Topic Editors

College of Materials Science and Engineering, Nanjing Forestry University, Nanjing 210037, China
College of Materials Science and Engineering, Nanjing Forestry University, Nanjing 210037, China
Prof. Dr. Shifeng Zhang
Beijing Key Laboratory of Wood Science and Engineering, Beijing Forestry University, Beijing 100083, China
College of Materials Science and Technology, Nanjing Forestry University, Nanjing 210037, China

Biomass for Energy, Chemicals and Materials

Abstract submission deadline
24 May 2026
Manuscript submission deadline
24 May 2026
Viewed by
85736

Topic Information

Dear Colleagues,

Biomass and its derived materials for energy, chemicals, and materials have attracted significant attention due to the combinations of biomass, energies, chemistry, and materials. In this field, the unique porous structures and chemical compositions of biomass can be used as a template, which is of great significance for the development of electrode materials with controllable geometry. At present, there are still challenges in the development of biomass and its derived carbon with regard to their pore formation, high value utilization, high carbon output, high energy density, high power density, and controllable nano-micro-structure, which are the main bottlenecks in the direction of electrochemical energy storage materials. It is worth noting that the doping of heteroatoms and extra redox also plays an important role in the performance of energy storage. This topic may require a clear understanding of the element composition of biomass and the inherent chemical and structural characteristics of biomass, as well as the mechanism by which organisms produce carbon materials during pyrolysis.

This topic is devoted to publishing original research papers, short communications, application notes, and critical reviews about the latest developments in the fields of the characterization of lignin, biomass and energy, chemicals, and materials. Contributions of particular interest including but not limited to the above are welcome.

Prof. Dr. Shaohua Jiang
Prof. Dr. Changlei Xia
Prof. Dr. Shifeng Zhang
Dr. Xiaoshuai Han
Topic Editors

Keywords

  • lignin
  • chemical characterization
  • chemical modification
  • de-polymerization
  • combustion
  • energy
  • biomass
  • hydrothermal liquefaction
  • bio-oils
  • bio-aromatic chemicals
  • synthesis
  • polymers
  • carbon fibers
  • composites

Participating Journals

Journal Name Impact Factor CiteScore Launched Year First Decision (median) APC
Biomass
biomass
- 4.2 2021 19.4 Days CHF 1200 Submit
Energies
energies
3.2 7.3 2008 16.8 Days CHF 2600 Submit
Materials
materials
3.2 6.4 2008 15.5 Days CHF 2600 Submit
Molecules
molecules
4.6 8.6 1996 15.1 Days CHF 2700 Submit
Nanomaterials
nanomaterials
4.3 9.2 2010 14 Days CHF 2400 Submit
Polymers
polymers
4.9 9.7 2009 14.4 Days CHF 2700 Submit

Preprints.org is a multidisciplinary platform offering a preprint service designed to facilitate the early sharing of your research. It supports and empowers your research journey from the very beginning.

MDPI Topics is collaborating with Preprints.org and has established a direct connection between MDPI journals and the platform. Authors are encouraged to take advantage of this opportunity by posting their preprints at Preprints.org prior to publication:

  1. Share your research immediately: disseminate your ideas prior to publication and establish priority for your work.
  2. Safeguard your intellectual contribution: Protect your ideas with a time-stamped preprint that serves as proof of your research timeline.
  3. Boost visibility and impact: Increase the reach and influence of your research by making it accessible to a global audience.
  4. Gain early feedback: Receive valuable input and insights from peers before submitting to a journal.
  5. Ensure broad indexing: Web of Science (Preprint Citation Index), Google Scholar, Crossref, SHARE, PrePubMed, Scilit and Europe PMC.

Published Papers (23 papers)

Order results
Result details
Journals
Select all
Export citation of selected articles as:
31 pages, 6676 KB  
Article
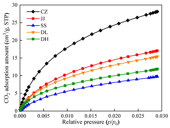
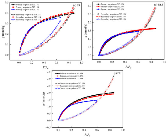
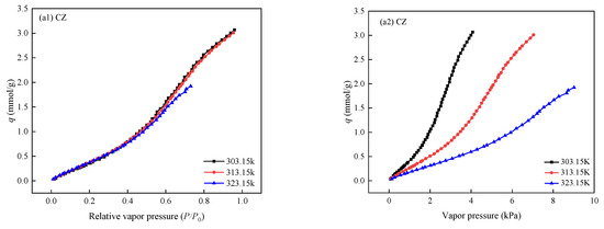
The Influence of Coal Microstructure on the Thermodynamic Behavior of Water Vapor Adsorption in Coal
by Caiwen Zhou, Haijian Li and Long Dang
Energies 2026, 19(4), 898; https://doi.org/10.3390/en19040898 - 9 Feb 2026
Viewed by 245
Abstract
The presence of water during coalbed methane development significantly affects gas adsorption and migration. However, the factors governing primary and secondary water vapor adsorption amounts and adsorption heats remain unclear. In this study, the chemical and pore structures of five coals with different [...] Read more.
The presence of water during coalbed methane development significantly affects gas adsorption and migration. However, the factors governing primary and secondary water vapor adsorption amounts and adsorption heats remain unclear. In this study, the chemical and pore structures of five coals with different ranks were characterized, and water vapor adsorption experiments were conducted at three temperatures. The variation patterns of water vapor adsorption and heat in coal were investigated, along with the factors influencing these parameters. More importantly, the factors affecting the primary and secondary adsorption amounts were examined, as well as the primary and secondary adsorption heats. The results indicate that the hydrophilic/hydrophobic properties of coal surfaces and the micropore fractal dimension are the primary factors influencing the amount of water vapor adsorption in coal. The oxygen-containing functional group structural parameter ‘C’ ranges from 0.22 to 0.55, and the micropore fractal dimension ranges from 2.26695 to 2.41057. The micropore fractal dimension exhibits the strongest influence on secondary adsorption (r = 0.90). The primary and secondary adsorption heats range from 30 to 73 kJ/mol and 34 to 47 kJ/mol, respectively. The initial adsorption heat of water vapor in coal exhibits a strong positive relationship with both the specific surface area (57.24–160.06 m2/g) and volume (0.0184–0.0515 cm3/g) of micropores, with r > 0.90. Full article
(This article belongs to the Topic Biomass for Energy, Chemicals and Materials)
Show Figures

