Understanding Factors Influencing Click-Through Decision in Mobile OTA Search Engine Systems
Abstract
1. Introduction
2. Literature Review
2.1. Item-Ranking Position Effect
2.2. Price Effect in Consumer Search
2.3. Refinement Tools and Search Cost in Consumer Search
3. Description of Session-Log Datasets and Variables
4. Methodology
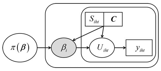
4.1. Individual User Level Click-Through Decision Model Using a Dynamic Bayesian Model
4.2. Posterior Estimation Using a Gibbs Sampling Algorithm
5. Experiments and Results
5.1. Properties of Mobile OTA Search
5.2. Robustness and Results of Mobile OTA Search
6. Comparison between Mobile OTA Search and Desktop OTA Search
6.1. Item-Ranking Position Effect
6.2. Heterogeneous Effects of Price
6.3. The Effects of Refinement Tool and Search Cost
7. Discussion
7.1. Theoretical Implications and Contributions
7.2. Practical Implications
8. Conclusions
Author Contributions
Funding
Institutional Review Board Statement
Informed Consent Statement
Data Availability Statement
Conflicts of Interest
Appendix A
| No | Platform | Country/Region | Business Region | Average Price of Click-Through Hotels |
|---|---|---|---|---|
| 1 | VN | Vietnam | Asia–Pacific | 42.95062 |
| 2 | ID | Indonesia | Asia–Pacific | 43.53182 |
| 3 | IN | India | Asia–Pacific | 44.22440 |
| 4 | EC | Ecuador | Latin America | 46.29386 |
| 5 | MY | Malaysia | Asia–Pacific | 46.71386 |
| 6 | TH | Thailand | Asia–Pacific | 49.06277 |
| 7 | TR | Turkey | Europe, the Middle East and Africa | 50.28357 |
| 8 | PH | Philippines | Asia–Pacific | 54.87692 |
| 9 | RU | Russian Federation | Europe, the Middle East and Africa | 55.21053 |
| 10 | RS | Serbia | Europe, the Middle East and Africa | 58.95872 |
| 11 | PE | Peru | Latin America | 59.33535 |
| 12 | BG | Bulgaria | Europe, the Middle East and Africa | 59.45550 |
| 13 | PL | Poland | Europe, the Middle East and Africa | 64.24440 |
| 14 | UY | Uruguay | Latin America | 64.86505 |
| 15 | RO | Romania | Europe, the Middle East and Africa | 65.33056 |
| 16 | CO | Colombia | Latin America | 68.56688 |
| 17 | BR | Brazil | Latin America | 69.51245 |
| 18 | AR | Argentina | Latin America | 72.54673 |
| 19 | HR | Croatia | Europe, the Middle East and Africa | 72.79259 |
| 20 | GR | Greece | Europe, the Middle East and Africa | 73.81250 |
| 21 | CL | Chile | Latin America | 74.49524 |
| 22 | CZ | Czechia | Europe, the Middle East and Africa | 76.48084 |
| 23 | MX | Mexico | Latin America | 80.56070 |
| 24 | AA | Aruba | Latin America | 81.55505 |
| 25 | TW | Taiwan | Asia–Pacific | 81.91995 |
| 26 | ZA | South Africa | Europe, the Middle East and Africa | 82.35231 |
| 27 | PT | Portugal | Europe, the Middle East and Africa | 83.98903 |
| 28 | HU | Hungary | Europe, the Middle East and Africa | 84.53585 |
| 29 | ES | Spain | Europe, the Middle East and Africa | 87.16726 |
| 30 | SK | Slovakia | Europe, the Middle East and Africa | 88.23723 |
| 31 | SG | Singapore | Asia–Pacific | 91.22791 |
| 32 | AE | United Arab Emirates | Europe, the Middle East and Africa | 93.04986 |
