊕ is the operation that two numbers are bit-XORed by their binary values. is the encrypted image after diffusion.
- Let divide into , , according to Formula (4). They are then combined for the image . The image decryption process is the reverse process of the encryption.
4. Experimental Results and Analysis of Performance
4.1. Secret Key Size Analysis
4.2. Secret Key Sensitivity Analysis
4.3. Histogram Analysis
4.4. Correlation Analysis
4.5. Analysis of Information Entropy
4.6. Differential Analysis
4.7. Encryption Efficiency Analysis
4.8. Robustness Analysis
4.8.1. Quality Metrics Analysis
4.8.2. Chosen Plain Image Attack Analysis
4.8.3. Occlusion Attack Analysis
4.8.4. Noise Attack Analysis
5. Conclusions
Author Contributions
Funding
Acknowledgments
Conflicts of Interest
References
- Abutaha, M.; Farajallah, M.; Tahboub, R.; Odeh, M. Survey paper: Cryptography is the science of information security. Int. J. Comput. Sci. Secur. 2011, 5, 32–34. [Google Scholar]
- Muhaya, F.B.; Usama, M.; Khan, M.K. Modified AES using chaotic key generator for satellite imagery encryption. In Proceedings of the International Conference on Emerging Intelligent Computing Technology and Applications, Ulsan, Korea, 16–19 September 2009; pp. 1014–1024. [Google Scholar]
- Zeghid, M.; Machhout, M.; Khriji, L.; Baganne, A.; Tourki, R. A modified AES based algorithm for image encryption. World Acad. Sci. Eng. Technol. 2007, 27, 206–211. [Google Scholar]
- Chen, G.; Mao, Y.; Chui, C.K. A symmetric image encryption scheme based on 3D chaotic cat maps. Chaos Solitons Fractals 2004, 21, 749–761. [Google Scholar] [CrossRef]
- Dang, P.P.; Chau, P.M. Image encryption for secure Internet multimedia applications. IEEE Trans. Consum. Electron. 2000, 46, 395–403. [Google Scholar] [CrossRef]
- Li, C.; Zhang, L.Y.; Ou, R.; Wong, K.W.; Shu, S. Breaking a novel colour image encryption algorithm based on chaos. Nonlinear Dyn. 2012, 70, 2383–2388. [Google Scholar] [CrossRef]
- Liu, W.; Sun, K.; Zhu, C. A fast image encryption algorithm based on chaotic map. Opt. Lasers Eng. 2016, 84, 26–36. [Google Scholar] [CrossRef]
- Hua, Z.; Zhou, Y.; Pun, C.M.; Chen, C.L.P. 2D Sine Logistic modulation map for image encryption. Inf. Sci. 2015, 297, 80–94. [Google Scholar] [CrossRef]
- Rössler, O.E. An equation for hyperchaos. Phys. Lett. A 1979, 71, 155–157. [Google Scholar] [CrossRef]
- Shevchenko, I.I. Lyapunov exponents in resonance multiplets. Phys. Lett. A 2014, 378, 34–42. [Google Scholar] [CrossRef]
- Wu, X.; Hu, H.; Zhang, B. Parameter estimation only from the symbolic sequences generated by chaos system. Chaos Solitons Fractals 2004, 22, 359–366. [Google Scholar] [CrossRef]
- Arroyo, D.; Diaz, J.; Rodriguez, F.B. Cryptanalysis of a one round chaos-based Substitution PermutationNetwork. Signal Process. 2013, 93, 1358–1364. [Google Scholar] [CrossRef]
