Sign in to use this feature.

Years

Between: -

Subjects

remove_circle_outline
remove_circle_outline
remove_circle_outline
remove_circle_outline
remove_circle_outline
remove_circle_outline
remove_circle_outline
remove_circle_outline
remove_circle_outline

Journals

remove_circle_outline
remove_circle_outline
remove_circle_outline
remove_circle_outline
remove_circle_outline
remove_circle_outline
remove_circle_outline
remove_circle_outline
remove_circle_outline
remove_circle_outline
remove_circle_outline
remove_circle_outline
remove_circle_outline
remove_circle_outline
remove_circle_outline
remove_circle_outline

Article Types

Countries / Regions

remove_circle_outline
remove_circle_outline
remove_circle_outline
remove_circle_outline
remove_circle_outline
remove_circle_outline
remove_circle_outline

Search Results (3,101)

Search Parameters:
Keywords = volatiles profile

Order results
Result details
Results per page
Select all
Export citation of selected articles as:
16 pages, 2976 KB  
Article
Effect of Two Selected Probiotic Leuconostoc mesenteroides Bacteriocin-Producing Strains on Biopreservation and Organic Volatile Compounds in Model Cheese During Ripening and Storage
by Feyza Halima Mokdad, Zineb Benmechernene, Aldo Todaro, Cinzia Caggia, Cinzia L. Randazzo and Nunziatina Russo
Microorganisms 2026, 14(2), 352; https://doi.org/10.3390/microorganisms14020352 - 3 Feb 2026
Abstract
Lactic acid bacteria (LAB) are widely used in food systems; among them, bacteriocin-producing strains have attracted attention for their potential in the biopreservation of dairy products. This study started from the detection of bacteriocin-encoding genes in eight probiotic Leuconostoc mesenteroides subsp. mesenteroides strains, [...] Read more.
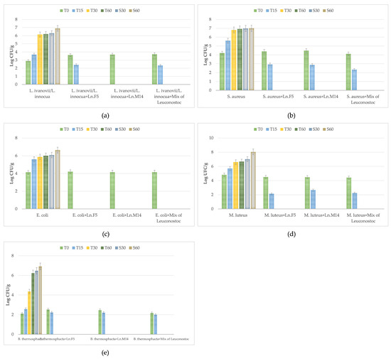
Lactic acid bacteria (LAB) are widely used in food systems; among them, bacteriocin-producing strains have attracted attention for their potential in the biopreservation of dairy products. This study started from the detection of bacteriocin-encoding genes in eight probiotic Leuconostoc mesenteroides subsp. mesenteroides strains, previously isolated, identified, and characterized for antimicrobial activity. Results confirmed the presence of bacteriocin genes across the strains, with Ln.F5 harboring both mesB and lcnA genes, and three other strains, including the Ln.M14 strain, exclusively carrying the lcnA gene. The two strains, Ln.F5 and Ln.M14, were used, in single and mixed cultures, for the first time, as adjunct cultures in a model cheese. Their impact against Listeria spp., Staphylococcus aureus, Escherichia coli, Micrococcus luteus, and Brochothrix thermosphacta, and on volatile organic compounds (VOCs), during ripening and storage, was evaluated. Results showed high viability (9.2 Log CFU/g) of Leuconostoc spp. in model cheese, up to 60 days of storage, and Pulsed-Field Gel Electrophoresis (PFGE) profiles of the re-isolated bacteria confirmed the survival of the added strains. Furthermore, results indicated the inhibition of E. coli and Listeria spp. started from the 15th day of ripening in samples differently inoculated with the two Leuconostoc strains. Listeria spp. was completely inhibited starting from 15 days by Ln.M14, in single culture. The complete inhibition of S. aureus, M. luteus, and B. thermosphacta was detected after 30 days of ripening in samples differently inoculated with Ln.F5 and Ln.M14. The VOC analyses revealed more complex aromatic profiles in samples inoculated with Leuconostoc strains, which, along with the development of cheese eyes, confirmed the effect of the Leuconostoc strains in enhancing quality traits of cheeses. Full article
(This article belongs to the Section Food Microbiology)
Show Figures

