Next Article in Journal
“Sharing Is Bonding”: How Influencer Self-Disclosure Fuels Word-of-Mouth via Consumer Identification
Next Article in Special Issue
Exploring Factors Influencing Patients’ Intention to Adopt Generative AI on Online Healthcare Platforms
Previous Article in Journal
Generative and Adaptive AI for Sustainable Supply Chain Design
Previous Article in Special Issue
The Impact of Digital Marketing Capability on Firm Performance: Empirical Evidence from Chinese Listed Manufacturing Firms
 
 
Font Type:
Arial Georgia Verdana
Font Size:
Aa Aa Aa
Line Spacing:
Column Width:
Background:
Article

User Psychological Perception and Pricing Mechanism of AI Large Language Model

1
School of Economics and Management, Shihezi University, Shihezi 832003, China
2
Harbin Institute of Technology (Weihai), School of Economics and Management, Weihai 264299, China
*
Author to whom correspondence should be addressed.
J. Theor. Appl. Electron. Commer. Res. 2025, 20(3), 241; https://doi.org/10.3390/jtaer20030241
Submission received: 30 June 2025 / Revised: 18 August 2025 / Accepted: 22 August 2025 / Published: 4 September 2025

Abstract

With the rapid growth of user demand for large language models (LLMs) in their work, the application market is driving intense competition among large language model providers (LLMPs). Users have different preferences and psychological perceptions towards the charging models of different LLMPs. LLMPs with different intelligence levels must design pricing strategies based on diverse user characteristics. To investigate the impact of user heterogeneity on the strategic pricing of competing LLMPs, this paper establishes a competitive model with two providers, comprising a highly intelligent initial LLM provider and a follower provider. Both providers can independently decide to adopt either a subscription model or a pay-per-use model, resulting in four pricing mode combinations (dual subscription SS, subscription-pay-per-use SD, pay-per-use-subscription DS, dual pay-per-use DD). The study shows that when the pay-per-use model is adopted, the user’s psychological perception of the “tick-tock effect” reduces the provider’s service price and profit, as the perceived psychological cost lowers the user’s valuation of the product, thereby decreasing demand. Furthermore, we analyze the equilibrium strategies for pricing mode selection by the two providers. The results indicate that the subscription model is not always advantageous for providers. Both providers will only choose to adopt the subscription model when both user usage frequency and perceived psychological cost are high. Conversely, when both user usage frequency and perceived psychological cost are low, the two providers will not simultaneously adopt the subscription model. Interestingly, as the product intelligence levels of the two providers converge, their choices of pricing modes are also more inclined to diverge. These insights guide LLMPs to strategically adjust their pricing models based on user behavioral patterns to maximize profitability in the competitive AI market.

1. Introduction

Breakthrough advances in artificial intelligence technology are driving profound transformations in the global industrial landscape. Large-scale pre-trained models, represented by the ChatGPT series, Tsinghua Zhipu, and Gemini, have progressively evolved into the core infrastructure of the digital economy era. Statistics indicate that in 2023, the global market size of AI large language models (LLMs) exceeded USD 50 billion and is expected to reach USD 83 billion by 2027, with daily user calls surpassing tens of billions (https://www.statista.com/outlook/tmo/artificial-intelligence/generative-ai/worldwide/ (accessed on 26 August 2025)). Their application scenarios have expanded from search engines and intelligent customer service to critical domains such as medical diagnosis, academic research, commercial design, and financial decision-making [1,2,3]. Against this backdrop, how AI large language model providers (LLMPs) design effective pricing mechanisms on user characteristics to achieve commercial value conversion has clearly emerged as a crucial topic [4].
Unlike the pricing logic of traditional software products, the pricing decisions for LLMs face three unique constraints: First, the high uncertainty in user usage scenarios leads to intense demand volatility [5]; Second, the continuous iteration of model intelligence levels creates a dynamic competitive landscape [6]; Third, transaction costs (including user psychological perception, security, interface adaptation costs, etc.) significantly influence user choices [7,8,9]. These characteristics make pricing mechanism design a critical strategic element affecting a company’s market competitiveness. At the practical level, leading companies have developed two mainstream pricing models [10], as shown in Table 1. The subscription model (e.g., ChatGPT Plus by OpenAI) offers stable service but lacks flexibility [11], while the pay-per-use model (e.g., GLM-4-Plus by Zhipu AI) meets elastic demand yet increases user decision costs [9]. For instance, under a pay-per-use pricing mechanism, users experience the “tick-tock effect” caused by frequent small payments, leading to psychological discomfort or perceived psychological costs, which consequently impact product pricing [12,13]. This phenomenon draws upon core principles of mental accounting [14,15] and prospect theory [16], particularly loss aversion. Frequent, small payments under pay-per-use impose a perceived psychological burden because of the following: each transaction activates a separate mental account, making costs more salient; the pain of paying, like a perceived loss is experienced repeatedly; loss aversion amplifies the negative utility of each small payment relative to a single, larger payment, even if the total cost is equivalent. This cost directly reduces the consumer’s net utility under pay-per-use, lowering their effective valuation and willingness to pay, thereby critically impacting provider demand and pricing strategies.
Current academic research on the pricing of LLM services primarily unfolds along two trajectories, as scholars have identified the following: From a techno-economic perspective, researchers focus on computational cost-sharing mechanisms and design pricing models by optimizing resource scheduling efficiency, but they generally neglect the impact of user behavioral heterogeneity on willingness to pay [10,17]. From a market structure perspective, researchers analyze platform pricing strategies on two-sided market theory [18], yet they do not fully consider the unique characteristics of AI services, such as intelligence level differentiation and learning effects [19]. Two-sided market frameworks fail to capture LLM competitive dynamics for three reasons: LLMPs act as direct service sellers rather than multi-sided intermediaries, their competition incorporates unique user psychological costs and intelligence stratification, and their pricing modes create asymmetric demand effects incompatible with cross-platform equilibria. These gaps render traditional platform pricing theories inadequate. Consequently, the model embedding behavioral heterogeneity within horizontal differentiation will provide superior analytical precision for this context. In addition, scholars recognize significant theoretical gaps in existing research. First, researchers have neglected the coupling effects of multiple factors, evidenced by a lack of systematic modeling of interactions among user psychological perception, usage frequency, and intelligence levels. Furthermore, analysts have provided insufficient examination of strategic interactions, particularly the absence of an equilibrium analysis framework for the game-theoretic dynamics in pricing model selection among competitors. Finally, investigators have overlooked iterative competition mechanisms, as most models assume static market environments and fail to capture competitive landscape transformations driven by intelligence-level iteration. on this background and theoretical gaps, this paper addresses the following core questions:
  • How do pricing model choices affect the market game equilibrium among LLMPs with differentiated intelligence levels?
  • How do users’ “tick-tock effect” as a psychological cost and usage frequency reshape pricing strategies?
  • Does the convergence of product intelligence levels generate new impacts on pricing strategies?
To explore the aforementioned questions, this study grounds competitive analysis in the Hotelling model framework of competition [20], which conceptualizes market competition through spatial differentiation where providers occupy distinct positions on a “linear city” representing product characteristics, and consumers incur “transportation costs” reflecting preference mismatch with providers’ offerings. Our model captures a game-theoretic model of duopolistic competition between a pioneer and a follower LLMP. This framework allows us to rigorously analyze the equilibrium outcomes of the strategic interaction concerning both pricing levels and pricing model choices under the four possible mode combinations (SS, SD, DS, DD). Moreover this model incorporated user heterogeneity in usage frequency and psychological perception cost, and analyze the optimal pricing strategies and resulting profits under different pricing mode combinations. Eventually, we investigated how the psychological cost and user usage frequency individually and jointly influence the pricing decisions and profitability of the competing LLMPs. Specifically we examined the novel impact on these equilibria arising from the convergence of the LLMPs’ product intelligence levels. Addressing the aforementioned questions not only aids in clarifying the pricing mechanisms of LLMPs based on user characteristics, but also provides a theoretical reference for their pricing decisions from a micro-level perspective.
This research extends the classical Hotelling and Bertrand frameworks through three key theoretical advances. First, we generalize the strategy space to incorporate simultaneous selection of pricing modes (Subscription/Pay-per-use) and price levels—a four-dimensional competition structure in differentiated duopolies. Second, we embed the behaviorally-grounded “tick-tock effect” as an endogenous transaction cost that dynamically reduces consumer utility under pay-per-use, formally linking psychological burdens to pricing model efficacy. Finally, we characterize how intelligence convergence fundamentally restructures equilibria, demonstrating that technological parity intensifies pricing mode differentiation rather than homogenization. Our findings equip LLMPs with strategic pricing roadmaps. Providers should dynamically select subscription/pay-per-use models using quantified thresholds of user transaction cost sensitivity and usage frequency to maximize profits, while late entrants must leverage pay-per-use differentiation when incumbents dominate subscriptions. Real-time monitoring of these parameters through user analytics enables firms to escape price wars during intelligence convergence and capture profit uplift by aligning pricing modes with behavioral patterns.
The remainder of this paper is organized as follows. Section 2 briefly reviews the relevant literature. Section 3 establishes the corresponding game-theoretic model. Section 4 analyzes the optimal prices and profits for the two providers under four different pricing scenarios. Section 5 examines the equilibrium outcomes of pricing model selection between the two providers. Section 6 discusses extensions of our results to alternative modeling assumptions. Section 7 concludes the paper and explores possible future research directions.