Figure 1

24 pages, 1774 KB  
Article
A Semi-Mechanistic Approach to Modeling Lipase-Catalyzed Processes with Multiple Competing Reactions: Demonstration for the Esterification of Trimethylolpropane
by Ana Paula Yumi Nishimura, Fernando Augusto Pedersen Voll, Nadia Krieger and David Alexander Mitchell
Biomass 2026, 6(1), 12; https://doi.org/10.3390/biomass6010012 - 3 Feb 2026
Viewed by 246
Abstract
Kinetic models are important tools for guiding the design and optimization of lipase-catalyzed processes. These processes follow the Ping Pong bi bi mechanism, for which mechanistic kinetic equations can be derived. However, when there are several competing reactions, fully mechanistic models contain a [...] Read more.
Kinetic models are important tools for guiding the design and optimization of lipase-catalyzed processes. These processes follow the Ping Pong bi bi mechanism, for which mechanistic kinetic equations can be derived. However, when there are several competing reactions, fully mechanistic models contain a large number of parameters, making it difficult to obtain reliable estimates, so simplified models are necessary. We present a two-step approach to developing semi-mechanistic models of such processes. The first step involves the estimation of the selectivities of the enzyme, using profiles for the reaction species plotted against the degree of reaction, while the second step involves empirical fitting to the same data, but plotted as a function of time. We demonstrate this two-step approach through four case studies based on the literature data for the lipase-catalyzed esterification of fatty acids with trimethylolpropane to produce biolubricants. The semi-mechanistic models were able to describe the data well. Our approach has the advantage of allowing selectivities to be estimated without confounding effects from phenomena such as enzyme denaturation and inhibition. It therefore provides a promising framework for developing models of enzyme-catalyzed processes that obey Ping Pong bi bi kinetics. Full article
(This article belongs to the Topic Biomass for Energy, Chemicals and Materials)
Show Figures

Figure 1

26 pages, 2373 KB  
Review
Sargassum: Turning Coastal Challenge into a Valuable Resource
by Adrián Fagundo-Mollineda, Yolanda Freile-Pelegrín, Román M. Vásquez-Elizondo, Erika Vázquez-Delfín and Daniel Robledo
Biomass 2026, 6(1), 9; https://doi.org/10.3390/biomass6010009 - 12 Jan 2026
Viewed by 1172
Abstract
The massive influx of pelagic Sargassum in the Caribbean poses a serious environmental, social, and economic problem, as the stranded biomass is often treated as waste and deposited in landfills. This literature review synthesizes recent research highlighting its potential for valorization in various [...] Read more.
The massive influx of pelagic Sargassum in the Caribbean poses a serious environmental, social, and economic problem, as the stranded biomass is often treated as waste and deposited in landfills. This literature review synthesizes recent research highlighting its potential for valorization in various industries, turning this challenge into an opportunity. Sargassum has low levels of protein and lipids. Still, it is particularly rich in carbohydrates, such as alginates, fucoidans, mannitol, and cellulose, as well as secondary metabolites, including phenolic compounds, flavonoids, pigments, and phytosterols with antioxidant and bioactive properties. These biochemical characteristics allow for its application in renewable energy (bioethanol, biogas, biodiesel, and combustion), agriculture (fertilizers and biostimulants), construction (composite materials, cement additives, and insulation), bioremediation (adsorption of heavy metals and dyes), and in the health sector (antioxidants, anti-inflammatories, and pharmacological uses). A major limitation is its high bioaccumulation capacity for heavy metals, particularly arsenic, which increases environmental and health risks and limits its direct use in food and feed. Therefore, innovative pretreatment and bioprocessing are essential to mitigate these risks. The most promising approach for its utilization is a biorefinery model, which allows for the sequential extraction of multiple high-value compounds and energy products to maximize benefits, reduce costs, and sustainably transform Sargassum from a coastal pest into a valuable industrial resource. Full article
(This article belongs to the Topic Biomass for Energy, Chemicals and Materials)
Show Figures

Figure 1

22 pages, 3323 KB  
Review
Development and Application Prospects of Biomass-Based Organic Binders for Pellets Compared with Bentonite
by Yu Liu, Wenguo Liu, Zile Peng, Jingsong Wang, Qingguo Xue and Haibin Zuo
Materials 2025, 18(19), 4553; https://doi.org/10.3390/ma18194553 - 30 Sep 2025
Viewed by 1176
Abstract
With the low-carbon transformation of the steel industry, using low-carbon raw materials is one of the important ways to achieve the “dual carbon” goals. Pellets have great physical and chemical properties as low-carbon furnace materials, which can significantly reduce blast furnace carbon emissions, [...] Read more.
With the low-carbon transformation of the steel industry, using low-carbon raw materials is one of the important ways to achieve the “dual carbon” goals. Pellets have great physical and chemical properties as low-carbon furnace materials, which can significantly reduce blast furnace carbon emissions, exhibiting favorable overall environmental benefits. Increasing their proportion in the furnace is one of the important measures the steel industry can take to reduce carbon emissions. Binders play a critical role in the pelletizing process, and their properties directly influence pellet quality, thereby affecting the subsequent blast furnace smelting process. Compared with traditional bentonite, organic binders have become a potential alternative material due to their environmental friendliness, renewability, and ability to significantly reduce silica and alumina impurities in pellets while improving the iron grade. This work systematically elucidates the mechanism of organic binders, which primarily rely on the chemical adsorption of carboxyl groups and the hydrogen bonding of hydroxyl groups to enhance pellet strength, and then provides three typical examples of organic binders: lignosulfonate, carboxymethyl cellulose (CMC), and carboxymethyl starch (CMS). The common characteristic of these organic binders is that they are derived from renewable biomass through chemical modification, which is a derivative of biomass with renewable and abundant resources. However, the main problem with organic binders is that they burn and decompose at high temperatures. Current research has achieved technological breakthroughs in pellet quality by combining LD sludge, low-iron oxides, and nano-CaCO3, including improved iron grade, reduced reduction swelling index (RSI), and enhanced preheating/roasting strength. Future studies should focus on optimizing the molecular structure of organic binders by increasing the degree of substitution of functional groups and the overall degree of polymerization. This approach aims to replace traditional bentonite while exploring applications of composite industrial solid wastes, effectively addressing the high-temperature strength loss issues in organic binders and providing strong support for the steel industry to achieve the green and low-carbon goals. Full article
(This article belongs to the Topic Biomass for Energy, Chemicals and Materials)
Show Figures