Figure 1

23 pages, 1816 KB  
Article
Multiregional Characterization of White Wines Using Odor Activity Values, Aromatic Scores, and LDA Classification
by Ioana-Cristina Bedreag (Rebigan), Ionel-Bogdan Cioroiu, Marius Niculaua, Alexandru-Gabriel Suduc, Constantin-Bogdan Nechita, Catalin-Ioan Zamfir, Elena Cristina Scutărașu, Lucia-Cintia Colibaba, Camelia Elena Luchian and Valeriu V. Cotea
Beverages 2026, 12(2), 20; https://doi.org/10.3390/beverages12020020 - 3 Feb 2026
Abstract
This study investigates the effects of terroir on the sensory expression of two major white grape varieties, Fetească albă and Sauvignon blanc. The experimental design included wines from eleven wineries distributed across the main Romanian wine-growing regions—Banat, Dobrogea, Moldova, Muntenia–Oltenia, and Transylvania—covering [...] Read more.
This study investigates the effects of terroir on the sensory expression of two major white grape varieties, Fetească albă and Sauvignon blanc. The experimental design included wines from eleven wineries distributed across the main Romanian wine-growing regions—Banat, Dobrogea, Moldova, Muntenia–Oltenia, and Transylvania—covering a wide range of altitudes (75–400 m), latitudes (21.6–28.4°), and contrasting soil types (chernozems, alluvial soils, luvaceous and clay-illuvial brown soils) over two climatically distinct vintages (2019 and 2021). Volatile profiling was performed by GC–MS, and aroma relevance was assessed using odor activity values (OAVs) and weighted aromatic scores, while sensory attributes were integrated through structured sensory evaluation. Esters and thiols emerged as the dominant contributors to varietal aroma expression. Sensory aggregation revealed clear winery-dependent differences, whereas vintage effects were moderate, with 2021 wines displaying a more pronounced fruity–floral profile compared to 2019. Linear Discriminant Analysis (LDA) identified grape variety as the strongest discriminant factor, surpassing vintage, and confirmed distinct regional sensory identities. The integrated OAV–sensory–LDA framework demonstrates the defining role of terroir in shaping aromatic structure, enabling robust varietal typicity assessment and regional differentiation across Romanian wine-growing areas. Full article
Show Figures

Graphical abstract

13 pages, 810 KB  
Article
Toxicokinetic and Partial Mass Balance Assessment of 14C-Alpha Olefins in Rats
by Quan Shi, Jamie Dunn, Juan-Carlos Carrillo, Michael G. Penman, Robert H. Powrie, Corinne Haines, Hua Shen, Yuan Tian, Sophie Jia, Fabienne Hubert and Peter J. Boogaard
J. Xenobiot. 2026, 16(1), 26; https://doi.org/10.3390/jox16010026 - 2 Feb 2026
Abstract
Higher olefins are a class of alkenes widely used as intermediates in the production of essential consumer and industrial products. This radiolabel disposition and partial mass balance study investigated the distribution and excretion of four 14C-radiolabelled alpha higher olefins (i.e., 1-octene, 1-decene, [...] Read more.
Higher olefins are a class of alkenes widely used as intermediates in the production of essential consumer and industrial products. This radiolabel disposition and partial mass balance study investigated the distribution and excretion of four 14C-radiolabelled alpha higher olefins (i.e., 1-octene, 1-decene, 1-hexadecene, and 1-eicosene) in male Wistar rats following a single oral dose (100 mg/kg). Blood, liver, kidney, adipose tissue, urine, and faeces were collected and analysed for total 14C-derived radioactivity. Urinary elimination was rapid, with approximately 70% and 90% of total radioactivity recovered in urinary excreted within 24 and 48 h, respectively. Excretion patterns showed a clear chain-length-dependent trend: shorter-chain olefins (C8, C10) exhibited higher urinary excretion, indicating greater systemic absorption, while longer-chain olefins (C16, C20) were primarily eliminated via faeces, suggesting limited intestinal uptake. Tissue distribution was minimal in blood, liver, and kidney, but adipose tissue retention increased with chain length. Total recovery of administered radioactivity in the analysed matrices was low, ranging from 17% to 60%. Importantly, because exhaled 14CO2 and volatile parent compounds were not captured, the missing fraction cannot be quantified and the balance cannot be considered closed. All in all, the current study describes the partial disposition of higher olefins and highlights the influence of molecular size and lipophilicity on the biological fat, though further studies are required to fully characterise their metabolic profile and total elimination kinetics. Full article
Show Figures

