Upgrading of Pyrolysis Bio-Oil by Catalytic Hydrodeoxygenation, a Review Focused on Catalysts, Model Molecules, Deactivation, and Reaction Routes
Abstract
1. Introduction
2. Biomass as Renewable Energy Source
Fast Pyrolysis: Pyrolytic Bio-Oil, Composition and Properties
3. Bio-Oil Upgrading Methods
3.1. Emulsification
3.2. Esterification
3.3. Solvent Addition
3.4. Steam Reforming (SR)
3.5. Catalytic Cracking (Zeolite)
3.6. Super Critical Fluids
4. Hydrodeoxygenation
5. Supported Catalyst for the HDO
5.1. Sulfide Catalysts
5.2. Oxide Catalysts
5.3. Transition Metal Catalysts
5.4. Phosphide, Carbide, and Nitride Catalysts
5.5. Ni2P Promoted Catalysts
| Catalysts | Feedstock | T (oC) | P (MPa) | T (h) | Setup | Conversions mol. % | Major Products | Selectivitymol. % | Refs. |
|---|---|---|---|---|---|---|---|---|---|
| Ni2P/SiO2 | M-cresol | 250 | 3 | 1 | Batch | 94.7 | Hydrocarbons | ~96.3 | [83] |
| Ni2P/Zr-SBA-15 | Bio Oil | 330 | 4,5 | 4 | Fixed-bed | 98 | Hydrocarbons | 67.80 | [96] |
| Ni2P/Fe-SBA-15 | Benzofuran | 300 | 3.0 | 7 | Fixed-bed | 91.7 | Hydrocarbons | 83.3 | [97] |
| Ni2P/SiO2 | Furfural | 200 | 0.1 | 2 | Fixed-bed | 90 | Hydrocarbons | ~60 | [98] |
| Ni2P/2D ZSM-5 | Guaiacol | 260 | 4 | 2 | Batch | 78 | Cyclohexane | 95.0 | [99] |
| Ni2P/Al2O3-ZSM-5 | Methyl palmitate | 340 | 2 | - | Continuous reactor | 80.3 | Isoalkanes (i-C15-i-C16) | 62.1 | [100] |
| Ni2P/AC | Waste cooking oil | 300 | 0.1 | ~1 | Continuous reactor | 85 | Hydrocarbons(n-alkanes) | ~60 | [101] |
| Ni2P/MCM-41 | γ-Valerolactone | 350 | 0.5 | 3 | Continuous reactor | ~100.0 | Hydrocarbons (Butane) | 88.0 | [102] |
| Ni2P@C(x) | Phenol | 250 | 2 | 2 | Batch | 100 | Cyclohexane | 100 | [103] |
| PdNi2P/SiO2 | Phenol | 220 | 2 | 3 | Fixed-bed | 100 | Cyclohexane | 98 | [104] |
| Ni2P/HZSM-5 | M-cresol | 200 | 2.5 | 6 | Batch | 97 | Methylcyclohexane | 88 | [86] |