Figure 1

18 pages, 2331 KB  
Article
Effect of Process Parameters and Biomass Type on Properties of Carbon Produced by Pyrolysis
by Sourabh Chakraborty, Nazlim Aktay, Fikret Muge Alptekin, Melih Soner Celiktas and Nurhan Turgut Dunford
Biomass 2025, 5(3), 52; https://doi.org/10.3390/biomass5030052 - 1 Sep 2025
Cited by 3 | Viewed by 1250
Abstract
Porous carbon from renewable resources like biomass is a key material utilized in many applications ranging from environmental remediation to energy storage. There are limited reports in the literature on the effects of biomass pretreatment, production process parameters, and downstream processing on the [...] Read more.
Porous carbon from renewable resources like biomass is a key material utilized in many applications ranging from environmental remediation to energy storage. There are limited reports in the literature on the effects of biomass pretreatment, production process parameters, and downstream processing on the final product properties. This is the first study aimed at closing the latter research gap. Six different types of underutilized biomass were examined: eastern red cedar wood, pecan shells, hazelnut shells, algal biomass, miscanthus, and sludge produced at municipal wastewater treatment facilities. Although pretreatment of biomass with KOH or ZnCl2 enhanced formation of micro- and mesopores, carbon yield was lower (15.3–32.5%) than that obtained via non-catalytic pyrolysis (28.3–48%). An optimization study performed using response surface methodology and cedar wood has shown the significant effects (p < 0.05) of temperature and catalyst/biomass ratio on total BET pore volume and surface area. Additionally, catalyst/biomass ratio had a significant effect on the crystal structure and pore size distribution in the carbon produced by pyrolysis. Hence, optimization of process temperature, hold time, and activation ratio is capable of yielding porous carbon from cedar wood pyrolysis with desirable properties. Full article
(This article belongs to the Topic Biomass for Energy, Chemicals and Materials)
Show Figures

Figure 1

18 pages, 5270 KB  
Article
Co-Pyrolysis of Bamboo and Rice Straw Biomass with Polyethylene Plastic: Characterization, Kinetic Evaluation, and Synergistic Interaction Analysis
by Munir Hussain, Vikul Vasudev, Shri Ram, Sohail Yasin, Nouraiz Mushtaq, Menahil Saleem, Hafiz Tanveer Ashraf, Yanjun Duan, Muhammad Ali and Yu Bin
Polymers 2025, 17(15), 2063; https://doi.org/10.3390/polym17152063 - 29 Jul 2025
Cited by 3 | Viewed by 1352
Abstract
This study investigates the co-pyrolysis behavior of two lignocellulosic biomass blends, bamboo (B), and rice straw (R) with a plastic polyethylene (P). A total of 15 samples, including binary and ternary blends, were analyzed. Firstly, X-ray diffraction (XRD) analysis was performed to reveal [...] Read more.
This study investigates the co-pyrolysis behavior of two lignocellulosic biomass blends, bamboo (B), and rice straw (R) with a plastic polyethylene (P). A total of 15 samples, including binary and ternary blends, were analyzed. Firstly, X-ray diffraction (XRD) analysis was performed to reveal high crystallinity in the B25R75 blend (I/Ic = 13.39). Whereas, the polyethylene samples showed persistent ZrP2O7 and lazurite phases (I/Ic up to 3.12) attributed to additives introduced during the manufacturing of the commercial plastic feedstock. In addition, scanning electron microscopy with energy-dispersive X-ray (SEM-EDX) spectroscopy was performed to characterize the surface morphology and elemental composition of the feedstock. Moreover, thermogravimetric analysis (TGA) was employed at temperatures up to 700 °C at three different heating rates (5, 10, and 20 °C/min) under pyrolysis conditions. Kinetic analysis used TGA data to calculate activation energy via Friedman’s isoconversional method, and the blended samples exhibited a decrease in activation energy compared to the individual components. Furthermore, the study evaluated transient interaction effects among the components by assessing the deviation between experimental and theoretical weight loss. This revealed the presence of significant synergistic behavior in certain binary and ternary blends. The results demonstrate that co-pyrolysis of bamboo and rice straw with polyethylene enhances thermal decomposition efficiency and provides a more favorable energy recovery route. Full article
(This article belongs to the Topic Biomass for Energy, Chemicals and Materials)
Show Figures

Figure 1

29 pages, 10857 KB  
Article
Improved Mechanical and Thermal Properties of Date Palm Microfiber-Reinforced PCL Biocomposites for Rigid Packaging
by Sakib Hossain Khan, Hom N. Dhakal, Abu Saifullah and Zhongyi Zhang
Molecules 2025, 30(4), 857; https://doi.org/10.3390/molecules30040857 - 13 Feb 2025
Cited by 13 | Viewed by 3187
Abstract
To increase the use of agricultural residues, such as date palm fibers, for the sustainable reinforcement of biocomposites, this study investigated the incorporation of varying weight percentages of date palm microfibers (DPMF) ranging from 0 wt.% to 10 wt.% into polycaprolactone (PCL) matrix. [...] Read more.
To increase the use of agricultural residues, such as date palm fibers, for the sustainable reinforcement of biocomposites, this study investigated the incorporation of varying weight percentages of date palm microfibers (DPMF) ranging from 0 wt.% to 10 wt.% into polycaprolactone (PCL) matrix. Biocomposites were fabricated using a combination of compression molding and dry blending techniques with and without sodium hydroxide (NaOH) alkali treatment. The surface modification was found to increase the surface roughness of the fibers, removing impurities such as lignin, hemicellulose, and wax, while improving crystallinity, as evidenced by FTIR, XRD, TGA, and particle size analyses. Among the different biocomposites investigated, the results for 5 wt.% DPMF content biocomposites exhibited the highest tensile properties: approximately 20% increase in tensile strength and 164% increase in Young’s Modulus in comparison to neat PCL. The crystallinity of the matrix exhibited an increasing trend from approximately 39% for neat PCL to 43% for the 5 wt.% DPMF biocomposites. Furthermore, treated biocomposites demonstrated higher water-repellency behavior and improved thermal properties. Dynamic mechanical analysis (DMA) results indicated enhanced storage moduli for alkali-treated composites; at 35 °C, the storage modulus showed approximately 22% increase compared to the untreated DPMF biocomposites, reflecting improved stiffness and thermomechanical performances. This study highlights the potential of DPMF as an efficient, eco-friendly alternative to fossil-based conventional reinforcement for biocomposite materials’ potential for sustainable rigid packaging applications. Full article
(This article belongs to the Topic Biomass for Energy, Chemicals and Materials)
Show Figures