Graphical abstract

15 pages, 689 KB  
Article
Upcycling Blackberry Juice Pomace into Fruit Beer: Effects of High Pressure Processing on Polyphenols, Colour, Volatile Profile and Sensory Analysis
by Luca Pretti, Manuela Sanna, Massimiliano Rinaldi, Antonio Valentoni, Margherita Rodolfi, Rohini Dhenge, Daniele Sanna, Maria Cristina Porcu, Tina Lino and Tommaso Ganino
Beverages 2026, 12(2), 18; https://doi.org/10.3390/beverages12020018 - 2 Feb 2026
Abstract
The integration of fruit by-products into brewing represents a promising strategy to enhance sustainability within the beverage sector. This study evaluates the use of dried blackberry (Rubus fruticosus L.) juice pomace, either untreated or pre-treated by High-Pressure Processing (HPP), as an ingredient [...] Read more.
The integration of fruit by-products into brewing represents a promising strategy to enhance sustainability within the beverage sector. This study evaluates the use of dried blackberry (Rubus fruticosus L.) juice pomace, either untreated or pre-treated by High-Pressure Processing (HPP), as an ingredient in fruit beer production. A portion of the blackberry pomace was dried at 50 °C and incorporated into a beer formulation named “control beer” (CB), while another portion of the blackberry pomace was subjected to HPP at 600 MPa for 3 min, dried at 50 °C and incorporated into a beer formulation named HPPB. The beers were analysed for their physicochemical parameters, colour properties, total phenolic content, antioxidant capacity (UV–Vis and EPR), and volatile composition (HS-SPME-GC-MS). A trained sensory panel (n = 8) assessed descriptive attributes. HPP significantly affected the colour of the dried pomace and resulted in beers with higher lightness (L*) but lower redness (a*) and total phenolics. CB exhibited higher antioxidant capacity, whereas HPPB showed increased levels of fruity esters. Sensory analysis confirmed that HPPB was perceived as significantly more fruity in both orthonasal odour and flavour (p < 0.05). No significant differences were detected in beer oxidative stability by EPR. These findings demonstrate that HPP-treated blackberry pomace can modulate the sensory profile of fruit beers despite reducing phenolic retention, and that upcycled by-products can support the development of sustainable, specialty beers. Full article
(This article belongs to the Section Malting, Brewing and Beer)
Show Figures

Graphical abstract

22 pages, 1796 KB  
Article
Untargeted Metabolomics and Multivariate Data Processing to Reveal SARS-CoV-2 Specific VOCs for Canine Biodetection
by Diego Pardina Aizpitarte, Eider Larrañaga, Ugo Mayor, Ainhoa Isla, Jose Manuel Amigo and Luis Bartolomé
Chemosensors 2026, 14(2), 35; https://doi.org/10.3390/chemosensors14020035 - 2 Feb 2026
Abstract
The exceptional olfactory capabilities of trained detection dogs demonstrate high potential for identifying infectious diseases. However, safe and standardized canine training requires specific chemical targets rather than infectious biological samples. This study presents an analytical proof-of-concept combining untargeted metabolomics and machine learning (ML) [...] Read more.
The exceptional olfactory capabilities of trained detection dogs demonstrate high potential for identifying infectious diseases. However, safe and standardized canine training requires specific chemical targets rather than infectious biological samples. This study presents an analytical proof-of-concept combining untargeted metabolomics and machine learning (ML) to decode the specific odor profile of SARS-CoV-2 infection. Using headspace solid-phase microextraction gas chromatography coupled with time-of-flight mass spectrometry (HS-SPME-GC/MS-ToF), axillary sweat samples from 76 individuals (SARS-CoV-2 positive and negative) were analyzed. Data preprocessing and dimensionality reduction were performed to feed a Partial Least Squares-Discriminant Analysis (PLS-DA) model. The optimized model achieved an overall accuracy of 79%, with a specificity of 89% and sensitivity of 70% in external validation, identifying a specific panel of Volatile Organic Compounds (VOCs) as discriminant biomarkers. The optimized model achieved robust classification performance, effectively distinguishing infected individuals from healthy controls based solely on their volatilome. Six VOCs were found to be consistently presented in COVID-19-positive individuals. These compounds were proposed as candidate odor signatures for constructing artificial training aids to standardize and accelerate the training of detection dogs. This study establishes a framework where machine learning-driven metabolomic profiling directly informs biological sensor training, offering a novel synergy between ML and biological intelligence in disease detection. This study establishes a scalable computational framework to translate biological samples into chemical data, providing the scientific basis for designing safe, synthetic K9 training aids for future infectious disease outbreaks without the biosafety risks associated with handling live pathogens. Full article
Show Figures