| Ni2P/HZS M-5 | 4-ethylguaiacol | 400 | 0.5 | 8 | Continuous flow reactor | 84 | Hydrocarbons | 65.10 | [25] |
| Ni/HZSM-5&La | Guaiacol | 350 | 2 | 0.83 | Fixed-bed | 97.79 | Hydrocarbons | 61.75 | [105] |
| Ni2P/H-ZSM-5 | Oleic acid | 300 | 5 | 6 | Batch | 65 | Hydrocarbons | 29 | [106] |
| NiP(2:1)/NZ0.5 | PFAD | 350 | 4 | 2 | Fixed-bed | 100 | Hydrocarbons | 93.32 | [107] |
| Ni2P/USYZ | Oleic Acid | 340 | 1 | 1 | Batch | Hydrocarbons | 48 | [108] | |
| Ni2P/ZSM-5 | Blends | 260 | 0.4 | - | Batch | Cyclohexane & Ethane | [109] | ||
| Ni2P/HZSM-22 | Palmitic acid | 350 | 0.1 | 2.5 | Fixed-bed | 99.6 | Hydrocarbons | 42.9 | [110] |
| Ni2P/HZSM | Bio oil | 450 | 0.5 | 1.30 | Fixed-bed | 80 | Hydrocarbons | 28.87 | [25] |
| In-situ Ni2P | Terephthalic acid | 400 | 7 | 6 | Autoclave | 98 | Benzene-toluene-xylene | 100 | [111] |
| Ni2P@C-T | Furfural | 150 | 1 | 4 | Batch | 100 | N-butyl furfufurylamine | 85 | [112] |
| Ni2P@C/FLRC-TiO2 | p-cresol | 275 | 2 | 1.5 | Batch | 100 | 4-methylcyclohexanol | 90.8 | [113] |
6. Hydrodeoxygenation of Model Compounds
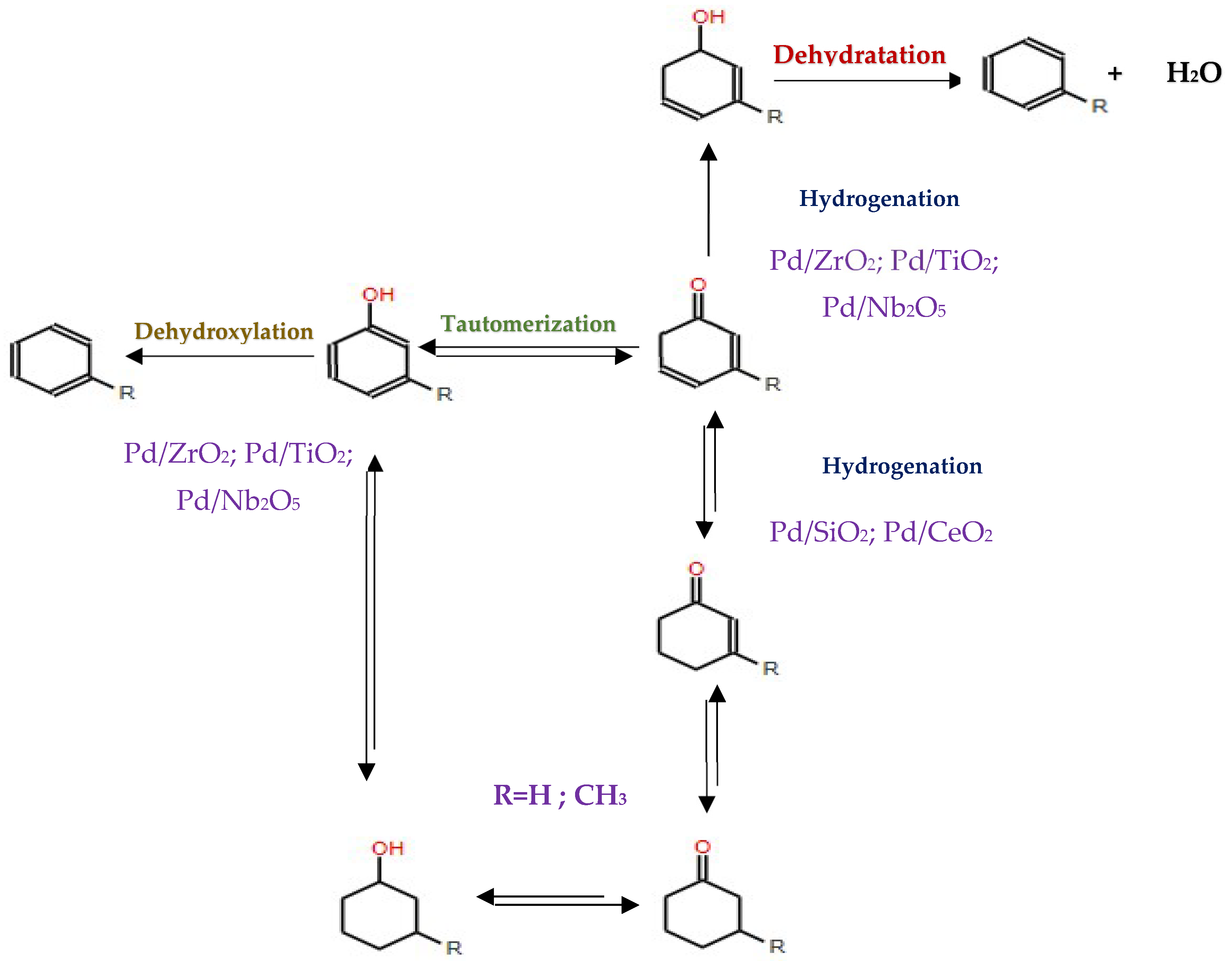
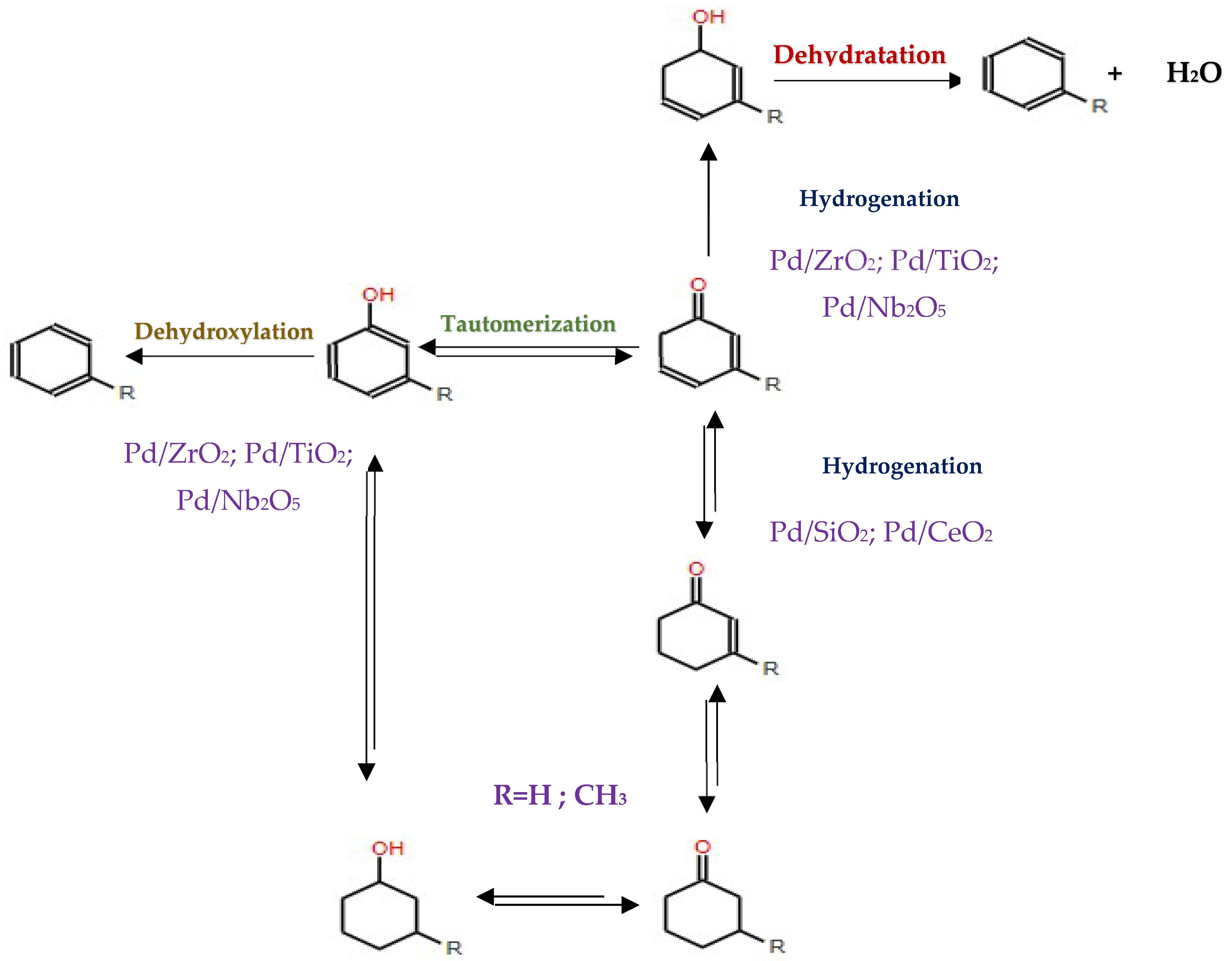
6.1. Hydrodeoxygenation of Phenols and Alkylated Phenols (Guaiacols)
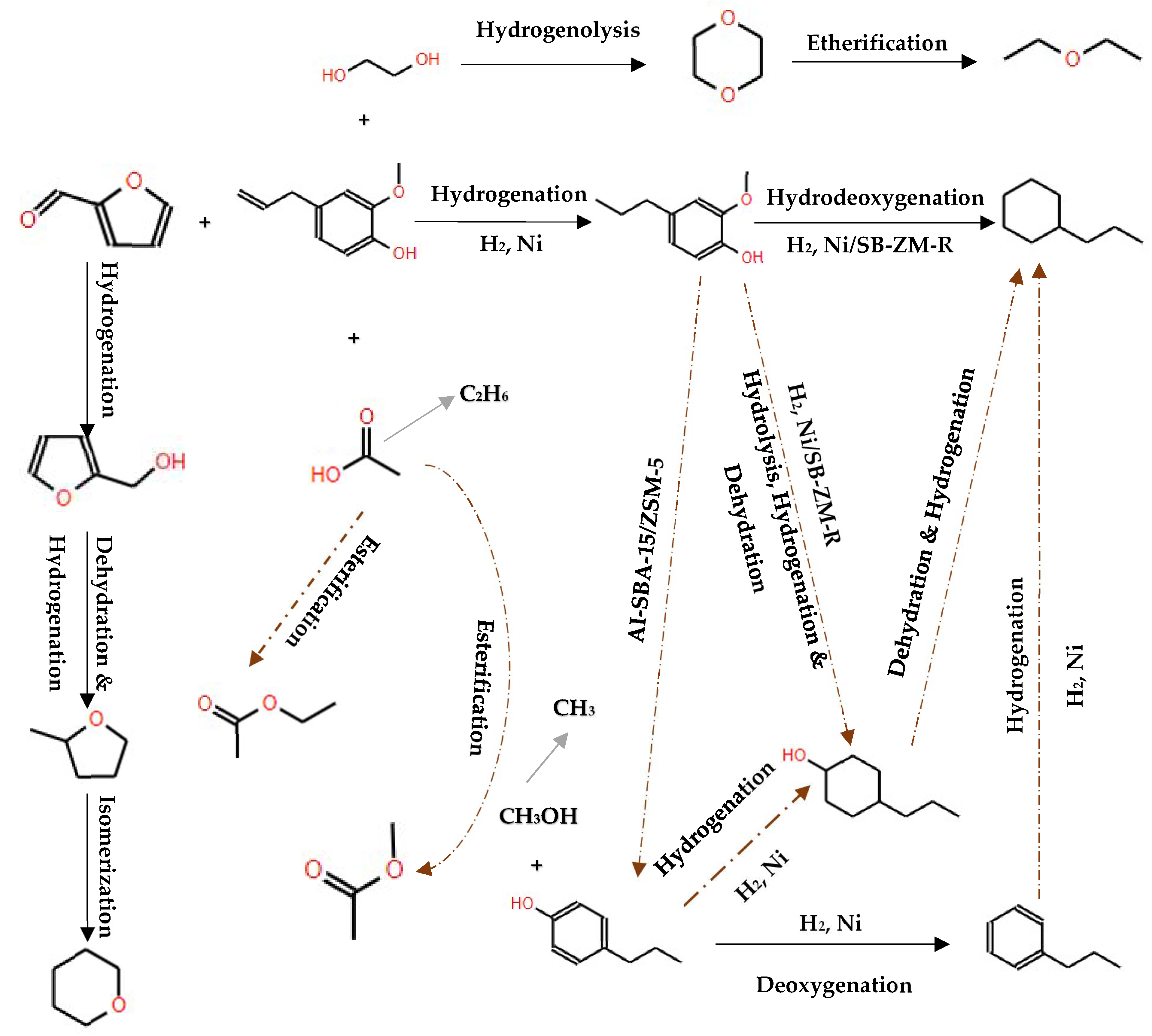
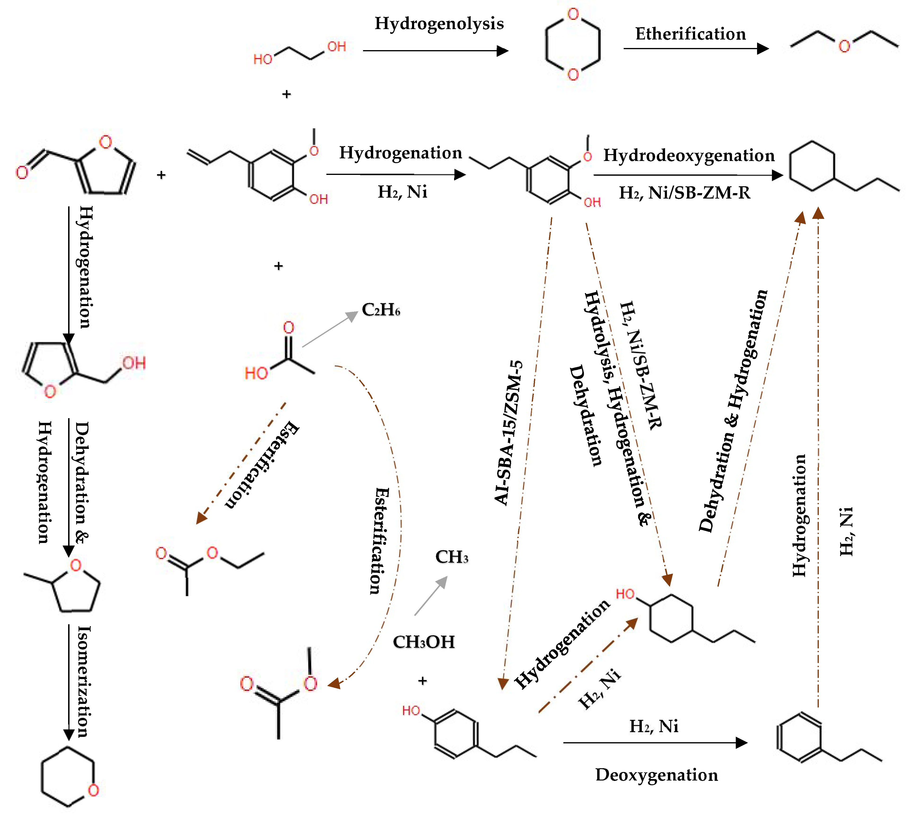
6.2. Hydrodeoxygenation of Ketones, Aldehydes, and Alcohols
6.3. Hydrodeoxygenation of Carboxylic Acids
- (1)
- Ketonization by C-O bond cleavage to generate ketones, and further by hydrogenation to produce alcohols.
- (2)
- Hydrogenolysis by the C-O bond cleavage to yield aldehyde, followed by further hydrogenation to produce alcohols, and then dehydration and hydrogenation to obtain alkane, or the alcohols react with carboxylic acids to form esters.
- (3)
- Decomposition (decarboxylation and decarbonylation) of carboxylic acids by breaking C–C bond to yield alkanes with one less carbon, CO and CO2. Also, CO can be further hydrogenated to methane.