- Liu, L.; Miao, S. An image encryption algorithm based on Baker map with varying parameter. Multimed. Tools Appl. 2017, 76, 16511–16527. [Google Scholar] [CrossRef]
- Hua, Z.; Zhou, Y. Image encryption using 2D Logistic-adjusted-Sine map. Inf. Sci. 2016, 339, 237–253. [Google Scholar] [CrossRef]
- Sprott, J.C. High-dimensional dynamics in the delayed Hénon map. Electron. J. Theor. Phys. 2006, 3, 19–35. [Google Scholar]
- Wu, G.C.; Baleanu, D. Discrete chaos in fractional delayed logistic maps. Nonlinear Dyn. 2015, 80, 1697–1703. [Google Scholar] [CrossRef]
- Masoller, C.; Cavalcante, H.L.D.S.; Leite, J.R. Delayed coupling of logistic maps. Phys. Rev. E 2001, 64, 037202. [Google Scholar] [CrossRef] [PubMed]
- Buchner, T.; Zebrowski, J.J. Logistic map with a delayed feedback: Stability of a discrete time-delay control of chaos. Phys. Rev. E 2000, 63, 016210. [Google Scholar] [CrossRef] [PubMed]
- Gao, T.; Chen, Z. A new image encryption algorithm based on hyper-chaos. Phys. Lett. A 2008, 372, 394–400. [Google Scholar] [CrossRef]
- Bandt, C.; Pompe, B. Permutation entropy: A natural complexity measure for time series. Phys. Rev. Lett. 2002, 88, 174102. [Google Scholar] [CrossRef] [PubMed]
- He, S.; Sun, K.; Wang, H. Complexity analysis and DSP implementation of the fractional-order Lorenz Hyperchaotic system. Entropy 2015, 17, 8299–8311. [Google Scholar] [CrossRef]
- Rukhin, A.; Soto, J.; Nechvatal, J.; Barker, E.; Leigh, S.; Levenson, M.; Banks, D.; Heckert, A.; Dray, J.; Vo, S. Statistical Test Suite for Random and Pseudorandom Number Generators for Cryptographic Applications; NIST Special Publication: Gaithersburg, MD, USA, 2010. [Google Scholar]
- Cai, S.; Huang, L.; Chen, X.; Xiong, X. A symmetric plaintext-related color image encryption system based on bit permutation. Entropy 2018, 20, 282. [Google Scholar] [CrossRef]
- Murillo-Escobar, M.A.; Cruz-Hernández, C.; Abundiz-Pérez, F.; López-Gutiérrez, R.M.; Campo, O.R.A.D. A RGB image encryption algorithm based on total plain image characteristics and chaos. Signal Process. 2015, 109, 119–131. [Google Scholar] [CrossRef]
- Huang, H.; Yang, S. Colour image encryption based on logistic mapping and double random-phase encoding. IET Image Process. 2017, 11, 211–216. [Google Scholar] [CrossRef]
- Wu, X.; Li, Y.; Kurths, J. A new color image encryption scheme using CML and a fractional-order chaotic system. PLoS ONE 2015, 10, e0119660. [Google Scholar] [CrossRef] [PubMed]
- Mollaeefar, M.; Sharif, A.; Nazari, M. A novel encryption scheme for colored image based on high level chaotic maps. Multimed. Tools Appl. 2017, 76, 607–629. [Google Scholar] [CrossRef]
- Seyedzadeh, S.M.; Norouzi, B.; Mosavi, M.R.; Mirzakuchaki, S. A novel color image encryption algorithm based on spatial permutation and quantum chaotic map. Nonlinear Dyn. 2015, 81, 511–529. [Google Scholar] [CrossRef]