Figure 1

14 pages, 5154 KB  
Article
Comprehensive Analytical Profiling for Sustainable Jewelry: A Multi-Technique Characterization of Essential Oil-Modified Rosin
by Dantong Huang, Kaewbucha Manus, Apiwathnasorn Chalisa, Tianyi Liu, Chuyun Yan and Yumeng Gu
Methods Protoc. 2026, 9(1), 20; https://doi.org/10.3390/mps9010020 - 2 Feb 2026
Abstract
Rosin, a renewable natural resin derived from pine trees, is a promising biomass material for sustainable product development, though its distinct intrinsic odor limits broader use. This study implemented a comprehensive analytical strategy to mitigate the odor by incorporating essential oils (EOs)—eucalyptus (EUC) [...] Read more.
Rosin, a renewable natural resin derived from pine trees, is a promising biomass material for sustainable product development, though its distinct intrinsic odor limits broader use. This study implemented a comprehensive analytical strategy to mitigate the odor by incorporating essential oils (EOs)—eucalyptus (EUC) and peppermint (MINT)—and to conduct a multi-analytical characterization of the modified rosin jewelry. By integrating complementary analytical techniques, including LC-Q/TOF-MS for non-volatile components and GC-Q/TOF-MS for volatile organic compounds (VOCs), we achieved a systematic chemical profiling of the materials. The core composition of rosin, dominated by abietic acid (>48%), remained stable across all samples. The incorporation of EOs significantly altered the VOC profiles: The total VOC signal (summed peak area) in MINT-modified rosin was 2.57-fold that of the EUC-modified sample, with monoterpenoids comprising 87.62% of its VOC signature. Eucalyptol and limonene were tentatively identified as the major components in the EUC sample, whereas menthone, menthol, and limonene predominated in the MINT sample. Multivariate statistical analysis highlighted that variations in specific VOCs—particularly menthone, menthol, eucalyptol, and allo-ocimene—were closely associated with differences in the scent profiles of each modification. This work illustrates how a multi-technique analytical strategy can both guide and assess the functional modification of sustainable biomass materials. The findings offer a practical approach to improving rosin’s functional properties while providing a methodological framework for the integrated characterization of complex biomaterials, supporting the development of eco-friendly products aligned with green chemistry and sustainable design principles. Full article
(This article belongs to the Special Issue Analytical Methods in Natural Sciences and Archaeometry)
Show Figures

Figure 1

13 pages, 993 KB  
Article
Chemical Properties of Mucilage Extracts from Cladodes of Opuntia ficus-indica (L.) Miller for Gel Formulation: Comparative Study with Pectin
by Federica Torregrossa, Luciano Cinquanta, Francesca Mazza, Francesca Malvano, Natale Badalamenti, Maurizio Bruno and Matteo Pollon
Gels 2026, 12(2), 130; https://doi.org/10.3390/gels12020130 - 2 Feb 2026
Abstract
Mucilage extracted from cladodes of Opuntia ficus-indica (L.) Mill. has attracted growing interest as a natural food additive due to its gelling and nutritional properties. In this study, the chemical characteristics of Opuntia ficus-indica mucilage were comparatively evaluated against commercial pectin, with particular [...] Read more.
Mucilage extracted from cladodes of Opuntia ficus-indica (L.) Mill. has attracted growing interest as a natural food additive due to its gelling and nutritional properties. In this study, the chemical characteristics of Opuntia ficus-indica mucilage were comparatively evaluated against commercial pectin, with particular emphasis on volatile compounds, mineral composition, and monosaccharide profiles by 13C-NMR spectroscopic analysis. The volatile components were analysed using gas chromatography–mass spectrometry (GC-MS), revealing distinct aromatic profiles between the two matrices, with the mucilage showing a significant presence of methoxypyrazines, but not detected in the powdered pectin studied. These compounds could negatively affect the sensory perception of mucilage. Mineral analysis demonstrated significantly higher levels of calcium, magnesium, and potassium, supporting its potential contribution to nutritional enrichment. The spectroscopic analysis, used to identify monosaccharide composition of polysaccharide chains, highlighted the presence of arabinose, galactose, glucose, and rhamnose in the mucilage sample compared to the predominantly glucose/galacturonic acid-based structure of pectin. Overall, the results indicate that Opuntia ficus-indica mucilage represents a promising alternative to pectin, offering unique chemical properties that may expand its application as a multifunctional, natural food additive. Full article
Show Figures