6.4. Hydrodeoxygenation of Carbohydrates
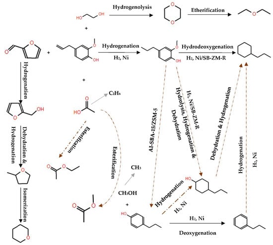
7. Hydrodeoxygenation of Mixtures
Hydrodeoxygenation of Mixtures over Zeolites and Non-Noble Metal Catalysts
8. Vegetal Bio-Oil Hydrodeoxygenation over Zeolites and Non-Noble Metal Catalysts

9. True Bio-Oil Hydrodeoxygenation over Zeolites and Non-Noble Metal Catalysts
10. Catalyst Deactivation
10.1. Deactivation Due to Coking
10.2. Deactivation Due to Sintering
10.3. Deactivation Due to Poisoning
11. Hydrodeoxygenation Set-Up
12. Conclusions
Author Contributions
Funding
Conflicts of Interest
Abbreviations
| ALCC | Aldol crossed condensation |
| ALSC | Aldol Selt-condensation |
| BXT | Benzene, Xylene, Toluene |
| CGE | Carbon gasification efficiency |
| CSO | Camelina oil |
| DBF | Dibenzofuran |
| DDO | Direct deoxygenation |
| DHO | Dehydroxylation |
| DHY | Dehydration |
| DOD | Degree deoxygenation |
| DME | Demethylation |
| DMO | Demethoxylation |
| EEO | Ether extracted bio-oil |
| FAME | Fatty acid methyl ester |
| FPBO | Beech wood fast pyrolysis-oil |
| HBA | Hydrogen bond acceptor |
| HBD | Hydrogen bond donor |
| HDO | Hydrodeoxygenation |
| HDN | Hydrodenitrogenation |
| HGD | Hydrogenolysis |
| HGE | Hydrogen gasification efficiency |
| HHV | High heating value |
| HLB | Hydrophilic-lipophilic balance |
| HMF | 5-(hydroxymethyl)furfural |
| HMTHFA | 5-(hydroxymethyl)tetrahydrofuran-2-carbaldehyde |
| HYD | Hydrogenation |
| LHV | Low heating value |
| MCH | Methylcyclohexane |
| MSW | Municipal solid waste |
| Ni2P | Nickel phosphide |
| OVOCs | Oxygen-containing volatile organic compounds |
| SCF | Supercritical fluid |
| SR | Steam reforming |
| TAN | Total acid number |
| THF | Tetrahydrofuran |
| TPR | Temperature-programmed reaction |
| WHSV | Weight hourly space velocity |
| WGS | Water gas shift |
| TEM | Transmission electron microscopy |
References
- Tshikovhi, A.; Motaung, T.E. Technologies and Innovations for Biomass Energy Production. Sustainability 2023, 15, 12121. [Google Scholar] [CrossRef]
- World Energy Transitions Outlook 2023. Available online: https://www.irena.org/Digital-Report/World-Energy-Transitions-Outlook-2023 (accessed on 19 April 2024).
- The Times ‘Future of Energy’: We Can Humanise Energy, and We Must Do So Urgently. Available online: https://www.worldenergy.org/news-views/entry/the-times-future-of-energy-we-can-humanise-energy-and-we-must-do-so-urgently (accessed on 17 February 2022).
- The Oil and Gas Industry in Energy Transitions—Analysis. Available online: https://www.iea.org/reports/the-oil-and-gas-industry-in-energy-transitions (accessed on 19 April 2024).
- Dale, S. BP Statistical Review of World Energy 2021; BP Plc: London, UK, 2021. [Google Scholar]
- Thomas, A.; Gibb, D.; Murdock, H. Renewables 2021 Global Status Report; REN 21: Paris, France, 2021; Available online: https://www.ren21.net/wp-content/uploads/2019/05/GSR2021_Full_Report.pdf (accessed on 17 February 2022).
- Kaloudas, D.; Pavlova, N.; Penchovsky, R. Lignocellulose, Algal Biomass, Biofuels and Biohydrogen: A Review. Environ. Chem. Lett. 2021, 19, 2809–2824. [Google Scholar] [CrossRef]
- What Is Biomass? Advantages and Disadvantages—Aquae Foundation. Available online: https://www.fundacionaquae.org/wiki/que-es-biomasa/ (accessed on 24 February 2022).
- Bardhan, S.; Gupta, S.; Gorman, M.E.; Haider, A. Biorenewable Chemicals: Feedstocks, Technologies and the Conflict with Food Production. Renew. Sustain. Energy Rev. 2015, 51, 506–520. [Google Scholar] [CrossRef]
- González Rebollar, C. Hidrodesoxigenación de Compuestos Aromáticos Oxigenados Sobre Catalizadores de Metal Precioso Soportado. Doctoral Dissertation, Universidad de Oviedo, Asturias, Spain, 2015. [Google Scholar]
- Barik, D. Chapter 3—Energy Extraction From Toxic Waste Originating From Food Processing Industries. In Energy from Toxic Organic Waste for Heat and Power Generation; Barik, D., Ed.; Woodhead Publishing Series in Energy; Woodhead Publishing: Sawston, UK, 2019; pp. 17–42. ISBN 978-0-08-102528-4. [Google Scholar]
- Nanda, S.; Berruti, F. A Technical Review of Bioenergy and Resource Recovery from Municipal Solid Waste. J. Hazard. Mater. 2021, 403, 123970. [Google Scholar] [CrossRef] [PubMed]
- Bui, V.N.; Laurenti, D.; Delichère, P.; Geantet, C. Hydrodeoxygenation of Guaiacol: Part II: Support Effect for CoMoS Catalysts on HDO Activity and Selectivity. Appl. Catal. B Environ. 2011, 101, 246–255. [Google Scholar] [CrossRef]
- Bridgwater, A. Fast Pyrolysis of Biomass for the Production of Liquids. In Biomass Combustion Science, Technology and Engineering; Woodhead Publishing: Sawston, UK, 2013; pp. 130–171. [Google Scholar] [CrossRef]
- Mohabeer, C.; Abdelouahed, L.; Marcotte, S.; Taouk, B. Comparative Analysis of Pyrolytic Liquid Products of Beech Wood, Flax Shives and Woody Biomass Components. J. Anal. Appl. Pyrolysis 2017, 127, 269–277. [Google Scholar] [CrossRef]
- Oyebanji, J.A.; Okekunle, P.; Lasode, O.; Oyedepo, S. Chemical Composition of Bio-Oils Produced by Fast Pyrolysis of Two Energy Biomass. Biofuels 2017, 9, 479–487. [Google Scholar] [CrossRef]
- Berenguer Ruiz, A.M. Hidrodesoxigenación Catalítica de Bio-Oils de Pirólisis Sobre Fosfuros Metálicos Soportados. Ph.D. Thesis, Universidad Rey Juan Carlos, Madrid, Spain, 2017. [Google Scholar]
- Dimitriadis, A.; Bezergianni, S. Hydrothermal Liquefaction of Various Biomass and Waste Feedstocks for Biocrude Production: A State of the Art Review. Renew. Sustain. Energy Rev. 2017, 68, 113–125. [Google Scholar] [CrossRef]
- Lahijani, P.; Mohammadi, M.; Mohamed, A.R.; Ismail, F.; Lee, K.T.; Amini, G. Upgrading Biomass-Derived Pyrolysis Bio-Oil to Bio-Jet Fuel through Catalytic Cracking and Hydrodeoxygenation: A Review of Recent Progress. Energy Convers. Manag. 2022, 268, 115956. [Google Scholar] [CrossRef]
- Ellens, C.J. Design, Optimization and Evaluation of a Free-Fall Biomass Fast Pyrolysis Reactor and Its Products. Master’s Thesis, Iowa State University, Digital Repository, Ames, Iowa, 2009; p. 2807330. [Google Scholar]
- Panwar, N.L.; Paul, A.S. An Overview of Recent Development in Bio-Oil Upgrading and Separation Techniques. Environ. Eng. Res. 2021, 26, 200382. [Google Scholar] [CrossRef]
- Lyu, G.; Wu, S.; ZhangLyu, G.; Wu, S.; Zhang, H. Estimation and Comparison of Bio-Oil Components from Different Pyrolysis Conditions. Front. Energy Res. 2015, 3, 28. [Google Scholar] [CrossRef]
- Ahamed, T.S.; Anto, S.; Mathimani, T.; Brindhadevi, K.; Pugazhendhi, A. Upgrading of Bio-Oil from Thermochemical Conversion of Various Biomass—Mechanism, Challenges and Opportunities. Fuel 2021, 287, 119329. [Google Scholar] [CrossRef]
- Zhang, M.; Hu, Y.; Wang, H.; Li, H.; Han, X.; Zeng, Y.; Xu, C.C. A Review of Bio-Oil Upgrading by Catalytic Hydrotreatment: Advances, Challenges, and Prospects. Mol. Catal. 2021, 504, 111438. [Google Scholar] [CrossRef]
- Wang, J. Catalytic Hydro-Deoxygenation of Model Molecules and Bio-Oil from Biomass Pyrolysis: Comprehension of Reaction Pathways. Ph.D. Thesis, Normandie Université, Rouen, France, 2021. Available online: https://theses.hal.science/tel-03517330v1/document (accessed on 24 February 2022).