2. Literature Review

Our research primarily relates to AI LLM user demand and pricing models. Existing literature has explored aspects such as cost optimization for AI LLM services and related cloud service enterprises [21,22,23], resource allocation decisions [24,25,26], user heterogeneity [27,28], and security risks [29,30]. For example, Trenz et al. investigated how social environmental factors influence user decision-making behavior using internet user data, considering users’ uncertainty about continuous platform usage due to privacy concerns [31]. Relevant literature is categorized into three streams: (1) Analysis of factors influencing AI LLM service pricing; (2) Comparative studies on AI LLM service pricing mechanisms; (3) Research on pricing strategies for services and products in oligopolistic markets.
Numerous studies have examined factors influencing platform service pricing from an enterprise perspective [32]. In the context of AI-driven pricing for retail platforms, manufacturers can benefit from AI-powered pricing when AI capability is high and consumer valuations are strong [33]. Fazli et al. found that when a firm’s probability of market success is moderate and computational resource costs are sufficiently low, elasticity adjustment can effectively mitigate price competition [34]. Unlike traditional digital products, LLMs experience performance degradation over time. This degradation reduces consumer demand, diminishes the competitiveness of AI LLMs, and decreases provider revenue [6]. This indicates that the quality of AI products, that is, the level of intelligence, plays a crucial role in users’ purchasing decisions. However, the strategic interplay between competing providers with differentiated intelligence levels when choosing between fundamental pricing models like subscription and pay-per-use remains underexplored, motivating our focus on this competitive scenario. Hence, this study incorporates the level of intelligence of AI services into the model. Another stream of research explores pricing factors from a user perspective [35,36]. Perceived usefulness positively influences user satisfaction, which further affects willingness to pay for subscriptions to Generative AI applications [37]. Considering consumers with different usage averages and variability, Chen et al. discovered that users with low usage volatility prefer reservation-value-pricing mechanisms, while those with high volatility favor utility-pricing [38]. The «AI Subscription Service User Behavior» report released by Reuters Institute in 2024 pointed out that 58% of users abandoning paid services are mainly due to insufficient usage frequency (Digital News Report 2024|Reuters Institute for the Study of Journalism). High-usage consumers derive greater surplus from bundled subscriptions due to reduced transaction friction [11]. While user heterogeneity in behavior (e.g., frequency, psychological costs) is recognized as influential, its combined impact on the equilibrium choices of competing providers between subscription and pay-per-use models lacks systematic investigation. Therefore, the variable of user usage frequency will be taken into account in this study. Additionally, under pay-per-use pricing, the “tick-tock effect” from frequent micropayments induces psychological discomfort or perceived costs, thereby impacting product pricing [9,12,13]. In this regard, the psychological perception cost incurred due to users’ multiple small payments should also be taken into account in the model. Synthesizing enterprise and user perspectives, the core tension in platform service pricing stems from dual drivers: technological iteration (e.g., AI performance degradation, security) and user behavior (e.g., usage volatility, psychological payment costs). These factors compel pricing mechanisms to simultaneously respond to supply-side capability fluctuations and demand-side perception disparities.
Comparative studies on platform service pricing mechanisms have also attracted scholarly attention [39,40]. The earliest literature in this domain emerged in the field of information product pricing [41], with Balasubramanian et al. providing a comprehensive review [12]. Scholars have explored technology-driven pricing strategies related to cloud services, including applications of artificial intelligence, big data, cloud computing, and blockchain technology [25,42,43,44]. Considering network service peak-hour challenges, uniform pricing and multiplier- pricing yield significant differences in platform profits, participant revenues, and consumer surplus [45]. When surplus cloud resources are moderately available and unstable, enterprises benefit more from compensation discount pricing mechanisms, with this advantage expanding as surplus resources diminish and volatility increases [46]. Evidently, platform pricing mechanisms have shifted from static cost coverage to dynamic value gaming—requiring simultaneous responses to supply-side disruptions from technological iterations (e.g., AI performance decay, computing power fluctuations) and demand-side complexities (e.g., psychological payment costs, privacy sensitivity). Therefore, considering practical and academic rationale, we systematically model the interaction between product characteristics and user heterogeneity, which is the core contribution of our competitive game model
Finally, research on product pricing strategies in oligopolistic markets has long been a focal point in academic discourse. Early studies examined price competition for homogeneous products using the standard Bertrand model [47]. Subsequently, the Hotelling model investigated price competition for horizontally differentiated products [20], while Belleflamme and Peitz (explored pricing competition for vertically differentiated products [48]. While [49] provide a universal pricing framework for multi-sided platforms, their model assumes interdependent demand groups (e.g., gamers and developers). This contrasts fundamentally with LLMPs’ direct service provision to independent users—where cross-side effects are absent and psychological costs dominate decisions. Given the prevalence of horizontal coopetition relationships across industries, extensive literature analyzes technology adoption and pricing behaviors of duopolistic firms in oligopolistic markets [50,51,52]. Colombo and Labrecciosa further analyzed how market competition influences price changes under consumer reference price effects [53]. Zhang et al. analyzed how market characteristics (like subscription competition user price sensitivity and advertising intensity) shape pricing strategies between rival content providers [54]. However, these studies neither simultaneously considered pricing for products with distinct characteristics in competitive environments nor accounted for consumer heterogeneity, in Table 2, which distinguishes our research. This paper concentrates on the oligopolistic market for LLMs, investigating how user heterogeneity influences providers’ selection of subscription and pay-per-use pricing models and their equilibrium strategies under differentiated service intelligence levels.
Existing literature predominantly focuses on the impact of service pricing from the cloud service enterprise perspective, with limited attention to the pricing strategies of LLMPs. While some studies explore LLMPs’ decision-making mechanisms concerning security and resource allocation [25,57], research addressing how users’ perceived transaction costs influence providers’ pricing model choices in oligopolistic markets remains nascent. Table 2 provides a concise comparison between existing literature and our study, highlighting our distinctive contributions. We find that the pay-per-use model offers consumers a more equitable pricing approach, thereby attracting their favor. However, its implementation simultaneously induces psychological discomfort or perceived costs among consumers. Consequently, as consumer usage frequency and psychological perceptions evolve, competitive providers dynamically adjust their pricing strategies. To address this, this paper constructs a game-theoretic model of horizontal competition between AI LLMPs with differentiated intelligence levels. The model investigates how user heterogeneity influences providers’ selection of pricing models and the formation of their equilibrium strategies.

3. The Model

We consider a system comprising two distinct AI LLMPs: an incumbent provider (R1) and a new entrant (R2). The first-mover provider possesses certain technological advantages. R i sells its product to consumers at unit price P i , where i = 1, 2. The relevant variables and their definitions in this study are presented in Table 3. All participants in the system are risk-neutral and make production and operational decisions on profit maximization.
AI LLMPs can choose between two pricing mechanisms [12]: First, the subscription model (S), where providers charge a fixed fee for unlimited usage over a specified period. For example, Chat GPT employs monthly or annual subscriptions. Second, the pay-per-use model (D), also known as on-demand pricing, where providers charge on actual consumption volume (or duration). For instance, Zhipu AI’s GLM-4-Plus model adopts a standard rate of ¥0.05 per thousand tokens. Each provider independently decides whether to adopt the subscription or pay-per-use model, denoted as S or D respectively. This results in four possible scenarios: both adopt subscription (SS); R1 adopts Subscription while R2 adopts pay-per-use (SD); R1 adopts pay-per-use while R2 adopts subscription (DS); and both adopt pay-per-use (DD). Figure 1 illustrates the model of decision-making participation by various entities in this study. The strategic pricing mode selection between competing LLMPs inherently constitutes a non-cooperative game: both providers simultaneously commit to pricing models (S or D) and price levels based on anticipated market reactions—a structure aligning with static Nash equilibrium analysis [58]. We adopt this approach over dynamic games for two reasons: Industry evidence (e.g., concurrent quarterly pricing announcements by OpenAI and Anthropic) indicates that pricing model choices occur in parallel, not sequentially. In addition, Static games sufficiently capture the strategic interdependence of pricing mode selection (SS/SD/DS/DD equilibria) without overcomplicating temporal dynamics irrelevant to core research questions.

3.1. Consumer Utility

In this section, we analyze consumer utility under each scenario. For simplicity, superscripts S and D denote the subscription and pay-per-use models, respectively. For example, U 1 s represents the utility from the incumbent provider when it adopts the subscription model. Consumers exhibit heterogeneous valuations for service products. We assume consumer valuation v follows a uniform distribution between 0~1, i.e., v∼U(0,1) [59,60]. Consistent with Bernstein et al. [44], consumer valuation is independent of product pricing. Furthermore, as the two providers entered the market at different times with distinct intelligence levels, users perceive different valuations for their products. We posit that longer market presence correlates with higher intelligence levels and deeper user understanding, leading to higher product valuation. Thus, we assume users value R1’s product at v and R2’s product at qv, where q < 1, aligning with [44,61]. This implies that perceived service quality influences demand: higher AI model intelligence translates to greater consumer utility. Consequently, product intelligence stimulates purchase intention [33].When the incumbent and entrant providers charge prices p1 and p2 respectively under the subscription model, user utilities from R1 and R2 are defined as U 1 s = μ v p 1 s , U 2 s = μ q v p 2 s .
Assume the incumbent provider R1 and the entrant R2 set subscription prices as p 1 s and p 2 s , and pay-per-use prices as p 1 d and p 2 d . Their profits under the two pricing models are denoted as π 1 s and π 2 d . The AI LLMs market has n potential users with heterogeneous usage frequency μ. We assume μ follows a uniform distribution over [0, μ h ] [62]. A higher μ indicates heavier usage who are more likely to choose subscriptions, while a lower μ suggests lighter usage preferring pay-per-use. Through analysis of survey data [63], we find that a uniform distribution μ [0, 4] accurately matches observed user cohorts (23% casual users (μ < 1); 52% regular users (1 ≤ μ ≤ 2); 25% power users (μ > 2)) Unlike the one-time payment under subscriptions, Pay-per-use requires repeated micropayments per usage instance. This induces psychological discomfort or perceived costs due to the “tick-tock effect” from frequent small transactions [9,12,13]. We define β as the transaction cost under pay-per-use, with no such cost under subscriptions. Thus, user utility functions are specified by pricing model: subscription model (S): U s = μ v p s ; pay-per-use model (D): U d = μ ( q v β p d ) . The psychological cost β spans (0,1), covering the full spectrum from minimal to maximal per-transaction burden. When β > 1, the utility function specification renders the pay-per-use model strictly dominated—thus not altering strategic outcomes.