Figure 1

20 pages, 1444 KB  
Article
Benchtop Volatilomics and Machine Learning for the Discrimination of Coffee Species
by Catherine Kiefer, Steffen Schwarz, Nima Naderi, Hadi Parastar, Sascha Rohn and Philipp Weller
Chemosensors 2026, 14(2), 34; https://doi.org/10.3390/chemosensors14020034 - 2 Feb 2026
Abstract
The main characteristics of the large number of coffee species are differences in aroma and caffeine content. Labeled blends of Coffea arabica (C. arabica) and Coffea canephora (C. canephora) are common to broaden the flavor profile or enhance the [...] Read more.
The main characteristics of the large number of coffee species are differences in aroma and caffeine content. Labeled blends of Coffea arabica (C. arabica) and Coffea canephora (C. canephora) are common to broaden the flavor profile or enhance the stimulating effect of the beverage. New emerging species such as Coffea liberica (C. liberica) further increase the variability in blends. However, significant price differences between coffee species increase the risk of unlabeled blends and thus influence food quality and safety for consumers. In this study, a prototypic hyphenation of trapped headspace-gas chromatography-ion mobility spectrometry-quadrupole mass spectrometry (THS-GC-IMS-QMS) was used for the detection of characteristic compounds of C. arabica, C. canephora, and C. liberica in green and roasted coffee samples. For the discrimination of coffee species with IMS data, multivariate resolution with multivariate curve resolution–alternating least squares (MCR-ALS) prior to partial least squares–discriminant analysis (PLS-DA) was evaluated. With this approach, the classification accuracy, as well as sensitivity and specificity, of the PLS-DA model was significantly improved from an overall accuracy of 87% without prior feature selection to 92%. As MCR-ALS preserves the physical and chemical properties of the original data, characteristic features were determined for subsequent substance identification. The simultaneously generated QMS data allowed for partial annotation of the characteristic volatile organic compounds (VOC) of roasted coffee. Full article
Show Figures

Figure 1

21 pages, 4614 KB  
Article
Integrated Mechanisms of Flavor and Quality Development in Braised Pork: A Study on Volatile Profiles, Texture Dynamics, Nucleotide Catabolism, and Protein Oxidation
by Zhuowen Wang, Jinxuan Cao, Jinpeng Wang, Yuemei Zhang, Wendi Teng, Shuai Zhuang and Ying Wang
Foods 2026, 15(3), 503; https://doi.org/10.3390/foods15030503 - 1 Feb 2026
Viewed by 168
Abstract
This study aimed to explore the evolution of quality and flavor characteristics of braised pork during the cooking process and clarify the underlying formation mechanisms. Texture analysis revealed that shear force and hardness initially increased during blanching but decreased substantially with an extended [...] Read more.
This study aimed to explore the evolution of quality and flavor characteristics of braised pork during the cooking process and clarify the underlying formation mechanisms. Texture analysis revealed that shear force and hardness initially increased during blanching but decreased substantially with an extended stewing time. Low-field NMR indicated a progressive shift in water distribution from immobilized to free states, correlating with cooking loss and tenderness development. GC-MS and E-nose analyses showed significant increases in volatile compound diversity and concentrations, with aldehydes and ketones identified as dominant contributors to the evolving aroma profile. Throughout the processing, an enhancement in protein oxidation and nucleotide degradation was observed. Notably, significant increases were detected in the umami amino acids aspartic acid and glutamic acid, as well as in the umami nucleotide inosine monophosphate (IMP). These changes collectively contributed to the development of the characteristic taste profile. These findings indicate that the superior eating quality evolution and flavor development of braised pork during cooking are governed by the coordinated changes in texture, water distribution, lipid oxidation, and taste-active compounds. The interplay between these factors occurs at different stages of processing, leading to the complex, non-linear enhancement of flavor and texture. Full article
Show Figures