Graphical abstract

16 pages, 3836 KB  
Article
Fabrication and Characterization of Biopolymers Using Polyvinyl Alcohol and Cardanol-Based Polyols
by Da Hae Lee, Yun Ha Song, Hee Ju Ahn, Jaekyoung Lee and Hee Chul Woo
Molecules 2024, 29(20), 4807; https://doi.org/10.3390/molecules29204807 - 11 Oct 2024
Cited by 8 | Viewed by 2393
Abstract
Biodegradable polymers are getting attention as renewable alternatives to petroleum-based plastics due to their environmental benefits. However, improving their physical properties remains challenging. In this work, biodegradable biopolymers (PVA-PCD) were fabricated by chemically crosslinking petroleum-based polyvinyl alcohol (PVA) with biomass-derived cardanol-based polyols (PCD). [...] Read more.
Biodegradable polymers are getting attention as renewable alternatives to petroleum-based plastics due to their environmental benefits. However, improving their physical properties remains challenging. In this work, biodegradable biopolymers (PVA-PCD) were fabricated by chemically crosslinking petroleum-based polyvinyl alcohol (PVA) with biomass-derived cardanol-based polyols (PCD). Biopolymers were characterized using various techniques, including Fourier-transform infrared (FT-IR), X-ray diffraction (XRD), thermogravimetric analysis (TGA), and swelling tests. Cardanol, the raw material, was converted into polyols via epoxidation followed by hydroxylation. FT-IR analysis confirmed that PVA-PCD biopolymers were crosslinked between the hydroxyl groups of PVA and PCD and the aldehydes of crosslinker glutaraldehyde (GLU), accompanied by the formation of acetal groups with ether bridges. XRD showed that the crystallinity of crosslinked polymers decreased, indicating that crosslinking occurs disorderly. TGA exhibited that GLU significantly improved the thermal stabilities of PVA and PCD-PVA polymers, as evidenced by increased decomposition temperatures. On the other hand, the effect of PVA/PCD ratios was minor on biopolymers’ thermal stabilities. Swelling tests revealed that increased crosslinking density decreased the swelling ratio, suggesting that PVA-PCD biopolymers become more hydrophobic with high brittleness, high strength, and low swelling capacity. In summary, this study demonstrates that PVA-PCD biopolymers fabricated from biomass-derived materials have potential for various applications, such as biodegradable materials and sustainable packaging. Full article
(This article belongs to the Topic Biomass for Energy, Chemicals and Materials)
Show Figures

Graphical abstract

42 pages, 11308 KB  
Review
Upgrading of Pyrolysis Bio-Oil by Catalytic Hydrodeoxygenation, a Review Focused on Catalysts, Model Molecules, Deactivation, and Reaction Routes
by Alejandra Carrasco Díaz, Lokmane Abdelouahed, Nicolas Brodu, Vicente Montes-Jiménez and Bechara Taouk
Molecules 2024, 29(18), 4325; https://doi.org/10.3390/molecules29184325 - 12 Sep 2024
Cited by 24 | Viewed by 11229
Abstract
Biomass can be converted into energy/fuel by different techniques, such as pyrolysis, gasification, and others. In the case of pyrolysis, biomass can be converted into a crude bio-oil around 50–75% yield. However, the direct use of this crude bio-oil is impractical due to [...] Read more.
Biomass can be converted into energy/fuel by different techniques, such as pyrolysis, gasification, and others. In the case of pyrolysis, biomass can be converted into a crude bio-oil around 50–75% yield. However, the direct use of this crude bio-oil is impractical due to its high content of oxygenated compounds, which provide inferior properties compared to those of fossil-derived bio-oil, such as petroleum. Consequently, bio-oil needs to be upgraded by physical processes (filtration, emulsification, among others) and/or chemical processes (esterification, cracking, hydrodeoxygenation, among others). In contrast, hydrodeoxygenation (HDO) can effectively increase the calorific value and improve the acidity and viscosity of bio-oils through reaction pathways such as cracking, decarbonylation, decarboxylation, hydrocracking, hydrodeoxygenation, and hydrogenation, where catalysts play a crucial role. This article first focuses on the general aspects of biomass, subsequent bio-oil production, its properties, and the various methods of upgrading pyrolytic bio-oil to improve its calorific value, pH, viscosity, degree of deoxygenation (DOD), and other attributes. Secondly, particular emphasis is placed on the process of converting model molecules and bio-oil via HDO using catalysts based on nickel and nickel combined with other active elements. Through these phases, readers can gain a deeper understanding of the HDO process and the reaction mechanisms involved. Finally, the different equipment used to obtain an improved HDO product from bio-oil is discussed, providing valuable insights for the practical application of this reaction in pyrolysis bio-oil production. Full article
(This article belongs to the Topic Biomass for Energy, Chemicals and Materials)
Show Figures

Figure 1

31 pages, 5843 KB  
Review
Recent Advances in Characterization and Valorization of Lignin and Its Value-Added Products: Challenges and Future Perspectives
by Shehbaz Ali, Abida Rani, Mudasir A. Dar, Muther Mansoor Qaisrani, Muhammad Noman, Kamaraj Yoganathan, Muhammad Asad, Ashenafi Berhanu, Mukul Barwant and Daochen Zhu
Biomass 2024, 4(3), 947-977; https://doi.org/10.3390/biomass4030053 - 2 Sep 2024
Cited by 51 | Viewed by 13915
Abstract
Lignin, the earth’s second-most abundant biopolymer after cellulose, has long been relegated to low-value byproducts in the pulp and paper industry. However, recent advancements in valorization are transforming lignin into a sustainable and versatile feedstock for producing high-value biofuels, bioplastics, and specialty chemicals. [...] Read more.
Lignin, the earth’s second-most abundant biopolymer after cellulose, has long been relegated to low-value byproducts in the pulp and paper industry. However, recent advancements in valorization are transforming lignin into a sustainable and versatile feedstock for producing high-value biofuels, bioplastics, and specialty chemicals. This review explores the conversion of lignin’s complex structure, composed of syringyl (S), guaiacyl (G), and p-hydroxyphenyl (H) units, into value-added products. We critically assess various biochemical and analytical techniques employed for comprehensive lignin characterization. Additionally, we explore strategies for lignin upgrading and functionalization to enhance its suitability for advanced biomaterials. The review emphasizes key areas of lignin valorization, including catalytic depolymerization methods, along with the associated challenges and advancements. We discuss its potential as a feedstock for diverse products such as biofuels, bioplastics, carbon fibers, adhesives, and phenolic compounds. Furthermore, the review briefly explores lignin’s inherent properties as a UV protectant and antioxidant, alongside its potential for incorporation into polymer blends and composites. By presenting recent advancements and case studies from the literature, this review highlights the significant economic and environmental benefits of lignin valorization, including waste reduction, lower greenhouse gas emissions, and decreased reliance on non-renewable resources. Finally, we address future perspectives and challenges associated with achieving large-scale, techno-economically feasible, and environmentally sustainable lignin valorization. Full article
(This article belongs to the Topic Biomass for Energy, Chemicals and Materials)
Show Figures