3.2. Demand Function

User purchase decisions depend on the utility derived from services. All users make purchasing choices to maximize their utility. Users may purchase from either the incumbent provider (R1) or the new entrant (R2), or abstain from purchasing. 72% of LLM users standardize workflows on one platform due to interface learning costs and API compatibility constraints [3]. Given the identical functionality of both providers’ services, users can only select one option. Single-selection models remain standard for differentiated service competition [62], specifically, the following: A user chooses R1 if the utility from R1 exceeds both zero and the utility from R2 ( U 1 s > m a x 0 ,   U 2 s ). A user chooses R2 if the utility from R2 exceeds both zero and the utility from R1 ( U 2 s > m a x 0 ,   U 1 s ). If utilities from both providers are equal and positive, users may select either provider (since both yield identical utility) [44]. When both providers adopt the subscription model (SS), user utilities are as follows: U 1 s = μ v p 1 s , U 2 s = μ q v p 2 s . Thus, the demand for R1 and R2 is determined as follows:
D 1 S = v : U 1 s > m a x 0 ,     U 2 s f v d v D 2 S = v : U 2 s > m a x 0 ,     U 1 s f v d v
If R1 adopts the subscription model while R2 adopts the pay-per-use model, user utilities from R1 and R2 are as follows: U 1 s = μ v p 1 s , U 2 d = μ ( q v β p 2 d ) . Consequently, the demand for R1 and R2 is defined as follows:
D 1 S = v : U 1 s > m a x 0 ,     U 2 D f v d v D 2 D = v : U 2 D > m a x 0 ,     U 1 s f v d v
If R1 adopts the pay-per-use model while R2 adopts the subscription model, user utilities from R1 and R2 are as follows: U 1 d = μ ( v β p 1 d ) , U 2 s = μ q v p 2 s . Consequently, the demand for R1 and R2 is defined as follows:
D 1 D = v : U 1 D > m a x 0 ,     U 2 s f v d v D 2 S = v : U 2 s > m a x 0 ,     U 1 D f v d v
If both providers adopt the pay-per-use model, user utilities from R1 and R2 are as follows: U 1 d = μ ( v β p 1 d ) , U 2 d = μ ( q v β p 2 d ) . Consequently, the demand for R1 and R2 is defined as follows:
D 1 D = v : U 1 D > m a x 0 ,     U 2 D f v d v D 2 D = v : U 2 D > m a x 0 ,     U 1 D f v d v
The demands of R1 and R2 in each case are shown in Table 4.
The two providers simultaneously determine their service prices to maximize their respective profits. Subsequently, users decide whether to purchase services from R1 or R2, or abstain from purchasing, on their valuation of the offerings.
π 1 ( p 1 ) = p 1 D 1
π 2 ( p 2 ) = p 2 D 2
This paper examines how AI LLMPs R1 and R2, offering non-homogeneous products, select and implement pricing mechanisms in a user-heterogeneous environment. Digital services exhibit near-zero marginal costs after initial development [41], as reproducing LLM outputs incurs negligible expenses. Thus, disregarding computational resource constraints and referencing relevant research [40,64,65,66], simplifying without loss of generality, we assume that both fixed and marginal production costs for AI services are zero. Leading LLMPs (e.g., DeepSeek, Zhipu AI) publicly report operational costs dominated by fixed R&D (>92%), validating this simplification [56]. In addition, Non-zero costs would scale prices uniformly without altering structural insights [65]. We then compute the optimal decisions and profits for both providers under mutual strategic interaction, achieving equilibrium across different pricing modes. Additionally, to test the model’s robustness, Section 6.1 considers the convergence of intelligence levels between the two providers’ services, while Section 6.2. examines the impact of the proportion of users with different usage frequencies on model outcomes.

4. The Optimal Strategy

In this section, we conduct a comparative analysis of the optimal prices and profits for both providers under four scenarios (SS, SD, DS, DD). We further examine the impact of the psychological perception cost β—arising from the “tick-tock effect”—on the providers’ optimal decisions across different pricing modes.

4.1. Case SS

In this section, we examine the optimal decisions and profits when both providers adopt the subscription model (SS). By substituting the demand functions from Table 4 into Equations (1) and (2), we derive the optimization problems for R1 and R2 as follows:
m a x π 1 S S p 1 = p 1 1 p 1 s p 2 s μ 1 q      s . t . p 2 s q p 1 s p 1 ( 1 p 1 s μ )        s . t . p 2 s > q p 1 s
m a x π 2 S S p 2 = p 2 ( p 1 s p 2 s μ ( 1 q ) p 2 s μ q )      s . t . p 2 s q p 1 s   0             s . t . p 2 s > q p 1 s
In the following analysis, we derive the optimal pricing levels for both providers in Proposition 1.
Proposition 1.
Under the SS scenario, the optimal service prices, demand quantities, and profits for R1 and R2 are summarized in Table 5.
Proposition 1 reveals that when both providers adopt the subscription model, R1’s price and demand outperform those of R2, leading to higher profits for R1. This occurs because users perceive R1’s service as superior to R2’s, with no other factors interfering. Specifically, R1’s longer market presence and higher intelligence level engender stronger user preference. Even at a higher price, users believe R1 delivers greater utility. Conversely, as a new entrant, R2 faces initial user skepticism. To secure market foothold and avoid elimination, R2 adopts low-cost strategies to gradually attract customers, thereby establishing a foundation for future development.

4.2. Case SD

In this section, we examine the case where R1 adopts the Subscription model while R2 adopts the pay-per-use model. Utilizing the results from Table 4, we derive the respective optimization problems for R1 and R2 as follows:
m a x π 1 S D p 1 = p 1 1 p 1 s μ β μ p 2 d μ ( 1 q )          s . t .   μ ( β p 2 d ) q p 1 s p 1 ( 1 p 1 s μ )              s . t . μ ( β p 2 d ) > q p 1 s
m a x π 2 S D p 2 = p 2 ( p 1 s μ β μ p 2 d μ ( 1 q ) p 2 d + β q )        s . t .   μ ( β p 2 d ) q p 1 s 0                  s . t . μ ( β p 2 d ) > q p 1 s
By solving the above optimization problems, we obtain the optimal pricing for both providers in this scenario, as stated in Proposition 2.
Proposition 2.
In Case SD, the optimal pricing decisions, demand quantities, and profits for R1 and R2 are summarized in Table 6.
Proposition 2 demonstrates that providers’ optimal strategies critically depend on users’ perceived transaction cost β (the “tick-tock effect”). When β is sufficiently small ( β < q 2 + q q 2 ), both providers can coexist in the market. Conversely, if β exceeds a critical threshold ( β q 2 + q q 2 ), R2’s theoretically optimal price would be negative—an economically infeasible outcome. This implies that high β values amplify users’ psychological perception of transaction costs, which dominates their decision-making. Consequently, users perceive the utility from R2’s service as strictly less than that from R1’s service regardless of pricing, leading them to exclusively choose R1’s offering.
Corollary 1.
In Case SD,  When  β < q 2 + q q 2 ,  p 1 S D β > 0 ,  π 1 S D β > 0 ,  p 2 S D β < 0 ,  π 2 S D β < 0 ; When  β q 2 + q q 2 ,  p 1 S D β = 0 ,  π 1 S D β = 0 ,  p 2 S D β = 0 ,  π 2 S D β = 0 .
According to Corollary 1, when provider R1 adopts the subscription model while R2 uses the pay-per-use model, users’ perceived transaction cost β influences both providers’ optimal decisions, with diametrically opposite effects when β is low. As illustrated in Figure 2, under low transaction costs ( β < q 2 + q q 2 ), R1’s optimal price and profit increase as β rises. Conversely, R2’s optimal price and profit decrease with higher β. This aligns with market reality: subscription R1 users incur no per-use transaction costs, while pay-per-use R2 users face escalating psychological costs that suppress purchase willingness—forcing R2 to lower prices. When β exceeds the threshold ( β q 2 + q q 2 ), R2 risks market exit due to unsustainable user perception costs. When β exceeds the threshold ( β q 2 + q q 2 ), R2 risks market exit due to unsustainable user perception costs. Meanwhile, R1 leverages its technological advantage to enter a “blue ocean” market, potentially lowering prices to capture greater share, thereby reducing its own price and profit.

4.3. Case DS

Unlike the previous two cases, this section examines the scenario where R1 adopts the pay-per-use model while R2 employs the subscription model. Both providers make pricing decisions in response to each other’s operational choices. Utilizing the results from Table 4, we derive the following optimization problems:
m a x π 1 D S p 1 = p 1 1 μ p 1 d + μ β p 2 s μ ( 1 q )       s . t . p 2 s q μ p 1 d + β     p 1 ( 1 β p 1 d )       s . t . p 2 s > q μ p 1 d + β
m a x π 2 D S p 2 = p 2 ( μ p 1 d + μ β p 2 s μ ( 1 q ) p 2 s μ q )      s . t . p 2 s q μ p 1 d + β      0            s . t . p 2 s > q μ p 1 d + β   
By deriving the first-order conditions of their respective optimization problems, the optimal pricing levels for each provider can be obtained, as detailed in Proposition 3. Correspondingly, the optimal prices yield their respective demands and profits, summarized in Table 7.
Proposition 3.
In Case DS, the optimal pricing decisions, demand quantities, and profits for R1 and R2 are summarized in Table 7.
Proposition 3 indicates that the optimal decisions of both providers vary with β. When β is sufficiently small ( β < 2 1 q 2 ), both providers can compete simultaneously in the market. Conversely, if β exceeds a critical threshold ( β 2 1 q 2 ), R1’s theoretically optimal price becomes negative—an economically infeasible outcome that forces its market exit. This occurs because high β values intensify users’ focus on transaction costs, leading them to perceive R1’s utility as strictly less than R2’s regardless of pricing. Consequently, users exclusively choose R2’s subscription service, aligning with the rationale in Proposition 2.
Corollary 2.
In Case DS, When  β < 2 1 q 2 ,  p 1 D S β < 0 ,  π 1 D S β < 0 ,  p 2 D S β > 0 ,  π 2 D S β > 0 ; When  β 2 1 q 2 ,  p 1 D S β = 0 ,  π 1 D S β = 0 ,  p 2 D S β = 0 ,  π 2 D S β = 0 .
Corollary 2 reveals that in Case DS, when users’ perceived transaction cost is low ( β < 2 1 q 2 ), this cost exerts diametrically opposite effects on the two providers’ pricing decisions. Specifically, the optimal price and profit for R1 (pay-per-use provider) decrease as β rises, while those for R2 (subscription provider) increase with higher β—directly contrasting the SD case. As the perceived transaction cost β increases for users purchasing R1’s pay-per-use service, its price and profit progressively decline. Meanwhile, the late-entrant R2—by adopting the subscription model—effectively avoids the impact of user psychological perception. Moreover, some users shift to R2’s service due to its significantly lower subscription price compared to R1’s in the SD case. Consequently, R2’s price and profit further rise as R1 exits the market. This demonstrates that the “tick-tock effect” imposes significant negative impacts on pay-per-use providers. Consequently, providers must carefully weigh the trade-offs of adopting pay-per-use models before finalizing their decisions. Figure 3 offers intuitive visualization of these dynamics.