- Martin, J.A.; Mullen, C.A.; Boateng, A.A. Maximizing the Stability of Pyrolysis Oil/Diesel Fuel Emulsions. Energy Fuels 2014, 28, 5918–5929. [Google Scholar] [CrossRef]
- Ikura, M.; Stanciulescu, M.; Hogan, E. Emulsification of Pyrolysis Derived Bio-Oil in Diesel Fuel. Biomass Bioenergy 2003, 24, 221–232. [Google Scholar] [CrossRef]
- Chong, Y.Y.; Thangalazhy-Gopakumar, S.; Ng, H.K.; Ganesan, P.B.; Gan, S.; Lee, L.Y.; Manickavel, V.S.A.R.; Ong, C.M.; Hinai, H.S.R. Emulsification of Bio-Oil and Diesel. Chem. Eng. Trans. 2017, 56, 1801–1806. [Google Scholar]
- Mustan, F.; Politova-Brinkova, N.; Rossetti, D.; Rayment, P.; Tcholakova, S. Oil Soluble Surfactants as Efficient Foam Stabilizers. Colloids Surf. A Physicochem. Eng. Asp. 2022, 633, 127874. [Google Scholar] [CrossRef]
- Sanli, H.; Alptekin, E.; Canakci, M. Using Low Viscosity Micro-Emulsification Fuels Composed of Waste Frying Oil-Diesel Fuel-Higher Bio-Alcohols in a Turbocharged-CRDI Diesel Engine. Fuel 2022, 308, 121966. [Google Scholar] [CrossRef]
- Wang, H.; Liu, J. Emulsification and Corrosivity Study of Bio-Oil and Vacuum Gas Oil Mixtures with a Novel Surfactant System. Fuel 2023, 333, 126460. [Google Scholar] [CrossRef]
- Lim, M.Y.; Stokes, J.R. Lubrication of Non-Ionic Surfactant Stabilised Emulsions in Soft Contacts. Biotribology 2021, 28, 100199. [Google Scholar] [CrossRef]
- Yang, Y.; Jiang, W.; Jiang, J.; Qiu, Q.; Mao, P.; Wu, M.; Zhang, L. Synthesis of Hierarchical ZSM-5 Zeolites Templated by Sodium Alginate toward Enhanced Catalytic Activity for Esterification. J. Solid. State Chem. 2020, 292, 121686. [Google Scholar] [CrossRef]
- Wang, J.; Chang, J.; Fan, J. Catalytic Esterification of Bio-Oil by Ion Exchange Resins. J. Fuel Chem. Technol. 2010, 38, 560–564. [Google Scholar] [CrossRef]
- Chong, Y.Y.; Thangalazhy-Gopakumar, S.; Gan, S.; Lee, L.Y.; Ng, H.K. Esterification and Neutralization of Bio-Oil from Palm Empty Fruit Bunch Fibre with Calcium Oxide. Bioresour. Technol. Rep. 2020, 12, 100560. [Google Scholar] [CrossRef]
- Attia, M.; Farag, S.; Chaouki, J. Upgrading of Oils from Biomass and Waste: Catalytic Hydrodeoxygenation. Catalysts 2020, 10, 1381. [Google Scholar] [CrossRef]
- Prasertpong, P.; Jaroenkhasemmeesuk, C.; Regalbuto, J.R.; Lipp, J.; Tippayawong, N. Optimization of Process Variables for Esterification of Bio-Oil Model Compounds by a Heteropolyacid Catalyst. Energy Rep. 2020, 6, 1–9. [Google Scholar] [CrossRef]
- Oasmaa, A.; Kuoppala, E.; Selin, J.-F.; Gust, S.; Solantausta, Y. Fast Pyrolysis of Forestry Residue and Pine. 4. Improvement of the Product Quality by Solvent Addition. Energy Fuels 2004, 18, 1578–1583. [Google Scholar] [CrossRef]
- Park, L.K.-E.; Ren, S.; Yiacoumi, S.; Ye, X.P.; Borole, A.P.; Tsouris, C. Separation of Switchgrass Bio-Oil by Water/Organic Solvent Addition and PH Adjustment. Energy Fuels 2016, 30, 2164–2173. [Google Scholar] [CrossRef]
- Feng, G.; Liu, Z.; Chen, P.; Lou, H. Influence of Solvent on Upgrading of Phenolic Compounds in Pyrolysis Bio-Oil. RSC Adv. 2014, 4, 49924–49929. [Google Scholar] [CrossRef]
- Abou Rjeily, M.; Gennequin, C.; Pron, H.; Abi-Aad, E.; Randrianalisoa, J.H. Pyrolysis-Catalytic Upgrading of Bio-Oil and Pyrolysis-Catalytic Steam Reforming of Biogas: A Review. Environ. Chem. Lett. 2021, 19, 2825–2872. [Google Scholar] [CrossRef]
- Gollakota, A.R.K.; Shu, C.-M.; Sarangi, P.K.; Shadangi, K.P.; Rakshit, S.; Kennedy, J.F.; Gupta, V.K.; Sharma, M. Catalytic Hydrodeoxygenation of Bio-Oil and Model Compounds—Choice of Catalysts, and Mechanisms. Renew. Sustain. Energy Rev. 2023, 187, 113700. [Google Scholar] [CrossRef]
- Ding, Y.; Cai, Y.; Li, P.; Gu, S.; Song, S.; Guan, J.; Shen, Y.; Han, Y.; He, W. Recyclable Regeneration of NiO/NaF Catalyst: Hydrogen Evolution via Steam Reforming of Oxygen-Containing Volatile Organic Compounds. Energy Convers. Manag. 2022, 258, 115456. [Google Scholar] [CrossRef]
- Douvartzides, S.; Charisiou, N.D.; Wang, W.; Papadakis, V.G.; Polychronopoulou, K.; Goula, M.A. Catalytic Fast Pyrolysis of Agricultural Residues and Dedicated Energy Crops for the Production of High Energy Density Transportation Biofuels. Part I: Chemical Pathways and Bio-Oil Upgrading. Renew. Energy 2022, 185, 483–505. [Google Scholar] [CrossRef]
- Xing, R.; Dagle, V.L.; Flake, M.; Kovarik, L.; Albrecht, K.O.; Deshmane, C.; Dagle, R.A. Steam Reforming of Fast Pyrolysis-Derived Aqueous Phase Oxygenates over Co, Ni, and Rh Metals Supported on MgAl2O4. Catal. Today 2016, 269, 166–174. [Google Scholar] [CrossRef]
- Chaihad, N.; Karnjanakom, S.; Abudula, A.; Guan, G. Zeolite-Based Cracking Catalysts for Bio-Oil Upgrading: A Critical Review. Resour. Chem. Mater. 2022, 1, 167–183. [Google Scholar] [CrossRef]
- Chaihad, N.; Karnjanakom, S.; Kurnia, I.; Yoshida, A.; Abudula, A.; Reubroycharoen, P.; Guan, G. Catalytic Upgrading of Bio-Oils over High Alumina Zeolites. Renew. Energy 2019, 136, 1304–1310. [Google Scholar] [CrossRef]
- Kurnia, I.; Karnjanakom, S.; Bayu, A.; Yoshida, A.; Rizkiana, J.; Prakoso, T.; Abudula, A.; Guan, G. In-Situ Catalytic Upgrading of Bio-Oil Derived from Fast Pyrolysis of Lignin over High Aluminum Zeolites. Fuel Process. Technol. 2017, 167, 730–737. [Google Scholar] [CrossRef]
- Isahak, W.N.R.W.; Hisham, M.W.; Yarmo, M.A.; Hin, T.Y.Y. A Review on Bio-Oil Production from Biomass by Using Pyrolysis Method. Renew. Sustain. Energy Rev. 2012, 16, 5910–5923. [Google Scholar] [CrossRef]
- Kumar, R.; Strezov, V.; Kan, T.; Weldekidan, H.; He, J.; Jahan, S. Investigating the Effect of Mono- and Bimetallic/Zeolite Catalysts on Hydrocarbon Production during Bio-Oil Upgrading from Ex Situ Pyrolysis of Biomass. Energy Fuels 2020, 34, 389–400. [Google Scholar] [CrossRef]
- The Reduction and Control Technology of Tar during Biomass Gasification/Pyrolysis: An Overview. Available online: https://ideas.repec.org/a/eee/rensus/v12y2008i2p397-416.html (accessed on 15 July 2022).
- Duan, P.-G.; Li, S.-C.; Jiao, J.-L.; Wang, F.; Xu, Y.-P. Supercritical Water Gasification of Microalgae over a Two-Component Catalyst Mixture. Sci. Total Environ. 2018, 630, 243–253. [Google Scholar] [CrossRef]
- Chan, Y.H.; Yusup, S.; Quitain, A.T.; Uemura, Y.; Loh, S.K. Fractionation of Pyrolysis Oil via Supercritical Carbon Dioxide Extraction: Optimization Study Using Response Surface Methodology (RSM). Biomass Bioenergy 2017, 107, 155–163. [Google Scholar] [CrossRef]
- Li, W.; Pan, C.; Zhang, Q.; Liu, Z.; Peng, J.; Chen, P.; Lou, H.; Zheng, X. Upgrading of Low-Boiling Fraction of Bio-Oil in Supercritical Methanol and Reaction Network. Bioresour. Technol. 2011, 102, 4884–4889. [Google Scholar] [CrossRef]
- Kazmi, W.W.; Park, J.-Y.; Amini, G.; Lee, I.-G. Upgrading of Esterified Bio-Oil from Waste Coffee Grounds over MgNiMo/Activated Charcoal in Supercritical Ethanol. Fuel Process. Technol. 2023, 250, 107915. [Google Scholar] [CrossRef]
- Lee, J.-H.; Amini, G.; Park, J.-Y.; Lee, I.-G. Supercritical Ethanol-Assisted Catalytic Upgrading of Bio-Tar Using Mesoporous SBA-15 Supported Ni-Based Catalysts. J. Energy Inst. 2024, 114, 101591. [Google Scholar] [CrossRef]
- Prajitno, H.; Insyani, R.; Park, J.; Ryu, C.; Kim, J. Non-Catalytic Upgrading of Fast Pyrolysis Bio-Oil in Supercritical Ethanol and Combustion Behavior of the Upgraded Oil. Appl. Energy 2016, 172, 12–22. [Google Scholar] [CrossRef]
- Zhang, M.; Wang, H.; Han, X.; Zeng, Y.; Xu, C.C. Catalytic HDO of Pyrolysis Oil in Supercritical Ethanol with CoMoP and CoMoW Catalysts Supported on Different Carbon Materials Using Formic Acid as In-Situ Hydrogen Sources. Biomass Bioenergy 2023, 174, 106814. [Google Scholar] [CrossRef]
- Farooq, A.; Shafaghat, H.; Jae, J.; Jung, S.-C.; Park, Y.-K. Enhanced Stability of Bio-Oil and Diesel Fuel Emulsion Using Span 80 and Tween 60 Emulsifiers. J. Environ. Manag. 2019, 231, 694–700. [Google Scholar] [CrossRef]