- Ye, G.; Huang, X. An Efficient Symmetric Image Encryption Algorithm Based on an Intertwining Logistic Map; Elsevier Science Publishers: Amsterdam, The Netherlands, 2017; pp. 45–53. [Google Scholar]
- Zhang, Y.; Xiao, D. Self-adaptive permutation and combined global diffusion for chaotic color image encryption. AEUE Int. J. Electron. Commun. 2014, 68, 361–368. [Google Scholar] [CrossRef]
- Zhang, L.; Wang, H.; Hu, H. Symbolic computation of normal form for Hopf bifurcation in a retarded functional differential equation with unknown parameters. Commun. Nonlinear Sci. Numer. Simul. 2012, 17, 3328–3344. [Google Scholar] [CrossRef]
- Wu, Y.; Noonan, J.P.; Agaian, S. NPCR and UACI randomness tests for image encryption. Cyber J. Multidiscip. J. Sci. Technol. J. Sel. Areas Telecommun. 2011, 1, 31–38. [Google Scholar]
- Farajallah, M. Chaos-Based Crypto and Joint Crypto-Compression Systems for Images and Videos. Ph.D. Thesis, University of Nantes, Nantes, France, 2015. [Google Scholar]
- Pareek, N.K.; Patidar, V.; Sud, K.K. Diffusion–substitution based gray image encryption scheme. Digital Signal Process. 2013, 23, 894–901. [Google Scholar] [CrossRef]
- Wu, X.; Zhu, B.; Hu, Y.; Ran, Y. A novel colour image encryption scheme using rectangular transform-enhanced chaotic tent maps. IEEE Access 2017, 5, 6429–6436. [Google Scholar] [CrossRef]












| p-Value | Result | |
|---|---|---|
| ApproximateEntropy | 0.909515 | SUCCESS |
| BlockFrequency | 0.543991 | SUCCESS |
| CumulativeSums | 0.984758 | SUCCESS |
| FFT | 0.354010 | SUCCESS |
| Frequency | 0.756105 | SUCCESS |
| LinearComplexity | 0.174121 | SUCCESS |
| LongestRun | 0.097498 | SUCCESS |
| NonOverlappingTemplatel | 0.999353 | SUCCESS |
| OverlappingTemplate | 0.055895 | SUCCESS |
| RandomExcursion | 0.818931 | SUCCESS |
| RandomExcursionsVariant | 0.925711 | SUCCESS |
| Rank | 0.335464 | SUCCESS |
| Runs | 0.531190 | SUCCESS |
| Serial | 0.160284 | SUCCESS |
| Universal | 0.418957 | SUCCESS |
| Algorithm | Our Proposed Algorithm | Ref. [23] | Ref. [24] | Ref. [7] | Ref. [25] |
|---|---|---|---|---|---|
| Key space |
| Color Image | Channels | Original Image | Encrypted Image | ||||
|---|---|---|---|---|---|---|---|
| Horizontal | Vertical | Diagona | Horizontal | Vertical | Diagona | ||
| Lean | R | 0.9437 | 0.9710 | 0.9196 | 0.0016 | −0.0008 | 0.0020 |
| G | 0.9458 | 0.9724 | 0.9234 | −0.0001 | −0.0039 | 0.0001 | |
| B | 0.8952 | 0.9437 | 0.8553 | −0.0066 | −0.0004 | 0.0010 | |
| Ref. [23] | R | 0.9853 | 0.9753 | 0.9734 | 0.0046 | −0.0028 | 0.0013 |
| G | 0.9802 | 0.9666 | 0.9630 | −0.0009 | 0.0004 | 0.0007 | |
| B | 0.9558 | 0.9334 | 0.9264 | −0.0007 | −0.0029 | −0.0050 | |
| Ref. [7] | R | 0.9956 | 0.9780 | 0.9435 | 0.0092 | 0.0053 | 0.0008 |
| G | 0.9943 | 0.9711 | 0.9301 | 0.0043 | −0.0051 | 0.0095 | |
| B | 0.9280 | 0.9575 | 0.9093 | −0.0037 | 0.0095 | 0.0033 | |