4.4. Case DD

In this section, we examine the final scenario where both providers adopt the pay-per-use model. Utilizing the results from Table 4, we derive their respective optimization problems as follows:
m a x π 1 D D p 1 = p 1 1 p 1 d p 2 d 1 q           s . t . p 2 d q p 1 d + q β β    p 1 ( 1 β p 1 d )           s . t . p 2 d > q p 1 d + q β β
m a x π 2 D D p 2 = p 2 ( p 1 d p 2 d 1 q p 2 d + β q )        s . t . p 2 d q p 1 d + q β β    0               s . t . p 2 d > q p 1 d + q β β
By solving the optimization problems, we obtain the equilibrium strategies for both providers as shown in Proposition 4, with final outcomes summarized in Table 8.
Proposition 4.
In Case DD, the optimal pricing decisions, demand quantities, and profits for providers R1 and R2 are summarized in Table 8.
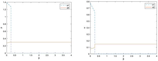
According to Proposition 4, when both providers adopt the pay-per-use model, their optimal decisions critically depend on the “tick-tock effect” (β). When user-perceived transaction costs are low ( β < q 2 ), both providers compete simultaneously in the market. However, at moderate transaction costs ( q 2 β < 1 ), R2 is forced out of the market because users perceive R1’s higher intelligence level as delivering greater utility under identical pricing models, reducing R2’s demand to zero. When transaction costs become prohibitively high ( β 1 ), both providers face simultaneous market exit risk due to user resistance to excessive psychological payment burdens.
Corollary 3.
When both providers adopt the pay-per-use model, when  β < q 2 ,  p 1 D D β < 0 ,  π 1 D D β < 0 ,  p 2 D D β < 0 ,  π 2 D D β < 0 ; when  q 2 β < 1 ,  p 1 D D β < 0 ,  π 1 D D β < 0 ,  p 2 D D β = 0 ,  π 2 D D β = 0 ,  w h e n   β 1 ,  p 1 D D β = 0 ,  π 1 D D β = 0 ,  p 2 D D β = 0 ,  π 2 D D β = 0 .
Corollary 3 indicates that when both providers adopt the pay-per-use model and compete in the market, their optimal pricing levels and profits decrease as the “tick-tock effect” β increases, a trend clearly illustrated in Figure 4. This demonstrates that if users become more sensitive to transaction costs, providers must lower service prices to mitigate the negative impact of their pricing model on consumers. Furthermore, we find that R2’s profit exhibits higher sensitivity to β than R1’s, indicating that the tick-tock effect disproportionately erodes R2’s profitability. Specifically, while both providers suffer under pay-per-use model when β rises, R2—being a new entrant with inherent disadvantages relative to the incumbent R1—experiences significantly amplified adverse effects.

5. Equilibrium Analysis

On our analysis of both providers’ optimal pricing decisions across scenarios, these findings reflect independent choices by individual providers. Therefore, we now examine their mutual selection of pricing models. Specifically, this section identifies equilibrium states in their pricing mode decisions to support more informed operational strategies.

5.1. Impact on R2 When R1 Adopts Subscription Model

Given that R1 has adopted the subscription model, how should R2 make its decision? By comparing R2’s profits across scenarios, we derive the following proposition.
Proposition 5.
If  β < β 1 , then  π 2 S D > π 2 S S , R2 benefits more from adopting the pay-per-use model; if  β β 1 , then    π 2 S D π 2 S S , R2 benefits more from the subscription model, where  β 1 = q 4 q 1 q 2 + q 4 3 q 2 + 3 q q μ ( 1 q ) q 2 β β + 2 ( 4 q ) 1 q 2 + q .
According to Proposition 5, when users perceive transaction costs less acutely ( β < β 1 ), R2 achieves higher profits by adopting the pay-per-use model than under subscriptions. Conversely, with strong user perception of transaction costs ( β β 1 ), R2 benefits more from subscriptions—a pattern visualized in Figure 5. This occurs because when β is low, the value reduction from pay-per-use transaction costs is outweighed by its price advantage over subscriptions. Thus, for users with higher usage frequency, R2 gains greater profits through pay-per-use. However, when users exhibit pronounced tick-tock sensitivity, they focus intensely on per-transaction costs under pay-per-use, amplifying its disadvantages. Here, R2’s adoption of subscriptions maximizes profits by eliminating this psychological burden.

5.2. Impact on R2 When R1 Adopts Pay-per-Use Model

This subsection examines R2’s optimal decision given R1’s adoption of the pay-per-use model. By comparing R2’s profits across scenarios, we derive Proposition 6.
Proposition 6.
When R1 adopts pay-per-use model, R2’s pricing model selection follows: If   β < β 2 , then  π 2 D D > π 2 D S , as a result, R2 benefits more from pay-per-use model; If   β β 2 , then  π 2 D D π 2 D S , as a result, R2 benefits more from subscription model, where    β 2 = q 3 + q 1 q ( 4 q ) q μ ( 4 q ) ( 1 q ) q μ + 2 ( 3 + q ) 1 q .
According to Proposition 6, R2’s optimal pricing model depends critically on the magnitude of the tick-tock effect β. As shown in Figure 6, when R1 adopts pay-per-use, R2 achieves higher profits with pay-per-use than subscriptions by low β values; subscriptions become more advantageous for R2 by high β or usage frequency (μ), aligning with Proposition 5’s rationale. Crucially, the decision threshold differs from Proposition 5. The critical β threshold for R2 to adopt pay-per-use when R1 uses pay-per-use (β2) is lower than when R1 uses subscriptions (β1), like   β 2 β 1 . This implies that R2’s confidence in pay-per-use diminishes significantly when competing against R1’s pay-per-use service due to its intelligence disadvantage. Consequently, R2 more readily switches to subscriptions to differentiate itself and secure profits.

5.3. Impact on R1 When R1 Adopts Subscription Model

This subsection examines R1’s optimal decision given R2’s adoption of the subscription model. By comparing R1’s profits across scenarios, we derive Proposition 7.
Proposition 7.
When R2 adopts subscription model, R1’s pricing model selection follows: If   β < β 3 , then   π 1 D S > π 1 S S , as a result , R1 benefits more from pay-per-use model; If  β β 3 , then    π 1 D S π 1 S S , as a result, R1 benefits more from subscription model, where     β 3 = 2 4 q 2 ( 1 q ) ( 3 + q ) μ ( 4 q ) ( 1 q 2 ) .
According to Proposition 7, we can know that the optimal pricing mode for R1 varies depending on the different values of the tick-tock effect β. As shown in Figure 7, when R2 adopts subscription model, users have no obvious perception of transaction costs, R1 using pay-per-use model will obtain higher profits than using subscription model. On the contrary, if users have a strong perception of transaction costs or have a high frequency of usage, it would be wiser for R1 to adopt subscription model, for the same reasons as Proposition 5 and Proposition 6.

5.4. Impact on R1 When R2 Adopts Pay-per-Use Model

Given R2’s adoption of the pay-per-use model, we analyze how R1 should determine its optimal pricing strategy. By comparing R1’s profits across scenarios, we derive the following proposition.
Proposition 8.
If  β β 4 , when  μ 1 q 2 2 β 2 4 + 3 q 3 q 2 2 4 q 2 1 q 2 + q 2 β β q + 2 2 , then  π 1 D D   π 1 S D , R1 benefits more from pay-per-use model; When   μ > 1 q 2 2 β 2 4 + 3 q 3 q 2 2 4 q 2 1 q 2 + q 2 β β q + 2 2 , then  π 1 D D < π 1 S D , R1 benefits more from subscription model, where   β 4 = q 2 + q q 2 . If  β 4 < β β 5 , when  μ 4 1 q 2 2 β 2 4 q 2 , then  π 1 D D   π 1 S D , R1 benefits more from pay-per-use; When  μ > 4 1 q 2 2 β 2 4 q 2 , then  π 1 D D < π 1 S D , R1 benefits more from subscription model, where   β 5 = q 2 . If  β 5 < β β 6 , when  μ 1 β 2 , then  π 1 D D   π 1 S D , R1 benefits more from pay-per-use; When  μ > 1 β 2 , then  π 1 D D < π 1 S D , R1 benefits more from subscription model, where   β 6 = 1 . If  β > β 6 ,  π 1 S D   π 1 D D always holds, R1 benefits more from subscription model.
Proposition 8 reveals that when provider R2 adopts pay-per-use model, R1’s choice of pricing model requires a dynamic trade-off between the interaction of user psychologically perceived costs (β) and usage frequency (μ) (as shown in Figure 8). In low-β scenarios (β ≤ β6), R1’s decision is highly dependent on μ. If μ is low, the flexibility advantage of the pay-per-use model is significant, and R1 can maximize profits by selecting this model. Conversely, if μ is high, the subscription model maximizes profits by alleviating the psychologically perceived per-transaction cost for users, thereby expanding the subscriber base. In high-β scenarios (β > β6), users are extremely sensitive to transaction costs, making the subscription model the inevitable choice for R1. The pay-per-use model completely loses competitiveness due to triggering strong tick-tock effects. As the technological leader, R1 must prioritize responding to user psychological costs. It adjusts its strategy on usage frequency only when β is low. Once β exceeds the critical threshold, the subscription model becomes the only effective means to avoid user resistance and ensure stable revenue.