Figure 1

14 pages, 1203 KB  
Article
Influence of Drying Methods on Volatile Aroma Compounds and Sensory Properties of Olive Leaf Herbal Tea
by Gianluca Tripodi, Marco Torre, Antonella Verzera and Fabrizio Cincotta
Foods 2026, 15(3), 496; https://doi.org/10.3390/foods15030496 - 1 Feb 2026
Viewed by 55
Abstract
Olive leaves, a by-product of the olive oil industry, represent an interesting underutilized raw material for the preparation of herbal teas. However, processing conditions, particularly drying methods, may strongly influence their chemical and sensory quality. This study aimed to evaluate the effect of [...] Read more.
Olive leaves, a by-product of the olive oil industry, represent an interesting underutilized raw material for the preparation of herbal teas. However, processing conditions, particularly drying methods, may strongly influence their chemical and sensory quality. This study aimed to evaluate the effect of air drying (AD) and microwave drying (MWD) on the phenolic content, antioxidant capacity, volatile aroma compounds, sensory profile, and consumers’ acceptability of olive leaf herbal teas. Olive leaves were subjected to AD (50 °C, 3 h) and MWD (400 W, 4 min), and infusions were prepared. Total phenolic content (TPC) and antioxidant capacity (AC) were evaluated spectrophotometrically, volatile compounds were analyzed by HS-SPME-GC-MS, and sensory characteristics were assessed through descriptive sensory analysis and consumers’ acceptability test. MWD significantly increased TPC compared to AD; however, this increase was not proportionally reflected in AC. The drying methods influenced the volatile profile of herbal teas, with AD showing a higher amount of alcohols, esters, and terpenes associated with green and floral notes, whereas MWD showed a major content of aldehydes and ketones linked to fruity notes. Sensory analysis confirmed these differences; moreover, MWD herbal teas were more bitter and astringent, and consumer tests showed a clear preference for herbal teas produced from AD leaves. Overall, the results highlight the key role of drying methods in shaping the chemical and sensory attributes of olive leaf herbal tea, suggesting air drying to be the most suitable process for producing a sensorially acceptable product. Full article
(This article belongs to the Section Food Engineering and Technology)
Show Figures

Figure 1

33 pages, 2930 KB  
Article
From Gas Chromatography–Mass Spectrometry (GC–MS) to Network Pharmacology: System-Level Insights into the Multi-Target Biological Potential of Flaveria trinervia (Spreng.) C. Mohr
by Christopher Torres Flores, Eduardo Pérez-Campos, Laura Pérez-Campos Mayoral, Luis Ángel Laguna-Barrios, Karen Beatriz Méndez-Rodríguez, Francisco Javier Pérez-Vázquez, Eduardo Pérez Campos-Mayoral, Carlos Mauricio Lastre-Domínguez, Efrén Emmanuel Jarquín González, Margarito Martínez Cruz, María del Socorro Pina Canseco, Zoila Mora Guzmán, Karol Celeste López Montesinos, Hector A. Cabrera Fuentes and María Teresa Hernández-Huerta
Curr. Issues Mol. Biol. 2026, 48(2), 160; https://doi.org/10.3390/cimb48020160 - 1 Feb 2026
Viewed by 85
Abstract
Flaveria trinervia (Spreng) C. Mohr is a plant traditionally used in Mexican medicine. In this study, gas chromatography–mass spectrometry (GC–MS) combined with network pharmacology was employed to characterize volatile and semi-volatile metabolites from F. trinervia leaves and to explore their potential system-level mechanisms [...] Read more.
Flaveria trinervia (Spreng) C. Mohr is a plant traditionally used in Mexican medicine. In this study, gas chromatography–mass spectrometry (GC–MS) combined with network pharmacology was employed to characterize volatile and semi-volatile metabolites from F. trinervia leaves and to explore their potential system-level mechanisms of action in inflammatory and tumor-related disorders. A dual extraction strategy (hexane/dichloromethane and acetone/chloroform) was applied, followed by GC–MS-based compound identification. Putative molecular targets were predicted using established pharmacological databases, and protein–protein interaction networks were constructed to identify topological features and enriched biological pathways. A total of 11 bioactive compounds were tentatively identified with an identity level of ≥80%, with seven shared between both extracts, including phytol, germacrene D, caryophyllene oxide, pinene isomers, squalene, and 2,2′:5′,2″-terthiophene, metabolites previously reported to exhibit antioxidant, anti-inflammatory, and cytotoxic activities. Network topology analysis identified ESR1, RXRA/B/G, NCOA2, and CYP19A1 as central nodes, reflecting convergence on signaling axes involved in apoptosis, cell proliferation, immune modulation, and transcriptional regulation pathways. Functional enrichment analysis revealed significant associations with KEGG pathways related to immune modulation, neuroendocrine regulation, and cancer-associated pathways. Collectively, these findings suggest a multitarget biological and multipathway pharmacological profile for F. trinervia, consistent with previously reported biological activities. The concordance between in silico predictions and existing experimental evidence strengthens the pharmacological relevance of the identified metabolites and supports their prioritization for further experimental validation, including mechanistic and pharmacokinetic studies, in metabolic, immune, neurological, and cancer-related contexts. Full article
15 pages, 2068 KB  
Article
Source Profile Analysis of Atmospheric Volatile Organic Compounds in Chongqing
by Anqi Zhang, Xin Qi, Yuchun Jiang, Hanfei Zuo, Yang Chen and Xiaoqian Li
Toxics 2026, 14(2), 143; https://doi.org/10.3390/toxics14020143 - 1 Feb 2026
Viewed by 73
Abstract
This study presents the first systematic investigation of Volatile Organic Compounds (VOC) source profiles from key industrial sectors in Chongqing, China. Source-specific emission data were collected from fifteen representative facilities encompassing furniture manufacturing, automobile production, and chemical industries through a combination of on-site [...] Read more.
This study presents the first systematic investigation of Volatile Organic Compounds (VOC) source profiles from key industrial sectors in Chongqing, China. Source-specific emission data were collected from fifteen representative facilities encompassing furniture manufacturing, automobile production, and chemical industries through a combination of on-site sampling and comprehensive literature review. Our results reveal distinct chemical signatures and regional variations among different source categories: furniture manufacturing emissions are dominated by alkanes (65%), chemical industries exhibit 51% alkane contribution, while automobile manufacturing demonstrates a remarkably high aromatic hydrocarbon content (64%), significantly exceeding other investigated sectors. Notably, aromatic hydrocarbons—particularly benzene derivatives—emitted from automotive manufacturing facilities pose potential carcinogenic and chronic health risks to both occupational workers and surrounding populations, necessitating prioritized regulatory intervention. These locally derived emission profiles fill a critical knowledge gap in regional VOC source characterization for Chongqing, providing essential scientific evidence for accurate source apportionment and formulation of sector-specific emission reduction strategies. Full article
Show Figures