| 33 | IT | Italy | Europe, the Middle East and Africa | 97.12066 |
| 34 | FR | France | Europe, the Middle East and Africa | 98.10925 |
| 35 | HK | Hong Kong | Asia–Pacific | 101.0511 |
| 36 | SI | Slovenia | Europe, the Middle East and Africa | 102.4384 |
| 37 | NL | Netherlands | Europe, the Middle East and Africa | 103.2852 |
| 38 | CN | China | Asia–Pacific | 103.7143 |
| 39 | CA | Canada | North America | 104.3289 |
| 40 | DE | Germany | Europe, the Middle East and Africa | 107.2170 |
| 41 | KR | Korea | Asia–Pacific | 108.1697 |
| 42 | BE | Belgium | Europe, the Middle East and Africa | 109.5798 |
| 43 | DK | Denmark | Europe, the Middle East and Africa | 112.9501 |
| 44 | US | United States of America | North America | 112.9790 |
| 45 | FI | Finland | Europe, the Middle East and Africa | 113.6804 |
| 46 | JP | Japan | Asia–Pacific | 114.2183 |
| 47 | UK | United Kingdom | Europe, the Middle East and Africa | 115.7131 |
| 48 | NZ | New Zealand | Asia–Pacific | 115.8696 |
| 49 | IE | Ireland | Europe, the Middle East and Africa | 117.6781 |
| 50 | AT | Austria | Europe, the Middle East and Africa | 122.4000 |
| 51 | SE | Sweden | Europe, the Middle East and Africa | 122.9304 |
| 52 | AU | Australia | Asia–Pacific | 123.8404 |
| 53 | CH | Switzerland | Europe, the Middle East and Africa | 130.8132 |
| 54 | NO | Norway | Europe, the Middle East and Africa | 132.2779 |
| 55 | IL | Israel | Europe, the Middle East and Africa | 139.9843 |
References
- Ghose, A.; Ipeirotis, P.G.; Li, B. Designing ranking systems for hotels on travel search engines by mining user-generated and crowdsourced content. Mark. Sci. 2012, 31, 493–520. [Google Scholar] [CrossRef]
- Pop, R.-A.; Săplăcan, Z.; Dabija, D.-C.; Alt, M.-A. The impact of social media influencers on travel decisions: The role of trust in consumer decision journey. Curr. Issues Tour. 2022, 25, 823–843. [Google Scholar] [CrossRef]
- Pan, B. The power of search engine ranking for tourist destinations. Tour. Manag. 2015, 47, 79–87. [Google Scholar] [CrossRef]
- Xiang, Z.; Wöber, K.; Fesenmaier, D.R. Representation of the online tourism domain in search engines. J. Travel Res. 2008, 47, 137–150. [Google Scholar] [CrossRef]
- Lamsfus, C.; Wang, D.; Alzua-Sorzabal, A.; Xiang, Z. Going mobile: Defining context for on-the-go travelers. J. Travel Res. 2015, 54, 691–701. [Google Scholar] [CrossRef]
- Liang, S.; Schuckert, M.; Law, R.; Masiero, L. The relevance of mobile tourism and information technology: An analysis of recent trends and future research directions. J. Travel Tour. Mark. 2017, 34, 732–748. [Google Scholar] [CrossRef]
- Rondović, B.; Djuričković, T.; Kašćelan, L. Drivers of E-Business Diffusion in Tourism: A Decision Tree Approach. J. Theor. Appl. Electron. Commer. Res. 2019, 14, 30–50. [Google Scholar] [CrossRef]
- StratosJets. Over 60 Online Travel Booking Statistics. 2022. Available online: https://www.stratosjets.com/blog/online-travel-statistics/ (accessed on 16 August 2022).
- Criteo. Summer Travel Report. 2018. Available online: https://www.criteo.com/wp-content/uploads/2018/06/Criteo-Summer-Travel-2018.pdf (accessed on 6 June 2019).