5.5. Equilibrium Strategies for Providers on Pricing Models

Having comprehensively discussed the equilibrium decisions for the two types of providers under various scenarios in the previous sections, this section will analyze the equilibrium between the two providers. Specifically, which of the four strategy combinations—SS, SD, DS, and DD—represents the optimal choice?
Proposition 9.
The equilibrium strategies for providers are as follows: When  β β 2 : If  μ 1 q 2 2 β 2 4 + 3 q 3 q 2 2 4 q 2 1 q 2 + q 2 β β q + 2 2 , then DD is the equilibrium strategy; If  μ > 1 q 2 2 β 2 4 + 3 q 3 q 2 2 4 q 2 1 q 2 + q 2 β β q + 2 2 , then SD is the equilibrium strategy. When  β 2 β < β 3 : DS is the equilibrium strategy. When  β > β 3 : SS is the equilibrium strategy.
According to Proposition 9, both providers simultaneously adopt the subscription model to achieve optimal profit levels only when users perceive substantial transaction costs ( β > β 3 ), as illustrated in Figure 9a. Under high psychological resistance to frequent micropayments, pay-per-use adoption declines sharply; subscriptions internalize transaction costs through prepayment, eliminating user decision fatigue while securing long-term provider revenue. For high-intelligence providers like R1, subscriptions better align with sustained service value—maintaining user loyalty through regular model updates—whereas R2 chooses subscriptions to avoid user attrition from pricing model disparities in high-β environments. This mutual adoption forms a stable Pareto equilibrium, effectively preventing price wars in high-transaction-cost settings and shifting profit structures from short-term volatility to long-term stability. Conversely, when perceived transaction costs are low (β ≤ β3), providers diverge in their pricing model choices.
Specifically, when β 2 β < β 3 , the optimal profit configuration occurs with R1 adopting the pay-per-use model and R2 maintaining the subscription based model. Within this moderate transaction-cost interval, R1 strategically shifts from subscriptions to pay-per-use while R2’s pricing remains unchanged, establishing a differentiated competitive landscape. R1’s transition leverages its high intelligence product to capture value surplus from frequent users through precise marginal cost pricing—particularly as reduced tick-tock effects enable economies of scale via low per-use pricing multiplied by high volume. Conversely, R2’s subscription commitment functions as a risk hedging strategy: under moderate psychological costs (β), its relatively lower intelligence product faces higher user churn risk, making subscriptions essential to secure baseline revenue and reduce attrition. This dual-model structure effectively segments the market: R1 attracts low-frequency professional users with stable demand, while R2 targets price-sensitive high-frequency general users. Their complementary strategies maximize joint profits by avoiding homogenized competition and the ensuing Bertrand Paradox.
When users perceive low transaction costs ( β β 2 ), equilibrium strategies bifurcate based on usage frequency (μ): low μ ( μ 1 q 2 2 β 2 4 + 3 q 3 q 2 2 4 q 2 1 q 2 + q 2 β β q + 2 2 ) drives both providers to adopt pay-per-use, while high μ  μ > 1 q 2 2 β 2 4 + 3 q 3 q 2 2 4 q 2 1 q 2 + q 2 β β q + 2 2 leads to R1 choosing subscription and R2 maintaining pay-per-use for optimal profits. This divergence arises because low μ amplifies pay-per-use’s flexibility advantages under minimal transaction costs—users avoid sunk prepayment commitments, R1 leverages dynamic pricing for precise supply-demand alignment as the technology leader, and R2 mirrors the pay-per-use model to evade comparative disadvantages from strategic misalignment. However, when μ exceeds the critical threshold, high-frequency usage restructures cost–benefit dynamics: R1’s shift to subscriptions exploits economies of scale to amortize marginal costs, transforming its intelligence advantage into sustained service capabilities, while R2’s continued Pay-per-use creates differentiated competition—attracting payment-elastic, high-frequency users wary of subscriptions through flexible pricing. This dynamic constitutes a spatial Hotelling-style game where providers establish dual differentiation across pricing flexibility and technical capability, culminating in a separating equilibrium.
Therefore, the equilibrium pricing strategies for AI LLMPs fundamentally depend on users’ perceived transaction costs and usage frequency. When psychological resistance to micropayments is high, both providers gravitate toward the subscription model. Subscription model eliminate user decision fatigue via prepayment, enabling R1 to secure sustained revenue from high-value continuous services while allowing R2 to prevent customer attrition from model misalignment—yielding stable long-term profits and averting price wars. In moderate transaction-cost environments, a differentiated landscape emerges: R1 shifts to pay-per-use, leveraging its technological advantage to capture high-frequency user value through precise marginal pricing, while R2 maintains subscriptions as an income safeguard to reduce churn risk. This effectively segments the market—R1 attracts low-frequency professional users, R2 serves high-frequency general users—achieving complementary gains. Under minimal transaction costs, usage frequency becomes pivotal: Low-frequency scenarios: Pay-per-use’s flexibility dominates, adopted by both providers to meet user needs; High-frequency scenarios: R1 reverts to subscriptions to amortize costs and strengthen service loyalty, while R2 sustains pay-per-use for differentiated competition, targeting payment-elastic user segments. Collectively, providers optimize strategy combinations by aligning their technological positioning with user psychological perception and frequency profiles, achieving dynamic market segmentation and profit maximization.

6. Extensions

In this section, we extend several model assumptions to refine our conclusions, with key findings summarized as follows.

6.1. Improving the Level of Intelligence

Proposition 10.
The equilibrium strategies for providers are as follows:When  β β 2 , if  μ 1 q 2 2 β 2 4 + 3 q 3 q 2 2 4 q 2 1 q 2 + q 2 β β q + 2 2 , then DD is the equilibrium strategy; if  μ > 1 q 2 2 β 2 4 + 3 q 3 q 2 2 4 q 2 1 q 2 + q 2 β β q + 2 2 , then SD is the equilibrium strategy; When  β 2 β < β 3 , DS is the equilibrium strategy; When  β > β 3 , SS is the equilibrium strategy.
When R2’s intelligence level approaches R1’s ( q = 0.6 q = 0.8 ), the narrowing technology gap restructures competitive dynamics, as shown in Figure 9b. Enhanced substitutability between products intensifies the necessity for differentiated pricing—technological homogenization forces both providers to innovate pricing models as new competitive barriers. Consequently, the expansion of SD (R1 subscription, R2 pay-per-use) and DS (R2 subscription, R1 pay-per-use) regions reflects increased reliance on pricing strategies for market segregation: to maintain technological leadership, R1 binds high-value users via subscriptions, while the catch-up R2 employs hybrid tactics—retaining pay-per-use for price-sensitive users to expand its base while offering subscriptions to premium segments for price exploration. The SS (dual-subscription) region shrinks as technological parity intensifies direct competition, compressing profits; the DD (dual pay-per-use) region contracts because post-upgrade marginal service costs decrease, making subscriptions’ economies of scale more attractive. This evolution embodies “technological convergence forcing pricing differentiation”, avoiding Bertrand traps from technological homogeneity while maximizing profit capture through non-overlapping competition within a Hotelling framework.

6.2. Proportion of Users by Usage Frequency

Since consumers exhibit heterogeneous usage frequencies for LLMs, a proportion γ of users perceive the subscription model as better aligned with their usage habits, while the remaining proportion ( 1 γ ) consider the pay-per-use model more suitable. Specifically, high-frequency users ( μ 2 1 ) prefer subscriptions due to compatibility with their intensive usage patterns, while low-frequency users ( μ 1 < 1 ) favor pay-per-use as it maximizes their utility for sporadic usage. To simplify this extension, we assume homogeneous intelligence levels ( q = 1 ).
Given varying proportions of users with different usage frequency habits in the market, providers’ pricing model decisions may diverge accordingly. To investigate how the proportion of frequency-based user segments influences providers’ pricing model choices, we set μ 1 = 0.5 and μ 2 = 2 , focusing exclusively on this heterogeneity. The resulting analysis is presented in Figure 10. From Figure 10, we observe that when a higher proportion of users perceive the subscription model as better aligned with their usage habits, providers’ motivation to adopt the pay-per-use model diminishes. In other words, if users exhibit stronger negative sentiment toward transaction costs, providers either both avoid pay-per-use or only one adopts it. Additionally, the tick-tock effect (β) significantly impacts providers’ decisions, consistent with Proposition 9. Both providers adopt subscriptions only when perceived transaction costs are high ( β > β 8 ); conversely, when transaction costs are low ( β β 7 ), both adopt pay-per-use. For moderate transaction costs ( β 7 < β β 8 ), exactly one provider adopts pay-per-use. Crucially, under the assumption of homogeneous intelligence ( q = 1 ), the providers are symmetrical—thus the SD and DS equilibria are identical.

6.3. Review of Research Questions

The study analyzes equilibrium strategies under four pricing mode combinations (SS, SD, DS, DD). Results demonstrate that pricing mode differentiation restructures market equilibria. The technological leader (R1) locks in high-value users via subscriptions, while the follower (R2) captures price-sensitive demand through pay-per-use, achieving complementary profits (Proposition 9). Critically, as intelligence levels converge (q → 1), providers increasingly diverge in pricing modes (e.g., SD or DS in Figure 9b) to avoid Bertrand paradoxes. This confirms that heterogeneous pricing mitigates competitive pressure from intelligence convergence, enabling stable profit allocation.
User psychological cost (β) and usage frequency (μ) fundamentally reshape pricing logic. High-β erodes pay-per-use competitiveness: Providers adopting pay-per-use must lower prices to offset psychological loss (Corollaries 1–3), with R2 facing profit collapse when β exceeds thresholds (Proposition 2). Conversely, high-μ favors subscriptions by amortizing transaction costs via prepayment. Their interaction dictates equilibria: Dual subscription (SS) emerges only when both β and μ are high, while dual pay-per-use (DD) dominates when both are low (Proposition 9). Behavioral heterogeneity thus directly recalibrates providers’ pricing response functions.
Robustness analysis (Section 6.1) proves that intelligence convergence (q → 1) amplifies pricing mode differentiation. As intelligence levels align (e.g., q = 0.6 → 0.8), SD and DS equilibria expand significantly, while SS regions contract (Figure 9b). Technological homogenization forces providers to leverage pricing as a competitive lever: R1 uses subscriptions to secure premium segments, while R2 employs pay-per-use to target long-tail markets. This “convergence-divergence” mechanism reveals pricing innovation as a critical differentiator in rapidly evolving AI markets.

7. Conclusions and Discussion

To investigate the impact of user heterogeneity on strategic pricing among competing LLMPs, we incorporate consumer heterogeneity factors—such as usage frequency and psychological perception during payment—into a game-theoretic model of horizontal competition between LLMPs with differentiated intelligence levels. The two differentiated providers independently decide to adopt either a subscription or pay-per-use model, resulting in equilibrium analyses across four pricing mode combinations (SS, SD, DS, DD). Based on our research, the key findings are summarized below. First, when any provider adopts the pay-per-use model, its optimal pricing decreases as users’ perceived “tick-tock effect” intensifies. Conversely, when one provider uses the subscription model while its competitor employs pay-per-use, the subscription-based provider’s optimal price may positively correlate with perceived transaction costs. Second, if a competitor adopts the subscription model, the provider will choose subscriptions only when users’ transaction cost perception exceeds a specific threshold. Similarly, if the competitor uses pay-per-use, the provider selects subscriptions only when transaction costs surpass a distinct threshold. Third, both providers simultaneously adopt the subscription model exclusively when users perceive high transaction costs and exhibit high usage frequency. Conversely, when both factors are low, they avoid mutual subscription adoption. Notably, as the intelligence levels of both providers’ LLMs converge, divergent pricing modes become increasingly prevalent.