Figure 1

20 pages, 5453 KB  
Article
Influence of Synthesis Conditions on Catalytic Performance of Ni/CeO2 in Aqueous-Phase Hydrogenolysis of Glycerol without External Hydrogen Input
by Clara Jarauta-Córdoba, Lucía García, Joaquín Ruiz, Miriam Oliva and Jesús Arauzo
Molecules 2024, 29(16), 3797; https://doi.org/10.3390/molecules29163797 - 10 Aug 2024
Cited by 2 | Viewed by 1610
Abstract
The aqueous-phase hydrogenolysis of glycerol was studied in Ni/CeO2 catalytic systems prepared by incipient wetness impregnation. The operating conditions were 34 bar, 227 ºC, 5 wt.% of glycerol, and a W/mglycerol = 20 g catalyst min/g glycerol without a hydrogen supply. [...] Read more.
The aqueous-phase hydrogenolysis of glycerol was studied in Ni/CeO2 catalytic systems prepared by incipient wetness impregnation. The operating conditions were 34 bar, 227 ºC, 5 wt.% of glycerol, and a W/mglycerol = 20 g catalyst min/g glycerol without a hydrogen supply. The effect of the catalyst preparation conditions on the catalytic activity and physicochemical properties of the catalysts was assessed, particularly the calcination temperature of the support, the calcination temperature of the catalyst, and the Ni content. The physicochemical properties of the catalysts were determined by N2 adsorption, H2-TPR, NH3-TPD, and XRD, among other techniques. A relevant increase in acidity was observed when increasing the nickel content up to 20 wt.%. The increase in the calcination temperatures of the supports and catalysts showed a detrimental effect on the specific surface area and acid properties of the catalysts, which were crucial to the selectivity of the reaction. These catalysts notably enhanced the yield of liquid products, achieving global glycerol conversion values ranging from 17.1 to 29.0% and carbon yield to liquids ranging from 12.6 to 24.0%. Acetol and 1,2-propanediol were the most abundant products obtained in the liquid stream. Full article
(This article belongs to the Topic Biomass for Energy, Chemicals and Materials)
Show Figures

Figure 1

15 pages, 3526 KB  
Article
Plasma Modification of Biomass-Based Starfish Catalysts for Efficient Biodiesel Synthesis
by Sungho Lee, Jeyoung Ha and Oi Lun Li
Nanomaterials 2024, 14(15), 1313; https://doi.org/10.3390/nano14151313 - 4 Aug 2024
Cited by 2 | Viewed by 2178
Abstract
This study investigated biodiesel production via the transesterification of grapeseed oil with plasma-modified biomass-based catalysts originating from starfish. Dried starfish was first converted into magnesium and calcium oxide through heat treatment and then further modified by plasma engineering to improve the catalyst’s surface [...] Read more.
This study investigated biodiesel production via the transesterification of grapeseed oil with plasma-modified biomass-based catalysts originating from starfish. Dried starfish was first converted into magnesium and calcium oxide through heat treatment and then further modified by plasma engineering to improve the catalyst’s surface area and active sites via zinc addition. The Zn content was added via plasma engineering in the ratios of starfish (Mg0.1Ca0.9CO3): ZnO varying from 5:1, 10:1, to 20:1. The structure and morphology of the catalyst were confirmed through XRD, SEM, and XPS analysis. After the Zn addition and activation process, the surface area and the basicity of the synthesized catalysts were increased. The plasma-modified catalyst showed the highest basicity at the ratio of 10:1. Based on HPLC analyses, the optimized biodiesel yield in transesterification demonstrated 97.7% in fatty acid conversion, and its catalytic performance maintained 93.2% even after three repeated runs. Full article
(This article belongs to the Topic Biomass for Energy, Chemicals and Materials)
Show Figures

Figure 1

18 pages, 924 KB  
Article
The Effect of Technological Conditions on ABE Fermentation and Butanol Production of Rye Straw and the Composition of Volatile Compounds
by Wojciech Dziemianowicz, Katarzyna Kotarska and Anna Świerczyńska
Molecules 2024, 29(14), 3398; https://doi.org/10.3390/molecules29143398 - 19 Jul 2024
Cited by 3 | Viewed by 2971
Abstract
The objective of this study was to evaluate the effect of pretreatment and different technological conditions on the course of ABE fermentation of rye straw (RS) and the composition of volatile compounds in the distillates obtained. The highest concentration of ABE and butanol [...] Read more.
The objective of this study was to evaluate the effect of pretreatment and different technological conditions on the course of ABE fermentation of rye straw (RS) and the composition of volatile compounds in the distillates obtained. The highest concentration of ABE and butanol was obtained from the fermentation of pretreated rye straw by alkaline hydrolysis followed by detoxification and enzymatic hydrolysis. After 72 h of fermentation, the maximum butanol concentration, productivity, and yield from RS were 16.11 g/L, 0.224 g/L/h, and 0.402 g/g, respectively. Three different methods to produce butanol were tested: the two-step process (SHF), the simultaneous process (SSF), and simultaneous saccharification with ABE fermentation (consolidation SHF/SSF). The SHF/SSF process observed that ABE concentration (21.28 g/L) was higher than in the SSF (20.03 g/L) and lower compared with the SHF (22.21 g/L). The effect of the detoxification process and various ABE fermentation technologies on the composition of volatile compounds formed during fermentation and distillation were analyzed. Full article
(This article belongs to the Topic Biomass for Energy, Chemicals and Materials)
Show Figures