- Shomal, R.; Zheng, Y. Development of Processes and Catalysts for Biomass to Hydrocarbons at Moderate Conditions: A Comprehensive Review. Nanomaterials 2023, 13, 2845. [Google Scholar] [CrossRef]
- Zhou, M.; Xue, Y.; Ge, F.; Li, J.; Xia, H.; Xu, J.; Zhao, J.; Chen, C.; Jiang, J. MOF-Derived NiM@C Catalysts (M = Co, Mo, La) for in-Situ Hydrogenation/Hydrodeoxygenation of Lignin-Derived Phenols to Cycloalkanes/Cyclohexanol. Fuel 2022, 329, 125446. [Google Scholar] [CrossRef]
- Schmitt, C.C.; Raffelt, K.; Zimina, A.; Krause, B.; Otto, T.; Rapp, M.; Grunwaldt, J.-D.; Dahmen, N. Hydrotreatment of Fast Pyrolysis Bio-Oil Fractions over Nickel-Based Catalyst. Top. Catal. 2018, 61, 1769–1782. [Google Scholar] [CrossRef]
- Ambursa, M.M.; Juan, J.C.; Yahaya, Y.; Taufiq-Yap, Y.H.; Lin, Y.-C.; Lee, H.V. A Review on Catalytic Hydrodeoxygenation of Lignin to Transportation Fuels by Using Nickel-Based Catalysts. Renew. Sustain. Energy Rev. 2021, 138, 110667. [Google Scholar] [CrossRef]
- Wang, J.; Abdelouahed, L.; Xu, J.; Brodu, N.; Taouk, B. Catalytic Hydrodeoxygenation of Model Bio-Oils Using HZSM-5 and Ni2P/HZM-5 Catalysts: Comprehension of Interaction. Chem. Eng. Technol. 2021, 44, 2126–2138. [Google Scholar] [CrossRef]
- Ranga, C.; Alexiadis, V.I.; Lauwaert, J.; Lødeng, R.; Thybaut, J.W. Effect of Co Incorporation and Support Selection on Deoxygenation Selectivity and Stability of (Co)Mo Catalysts in Anisole HDO. Appl. Catal. A Gen. 2019, 571, 61–70. [Google Scholar] [CrossRef]
- Kumar, A.; Jindal, M.; Maharana, S.; Thallada, B. Lignin Biorefinery: New Horizons in Catalytic Hydrodeoxygenation for the Production of Chemicals. Energy Fuels 2021, 35, 16965–16994. [Google Scholar] [CrossRef]
- Zhu, X.; Lobban, L.L.; Mallinson, R.G.; Resasco, D.E. Bifunctional Transalkylation and Hydrodeoxygenation of Anisole over a Pt/HBeta Catalyst. J. Catal. 2011, 281, 21–29. [Google Scholar] [CrossRef]
- Yan, P.; Mensah, J.; Drewery, M.; Kennedy, E.; Maschmeyer, T.; Stockenhuber, M. Role of Metal Support during Ru-Catalysed Hydrodeoxygenation of Biocrude Oil. Appl. Catal. B Environ. 2021, 281, 119470. [Google Scholar] [CrossRef]
- Gutierrez, A.; Kaila, R.K.; Honkela, M.L.; Slioor, R.; Krause, A.O.I. Hydrodeoxygenation of Guaiacol on Noble Metal Catalysts. Catal. Today 2009, 147, 239–246. [Google Scholar] [CrossRef]
- Vutolkina, A.V.; Baigildin, I.G.; Glotov, A.P.; Pimerzin, A.A.; Akopyan, A.V.; Maximov, A.L.; KarakhanovVutolkina, A.V.; Baigildin, I.G.; Glotov, A.P.; Pimerzin, A.A.; et al. Hydrodeoxygenation of Guaiacol via in Situ H2 Generated through a Water Gas Shift Reaction over Dispersed NiMoS Catalysts from Oil-Soluble Precursors: Tuning the Selectivity towards Cyclohexene. Appl. Catal. B Environ. 2022, 312, 121403. [Google Scholar] [CrossRef]
- Zhu, H.; Wang, X.; Fan, J.-H.; Ma, J.; Liu, X.-M.; Xia, H.-Q.; Liu, Y.-T. A Theoretical Study on Hydrodeoxygenation of Phenol over MoS2 Supported Single-Atom Fe Catalyst. Mol. Catal. 2022, 530, 112650. [Google Scholar] [CrossRef]
- Bui, V.N.; Laurenti, D.; Afanasiev, P.; Geantet, C. Hydrodeoxygenation of Guaiacol with CoMo Catalysts. Part I: Promoting Effect of Cobalt on HDO Selectivity and Activity. Appl. Catal. B Environ. 2011, 101, 239–245. [Google Scholar] [CrossRef]
- Cao, J.; Zhang, Y.; Liu, X.; Zhang, C.; Li, Z. Comparison of Co-Mo-S and Remote Control Model for Designing Efficient Co-Doped MoS2 Hydrodeoxygenation Catalysts. Fuel 2023, 334, 126640. [Google Scholar] [CrossRef]
- Wang, C.; Wang, D.; Wu, Z.; Wang, Z.; Tang, C.; Zhou, P. Effect of W Addition on the Hydrodeoxygenation of 4-Methylphenol over Unsupported NiMo Sulfide Catalysts. Appl. Catal. A Gen. 2014, 476, 61–67. [Google Scholar] [CrossRef]
- Lima, R.W.S.; Hewer, T.L.R.; Alves, R.M.B.; Schmal, M. Surface Analyses of Adsorbed and Deposited Species on the Ni-Mo Catalysts Surfaces after Guaiacol HDO. Influence of the Alumina and SBA-15 Supports. Mol. Catal. 2021, 511, 111724. [Google Scholar] [CrossRef]
- Zepeda, T.A.; Navarro, R.M.; Huirache-Acuña, R.; Vazquez-Salas, P.J.; Alonso-Núñez, G.; Sánchez-López, P.; Pawelec, B. Positive Phosphorous Effect during Co-Processing of Pyrolysis Bio-Oils and S-Content Model Compounds over Sulfide NiMo/P/HMS-Al Catalysts. Fuel Process. Technol. 2021, 211, 106599. [Google Scholar] [CrossRef]
- Yang, Y.; Gilbert, A.; Xu, C. Hydrodeoxygenation of Bio-Crude in Supercritical Hexane with Sulfided CoMo and CoMoP Catalysts Supported on MgO: A Model Compound Study Using Phenol. Appl. Catal. A Gen. 2009, 360, 242–249. [Google Scholar] [CrossRef]
- Liu, Y.; Wu, K.; Guo, X.; Wang, W.; Yang, Y. A Comparison of MoS2 Catalysts Hydrothermally Synthesized from Different Sulfur Precursors in Their Morphology and Hydrodeoxygenation Activity. J. Fuel Chem. Technol. 2018, 46, 535–542. [Google Scholar] [CrossRef]
- Dabros, T.M.H.; Stummann, M.Z.; Høj, M.; Jensen, P.A.; Grunwaldt, J.-D.; Gabrielsen, J.; Mortensen, P.M.; Jensen, A.D. Transportation Fuels from Biomass Fast Pyrolysis, Catalytic Hydrodeoxygenation, and Catalytic Fast Hydropyrolysis. Prog. Energy Combust. Sci. 2018, 68, 268–309. [Google Scholar] [CrossRef]
- Rasmussen, M.J. Metal Oxide Catalysts for Hydrodeoxygenation and Aldol Condensation. Doctoral Dissertation, University of Colorado at Boulder, Boulder, CO, USA, 2021. [Google Scholar]
- Attia, M.; Farag, S.; Jaffer, S.A.; Chaouki, J. Metal and Sulfur Removal from Petroleum Oil Using a Novel Demetallization-Desulfurization Agent and Process. J. Clean. Prod. 2020, 275, 124177. [Google Scholar] [CrossRef]
- Ran, Z.; Shu, C.; Hou, Z.; Hei, P.; Yang, T.; Liang, R.; Li, J.; Long, J. Phosphorus Vacancies Enriched Ni2P Nanosheets as Efficient Electrocatalyst for High-Performance Li–O2 Batteries. Electrochim. Acta 2020, 337, 135795. [Google Scholar] [CrossRef]
- Zhu, T.; Liu, K.; Wang, H.; Wang, J.; Li, F.; Wang, C.; Song, H. Comparative Study of Hydrodeoxygenation Performance over Ni and Ni2P Catalysts for Upgrading of Lignin-Derived Phenolic Compound. Fuel 2023, 331, 125663. [Google Scholar] [CrossRef]
- Pitakjakpipop, P. Effect of Support for Ni2P Catalysts on Hydrodeoxygenation of Bio-Oil Using Anisole and Guaiacol as Model Compounds. Ph.D. Thesis, The Pennsylvania State University, University Park, PA, USA, 2017. [Google Scholar]
- Gonçalves, V.O.O.; de Souza, P.M.; Cabioc’h, T.; da Silva, V.T.; Noronha, F.B.; Richard, F. Hydrodeoxygenation of M-Cresol over Nickel and Nickel Phosphide Based Catalysts. Influence of the Nature of the Active Phase and the Support. Appl. Catal. B Environ. 2017, 219, 619–628. [Google Scholar] [CrossRef]
- Berenguer, A.; Bennett, J.A.; Hunns, J.; Moreno, I.; Coronado, J.M.; Lee, A.F.; Pizarro, P.; Wilson, K.; Serrano, D.P. Catalytic Hydrodeoxygenation of M-Cresol over Ni2P/Hierarchical ZSM-5. Catal. Today 2018, 304, 72–79. [Google Scholar] [CrossRef]
- Moon, J.-S.; Kim, E.-G.; Lee, Y.-K. Active Sites of Ni2P/SiO2 Catalyst for Hydrodeoxygenation of Guaiacol: A Joint XAFS and DFT Study. J. Catal. 2014, 311, 144–152. [Google Scholar] [CrossRef]
- Boullosa-Eiras, S.; Lødeng, R.; Bergem, H.; Stöcker, M.; Hannevold, L.; Blekkan, E.A. Catalytic Hydrodeoxygenation (HDO) of Phenol over Supported Molybdenum Carbide, Nitride, Phosphide and Oxide Catalysts. Catal. Today 2014, 223, 44–53. [Google Scholar] [CrossRef]
- Saito, Y.; Ishitani, H.; Ueno, M.; Kobayashi, S. Selective Hydrogenation of Nitriles to Primary Amines Catalyzed by a Polysilane/SiO2-Supported Palladium Catalyst under Continuous-Flow Conditions. ChemistryOpen 2017, 6, 211–215. [Google Scholar] [CrossRef]