7.1. Theoretical Contributions

This study makes several noteworthy theoretical contributions to the literature on platform pricing and behavioral operations. cwe integrated behavioral costs into competitive pricing models. We advanced the incorporation of the “tick-tock effect” (β) as a quantifiable psychological transaction cost directly into the utility function within a duopolistic game-theoretic model for LLMPs. This bridges a critical gap between behavioral pricing literature (focused on psychological costs) and competitive platform pricing models (often overlooking user perception).
Second, we characterized novel equilibrium dynamics under convergence. We identify and characterize how the convergence of competitors’ intelligence levels fundamentally shifts pricing model equilibria, leading to prevalent differentiation (SD/DS strategies) rather than homogenization. This provides new theoretical insights into competitive dynamics in rapidly evolving, high-tech oligopolies.
Third, we revealed multidimensional heterogeneity interactions. Our model explicitly analyzes the joint and interactive effects of user usage frequency heterogeneity (μ) and psychological cost perception (β) on competing providers’ optimal pricing and pricing mode selection equilibria, offering a more nuanced theoretical framework than studies focusing on single dimensions of heterogeneity.

7.2. Managerial Insights

Our comprehensive analysis of pricing models for LLMPs yields critical managerial implications, which we now elaborate with differentiated strategies for established providers with different types of providers.
Providers must dynamically adapt their pricing model based on evolving user psychological perception. User sensitivity to the “tick-tock effect” (β) is paramount. For providers utilizing pay-per-use, implementing real-time analytics dashboards to monitor user β-perception thresholds (e.g., derived from session frequency, payment friction metrics, or survey sentiment) is crucial. Upon detecting rising β, leaders should proactively offer tiered subscription bundles (e.g., “Light/Pro/Enterprise” tiers based on estimated token usage) incorporating premium features. Ordinary providers, however, should focus on immediate, targeted price reductions for high-frequency endpoints. Alternatively, they could introduce “micro-bundles” (e.g., blocks of 100 K tokens at a discount) to mitigate the perceived cost per transaction before transitioning models. Conversely, when β escalates significantly, transitioning to a subscription model becomes superior. Brand loyalty significantly reduces consumer price sensitivity, making loyal users more willing to accept premium or prepaid models [67] Providers with high intelligence (e.g., OpenAI, Anthropic) should leverage brand loyalty to promote annual subscriptions—a practice empirically validated by industry benchmarks showing 15–25% discounts for prepaid annual plans (e.g., OpenAI Enterprise, Alibaba Cloud LLM APIs) (https://cht.chinabgao.com/freereport/101192.html (accessed on 26 August 2025)). These are often bundled with value-adds like priority access (e.g., Anthropic Claude Pro) or specialized domain models (e.g., BloombergGPT in finance subscriptions)”. Ordinary providers can enhance subscription appeal through flexible month-to-month terms with easy cancellation, free low-volume tiers for trial, and transparent usage tracking within the subscription to build trust and reduce perceived risk.
Providers must flexibly adjust based on competitors’ pricing models, requiring robust competitive intelligence. If a competitor with high-level intelligence adopts subscriptions (like ChatGPT Plus), ordinary providers should rigorously calculate their specific β-threshold (β1, as defined in Proposition 5). If user β is below this threshold, they should persist with pay-per-use but aggressively target price-sensitive or low-frequency segments with competitive per-unit pricing and highlight flexibility. Providers with high level of intelligence facing a pay-per-use competitor should monitor their own β-threshold (β3, Proposition 7) and competitor’s pricing; if β is low, they can maintain subscriptions but consider tactical “top-up” pay-per-use options for usage spikes beyond subscription limits. If competitors use pay-per-use, subscriptions should be adopted by any provider only when β surpasses its specific threshold. While exceeding β4, providers with high level of intelligence can confidently switch to subscription, leveraging scale. Ordinary providers exceeding β2 against a pay-per-use leader should adopt subscription but couple it with aggressive onboarding incentives (e.g., first month free, seamless migration tools) to overcome switching costs. This necessitates investing in market intelligence systems tracking competitor pricing shifts and user behavior analytics, feeding into dynamic game-theoretic models for rapid scenario planning and response.
Furthermore, strategic exploitation of market position should also be given attention. Subscription success for providers with high level of intelligence hinges on leveraging entrenched user loyalty, brand recognition, and ecosystem integration. They should actively raise migration costs: accelerate technological iteration (e.g., exclusive model access for subscribers), deepen workflow integration (e.g., plugins for Office/GSuite), develop proprietary data connectors, and offer loyalty rewards within the subscription. This fortifies barriers, making switching prohibitively expensive for core users. Ordinary providers must avoid head-on competition with leaders’ subscription fortress. Their core strategy should be asymmetric targeting--focus relentlessly on long-tail or underserved demand. Specifically, (1) they should offer highly competitive pay-per-use pricing targeting low-frequency or occasional users, potentially utilizing venture capital subsidies initially to gain market foothold, and (2) they need to innovate to drastically reduce marginal service costs (e.g., via model compression or efficient inference engines), enabling sustainable low pay-per-use prices.

7.3. Limitations and Future Work

While this study reveals core principles of pricing models for competing LLMPs, certain limitations present focused avenues for future research. First, this study deliberately focuses on LLMPs’ profit-maximizing strategies, as its core objective is analyzing competitive pricing equilibria from an enterprise perspective under user psychological heterogeneity. While social welfare is excluded, profit-driven pricing (e.g., adapting to β/μ) often inherently benefits users (e.g., pay-per-use expands price-sensitive access; subscriptions reduce high-μ friction), and rigorous welfare analysis requires normative assumptions beyond our positive game-theoretic scope. Our findings establish essential strategic benchmarks for future societal impact studies. Second, he assumption of exogenous psychological perception (β) could be extended by tracking β evolution through large-scale user payment diaries and API logs, using panel data regression (e.g., fixed-effects models) to identify key drivers like usage irregularity or price anchoring. Finally, future studies can integrate cost and regulatory constraints by modeling marginal costs as stochastic variables (e.g., GPU-hour costs) calibrated from technical benchmarks like MLPerf), while extending the profit function. These pathways enhance practical relevance while staying within computational economics and empirical industrial organization frameworks.

Author Contributions

Conceptualization, X.Y. (Xu Yan) and Y.H.; methodology, X.Y. (Xu Yan); software, Y.H.; validation, X.Y. (Xu Yan) and J.Z.; formal analysis, X.Y. (Xu Yan) and X.Y. (Xiaodong Yang); investigation, X.Y. (Xu Yan); resources, J.Z.; data curation, Y.H.; writing—original draft preparation, X.Y. (Xu Yan); writing—review and editing, J.Z.; visualization, Y.H.; supervision, J.Z.; project administration, J.Z.; funding acquisition, J.Z. All authors have read and agreed to the published version of the manuscript.

Funding

This research was funded by the Natural Science Foundation of Shandong Province, China (Grant No. ZR2022QG030), titled “Robust Control Methods for Manufacturing and Service Processes in the C2M Model.”.

Institutional Review Board Statement

Not applicable. This study does not involve human participants or animals.

Informed Consent Statement

Not applicable. This study does not involve human subjects.

Data Availability Statement

The data that support the findings of this study are available from the corresponding author upon reasonable request.

Acknowledgments

The authors would like to acknowledge the support from the Natural Science Foundation of Shandong Province (Grant No. ZR2022QG030). We also thank the participating SMEs and industry experts who provided valuable insights during the data collection process, which greatly improved the rigor and relevance of this study.

Conflicts of Interest

The authors declare no conflict of interest. The funders had no role in the design of the study; in the collection, analyses, or interpretation of data; in the writing of the manuscript; or in the decision to publish the results.