Figure 1

20 pages, 2918 KB  
Article
Comparative Analysis of VOC Profiles in Populus deltoides cv. Harvard I-63/51 and P. × canadensis cv. Conti 12 Poplars Attacked by Megaplatypus mutatus
by Celeste Arancibia, Laura Mitjans, María Victoria Bertoldi, Andrés Morales, Magdalena Gantuz, Leonardo Bolcato, Patricia Piccoli, Natalia Naves, Juan Alberto Bustamante and Ricardo Williams Masuelli
Stresses 2026, 6(1), 6; https://doi.org/10.3390/stresses6010006 - 31 Jan 2026
Viewed by 119
Abstract
Megaplatypus mutatus, a major poplar pest in South America, tunnels into the xylem, weakening trunks and reducing wood quality. Volatile organic compounds (VOCs) are key mediators of plant–insect interactions and may reflect genotype-specific defence strategies. This study analysed VOC profiles of young [...] Read more.
Megaplatypus mutatus, a major poplar pest in South America, tunnels into the xylem, weakening trunks and reducing wood quality. Volatile organic compounds (VOCs) are key mediators of plant–insect interactions and may reflect genotype-specific defence strategies. This study analysed VOC profiles of young and adult Populus deltoides cv. Harvard and P. × canadensis cv. Conti 12 under natural M. mutatus infestation. Gas chromatography–mass spectrometry putatively annotated 31 VOCs, including green leaf volatiles (GLVs), pentyl leaf volatiles (PLVs), terpenes, alcohols, aromatics and phenolics, 12 of which, to our knowledge, have not been previously reported in Populus VOC profiles. Harvard trees showed ~14.5-fold higher total VOC abundance than Conti trees. In Conti, constitutive VOC emissions remained stable regardless of infestation status or age. In contrast, under infestation, Harvard trees emitted10-fold higher constitutive VOCs than non-infested Harvard trees and ~52-fold higher than Conti, a pattern consistent with increased defensive activity. GLVs and PLVs relatively dominated both genotypes, although Harvard showed higher emissions. Terpenes were not detected in young Conti trees under our analytical conditions but were abundant and diverse in infested Harvard trees, which may indicate a stronger terpene-associated response in this clone. Several compounds were detected only under specific genotype–condition combinations in our dataset and therefore represent candidate volatiles for future behavioural and functional studies. These results are consistent with differences in VOC emission patterns between genotypes and age classes, improve our understanding of putative chemical cues in the interaction between Populus and M. mutatus, and provide a basis for future work towards sustainable pest management strategies. Full article
(This article belongs to the Topic New Insights into Plant Biotic and Abiotic Stress)
Show Figures