- Jacoby, J. Perspectives on information overload. J. Consum. Res. 1984, 10, 432–435. [Google Scholar] [CrossRef]
- Pan, B.; Hembrooke, H.; Joachims, T.; Lorigo, L.; Gay, G.; Granka, L. In Google we trust: Users’ decisions on rank, position, and relevance. J. Comput.-Mediat. Commun. 2007, 12, 801–823. [Google Scholar] [CrossRef]
- Rutz, O.J.; Trusov, M. Zooming In on Paid Search Ads—A Consumer-Level Model Calibrated on Aggregated Data. Mark. Sci. 2011, 30, 789–800. [Google Scholar] [CrossRef]
- Agarwal, A.; Hosanagar, K.; Smith, M.D. Location, location, location: An analysis of profitability of position in online advertising markets. J. Mark. Res. 2011, 48, 1057–1073. [Google Scholar] [CrossRef]
- Law, R.; Huang, T. How do travelers find their travel and hotel websites? Asia Pac. J. Tour. Res. 2006, 11, 239–246. [Google Scholar] [CrossRef]
- Ghose, A.; Ipeirotis, P.G.; Li, B. Examining the impact of ranking on consumer behavior and search engine revenue. Manag. Sci. 2014, 60, 1632–1654. [Google Scholar] [CrossRef]
- Chen, Y.; Yao, S. Sequential search with refinement: Model and application with click-stream data. Manag. Sci. 2017, 63, 4345–4365. [Google Scholar] [CrossRef]
- Ert, E.; Fleischer, A. Mere position effect in booking hotels online. J. Travel Res. 2016, 55, 311–321. [Google Scholar] [CrossRef]
- Van der Rest, J.-P.I.; Cordella, P.; Loosschilder, G.; Schwartz, Z. Connecting search marketing to hotel revenue management: Conjoint analysis as a methodology to evaluate the optimal online travel agency commission fee. Serv. Sci. 2016, 8, 169–183. [Google Scholar] [CrossRef]
- Maniar, N.; Bennett, E.; Hand, S.; Allan, G. The effect of mobile screen size on video-based learning. J. Softw. 2008, 3, 51–61. [Google Scholar] [CrossRef]
- Chae, M.; Kim, J. Do size and structure matter to mobile users? An empirical study of the effects of screen size, information structure, and task complexity on user activities with standard web phones. Behav. Inf. Technol. 2004, 23, 165–181. [Google Scholar] [CrossRef]
- Ghose, A.; Goldfarb, A.; Han, S.P. How is the mobile Internet different? Search costs and local activities. Inf. Syst. Res. 2013, 24, 613–631. [Google Scholar] [CrossRef]
- Sim, J.J.; Loh, S.H.; Wong, K.L.; Choong, C.K. Do we need trust transfer mechanisms? An M-commerce adoption perspective. J. Theor. Appl. Electron. Commer. Res. 2021, 16, 2241–2262. [Google Scholar] [CrossRef]
- Baye, M.R.; Gatti, J.R.J.; Kattuman, P.; Morgan, J. Clicks, discontinuities, and firm demand online. J. Econ. Manag. Strategy 2009, 18, 935–975. [Google Scholar] [CrossRef]
- Bronnenberg, B.J.; Kim, J.B.; Mela, C.F. Zooming In on Choice: How Do Consumers Search for Cameras Online? Mark. Sci. 2016, 35, 693–712. [Google Scholar] [CrossRef]
- Gao, H.; Ou, C.; Liu, H. Modeling shopping cart decisions with heterogeneous product involvement and reviews. In Proceedings of the 23rd Pacific Asia Conference on Information Systems, Xi’an, China, 8–12 July 2019. [Google Scholar]
- Zhan, M.; Gao, H.; Liu, H.; Peng, Y.; Lu, D.; Zhu, H. Identifying market structure to monitor product competition using a consumer-behavior-based intelligence model. Asia Pac. J. Mark. Logist. 2020, 33, 99–123. [Google Scholar] [CrossRef]
- Hwang, Y.-H. A theory of unplanned travel decisions: Implications for modeling on-the-go travelers. Inf. Technol. Tour. 2010, 12, 283–296. [Google Scholar] [CrossRef]
- Ursu, R.M.; Wang, Q.; Chintagunta, P.K. Search duration. Mark. Sci. 2020, 39, 849–871. [Google Scholar] [CrossRef]
- Liu, H.; Zhan, M.; Gao, H.; Zhu, H.; He, R. Research on assistant decision-makings of E-commerce platform with refinement tools. J. Control Decis. 2020, 8, 303–313. [Google Scholar] [CrossRef]