| Ref. [25] | R | 0.9566 | 0.9812 | 0.9295 | 0.0027 | −0.0013 | 0.0039 |
| G | 0.9432 | 0.9695 | 0.9199 | 0.0034 | −0.0034 | −0.0021 | |
| B | 0.9269 | 0.9586 | 0.9020 | −0.0046 | 0.0038 | 0.0013 | |
| Ref. [26] | R | 0.9400 | 0.9679 | 0.8829 | 0.0024 | −0.0009 | −0.0147 |
| G | 0.9408 | 0.9709 | 0.8646 | −0.0056 | −0.0036 | −0.0295 | |
| B | 0.8933 | 0.9426 | 0.7451 | −0.000664 | 0.0031 | −0.0246 | |
| Color Image | Encrypted Image | Average of Encrypted Image | ||
|---|---|---|---|---|
| R | G | B | ||
| Lena | 7.999218 | 7.999310 | 7.999203 | 7.999243 |
| Ref. [27] | 7.997200 | 7.997200 | 7.997600 | 7.997333 |
| Ref. [28] | 7.997300 | 7.997000 | 7.997100 | 7.997133 |
| Ref. [7] | 7.997500 | 7.997200 | 7.997300 | 7.997333 |
| Ref. [29] | 7.997400 | 7.997100 | 7.997200 | 7.997233 |
| Ref. [30] | 7.997300 | 7.996800 | 7.997200 | 7.997100 |
| Ref. [24] | 7.989300 | 7.989800 | 7.989400 | 7.989500 |
| Image File | NPCR(%) | UACI(%) | Test Results | ||||
|---|---|---|---|---|---|---|---|
| Red | Green | Blue | Red | Green | Blue | ||
| lena (256 × 256 × 3) | 99.6323 | 99.6277 | 99.5712 | 33.4913 | 33.3786 | 33.4692 | Pass |
| 4.1.01.tiff (256 × 256 × 3) | 99.6414 | 99.6124 | 99.6384 | 33.6004 | 33.3232 | 33.3923 | Pass |
| 4.1.02.tiff (256 × 256× 3) | 99.5789 | 99.6368 | 99.6170 | 33.3656 | 33.4348 | 33.6682 | Pass |
| 4.1.03.tiff (256 × 256 × 3) | 99.5514 | 99.6368 | 99.5941 | 33.4909 | 33.4300 | 33.6542 | Pass |
| 4.1.04.tiff (256 × 256 × 3) | 99.6475 | 99.6048 | 99.6094 | 33.5038 | 33.4447 | 33.4032 | Pass |
| 4.2.03.tiff (512 × 512 × 3) | 99.5991 | 99.5846 | 99.6208 | 33.4546 | 33.4330 | 33.3988 | Pass |
| 4.2.05.tiff (512 × 512 × 3) | 99.5964 | 99.6075 | 99.6212 | 33.4933 | 33.4383 | 33.4691 | Pass |
| 4.2.06.tiff (512 × 512 × 3) | 99.6056 | 99.6201 | 99.5937 | 33.4249 | 33.4264 | 33.4655 | Pass |
© 2018 by the authors. Licensee MDPI, Basel, Switzerland. This article is an open access article distributed under the terms and conditions of the Creative Commons Attribution (CC BY) license (http://creativecommons.org/licenses/by/4.0/).
Share and Cite
Li, S.; Ding, W.; Yin, B.; Zhang, T.; Ma, Y. A Novel Delay Linear Coupling Logistics Map Model for Color Image Encryption. Entropy 2018, 20, 463. https://doi.org/10.3390/e20060463
Li S, Ding W, Yin B, Zhang T, Ma Y. A Novel Delay Linear Coupling Logistics Map Model for Color Image Encryption. Entropy. 2018; 20(6):463. https://doi.org/10.3390/e20060463
Chicago/Turabian StyleLi, Shouliang, Weikang Ding, Benshun Yin, Tongfeng Zhang, and Yide Ma. 2018. "A Novel Delay Linear Coupling Logistics Map Model for Color Image Encryption" Entropy 20, no. 6: 463. https://doi.org/10.3390/e20060463
APA StyleLi, S., Ding, W., Yin, B., Zhang, T., & Ma, Y. (2018). A Novel Delay Linear Coupling Logistics Map Model for Color Image Encryption. Entropy, 20(6), 463. https://doi.org/10.3390/e20060463