Figure 1

19 pages, 5124 KB  
Article
Preparation and Properties of Composite Double-Network Gel for Inhibiting Coal Spontaneous Combustion
by Jianguo Wang, Zhenzhen Zhang, Wen Fu and Yifan Zhao
Molecules 2024, 29(14), 3365; https://doi.org/10.3390/molecules29143365 - 17 Jul 2024
Cited by 1 | Viewed by 1844
Abstract
In order to improve the inhibition effect of gel on coal spontaneous combustion, a chitosan (CS)/polyacrylamide (PAM)/metal ion (Al3+) composite double-network gel was developed in this study. The optimum formula of the composite double-network gel was determined using orthogonal experimentation. [...] Read more.
In order to improve the inhibition effect of gel on coal spontaneous combustion, a chitosan (CS)/polyacrylamide (PAM)/metal ion (Al3+) composite double-network gel was developed in this study. The optimum formula of the composite double-network gel was determined using orthogonal experimentation. The microstructure, water retention, compressibility, and anti-destruction properties of the composite double-network gel were analyzed. The inhibition effect of the composite double-network gel on coal spontaneous combustion was studied via infrared spectroscopy and a synchronous thermal analyzer from the micro and macro perspectives. The results show that the composite double-network gel has a denser interpenetrating double-network structure and a larger void ratio than the ordinary gel. The water retention rate was 55% after standing at 150 °C for 12 h. The deformation memory ratio of the composite double-network gel was 78%, which was 26.8% higher than that of the ordinary gel, and the compressive strength also increased by 59.96%. In addition, the critical temperature point and the maximum thermal weight-loss rate temperature point decreased by 7.01 °C and 39.62 °C, respectively, and the composite double-network gel effectively reduced active functional groups in the treated coal sample, such as hydroxyl and aliphatic hydrocarbons. In this study, a CS/PAM/Al3+ composite double-network gel was produced, which exhibited good gel performance and inhibition effects, with physical effects such as the covering, wetting, and cementation of coal. Full article
(This article belongs to the Topic Biomass for Energy, Chemicals and Materials)
Show Figures

Figure 1

44 pages, 3718 KB  
Review
Integration of Digestate-Derived Biochar into the Anaerobic Digestion Process through Circular Economic and Environmental Approaches—A Review
by Mohamed Zbair, Lionel Limousy, Méghane Drané, Charlotte Richard, Marine Juge, Quentin Aemig, Eric Trably, Renaud Escudié, Christine Peyrelasse and Simona Bennici
Materials 2024, 17(14), 3527; https://doi.org/10.3390/ma17143527 - 16 Jul 2024
Cited by 15 | Viewed by 5860
Abstract
The growing energy consumption and the need for a circular economy have driven considerable interest in the anaerobic digestion (AD) of organic waste, offering potential solutions through biogas and digestate production. AD processes not only have the capability to reduce greenhouse gas emissions [...] Read more.
The growing energy consumption and the need for a circular economy have driven considerable interest in the anaerobic digestion (AD) of organic waste, offering potential solutions through biogas and digestate production. AD processes not only have the capability to reduce greenhouse gas emissions but also contribute to the production of renewable methane. This comprehensive review aims to consolidate prior research on AD involving different feedstocks. The principles of AD are explored and discussed, including both chemical and biological pathways and the microorganisms involved at each stage. Additionally, key variables influencing system performance, such as temperature, pH, and C/N ratio are also discussed. Various pretreatment strategies applied to enhance biogas generation from organic waste in AD are also reviewed. Furthermore, this review examines the conversion of generated digestate into biochar through pyrolysis and its utilization to improve AD performance. The addition of biochar has demonstrated its efficacy in enhancing metabolic processes, microorganisms (activity and community), and buffering capacity, facilitating Direct Interspecies Electron Transfer (DIET), and boosting CH4 production. Biochar also exhibits the ability to capture undesirable components, including CO2, H2S, NH3, and siloxanes. The integration of digestate-derived biochar into the circular economy framework emerges as a vital role in closing the material flow loop. Additionally, the review discusses the environmental benefits derived from coupling AD with pyrolysis processes, drawing on life cycle assessment investigations. Techno-economic assessment (TEA) studies of the integrated processes are also discussed, with an acknowledgment of the need for further TEA to validate the viability of integrating the biochar industry. Furthermore, this survey examines the techno-economic and environmental impacts of biochar production itself and its potential application in AD for biogas generation, aiming to establish a more cost-effective and sustainable integrated system. Full article
(This article belongs to the Topic Biomass for Energy, Chemicals and Materials)
Show Figures

Graphical abstract

16 pages, 953 KB  
Review
The Impact of Various Factors on Long-Term Storage of Biodiesel and Its Prevention: A Review
by Wenbo Ai, Haeng Muk Cho and Md. Iqbal Mahmud
Energies 2024, 17(14), 3449; https://doi.org/10.3390/en17143449 - 13 Jul 2024
Cited by 17 | Viewed by 4113
Abstract
With the continuous growth of global energy demand and increasingly prominent environmental issues, the research and utilization of renewable energy as a substitute for traditional fossil fuels have gained significant importance. Biofuels, recognized as a key renewable energy source, are widely considered a [...] Read more.
With the continuous growth of global energy demand and increasingly prominent environmental issues, the research and utilization of renewable energy as a substitute for traditional fossil fuels have gained significant importance. Biofuels, recognized as a key renewable energy source, are widely considered a viable alternative to fossil fuels. The primary component of biodiesel is fatty acid methyl esters (FAMEs), which are prone to oxidative degradation due to their unsaturated nature during storage and transportation. Various studies have identified several factors influencing the stability of biodiesel, including oxygen, temperature, light, water content, microbial growth, and the corrosion of metal storage tanks. This article provides a comprehensive summary of the effects of different environmental factors on the storage stability of biodiesel and explores the interrelationships between these factors. To enhance the storage stability of biodiesel, several strategies have been proposed, such as optimizing production processes, adding antioxidants, controlling storage environments, and conducting regular inspections. This review aims to provide a theoretical basis for the long-term storage of biodiesel and promote its widespread application in practical scenarios. Full article
(This article belongs to the Topic Biomass for Energy, Chemicals and Materials)
Show Figures