- Albert, J.H.; Chib, S. Bayesian analysis of binary and polychotomous response data. J. Am. Stat. Assoc. 1993, 88, 669–679. [Google Scholar] [CrossRef]
- Allenby, G.M.; Rossi, P.E. Marketing models of consumer heterogeneity. J. Econom. 1998, 89, 57–78. [Google Scholar] [CrossRef]
- Chau, M.; Chen, H. A machine learning approach to web page filtering using content and structure analysis. Decis. Support Syst. 2008, 44, 482–494. [Google Scholar] [CrossRef]
- Vila, T.D.; González, E.A.; Vila, N.A.; Brea, J.A.F. Indicators of Website Features in the User Experience of E-Tourism Search and Metasearch Engines. J. Theor. Appl. Electron. Commer. Res. 2021, 16, 18–36. [Google Scholar] [CrossRef]
- Evans, M.P. Analysing Google rankings through search engine optimization data. Internet Res. 2007, 17, 21–37. [Google Scholar] [CrossRef]
- Pop, R.-A.; Hlédik, E.; Dabija, D.-C. Predicting consumers’ purchase intention through fast fashion mobile apps: The mediating role of attitude and the moderating role of COVID-19. Technol. Forecast. Soc. Chang. 2023, 186, 122111. [Google Scholar] [CrossRef]
- Jiang, P. A model of price search behavior in electronic marketplace. Internet Res. 2002, 12, 181–190. [Google Scholar] [CrossRef]
- Seiler, S.; Pinna, F. Estimating search benefits from path-tracking data: Measurement and determinants. Mark. Sci. 2017, 36, 565–589. [Google Scholar] [CrossRef]
- Bronnenberg, B.J.; Dubé, J.-P.H.; Gentzkow, M. The evolution of brand preferences: Evidence from consumer migration. Am. Econ. Rev. 2012, 102, 2472–2508. [Google Scholar] [CrossRef]
- Gao, H.; Liu, H.; Lin, W.; Chen, C. Graph-theoretic approach to detecting real-time intents within purchase conversion funnel using clickstream data. Kybernetes, 2022; ahead-of-print. [Google Scholar] [CrossRef]
- Bonilla-Quijada, M.; Tugores-Ques, J.; Olmo Arriaga, J.L. Promotion of urban tourism: Insights into user engagement on social media. Inf. Technol. Tour. 2021, 23, 611–632. [Google Scholar] [CrossRef]
- Rossi, P.E.; Allenby, G.M. Bayesian statistics and marketing. Mark. Sci. 2003, 22, 304–328. [Google Scholar] [CrossRef]
- Stiving, M. Price-endings when prices signal quality. Manag. Sci. 2000, 46, 1617–1629. [Google Scholar] [CrossRef]
- Ghose, A.; Ipeirotis, P.G.; Li, B. Modeling consumer footprints on search engines: An interplay with social media. Manag. Sci. 2019, 65, 1363–1385. [Google Scholar] [CrossRef]









| Construct | Variable | Item-Level Definition | Mean | SD | Min | Max |
|---|---|---|---|---|---|---|
| Sequential search activities Siht that user i interacts hotel h at time t | ||||||
| Ranking Position | Posiht | Ranking position of item h on a SERP at t | 7.73 | 6.75 | 1 | 25 |
| Topiht | If item h is top-1 position on a SERP at t | 0.20 | 0.40 | 0 | 1 | |
| Price preference | Priceiht | Price of per room of per night | 87.86 | 69.88 | 11 | 482 |
| PriceReliht | Price perception: the price of item h at t minus, the average price of items interacted up to time t | −0.32 | 28.36 | −379 | 405.08 | |
| PriceRankiht | Price ranking of item h on a SERP at t | 14.80 | 7.25 | 1 | 25 | |
| Refinement tool | Refiht | Whether item h stems from refinement-tool sorting or default sorting at t | =1 for refinement-tool sorting (50.6% observations), =0 for default sorting (49.4%) | |||
| Search cost | CumTimeiht /seconds | Cumulative time duration towards item h up to t within a session | 135.60 | 237.35 | 0 | 2175 |
| Static hotel-level and user-level variables | ||||||