- Meng, S.; Xue, X.; Weng, Y.; Jiang, S.; Li, G.; Sun, Q.; Zhang, Y. Synthesis and Characterization of Molybdenum Carbide Catalysts on Different Carbon Supports. Catal. Today 2022, 402, 266–275. [Google Scholar] [CrossRef]
- Costa, D.C.; Soldati, A.L.; Pecchi, G.; Bengoa, J.F.; Marchetti, S.G.; Vetere, V. Preparation and Characterization of a Supported System of Ni2P/Ni12P5 Nanoparticles and Their Use as the Active Phase in Chemoselective Hydrogenation of Acetophenone. Nanotechnology 2018, 29, 215702. [Google Scholar] [CrossRef]
- Deliy, I.V.; Shamanaev, I.V.; Aleksandrov, P.V.; Gerasimov, E.Y.; Pakharukova, V.P.; Kodenev, E.G.; Yakovlev, I.V.; Lapina, O.B.; Bukhtiyarova, G.A. Support Effect on the Performance of Ni2P Catalysts in the Hydrodeoxygenation of Methyl Palmitate. Catalysts 2018, 8, 515. [Google Scholar] [CrossRef]
- de Souza, P.M.; Inocêncio, C.V.M.; Perez, V.I.; Rabelo-Neto, R.C.; Gonçalves, V.O.O.; Jacobs, G.; Richard, F.; da Silva, V.T.; Noronha, F.B. Hydrodeoxygenation of Phenol Using Nickel Phosphide Catalysts. Study of the Effect of the Support. Catal. Today 2020, 356, 366–375. [Google Scholar] [CrossRef]
- Wang, Y.; Liu, F.; Han, H.; Xiao, L.; Wu, W. Metal Phosphide: A Highly Efficient Catalyst for the Selective Hydrodeoxygenation of Furfural to 2-Methylfuran. ChemistrySelect 2018, 3, 7926–7933. [Google Scholar] [CrossRef]
- Jin, W.; Pastor-Pérez, L.; Shen, D.; Sepúlveda-Escribano, A.; Gu, S.; Ramirez Reina, T. Catalytic Upgrading of Biomass Model Compounds: Novel Approaches and Lessons Learnt from Traditional Hydrodeoxygenation—A Review. ChemCatChem 2019, 11, 924–960. [Google Scholar] [CrossRef]
- Oyama, S.T.; Wang, X.; Lee, Y.-K.; Bando, K.; Requejo, F.G. Effect of Phosphorus Content in Nickel Phosphide Catalysts Studied by XAFS and Other Techniques. J. Catal. 2002, 210, 207–217. [Google Scholar] [CrossRef]
- Tan, Q.; Cao, Y.; Li, J. Prepared Multifunctional Catalyst Ni2P/Zr-SBA-15 and Catalyzed Jatropha Oil to Produce Bio-Aviation Fuel. Renew. Energy 2020, 150, 370–381. [Google Scholar] [CrossRef]
- Jiang, B.; Zhu, T.; Song, H.; Li, F. Hydrodeoxygenation and Hydrodesulfurization over Fe Promoted Ni2P/SBA-15 Catalyst. J. Alloys Compd. 2019, 806, 254–262. [Google Scholar] [CrossRef]
- Lan, X.; Pestman, R.; Hensen, E.J.M.; Weber, T. Furfural Hydrodeoxygenation (HDO) over Silica-Supported Metal Phosphides—The Influence of Metal–Phosphorus Stoichiometry on Catalytic Properties. J. Catal. 2021, 403, 181–193. [Google Scholar] [CrossRef]
- Gutiérrez-Rubio, S.; Berenguer, A.; Přech, J.; Opanasenko, M.; Ochoa-Hernández, C.; Pizarro, P.; Čejka, J.; Serrano, D.P.; Coronado, J.M.; Moreno, I. Guaiacol Hydrodeoxygenation over Ni2P Supported on 2D-Zeolites. Catal. Today 2020, 345, 48–58. [Google Scholar] [CrossRef]
- Shamanaev, I.V.; Vlasova, E.N.; Scherbakova, A.M.; Pakharukova, V.P.; Gerasimov, E.Y.; Yakovlev, I.V.; Fedorov, A.Y.; Bukhtiyarova, G.A. Hydroconversion of Methyl Palmitate over Ni-Phosphide Catalysts on SAPO-11 and ZSM-5 Composite Supports. Microporous Mesoporous Mater. 2023, 359, 112667. [Google Scholar] [CrossRef]
- Pham, L.K.H.; Tran, T.T.V.; Kongparakul, S.; Reubroycharoen, P.; Karnjanakom, S.; Guan, G.; Samart, C. Formation and Activity of Activated Carbon Supported Ni2P Catalysts for Atmospheric Deoxygenation of Waste Cooking Oil. Fuel Process. Technol. 2019, 185, 117–125. [Google Scholar] [CrossRef]
- Yun, G.-N.; Ahn, S.-J.; Takagaki, A.; Kikuchi, R.; Oyama, S.T. Infrared Spectroscopic Studies of the Hydrodeoxygenation of γ-Valerolactone on Ni2P/MCM-41. Catal. Today 2019, 323, 54–61. [Google Scholar] [CrossRef]
- Wang, S.; Jiang, N.; Zhu, T.; Zhang, Q.; Zhang, C.; Wang, H.; Chen, Y.; Li, F.; Song, H. Synthesis of Highly Active Carbon-Encapsulated Ni2P Catalysts by One-Step Pyrolysis–Phosphidation for Hydrodeoxygenation of Phenolic Compounds. Catal. Sci. Technol. 2022, 12, 1586–1597. [Google Scholar] [CrossRef]
- Li, Y.; Zhang, X.; Zhang, H.; Chen, B.; Smith, K.J. Enhanced Stability of Pd-Ni2P/SiO2 Catalysts for Phenol Hydrodeoxygenation in the Presence of H2O. J. Taiwan Inst. Chem. Eng. 2017, 80, 215–221. [Google Scholar] [CrossRef]
- Fan, X.; Wu, Y.; Li, Z.; Sun, Y.; Tu, R.; Zhong, P.-D.; Jiang, E.; Xu, X. Benzene, Toluene and Xylene (BTX) from in-Situ Gas Phase Hydrodeoxygenation of Guaiacol with Liquid Hydrogen Donor over Bifunctional Non-Noble-Metal Zeolite Catalysts. Renew. Energy 2020, 152, 1391–1402. [Google Scholar] [CrossRef]
- de Oliveira Camargo, M.; Castagnari Willimann Pimenta, J.L.; de Oliveira Camargo, M.; Arroyo, P.A. Green Diesel Production by Solvent-Free Deoxygenation of Oleic Acid over Nickel Phosphide Bifunctional Catalysts: Effect of the Support. Fuel 2020, 281, 118719. [Google Scholar] [CrossRef]
- Aziz, I.; Sugita, P.; Darmawan, N.; Dwiatmoko, A.A.; Rustyawan, W. Hydrodeoxygenation of Palm Fatty Acid Distillate (PFAD) over Natural Zeolite-Supported Nickel Phosphide Catalyst: Insight into Ni/P Effect. Case Stud. Chem. Environ. Eng. 2023, 100571. [Google Scholar] [CrossRef]
- Kochaputi, N.; Kongmark, C.; Khemthong, P.; Butburee, T.; Kuboon, S.; Worayingyong, A.; Faungnawakij, K. Catalytic Behaviors of Supported Cu, Ni, and Co Phosphide Catalysts for Deoxygenation of Oleic Acid. Catalysts 2019, 9, 715. [Google Scholar] [CrossRef]
- Gutiérrez-Rubio, S.; Moreno, I.; Serrano, D.P.; Coronado, J.M. Hydrotreating of Guaiacol and Acetic Acid Blends over Ni2P/ZSM-5 Catalysts: Elucidating Molecular Interactions during Bio-Oil Upgrading. ACS Omega 2019, 4, 21516–21528. [Google Scholar] [CrossRef]
- Liu, Y.; Yao, L.; Xin, H.; Wang, G.; Li, D.; Hu, C. The Production of Diesel-like Hydrocarbons from Palmitic Acid over HZSM-22 Supported Nickel Phosphide Catalysts. Appl. Catal. B Environ. 2015, 174–175, 504–514. [Google Scholar] [CrossRef]
- Mukhtarova, M.; Golubeva, M.A.; Maximov, A.L. In Situ Ni2P Catalyst for the Selective Processing of Terephthalic Acid into BTX Fraction. Appl. Catal. A Gen. 2024, 678, 119734. [Google Scholar] [CrossRef]
- Sun, R.; Xiao, L.; Wu, W. In-Situ Carbon-Encapsulated Ni2P@C Catalysts for Reductive Amination of Furfural. Mol. Catal. 2024, 553, 113710. [Google Scholar] [CrossRef]
- Zhang, Q.; Wang, S.; Jiang, N.; Jiang, B.; Liu, Y.; Chen, Y.; Li, F.; Song, H. Design of a Highly Active TiO2-Supported Ni2P@C Catalyst with Special Flower-like Radial Channels for Quick p-Cresol Hydrodeoxygenation. J. Catal. 2024, 432, 115338. [Google Scholar] [CrossRef]
- Wang, J.; Abdelouahed, L.; Jabbour, M.; Taouk, B. Catalytic Hydro-Deoxygenation of Acetic Acid, 4-Ethylguaiacol, and Furfural from Bio-Oil over Ni2P/HZSM-5 Catalysts. Comptes Rendus Chim. 2021, 24, 131–147. [Google Scholar] [CrossRef]
- He, T.; Liu, X.; Ge, Y.; Han, D.; Li, J.; Wang, Z.; Wu, J. Gas Phase Hydrodeoxygenation of Anisole and Guaiacol to Aromatics with a High Selectivity over Ni-Mo/SiO2. Catal. Commun. 2017, 102, 127–130. [Google Scholar] [CrossRef]
- Li, K.; Wang, R.; Chen, J. Hydrodeoxygenation of Anisole over Silica-Supported Ni2P, MoP, and NiMoP Catalysts. Energy Fuels 2011, 25, 854–863. [Google Scholar] [CrossRef]
- Moravvej, Z.; Farshchi Tabrizi, F.; Rahimpour, M.R.; Behrad Vakylabad, A. Exploiting the Potential of Cobalt Molybdenum Catalyst in Elevated Hydrodeoxygenation of Furfural to 2-Methyl Furan. Fuel 2023, 332, 126193. [Google Scholar] [CrossRef]
- Wang, J.; Jabbour, M.; Abdelouahed, L.; Mezghich, S.; Estel, L.; Thomas, K.; Taouk, B. Catalytic Upgrading of Bio-Oil: Hydrodeoxygenation Study of Acetone as Molecule Model of Ketones. Can. J. Chem. Eng. 2021, 99, 1082–1093. [Google Scholar] [CrossRef]
- Lan, X.; Hensen, E.J.M.; Weber, T. Hydrodeoxygenation of Guaiacol over Ni2P/SiO2–Reaction Mechanism and Catalyst Deactivation. Appl. Catal. A Gen. 2018, 550, 57–66. [Google Scholar] [CrossRef]