References

  1. Li, Y.; Liu, Y.; Yu, M. Consumer segmentation with large language models. J. Retail. Consum. Serv. 2025, 82, 104078. [Google Scholar] [CrossRef]
  2. Wu, Q.; Zheng, H. Consumers’ questions as nudges: Comparing the effect of linguistic cues on LLM chatbot and human responses. J. Retail. Consum. Serv. 2025, 84, 104250. [Google Scholar] [CrossRef]
  3. Yan, W.; Hu, B.; Liu, Y.; Li, C.; Song, C. Does usage scenario matter? Investigating user perceptions, attitude and support for policies towards ChatGPT. Inf. Process. Manag. 2024, 61, 103867. [Google Scholar] [CrossRef]
  4. Wu, P.; Liu, Q.; Dong, Y.; Wang, Z.; Wang, F. LMaaS: Exploring Pricing Strategy of Large Model as a Service for Communication. IEEE Trans. Mob. Comput. 2024, 23, 12748–12760. [Google Scholar] [CrossRef]
  5. Xiong, J.; Sun, D.; Wang, Y. Adoption of artificial intelligence artifacts: A literature review. Univers. Access Inf. Soc. 2024, 23, 703–715. [Google Scholar] [CrossRef]
  6. Gao, J.; Wang, Z.; Wei, X. An adaptive pricing framework for real-time AI model service exchange. IEEE Trans. Netw. Sci. Eng. 2024, 11, 5114–5129. [Google Scholar] [CrossRef]
  7. Bao, H.; Liu, W.; Dai, Z. Artificial intelligence vs. public administrators: Public trust, efficiency, and tolerance for errors. Technol. Forecast. Soc. Change 2025, 215, 124102. [Google Scholar] [CrossRef]
  8. Yao, Y.; Duan, J.; Xu, K.; Cai, Y.; Sun, Z.; Zhang, Y. A survey on large language model (LLM) security and privacy: The good, the bad, and the ugly. High-Confid. Comput. 2024, 4, 100211. [Google Scholar] [CrossRef]
  9. Yun, S.; Suk, K. Consumer preference for pay-per-use service tariffs: The roles of mental accounting. J. Acad. Mark. Sci. 2022, 50, 1111–1124. [Google Scholar] [CrossRef]
  10. Wang, R.; Dada, M.; Sahin, O. Pricing ancillary service subscriptions. Manag. Sci. 2019, 65, 4712–4732. [Google Scholar] [CrossRef]
  11. Wu, C.; Jin, C.; Liu, Q. Bundling variety, usage, or both? A multi-service analysis of pay-per-use and subscription pricing. Prod. Oper. Manag. 2024, 33, 1979–1996. [Google Scholar] [CrossRef]
  12. Balasubramanian, S.; Bhattacharya, S.; Krishnan, V.V. Pricing information goods: A strategic analysis of the selling and pay-per-use mechanisms. Mark. Sci. 2015, 34, 218–234. [Google Scholar] [CrossRef]
  13. Lambrecht, A.; Skiera, B. Paying too much and being happy about it: Existence, causes, and consequences of tariff-choice biases. J. Mark. Res. 2006, 43, 212–223. [Google Scholar] [CrossRef]
  14. Thaler, R. Mental accounting and consumer choice. Mark. Sci. 1985, 4, 199–214. [Google Scholar] [CrossRef]
  15. Thaler, R.H. Mental accounting matters. J. Behav. Decis. Mak. 1999, 12, 183–206. [Google Scholar] [CrossRef]
  16. Kahneman, D.; Tversky, A. Prospect theory: An analysis of decision under risk. Econometrica 1979, 47, 263. [Google Scholar] [CrossRef]
  17. Zheng, D.; Ding, Y.; Bai, S. The competition between human and AI streamers: Live streaming strategies in a duopoly market considering consumer heterogeneity. Acta Psychol. 2025, 256, 105040. [Google Scholar] [CrossRef]
  18. Rochet, J.-C.; Tirole, J. Platform competition in two-sided markets. J. Eur. Econ. Assoc. 2003, 1, 990–1029. [Google Scholar] [CrossRef]
  19. Jo, H. Understanding AI tool engagement: A study of ChatGPT usage and word-of-mouth among university students and office workers. Telemat. Inform. 2023, 85, 102067. [Google Scholar] [CrossRef]
  20. Hotelling, H. Stability in competition. Econ. J. 1929, 39, 41–57. [Google Scholar] [CrossRef]
  21. Arbabian, M.E.; Chen, S.; Moinzadeh, K. Capacity Expansions with Bundled Supplies of Attributes: An Application to Server Procurement in Cloud Computing. Manuf. Serv. Oper. Manag. 2021, 23, 191–209. [Google Scholar] [CrossRef]
  22. Liang, Y.; Lu, M.; Shen, Z.M.; Tang, R. Data center network design for internet-related services and cloud computing. Prod. Oper. Manag. 2021, 30, 2077–2101. [Google Scholar] [CrossRef]
  23. López Espejel, J.; Yahaya Alassan, M.S.; Bouhandi, M.; Dahhane, W.; Ettifouri, E.H. Low-cost language models: Survey and performance evaluation on python code generation. Eng. Appl. Artif. Intell. 2025, 140, 109490. [Google Scholar] [CrossRef]
  24. Cohen, M.C.; Keller, P.W.; Mirrokni, V.; Zadimoghaddam, M. Overcommitment in cloud services: Bin packing with chance constraints. Manag. Sci. 2019, 65, 3255–3271. [Google Scholar] [CrossRef]
  25. Guo, X.; He, Y.; Ignatius, J. Optimal security and pricing strategies for AI cloud service providers: Balancing effort and price discounts across public, private, and hybrid AI cloud models. Int. J. Prod. Econ. 2025, 284, 109605. [Google Scholar] [CrossRef]
  26. Perez-Salazar, S.; Menache, I.; Singh, M.; Toriello, A. Dynamic resource allocation in the cloud with near-optimal efficiency. Oper. Res. 2022, 70, 2517–2537. [Google Scholar] [CrossRef]
  27. Ma, Q.; Shou, B.; Huang, J.; Başar, T. Monopoly Pricing with Participation-Dependent Social Learning About Quality of Service. Prod. Oper. Manag. 2021, 30, 4004–4022. [Google Scholar] [CrossRef]
  28. Markovitch, D.G.; Stough, R.A.; Huang, D. Consumer reactions to chatbot versus human service: An investigation in the role of outcome valence and perceived empathy. J. Retail. Consum. Serv. 2024, 79, 103847. [Google Scholar] [CrossRef]
  29. Michael, K.; Abbas, R.; Roussos, G. AI in cybersecurity: The paradox. IEEE Trans. Technol. Soc. 2023, 4, 104–109. [Google Scholar] [CrossRef]
  30. Yang, M.; Jacob, V.S.; Raghunathan, S. Cloud Service Model’s Role in Provider and User Security Investment Incentives. Prod. Oper. Manag. 2021, 30, 419–437. [Google Scholar] [CrossRef]
  31. Trenz, M.; Huntgeburth, J.; Veit, D. Uncertainty in cloud service relationships: Uncovering the differential effect of three social influence processes on potential and current users. Inf. Manag. 2018, 55, 971–983. [Google Scholar] [CrossRef]
  32. Dierks, L.; Seuken, S. Cloud pricing: The spot market strikes back. Manag. Sci. 2022, 68, 105–122. [Google Scholar] [CrossRef]
  33. Zhou, W.; Ding, Y.; Gan, Y.; Ma, W. Manufacturer’s encroachment strategies when facing the retail platform with AI-driven pricing. Comput. Ind. Eng. 2025, 203, 111003. [Google Scholar] [CrossRef]
  34. Fazli, A.; Sayedi, A.; Shulman, J.D. The effects of autoscaling in cloud computing. Manag. Sci. 2018, 64, 5149–5163. [Google Scholar] [CrossRef]
  35. Biraglia, A.; Bowen, K.T.; Gerrath, M.H.E.E.; Musarra, G. How need for closure and deal proneness shape consumers’ freemium versus premium price choices. J. Bus. Res. 2022, 143, 157–170. [Google Scholar] [CrossRef]
  36. Chen, F.; Lu, A.; Wu, H.; Li, M.; Feng, H. Competing on price and guarantee compensation: Heeding cloud consumer’s quality perception. Inf. Manag. 2023, 60, 103884. [Google Scholar] [CrossRef]
  37. Liu, Y.; Park, Y.; Wang, H. The mediating effect of user satisfaction and the moderated mediating effect of AI anxiety on the relationship between perceived usefulness and subscription payment intention. J. Retail. Consum. Serv. 2025, 84, 104176. [Google Scholar] [CrossRef]
  38. Chen, S.; Lee, H.; Moinzadeh, K. Pricing Schemes in Cloud Computing: Utilization-Based vs. Reservation-Based. Prod. Oper. Manag. 2019, 28, 82–102. [Google Scholar] [CrossRef]
  39. Li, B.; Kumar, S. Managing Software-as-a-Service: Pricing and operations. Prod. Oper. Manag. 2022, 31, 2588–2608. [Google Scholar] [CrossRef]
  40. Nunez, M.A.; Bai, X.; Du, L. Leveraging Slack Capacity in IaaS Contract Cloud Services. Prod. Oper. Manag. 2021, 30, 883–901. [Google Scholar] [CrossRef]
  41. Fishburn, P.C.; Odlyzko, A.M. Competitive pricing of information goods: Subscription pricing versus pay-per-use. Econ. Theory 1999, 13, 447–470. [Google Scholar] [CrossRef]
  42. Chen, F.; Lu, A.; Wu, H.; Dou, R.; Wang, X. Optimal strategies on pricing and resource allocation for cloud services with service guarantees. Comput. Ind. Eng. 2022, 165, 107957. [Google Scholar] [CrossRef]
  43. Wu, C.; Cui, H.; Lu, Z.; Yang, X.; McMurtrey, M.E. Big data knowledge pricing schemes for knowledge recipient firms. CMC-Comput. Mater. Contin. 2021, 69, 3275–3287. [Google Scholar] [CrossRef]
  44. Zhang, Z.; Ren, D.; Lan, Y.; Yang, S. Price competition and blockchain adoption in retailing markets. Eur. J. Oper. Res. 2022, 300, 647–660. [Google Scholar] [CrossRef]
  45. Chen, M.; Zhao, D.; Gong, Y.; Rekik, Y. An on-demand service platform with self-scheduling capacity: Uniform versus multiplier-based pricing. Int. J. Prod. Econ. 2022, 243, 108329. [Google Scholar] [CrossRef]
  46. Chen, S.; Moinzadeh, K.; Tan, Y. Discount schemes for the preemptible service of a cloud platform with unutilized capacity. Inf. Syst. Res. 2021, 32, 967–986. [Google Scholar] [CrossRef]
  47. Kreps, D.M.; Scheinkman, J.A. Quantity precommitment and bertrand competition yield cournot outcomes. Bell J. Econ. 1983, 14, 326–337. [Google Scholar] [CrossRef]
  48. Belleflamme, P.; Peitz, M. Industrial Organization: Markets and Strategies, 1st ed.; Cambridge University Press: Cambridge, UK, 2010; ISBN 978-0-521-86299-8. [Google Scholar]
  49. Rochet, J.-C.; Tirole, J. Two-sided markets: A progress report. Rand J. Econ. 2006, 37, 645–667. [Google Scholar] [CrossRef]
  50. Li, M.; Hong, Z.; Guo, X.; Yu, Y. Green design and information sharing in a horizontally competitive supply chain. Transp. Res. Part E Logist. Transp. Rev. 2025, 194, 103858. [Google Scholar] [CrossRef]