| Control variables | Property | Property type of items | =1 for hotel (74,675, 85.1%), =0 for house/apartment (13,070, 14.9%) | |||
| Class | Dummies for hotel class of items: five-star rating classes and one without star rating denoted by null | Null (26,577, 30.3%), 1 Star (1077, 1.2%), 2 Star (14,444, 16.5%), 3 Star (25,973, 29.6%), 4 Star (15,803, 18.0%), 5 Star (3871, 4.4%) | ||||
| Rating | Dummies for overall guest rating | Null (14,318, 16.3%), Satisfactory (31,411, 35.8%), Good (21,980, 25.0%), Very good (11,723, 13.4%), Excellent (8313, 9.5%) | ||||
| Platform | Dummies for regions where users accessed the OTA platform (55 regions) 1 | |||||
| Estimate for Click-Through Decision | ||||
|---|---|---|---|---|
| Variable | Model 1 | Model 2 | Model 3 | Model 4 |
| Intercept | −1.2536 *** (0.0141) | −1.1784 *** (0.0147) | −1.1478 *** (0.0153) | −0.7957 *** (0.0603) |
| Ranking position | ||||
| Pos | −0.0049 *** (0.0001) | −0.0152 *** (0.0011) | −0.0152 *** (0.0012) | −0.0153 *** (0.0012) |
| Top | 0.1092 *** (0.0050) | 0.0501 *** (0.0060) | 0.0488 *** (0.0059) | 0.0531 *** (0.006) |
| Pos2 | NA | 0.0008 *** (0.0001) | 0.0008 *** (0.0001) | 0.0008 *** (0.0001) |
| Price | ||||
| Price(L) | 0.0508 *** (0.0026) | 0.0512 *** (0.0026) | 0.0510 *** (0.0026) | 0.0344 *** (0.0034) |
| PriceRank | 0.0129 *** (0.0003) | 0.0129 *** (0.0003) | 0.0130 *** (0.0003) | 0.0091 *** (0.0003) |
| PriceRel(L) | 0.0002 *** (0.0001) | 0.0003 *** (0.0001) | 0.0003 *** (0.0001) | 0.0002 *** (0.0001) |
| Refinement tool | ||||
| Ref | 0.1972 *** (0.0035) | 0.1963 *** (0.0034) | 0.0926 *** (0.0116) | −0.0174 (0.0116) |
| Search cost | ||||
| CumTime(L) | 0.0460 *** (0.0012) | 0.0462 *** (0.0012) | 0.0389 *** (0.0014) | 0.0421 *** (0.0014) |
| Interaction | ||||
| Ref × CumTime(L) | No | No | 0.0252 *** (0.0026) | 0.0329 *** (0.0026) |
| Control variables | ||||
| Property | No | No | No | Yes |
| Class | No | No | No | Yes |
| Rating | No | No | No | Yes |
| Platform | No | No | No | Yes |
| Model fit | 0.4152 | 0.4149 | 0.4148 | 0.4031 |
Disclaimer/Publisher’s Note: The statements, opinions and data contained in all publications are solely those of the individual author(s) and contributor(s) and not of MDPI and/or the editor(s). MDPI and/or the editor(s) disclaim responsibility for any injury to people or property resulting from any ideas, methods, instructions or products referred to in the content. |
© 2023 by the authors. Licensee MDPI, Basel, Switzerland. This article is an open access article distributed under the terms and conditions of the Creative Commons Attribution (CC BY) license (https://creativecommons.org/licenses/by/4.0/).
Share and Cite
Gao, H.; Zhan, M. Understanding Factors Influencing Click-Through Decision in Mobile OTA Search Engine Systems. J. Theor. Appl. Electron. Commer. Res. 2023, 18, 634-655. https://doi.org/10.3390/jtaer18010032
Gao H, Zhan M. Understanding Factors Influencing Click-Through Decision in Mobile OTA Search Engine Systems. Journal of Theoretical and Applied Electronic Commerce Research. 2023; 18(1):634-655. https://doi.org/10.3390/jtaer18010032
Chicago/Turabian StyleGao, Hongming, and Mingjun Zhan. 2023. "Understanding Factors Influencing Click-Through Decision in Mobile OTA Search Engine Systems" Journal of Theoretical and Applied Electronic Commerce Research 18, no. 1: 634-655. https://doi.org/10.3390/jtaer18010032
APA StyleGao, H., & Zhan, M. (2023). Understanding Factors Influencing Click-Through Decision in Mobile OTA Search Engine Systems. Journal of Theoretical and Applied Electronic Commerce Research, 18(1), 634-655. https://doi.org/10.3390/jtaer18010032