- Alshehri, F.; Feral, C.; Kirkwood, K.; Jackson, S.D. Low Temperature Hydrogenation and Hydrodeoxygenation of Oxygen-Substituted Aromatics over Rh/Silica: Part 1: Phenol, Anisole and 4-Methoxyphenol. Reac Kinet. Mech. Cat. 2019, 128, 23–40. [Google Scholar] [CrossRef]
- Kirkwood, K.; Jackson, S.D. Competitive Hydrogenation and Hydrodeoxygenation of Oxygen-Substituted Aromatics over Rh/Silica: Catechol, Resorcinol and Hydroquinone. Top. Catal. 2021, 64, 934–944. [Google Scholar] [CrossRef]
- Modak, A.; Deb, A.; Patra, T.; Rana, S.; Maity, S.; Maiti, D. ChemInform Abstract: A General and Efficient Aldehyde Decarbonylation Reaction by Using a Palladium Catalyst. Chem. Commun. (Camb. Engl.) 2012, 48, 4253–4255. [Google Scholar] [CrossRef]
- He, Z.; Wang, X. Hydrodeoxygenation of Model Compounds and Catalytic Systems for Pyrolysis Bio-Oils Upgrading. Catal. Sustain. Energy 2012, 1, 28–52. [Google Scholar] [CrossRef]
- Wang, C.; Wu, C.; Deng, L.; Zhang, R.; Zhou, S.; Wang, Z.; Qiao, C.; Tian, Y. Ni—Promoted Cu/ZSM-5 for Selective Hydrodeoxygenation of Furfural to Produce 2—Methylfuran. Fuel 2023, 353, 129233. [Google Scholar] [CrossRef]
- Iino, A.; Cho, A.; Takagaki, A.; Kikuchi, R.; Ted Oyama, S. Kinetic Studies of Hydrodeoxygenation of 2-Methyltetrahydrofuran on a Ni2P/SiO2 Catalyst at Medium Pressure. J. Catal. 2014, 311, 17–27. [Google Scholar] [CrossRef]
- Hočevar, B.; Grilc, M.; Huš, M.; Likozar, B. Mechanism, Ab Initio Calculations and Microkinetics of Hydrogenation, Hydrodeoxygenation, Double Bond Migration and Cis–Trans Isomerisation during Hydrotreatment of C6 Secondary Alcohol Species and Ketones. Appl. Catal. B Environ. 2017, 218, 147–162. [Google Scholar] [CrossRef]
- Harrod, J.F.; Chalk, A.J. Homogeneous Catalysis. I. Double Bond Migration in n-Olefins, Catalyzed by Group VIII Metal Complexes. J. Am. Chem. Soc. 1964, 86, 1776–1779. [Google Scholar] [CrossRef]
- Balat, M. An Overview of the Properties and Applications of Biomass Pyrolysis Oils. Energy Sources Part. A Recovery Util. Environ. Eff. 2011, 33, 674–689. [Google Scholar] [CrossRef]
- Lee, C.W.; Lin, P.Y.; Chen, B.H.; Kukushkin, R.G.; Yakovlev, V.A. Hydrodeoxygenation of Palmitic Acid over Zeolite-Supported Nickel Catalysts. Catal. Today 2021, 379, 124–131. [Google Scholar] [CrossRef]
- Peroni, M.; Mancino, G.; Baráth, E.; Gutiérrez, O.Y.; Lercher, J.A. Bulk and Γ-Al2O3-Supported Ni2P and MoP for Hydrodeoxygenation of Palmitic Acid. Appl. Catal. B Environ. 2016, 180, 301–311. [Google Scholar] [CrossRef]
- Chen, J.; Wang, D.; Luo, F.; Yang, X.; Li, X.; Li, S.; Ye, Y.; Wang, D.; Zheng, Z. Selective Production of Alkanes and Fatty Alcohol via Hydrodeoxygenation of Palmitic Acid over Red Mud-Supported Nickel Catalysts. Fuel 2022, 314, 122780. [Google Scholar] [CrossRef]
- Huber, G.; Chheda, J.; Barrett, C.; Dumesic, J. Production of Liquid Alkanes by Aqueous-Phase Processing of Biomass-Derived Carbohydrates. Science 2005, 308, 1446–1450. [Google Scholar] [CrossRef]
- Román-Leshkov, Y.; Barrett, C.J.; Liu, Z.Y.; Dumesic, J.A. Production of Dimethylfuran for Liquid Fuels from Biomass-Derived Carbohydrates. Nature 2007, 447, 982–985. [Google Scholar] [CrossRef]
- Luo, J.; Arroyo-Ramírez, L.; Wei, J.; Yun, H.; Murray, C.B.; Gorte, R.J. Comparison of HMF Hydrodeoxygenation over Different Metal Catalysts in a Continuous Flow Reactor. Appl. Catal. A Gen. 2015, 508, 86–93. [Google Scholar] [CrossRef]
- Weingarten, R.; Tompsett, G.A.; Conner, W.C.; Huber, G.W. Design of Solid Acid Catalysts for Aqueous-Phase Dehydration of Carbohydrates: The Role of Lewis and Brønsted Acid Sites. J. Catal. 2011, 279, 174–182. [Google Scholar] [CrossRef]
- Teles, C.A.; de Souza, P.M.; Rabelo-Neto, R.C.; Teran, A.; Jacobs, G.; Resasco, D.E.; Noronha, F.B. Hydrodeoxygenation of Lignin-Derived Compound Mixtures on Pd-Supported on Various Oxides. ACS Sustain. Chem. Eng. 2021, 9, 12870–12884. [Google Scholar] [CrossRef]
- Funkenbusch, L.T.; Mullins, M.E.; Salam, M.A.; Creaser, D.; Olsson, L. Catalytic Hydrotreatment of Pyrolysis Oil Phenolic Compounds over Pt/Al2O3 and Pd/C. Fuel 2019, 243, 441–448. [Google Scholar] [CrossRef]
- Roldugina, E.A.; Kardashev, S.V.; Maksimov, A.L.; Karakhanov, E.A. Hydrodeoxygenation of Bio-Oil Components Containing a Guaiacol Fragment in the Presence of a Ruthenium-Suppoting Mesoporous Aluminosilicate Catalyst. Russ. J. Appl. Chem. 2022, 95, 1756–1766. [Google Scholar] [CrossRef]
- Sankaranarayanan, T.M.; Kreider, M.; Berenguer, A.; Gutiérrez-Rubio, S.; Moreno, I.; Pizarro, P.; Coronado, J.M.; Serrano, D.P. Cross-Reactivity of Guaiacol and Propionic Acid Blends during Hydrodeoxygenation over Ni-Supported Catalysts. Fuel 2018, 214, 187–195. [Google Scholar] [CrossRef]
- Chen, G.; Liu, J.; Li, X.; Zhang, J.; Yin, H.; Su, Z. Investigation on Catalytic Hydrodeoxygenation of Eugenol Blend with Light Fraction in Bio-Oil over Ni-Based Catalysts. Renew. Energy 2020, 157, 456–465. [Google Scholar] [CrossRef]
- Tang, H.; Dai, Q.; Cao, Y.; Li, J.; Wei, X.; Jibran, K.; Wang, S. Production of Jet Fuel Range Hydrocarbons Using a Magnetic Ni–Fe/SAPO-11 Catalyst for Solvent-Free Hydrodeoxygenation of Jatropha Oil. Biomass Bioenergy 2023, 177, 106927. [Google Scholar] [CrossRef]
- Wu, Y.; Duan, J.; Li, X.; Wu, K.; Wang, J.; Zheng, J.; Li, S.; Wang, D.; Zheng, Z. Synthesis of Ni/SAPO-11-X Zeolites with Graded Secondary Pore Structure and Its Catalytic Performance for Hydrodeoxygenation-Isomerization of FAME for Green Diesel Production. Renew. Energy 2023, 218, 119372. [Google Scholar] [CrossRef]
- Zarchin, R.; Rabaev, M.; Vidruk-Nehemya, R.; Landau, M.V.; Herskowitz, M. Hydroprocessing of Soybean Oil on Nickel-Phosphide Supported Catalysts. Fuel 2015, 139, 684–691. [Google Scholar] [CrossRef]
- Liu, S.; Zhu, Q.; Guan, Q.; He, L.; Li, W. Bio-Aviation Fuel Production from Hydroprocessing Castor Oil Promoted by the Nickel-Based Bifunctional Catalysts. Bioresour. Technol. 2015, 183, 93–100. [Google Scholar] [CrossRef]
- Luo, N.; Cao, Y.; Li, J.; Guo, W.; Zhao, Z. Preparation of Ni2P/Zr-MCM-41 Catalyst and Its Performance in the Hydrodeoxygenation of Jatropha Curcas Oil. J. Fuel Chem. Technol. 2016, 44, 76–83. [Google Scholar] [CrossRef]
- Yang, R.; Du, X.; Zhang, X.; Xin, H.; Zhou, K.; Li, D.; Hu, C. Transformation of Jatropha Oil into High-Quality Biofuel over Ni–W Bimetallic Catalysts. ACS Omega 2019, 4, 10580–10592. [Google Scholar] [CrossRef]
- Ismail, O.; Hamid, A.; Ali, L.; Shittu, T.; Kuttiyathil, M.S.; Iqbal, M.Z.; Khaleel, A.; Altarawneh, M. Selective Formation of Fuel BXT Compounds from Catalytic Hydrodeoxygenation of Waste Biomass over Ni-Decorated Beta-Zeolite. Bioresour. Technol. Rep. 2023, 24, 101616. [Google Scholar] [CrossRef]
- Shafaghat, H.; Kim, J.M.; Lee, I.-G.; Jae, J.; Jung, S.-C.; Park, Y.-K. Catalytic Hydrodeoxygenation of Crude Bio-Oil in Supercritical Methanol Using Supported Nickel Catalysts. Renew. Energy 2019, 144, 159–166. [Google Scholar] [CrossRef]
- Prabhudesai, V.S.; Gurrala, L.; Vinu, R. Catalytic Hydrodeoxygenation of Lignin-Derived Oxygenates: Catalysis, Mechanism, and Effect of Process Conditions. Energy Fuels 2022, 36, 1155–1188. [Google Scholar] [CrossRef]
- Li, Y.; Zhang, C.; Liu, Y.; Tang, S.; Chen, G.; Zhang, R.; Tang, X. Coke Formation on the Surface of Ni/HZSM-5 and Ni-Cu/HZSM-5 Catalysts during Bio-Oil Hydrodeoxygenation. Fuel 2017, 189, 23–31. [Google Scholar] [CrossRef]
- Laurent, E.; Centeno, A.; Delmon, B. Coke Formation during the Hydrotreating of Biomass Pyrolysis Oils: Influence of Guaiacol Type Compounds. In Studies in Surface Science and Catalysis; Delmon, B., Froment, G.F., Eds.; Catalyst Deactivation 1994; Elsevier: Amsterdam, The Netherlands, 1994; Volume 88, pp. 573–578. [Google Scholar]