  51. Liu, J.; Zhao, H.; Chen, J. Blockchain-driven win–win strategy of economy and environment in the asymmetric competitive supply chain. Comput. Ind. Eng. 2023, 176, 108978. [Google Scholar] [CrossRef]
  52. Yu, M.; Cruz, J.M.; Li, D.; Masoumi, A.H. A multiperiod competitive supply chain framework with environmental policies and investments in sustainable operations. Eur. J. Oper. Res. 2022, 300, 112–123. [Google Scholar] [CrossRef]
  53. Colombo, L.; Labrecciosa, P. Dynamic oligopoly pricing with reference-price effects. Eur. J. Oper. Res. 2021, 288, 1006–1016. [Google Scholar] [CrossRef]
  54. Zhang, W.; Li, M.; Feng, H.; Feng, N. Optimal hybrid pricing scheme of internet content providers in a duopoly market. IEEE Trans. Eng. Manag. 2025, 72, 937–951. [Google Scholar] [CrossRef]
  55. Zhang, M.; Arafa, A.; Huang, J.; Poor, H.V. Pricing fresh data. IEEE J. Sel. Areas Commun. 2021, 39, 1211–1225. [Google Scholar] [CrossRef]
  56. Guo, S.; Wang, Y.; Liu, Y. How social credit affects enterprise innovation: Evidence from the development of China’s social credit system. Technol. Forecast. Soc. Change 2025, 213, 124007. [Google Scholar] [CrossRef]
  57. Zhou, J.; Zhong, W.; Wang, Y.; Wang, J. Adaptive-solver framework for dynamic strategy selection in large language model reasoning. Inf. Process. Manag. 2025, 62, 104052. [Google Scholar] [CrossRef]
  58. Fudenberg, D.; Tirole, J. Game Theory; MIT Press: Cambridge, MA, USA, 1991; ISBN 978-0-262-06141-4. [Google Scholar]
  59. Bernstein, F.; Song, J.; Zheng, X. Free riding in a multi-channel supply chain. Nav. Res. Logist. NRL 2009, 56, 745–765. [Google Scholar] [CrossRef]
  60. Zhou, L.; Wang, W.; Xu, J.; Liu, T.; Gu, J. Perceived information transparency in B2C e-commerce: An empirical investigation. Inf. Manag. 2018, 55, 912–927. [Google Scholar] [CrossRef]
  61. Tsai, J.Y.; Egelman, S.; Cranor, L.; Acquisti, A. The effect of online privacy information on purchasing behavior: An experimental study. Inf. Syst. Res. 2011, 22, 254–268. [Google Scholar] [CrossRef]
  62. Zhang, Z.; Nan, G.; Tan, Y. Cloud services vs. On-premises software: Competition under security risk and product customization. Inf. Syst. Res. 2020, 31, 848–864. [Google Scholar] [CrossRef]
  63. McKinsey. The State of AI in Early 2024: Gen AI Adoption Spikes and Starts to Generate Value. Available online: https://www.mckinsey.com/capabilities/quantumblack/our-insights/the-state-of-ai-2024 (accessed on 7 August 2025).
  64. Hinzen, F.J.; John, K.; Saleh, F. Bitcoin’s limited adoption problem. J. Financ. Econ. 2022, 144, 347–369. [Google Scholar] [CrossRef]
  65. Sun, H.; Gilbert, S.M. Retail price competition with product fit uncertainty and assortment selection. Prod. Oper. Manag. 2019, 28, 1658–1673. [Google Scholar] [CrossRef]
  66. Wu, S.; Banker, R. Best Pricing Strategy for Information Services. J. Assoc. Inf. Syst. 2010, 11, 339–366. [Google Scholar] [CrossRef]
  67. Chaudhuri, A.; Holbrook, M.B. The chain of effects from brand trust and brand affect to brand performance: The role of brand loyalty. J. Mark. 2001, 65, 81–93. [Google Scholar] [CrossRef]
Figure 1. Model composed of different subscription modes.
Figure 1. Model composed of different subscription modes.
Jtaer 20 00241 g001
Figure 2. The optimal strategies of providers in Case SD.
Figure 2. The optimal strategies of providers in Case SD.
Jtaer 20 00241 g002
Figure 3. The optimal strategies of providers in Case DS.
Figure 3. The optimal strategies of providers in Case DS.
Jtaer 20 00241 g003
Figure 4. The optimal strategies of providers in Case DD.
Figure 4. The optimal strategies of providers in Case DD.
Jtaer 20 00241 g004
Figure 5. R2’s strategy when R1 adopted the subscription model.
Figure 5. R2’s strategy when R1 adopted the subscription model.
Jtaer 20 00241 g005
Figure 6. R2’s strategy when R1 adopted the pay-per-use model.
Figure 6. R2’s strategy when R1 adopted the pay-per-use model.
Jtaer 20 00241 g006
Figure 7. R1’s strategy when R2 adopted the subscription model.
Figure 7. R1’s strategy when R2 adopted the subscription model.
Jtaer 20 00241 g007
Figure 8. R1’s strategy when R2 adopted the pay-per-use model.
Figure 8. R1’s strategy when R2 adopted the pay-per-use model.
Jtaer 20 00241 g008
Figure 9. (a). Equilibrium strategies ( q = 0.6 ). (b). Equilibrium strategies ( q = 0.8 ).
Figure 9. (a). Equilibrium strategies ( q = 0.6 ). (b). Equilibrium strategies ( q = 0.8 ).
Jtaer 20 00241 g009
Figure 10. The impact of user proportion with different usage frequencies on pricing models.
Figure 10. The impact of user proportion with different usage frequencies on pricing models.
Jtaer 20 00241 g010
Table 1. The payment mode and user activity of mainstream LLMs.
Table 1. The payment mode and user activity of mainstream LLMs.
LLM ProviderPricingDaily Active Users (DAUs)
Subscription ModelChatGPT (OpenAI)USD 20/month~53.23 million
Gemini 2.5 Pro (Google)USD 19.9/month>35 million
Wenxin Yiyan (Baidu)USD 7.99/month~4.35 million
Pay-per-use ModelZhipu AI (Tsinghua)CNY 1.0/million tokens~230,000
DeepSeekCNY 0.5/million tokens~22.15 million
Doubao (ByteDance)JCNY 0.8/million tokens>30 million
Table 2. Comparison between the relative articles and this article.
Table 2. Comparison between the relative articles and this article.
Articles (Year)Pricing ModeProduct CharacteristicsUser HeterogeneityDuopoly Competition
Zhang et al. (2021) [55]
F. Chen et al. (2022) [42]
M. Chen et al. (2022) [45]
Yun and Suk (2022) [9]
Liu et al. (2023) [51]
Chen et al. (2023) [36]
Gao et al. (2024) [6]
Zhang et al. (2025) [54]
Guo et al. (2025) [56]
This article
Table 3. Variables and definitions.
Table 3. Variables and definitions.
VariableDefinition
R i Large language models providers i, i = 1, 2
P i Price set by LLMPs i
U i S , D The utility from the LLMPs i when it adopts the subscription or pay-per-use model
vIntrinsic product value to users
qThe level of intelligence of the service, q = 0 ~ 1
μThe frequency of users using the service
β The psychological perception cost under pay-per-use model
D Market demand
π i Profit of LLMPs i
Table 4. The demand for R1 and R2 under each scenario.
Table 4. The demand for R1 and R2 under each scenario.
CaseCondition D 1 D 2
SS p 2 s q p 1 s 1 p 1 s p 2 s μ ( 1 q ) p 1 s p 2 s μ ( 1 q ) p 2 s μ q
p 2 s > q p 1 s 1 p 1 s μ 0
SD μ ( β p 2 d ) q p 1 s 1 p 1 s μ β μ p 2 d μ ( 1 q ) p 1 s μ β μ p 2 d μ ( 1 q ) p 2 d + β q
μ ( β p 2 d ) > q p 1 s 1 p 1 s μ 0
DS p 2 s q μ p 1 d + β 1 μ p 1 d + μ β p 2 s μ ( 1 q ) μ p 1 d + μ β p 2 s μ ( 1 q ) p 2 s μ q
p 2 s > q μ p 1 d + β 1 β p 1 d 0
DD p 2 d q p 1 d + q β β 1 p 1 d p 2 d 1 q p 1 d p 2 d 1 q p 2 d + β q
p 2 d > q p 1 d + q β β 1 β p 1 d 0
Table 5. Optimal solution for providers in case SS.
Table 5. Optimal solution for providers in case SS.
Retalier p s s D s s π s s
R 1 2 μ ( 1 q ) 4 q 2 4 q 4 μ ( 1 q ) ( 4 q ) 2
R 2 μ q ( 1 q ) 4 q 1 4 q μ ( 1 q ) ( 4 q ) 2
Table 6. Optimal solution for providers in case SD.
Table 6. Optimal solution for providers in case SD.
Condition p S D D S D π S D
β < q 2 + q q 2 R 1 μ 1 q 2 + q β q β + 2 1 q 4 3 q 2 + 3 q 1 q 2 + q β q β + 2 4 3 q 2 + 3 q μ 1 q 2 + q 2 β q β + 2 2 1 q 3 q 2 + 3 q + 4 2
R 2 q 2 β q β + q 2 β 4 3 q 2 + 3 q 1 q 2 + q q 2 β q β + q 2 β q 4 3 q 2 + 3 q 1 q 2 + q q 2 β q β + q 2 β 2 q 3 q 2 + 3 q + 4 2
β q 2 + q q 2 R 1 μ 2 1 2 μ 4
R 2 000
Table 7. Optimal solution for providers in case DS.
Table 7. Optimal solution for providers in case DS.
Condition p D S D D S π D S
β < 2 1 q 2 R 1 ρ q 2 β β + 2 1 q q + 3 q 2 β β + 2 q + 3 q 2 β β + 2 2 1 q q + 3 2
R 2 μ β q β + 1 q + 3 β q β + 1 q + 3 μ β q β + 1 2 q + 3 2
β 2 1 q 2 R 1 000
R 2 μ q 2 1 2 μ q 4
Table 8. Optimal solution for providers in case DD.
Table 8. Optimal solution for providers in case DD.
Condition p D D D D D π D D
β < q 2 R 1 1 q 2 β 4 q 2 β 4 q 1 q 2 β 2 4 q 2
R 2 q 2 β 1 q 4 q q 2 β q 4 q q 2 β 2 1 q q 4 q 2
q 2 β < 1 R 1 1 β 2 1 β 2 1 β 2 4
R 2 000
β 1 R 1 000
R 2 000
Disclaimer/Publisher’s Note: The statements, opinions and data contained in all publications are solely those of the individual author(s) and contributor(s) and not of MDPI and/or the editor(s). MDPI and/or the editor(s) disclaim responsibility for any injury to people or property resulting from any ideas, methods, instructions or products referred to in the content.

Share and Cite

MDPI and ACS Style

Yan, X.; Hu, Y.; Zhu, J.; Yang, X. User Psychological Perception and Pricing Mechanism of AI Large Language Model. J. Theor. Appl. Electron. Commer. Res. 2025, 20, 241. https://doi.org/10.3390/jtaer20030241

AMA Style

Yan X, Hu Y, Zhu J, Yang X. User Psychological Perception and Pricing Mechanism of AI Large Language Model. Journal of Theoretical and Applied Electronic Commerce Research. 2025; 20(3):241. https://doi.org/10.3390/jtaer20030241

Chicago/Turabian Style

Yan, Xu, Yiting Hu, Jianhua Zhu, and Xiaodong Yang. 2025. "User Psychological Perception and Pricing Mechanism of AI Large Language Model" Journal of Theoretical and Applied Electronic Commerce Research 20, no. 3: 241. https://doi.org/10.3390/jtaer20030241

APA Style

Yan, X., Hu, Y., Zhu, J., & Yang, X. (2025). User Psychological Perception and Pricing Mechanism of AI Large Language Model. Journal of Theoretical and Applied Electronic Commerce Research, 20(3), 241. https://doi.org/10.3390/jtaer20030241

Article Metrics

Back to TopTop