Figure 1

13 pages, 2585 KB  
Article
Thermal Decomposition of Bio-Based Plastic Materials
by Inés Oliver, Juan A. Conesa and Andres Fullana
Molecules 2024, 29(13), 3195; https://doi.org/10.3390/molecules29133195 - 5 Jul 2024
Cited by 7 | Viewed by 4620
Abstract
This research delves into a detailed exploration of the thermal decomposition behavior of bio-based polymers, specifically thermoplastic starch (TPS) and polylactic acid (PLA), under varying heating rates in a nitrogen atmosphere. This study employs thermogravimetry (TG) to investigate, providing comprehensive insights into the [...] Read more.
This research delves into a detailed exploration of the thermal decomposition behavior of bio-based polymers, specifically thermoplastic starch (TPS) and polylactic acid (PLA), under varying heating rates in a nitrogen atmosphere. This study employs thermogravimetry (TG) to investigate, providing comprehensive insights into the thermal stability of these eco-friendly polymers. In particular, the TPS kinetic model is examined, encompassing the decomposition of three distinct fractions. In contrast, PLA exhibits a simplified kinetic behavior requiring only a fraction described by a zero-order model. The kinetic study involves a systematic investigation into the individual contributions of key components within TPS, including starch, glycerin, and polyvinyl alcohol (PVA). This detailed analysis contributes to a comprehensive understanding of the thermal degradation process of TPS and PLA, enabling the optimization of processing conditions and the prediction of material behavior across varying thermal environments. Furthermore, the incorporation of different starch sources and calcium carbonate additives in TPS enhances our understanding of the polymer’s thermal stability, offering insights into potential applications in diverse industries. Full article
(This article belongs to the Topic Biomass for Energy, Chemicals and Materials)
Show Figures

Figure 1

16 pages, 2855 KB  
Article
Effects of Process Variables on Physico-Mechanical Properties of Abura (Mitrogyna ciliata) Sawdust Briquettes
by Joseph Ifeolu Orisaleye, Simeon Olatayo Jekayinfa, Adebayo Adeyemi Ogundare, Mojirade Rashidat Shittu, Oluwatomiwa Olalekan Akinola and Kazeem Olabisi Odesanya
Biomass 2024, 4(3), 671-686; https://doi.org/10.3390/biomass4030037 - 1 Jul 2024
Cited by 6 | Viewed by 2671
Abstract
Efficient utilization of biomass requires conversion into forms that can be optimally applied in energy generation. Briquetting involves the compaction of biomass into solid blocks that are more efficient than raw biomass, and provides ease of transport and handling. These are improved when [...] Read more.
Efficient utilization of biomass requires conversion into forms that can be optimally applied in energy generation. Briquetting involves the compaction of biomass into solid blocks that are more efficient than raw biomass, and provides ease of transport and handling. These are improved when the briquettes possess a high density, shatter index, and compressive strength. Due to differences in nature and composition, it is imperative to define optimum conditions for the production of quality and durable briquettes for individual biomasses that are compacted into briquettes. This study investigated the effects of process variables on the strength, durability, and density of biomass briquettes produced using Abura sawdust. The lateral compressive strength and drop shatter index were investigated whilst varying the temperature (100–150 °C), pressure (9–15 MPa), and hold time (15–30 min). The compressive strength ranged between 2.06 and 5.15 MPa, whilst the shatter index was between 50 and 600. Briquette density was between 518.8 and 822.9 kg/m3. The pressure was significant to the determination of the compressive strength (p < 0.1) and the shatter index (p < 0.05). The pressure, temperature, and hold time are significant to the briquette density. Physical and mechanical characteristics of the binderless Abura sawdust briquettes can be improved by optimizing the densification variables during the briquetting process when moderate pressures are used for compaction. Full article
(This article belongs to the Topic Biomass for Energy, Chemicals and Materials)
Show Figures

Figure 1

11 pages, 610 KB  
Article
Cropping Flax for Grain and Fiber: A Case-Study from Italy
by Piernicola Masella, Giulia Angeloni and Incoronata Galasso
Biomass 2024, 4(2), 599-609; https://doi.org/10.3390/biomass4020032 - 6 Jun 2024
Cited by 1 | Viewed by 2445
Abstract
Flax (Linum usitatissimum L.) can be grown both as an oil crop and as a fiber crop, and this offers new opportunities when included in the framework of a whole-crop biorefinery, a system in which a range of products are made from [...] Read more.
Flax (Linum usitatissimum L.) can be grown both as an oil crop and as a fiber crop, and this offers new opportunities when included in the framework of a whole-crop biorefinery, a system in which a range of products are made from portions of grain and straw and in which both of these should be satisfactorily produced. In the present experiment, the effect of flax genotypes (7 varieties), cultivation sites (two locations) and seasons (two years) were tested with a standard randomized complete block design, in search of a compromise for the production performance for both grain and straw, with the aim of reintroducing flax back into the northern Italian environment. Overall, grain yield reaches an average value of about 1.4 t ha−1 (dw), while straw yield reaches 2.77 t ha−1 (dw). The former is strictly dependent on the environmental effects of the growing site and season, while the effect of genotype was not significant. The straw yield also depends on the second-order interaction of the factors analyzed, although the performance of three varieties, Festival, Solal and Linoal, was noteworthy and seemed to respond well in both environments. Overall, it was found that flax can be conveniently grown for both grain and straw production. Full article
(This article belongs to the Topic Biomass for Energy, Chemicals and Materials)
Show Figures

Figure 1

14 pages, 2091 KB  
Article
Evaluation of Biogas Production from Swine Manure Using a UASB Reactor (Upflow Anaerobic Sludge Blanket) with Long-Term Operation
by Ana Marcela Mosquera, Juan Martín Delgado, Aura Alexandra Ramón, Juan Esteban Vásquez and Mariana Peñuela
Energies 2024, 17(11), 2723; https://doi.org/10.3390/en17112723 - 3 Jun 2024
Cited by 6 | Viewed by 4439
Abstract
To meet Colombia’s energy needs by 2050, a total installed capacity of 42 MW across its power generation infrastructure is required. To achieve this, transitioning to cleaner energy sources, such as biomass—a non-conventional renewable energy—is necessary. Biomass is a promising renewable source for [...] Read more.
To meet Colombia’s energy needs by 2050, a total installed capacity of 42 MW across its power generation infrastructure is required. To achieve this, transitioning to cleaner energy sources, such as biomass—a non-conventional renewable energy—is necessary. Biomass is a promising renewable source for thermal and electrical energy production. This study researched the production of biogas from swine manure using a UASB reactor to valorize this waste. Swine manure was collected every 20 days from a pig farm with a capacity of 200 sows, located in Santa Rosa de Osos, Antioquia. The flow rate was increased three times (1.30 L d−1, 1.62 L d−1, and 2.08 L d−1) to reduce the hydraulic retention time (HRT) and enhance biogas production. The volatile and total solids, chemical oxygen demand (COD), alkalinity, and biogas composition were measured over one year. The proposed system achieved 87.40% COD remotion from the feed stream and generated a yield of 507 mLCH4 gVS−1, with an HRT of 19 days and an OLR of 4.27 gCOD L−1 d−1. The reactor produced biogas with a CH4 content of 67.7%, CO2 content of 18.1%, and H2S content of 1413 ppm. This study highlights the effectiveness of the UASB reactor for biogas production using swine manure as a substrate. Full article
(This article belongs to the Topic Biomass for Energy, Chemicals and Materials)
Show Figures