- Li, Y.; Zhang, C.; Liu, Y.; Hou, X.; Zhang, R.; Tang, X. Coke Deposition on Ni/HZSM-5 in Bio-Oil Hydrodeoxygenation Processing. Energy Fuels 2015, 29, 1722–1728. [Google Scholar] [CrossRef]
- French, R.J.; Iisa, K.; Orton, K.A.; Griffin, M.B.; Christensen, E.; Black, S.; Brown, K.; Palmer, S.E.; Schaidle, J.A.; Mukarakate, C.; et al. Optimizing Process Conditions during Catalytic Fast Pyrolysis of Pine with Pt/TiO2—Improving the Viability of a Multiple-Fixed-Bed Configuration. ACS Sustain. Chem. Eng. 2021, 9, 1235–1245. [Google Scholar] [CrossRef]
- Infantes-Molina, A.; Moretti, E.; Segovia, E.; Lenarda, A.; Rodriguez-Castellon, E. Pd-Nb Binfunctional Catalysts Supported on Silica and Zirconium Phosphate Heterostructures for O-Removal of Dibenzofurane. Catal. Today 2016, 277. [Google Scholar] [CrossRef]
- Centeno, A.; David, O.; Vanbellinghen, C.; Maggi, R.; Delmon, B. Behaviour of Catalysts Supported on Carbon in Hydrodeoxygenation Reactions. In Developments in Thermochemical Biomass Conversion; Bridgwater, A.V., Boocock, D.G.B., Eds.; Springer: Dordrecht, The Netherlands, 1997. [Google Scholar] [CrossRef]
- Popov, A.; Badawi, M.; Kondratieva, E.; Goupil, J.-M.; El Fallah, J.; Mariey, L.; Travert, A.; Maugé, F.; Gilson, J.-P.; Cristol, S.; et al. Deactivation of Mo-Based Hydrodeoxygenation Catalysts: The Effect of Water. Chem. Soc. Div. Petr. Chem. 2009, 238, 133. [Google Scholar]
- Mortensen, P.M.; Grunwaldt, J.-D.; Jensen, P.A.; Jensen, A.D. Influence on Nickel Particle Size on the Hydrodeoxygenation of Phenol over Ni/SiO2. Catal. Today 2016, 259, 277–284. [Google Scholar] [CrossRef]
- Bukhtiyarova, M.V.; Nuzhdin, A.L.; Bukhtiyarova, G.A. Comparative Study of Batch and Continuous Flow Reactors in Selective Hydrogenation of Functional Groups in Organic Compounds: What Is More Effective? Int. J. Mol. Sci. 2023, 24, 14136. [Google Scholar] [CrossRef] [PubMed]
- Aho, A.; Kumar, N.; Eränen, K.; Salmi, T.; Hupa, M.; Murzin, D.Y. Catalytic Pyrolysis of Woody Biomass in a Fluidized Bed Reactor: Influence of the Zeolite Structure. Fuel 2008, 87, 2493–2501. [Google Scholar] [CrossRef]
- Thompson, S.T. Palladium-Rhenium Catalysts for Production of Chemicals and Fuels from Biomass. Ph.D. Thesis, North Carolina State University, Raleigh, North Carolina, 2015. [Google Scholar]
- Madon, R.J.; Boudart, M. Experimental Criterion for the Absence of Artifacts in the Measurement of Rates of Heterogeneous Catalytic Reactions. Ind. Eng. Chem. Fund. 1982, 21, 438–447. [Google Scholar] [CrossRef]






















| Physical Properties | Pine Wood Bio-Oil | Fast Pyrolysis Bio-Oil | Fossil Petroleum | |
|---|---|---|---|---|
| Moisture content (wt%) | 15–30 | 15–30 | 0.1 | |
| pH | - | 2–3.7 | - | |
| Specific gravity | - | 1.2 | 0.94 | |
| Elemental analysis (wt%) | C | 49 | 54–58 | 83–86 |
| H | 6 | 5.5–7.0 | 11 | |
| O | 44 | 35–40 | 1 | |
| N | 0.06 | 0–0.2 | 0.3 | |
| Ash | 0.3 | 0–0.2 | 0.1 | |
| High heating value (HHV) (MJ/kg) | 20 | 16–19 | 40 | |
| Viscosity (cP at 50 °C) | - | 40–100 | 180 | |
| Solid content (wt%) | - | 0.2–1 | 1 | |
| Upgrading Methods | Objectives | Advantages | Disadvantages | Reference |
|---|---|---|---|---|
| Emulsification | Enhance the miscibility of bio-oils with diesel fuel Use bio-oils in combustion engines | Simple operation steps | High energy input High cost of surfactant Corrosion problems | [59] |
| Solvent Addition | Reduce the aging effect: alcohol: methanol, ethanol, and isopropanol are used. | Easy operation and increases in bio-oil’s lower heating value, reduces density and viscosity | Decrease in the flashpoint of bio-oils; Unfavorable materials cannot be removed (oxygen) | [40,60] |
| Steam reforming | Hydrogen production from bio-oil reforming | High yield Better regeneration of the catalyst | Costly Fully developed reactors High operating temperature | [45] |
| Hydrotreatment (HDO) | Removal of sulfur, nitrogen, and oxygen heteroatom | Utilizing compressed hydrogen to remove oxygen, increasing heating value and lowering bio-crude oil viscosity, moderate reaction condition | Harsh conditions, complicated equipment, easy reactor blockage, and catalyst deactivation | [26,61,62,63] |
| Esterification | Organic acids (from acid, acetic acid, propionic acid, etc.) in bio-oil can be converted to their corresponding esters. | The most practical approach (simplicity, the low cost of some solvents, and their beneficial effects on the oil properties) | Low oil production and poor performance | [55] |
| Catalytic cracking | Break down larger hydrocarbon molecules into smaller hydrocarbon molecules, often involving subsequent hydrogenation. | Makes large quantities of light products. High yield of light products | High cost, harsh, hydrogen consumption High pressure-resistant reactor required Catalyst deactivation, reactor clogging | [46,60] |
| Supercritical fluid | Obtain high yields and qualities of the bio-oil. Some organic solvents, such as ethanol, methanol, water and CO2 are used/ | Higher oil yield, better fuel quality (lower oxygen content, lower viscosity) | High cost of solvent High-pressure resistant reactor required | [56] |
| Catalyst | Oxygenated Compound | Deoxygenated Compound | Reference |
|---|---|---|---|
| NiMoS | Guaiacol | Phenol, Catechol, Cyclohexane | [36,70] |
| MoS2 | Phenol | Benzene | [71] |
| NiM@C | Guaiacol | Cyclohexanol, Phenol, Cyclohexane | [61] |
| CoMoZ | Anisole | Benzene, Toluene, Xylene | [65] |
| CoMoS/Al2O3 | Guaiacol | Cyclohexene, Cyclohexane, Benzene | [72] |
| CoMoS | P-cresol | Toluene, Methylcyclohexane, 3-methylcyclohexene | [73] |
| Ni-Mo | 4-methylphenol | Toluene, Methylcyclohexane, and 3–4 methylcyclohexene | [74] |
| NiMo/SBA-15 | Guaiacol | Benzene, Myclohexene, Cyclohexane, Phenol | [75] |
| NiMoP/HMS | Guaiacol | Biphenyl, Clohexylbenzene, Dicyclohexyl, Tetrahydrodibenzothiophene | [76] |
| Co–Mo–P/MgO | Phenol | Benzene, Cyclohexylbenzene, Cyclhexylphenol | [77] |
Disclaimer/Publisher’s Note: The statements, opinions and data contained in all publications are solely those of the individual author(s) and contributor(s) and not of MDPI and/or the editor(s). MDPI and/or the editor(s) disclaim responsibility for any injury to people or property resulting from any ideas, methods, instructions or products referred to in the content. |
© 2024 by the authors. Licensee MDPI, Basel, Switzerland. This article is an open access article distributed under the terms and conditions of the Creative Commons Attribution (CC BY) license (https://creativecommons.org/licenses/by/4.0/).
Share and Cite
Carrasco Díaz, A.; Abdelouahed, L.; Brodu, N.; Montes-Jiménez, V.; Taouk, B. Upgrading of Pyrolysis Bio-Oil by Catalytic Hydrodeoxygenation, a Review Focused on Catalysts, Model Molecules, Deactivation, and Reaction Routes. Molecules 2024, 29, 4325. https://doi.org/10.3390/molecules29184325
Carrasco Díaz A, Abdelouahed L, Brodu N, Montes-Jiménez V, Taouk B. Upgrading of Pyrolysis Bio-Oil by Catalytic Hydrodeoxygenation, a Review Focused on Catalysts, Model Molecules, Deactivation, and Reaction Routes. Molecules. 2024; 29(18):4325. https://doi.org/10.3390/molecules29184325
Chicago/Turabian StyleCarrasco Díaz, Alejandra, Lokmane Abdelouahed, Nicolas Brodu, Vicente Montes-Jiménez, and Bechara Taouk. 2024. "Upgrading of Pyrolysis Bio-Oil by Catalytic Hydrodeoxygenation, a Review Focused on Catalysts, Model Molecules, Deactivation, and Reaction Routes" Molecules 29, no. 18: 4325. https://doi.org/10.3390/molecules29184325
APA StyleCarrasco Díaz, A., Abdelouahed, L., Brodu, N., Montes-Jiménez, V., & Taouk, B. (2024). Upgrading of Pyrolysis Bio-Oil by Catalytic Hydrodeoxygenation, a Review Focused on Catalysts, Model Molecules, Deactivation, and Reaction Routes. Molecules, 29(18), 4325. https://doi.org/10.3390/molecules29184325