Graphical abstract

18 pages, 3248 KB  
Article
Variation in Fruit Quality and Aroma Biosynthesis of ‘Summer Black’ Grape in Southern China
by Rong Wang, Meng Yan, Wenting Chen, Shumin Lei, Jun Tan, Yanshuai Xu and Guoshun Yang
Genes 2026, 17(2), 172; https://doi.org/10.3390/genes17020172 - 31 Jan 2026
Viewed by 68
Abstract
Objectives: The aroma profile is a key determinant of fruit quality. Methods: In this study, mature ‘Summer Black’ grape berries were collected from 36 major producing areas in southern China to evaluate regional differences in fruit quality, volatile compounds were analyzed by via [...] Read more.
Objectives: The aroma profile is a key determinant of fruit quality. Methods: In this study, mature ‘Summer Black’ grape berries were collected from 36 major producing areas in southern China to evaluate regional differences in fruit quality, volatile compounds were analyzed by via GC-MS, and a representative volatile profile was established. Furthermore, transcriptome sequencing was employed to identify key genes involved in the phenylpropanoid biosynthesis pathway related to aroma formation. Results: The results showed the following: (1) Samples from CD-2 exhibited the highest soluble solid content and the largest TSS/TA ratio. (2) A total of 20 volatile compounds were selected as indicators for the aroma fingerprint. MS-1 samples contained the most diverse aroma compounds (19 types), while CS-2 had the fewest (12 types). (3) Eight aroma compounds were consistently detected across all regions: hexanal, trans-2-hexenal, n-hexanol, β-citronellol, geraniol, nerol, benzyl alcohol, and phenethyl alcohol. Among these, hexanal and trans-2-hexenal were the most abundant; phenylethyl alcohol exhibited the most significant variation in percentage content across all samples, and was determined to be the representative and dominant volatile compound in ‘Summer Black’ grapes. (4) A transcriptome analysis of six representative regions identified 15 differentially expressed genes associated with phenylpropanoid biosynthesis and metabolism. Among them, PAO (Vitvi04g01467) was significantly correlated with phenethyl alcohol content. Conclusions: These findings provide a basis for evaluating the aroma quality of ‘Summer Black’ grapes and offer insights for regional cultivation selection. Full article
(This article belongs to the Special Issue Genetic and Breeding Improvement of Horticultural Crops)
Show Figures

Figure 1

27 pages, 4045 KB  
Article
Characteristic Aroma Fingerprint Disclosure of Apples (Malus × domestica) by Applying SBSE-GC-O-MS and GC-IMS Technology Coupled with Sensory Molecular Science
by Ning Ma, Jiancai Zhu, Heng Wang, Michael C. Qian and Zuobing Xiao
Foods 2026, 15(3), 482; https://doi.org/10.3390/foods15030482 - 30 Jan 2026
Viewed by 162
Abstract
Apple aroma is an important factor influencing consumers’ preferences. To understand the overall flavor characteristics of apples (Ruixue, Liangzhi, Grystal Fuji, and Guifei), volatile compounds and aroma profiles were investigated by headspace–gas chromatography–ion mobility spectrometry (HS-GC-IMS) combined with stir bar sorptive extraction (SBSE) [...] Read more.
Apple aroma is an important factor influencing consumers’ preferences. To understand the overall flavor characteristics of apples (Ruixue, Liangzhi, Grystal Fuji, and Guifei), volatile compounds and aroma profiles were investigated by headspace–gas chromatography–ion mobility spectrometry (HS-GC-IMS) combined with stir bar sorptive extraction (SBSE) and gas chromatography–mass spectrometry (GC-MS). The results showed that a total of 56 aroma compounds were identified by SBSE-GC-MS, and 39 aroma-active compounds were screened out using aroma intensity (AI) and odor activity value (OAV). Aroma recombination experiments showed enhanced ‘fruity’ and ‘sweet’ notes, whereas ‘floral’, ‘woody’, and ‘green’ aromas were weaker compared to the Crystal Fuji sample. Additionally, GC-IMS coupled with principal component analysis (PCA) was used to distinguish the apple samples, and partial least squares regression (PLSR) was applied to explore the correlation between sensory attributes and characteristic aroma compounds. The results indicated that Crystal Fuji exhibited the greatest correlation with the “woody” attribute, and Ruixue was highly correlated with “fruity”, “green”, and “sour” attributes, while butanoic acid, β-damascenone, butyl acetate, pentyl acetate, furfuryl alcohol, γ-decalactone, and vanillin had a significant impact on the “flower” and “sweet” attributes of Guifei. This study clarified the characteristic aroma composition of the four apple cultivars, providing data support for apple flavor quality evaluation and cultivar optimization. Full article
(This article belongs to the Section Food Analytical Methods)
Show Figures

Figure 1

Back to TopTop