Figure 1

18 pages, 4206 KB  
Article
One-Step Hydrothermal/Solvothermal Preparation of Pt/TiO2: An Efficient Catalyst for Biobutanol Oxidation at Room Temperature
by Lijun Lei, Qianyue Cao, Jiachen Ma and Fengxiao Hou
Molecules 2024, 29(7), 1450; https://doi.org/10.3390/molecules29071450 - 24 Mar 2024
Cited by 5 | Viewed by 2755
Abstract
The selective oxidation of biobutanol to prepare butyric acid is an important conversion process, but the preparation of low-temperature and efficient catalysts for butanol oxidation is currently a bottleneck problem. In this work, we prepared Pt-TiO2 catalysts with different Pt particle sizes [...] Read more.
The selective oxidation of biobutanol to prepare butyric acid is an important conversion process, but the preparation of low-temperature and efficient catalysts for butanol oxidation is currently a bottleneck problem. In this work, we prepared Pt-TiO2 catalysts with different Pt particle sizes using a simple one-step hydrothermal/solvothermal method. Transmission electron microscopy and X-ray diffraction results showed that the average size of the Pt particles ranged from 1.1 nm to 8.7 nm. Among them, Pt-TiO2 with an average particle size of 3.6 nm exhibited the best catalytic performance for biobutanol. It was capable of almost completely converting butanol, even at room temperature (30 °C), with a 98.9% biobutanol conversion, 98.4% butyric acid selectivity, and a turnover frequency (TOF) of 36 h−1. Increasing the reaction temperature to 80 and 90 °C, the corresponding TOFs increased rapidly to 355 and 619 h−1. The relationship between the electronic structure of Pt and its oxidative performance suggests that the synergistic effect of the dual sites, Pt0 and Pt2+, could be the primary factor contributing to its elevated reactivity. Full article
(This article belongs to the Topic Biomass for Energy, Chemicals and Materials)
Show Figures

Graphical abstract

11 pages, 4907 KB  
Article
Molecular Dynamics Simulations of Thermal Transport of Carbon Nanotube Interfaces
by Shijun Zhou, Shan Qing, Xiaohui Zhang, Haoming Huang and Menglin Hou
Energies 2024, 17(6), 1506; https://doi.org/10.3390/en17061506 - 21 Mar 2024
Cited by 2 | Viewed by 2894
Abstract
In this paper, non-equilibrium molecular dynamics simulations are used to study the interfacial heat exchange capacity of one-dimensional carbon nanotube nested structures. When the radius of the CNT substrate is increased from 1.356 to 2.712 nm, the ITC has a great enhancement from [...] Read more.
In this paper, non-equilibrium molecular dynamics simulations are used to study the interfacial heat exchange capacity of one-dimensional carbon nanotube nested structures. When the radius of the CNT substrate is increased from 1.356 to 2.712 nm, the ITC has a great enhancement from 1.340 to 2.949 nw/k. After this, we investigate the effects of overlap length, CNT length, and van der Waals interaction strength on the thermal resistance of the interface between carbon nanotubes. Firstly, we found that the nesting depth can significantly increase the ITC, and the increase in ITC is more obvious at an overlap length of 40 Å than at 30 Å. After this, the effect of length on the interfacial thermal conductivity is investigated, and the interfacial thermal conductivity is enhanced by 33.8% when the length is increased to 30 nm. Finally, the effect of van der Waals interaction strength was investigated, and the ITC increased from 1.60 nW/K to 2.71 nW/K when the scale factor was increased from 1 to 2. Full article
(This article belongs to the Topic Biomass for Energy, Chemicals and Materials)
Show Figures

Figure 1

32 pages, 5432 KB  
Review
An Updated Review of Recent Applications and Perspectives of Hydrogen Production from Biomass by Fermentation: A Comprehensive Analysis
by Dayana Nascimento Dari, Isabelly Silveira Freitas, Francisco Izaias da Silva Aires, Rafael Leandro Fernandes Melo, Kaiany Moreira dos Santos, Patrick da Silva Sousa, Paulo Gonçalves de Sousa Junior, Antônio Luthierre Gama Cavalcante, Francisco Simão Neto, Jessica Lopes da Silva, Érico Carlos de Castro, Valdilane Santos Alexandre, Ana M. da S. Lima, Juliana de França Serpa, Maria C. M. de Souza and José C. S. dos Santos
Biomass 2024, 4(1), 132-163; https://doi.org/10.3390/biomass4010007 - 1 Mar 2024
Cited by 32 | Viewed by 7878
Abstract
Fermentation is an oxygen-free biological process that produces hydrogen, a clean, renewable energy source with the potential to power a low-carbon economy. Bibliometric analysis is crucial in academic research to evaluate scientific production, identify trends and contributors, and map the development of a [...] Read more.
Fermentation is an oxygen-free biological process that produces hydrogen, a clean, renewable energy source with the potential to power a low-carbon economy. Bibliometric analysis is crucial in academic research to evaluate scientific production, identify trends and contributors, and map the development of a field, providing valuable information to guide researchers and promote scientific innovation. This review provides an advanced bibliometric analysis and a future perspective on fermentation for hydrogen production. By searching WoS, we evaluated and refined 62,087 articles to 4493 articles. This allowed us to identify the most important journals, countries, institutions, and authors in the field. In addition, the ten most cited articles and the dominant research areas were identified. A keyword analysis revealed five research clusters that illustrate where research is progressing. The outlook indicates that a deeper understanding of microbiology and support from energy policy will drive the development of hydrogen from fermentation. Full article
(This article belongs to the Topic Biomass for Energy, Chemicals and Materials)
Show Figures

Graphical abstract

Back to TopTop