Sign in to use this feature.

Years

Between: -

Subjects

remove_circle_outline
remove_circle_outline
remove_circle_outline
remove_circle_outline
remove_circle_outline
remove_circle_outline
remove_circle_outline
remove_circle_outline
remove_circle_outline

Journals

remove_circle_outline
remove_circle_outline
remove_circle_outline
remove_circle_outline
remove_circle_outline
remove_circle_outline
remove_circle_outline
remove_circle_outline
remove_circle_outline

Article Types

Countries / Regions

remove_circle_outline
remove_circle_outline
remove_circle_outline
remove_circle_outline

Search Results (379)

Search Parameters:
Keywords = viscous stress

Order results
Result details
Results per page
Select all
Export citation of selected articles as:
9 pages, 395 KB  
Article
Ideas on New Fluid Dynamic Theory Based on the Liutex Rigid Rotation Definition
by Kuncan Zheng, Zhi Pan, You Fan, Yiting Liu, Dapeng Zhang and Yonghong Niu
Fluids 2026, 11(1), 20; https://doi.org/10.3390/fluids11010020 - 12 Jan 2026
Viewed by 112
Abstract
In recent years, a novel decomposition of fluid motion has been proposed, which mathematically defines a type of fluid rigid rotation distinct from vorticity, termed the Liutex quantity. Since its introduction, Liutex has been successfully applied to describe fluid vortices and has emerged [...] Read more.
In recent years, a novel decomposition of fluid motion has been proposed, which mathematically defines a type of fluid rigid rotation distinct from vorticity, termed the Liutex quantity. Since its introduction, Liutex has been successfully applied to describe fluid vortices and has emerged as an internationally recognized third-generation vortex identification method. This new motion decomposition undoubtedly leads to a revised description of rotational and deformational motions, thereby necessitating a new description of dynamics. Therefore, based on the Stokes assumption and the novel Liutex decomposition, this paper constructs a new constitutive equation and derives a new set of fluid dynamic equations. The research findings reveal two key insights: first, the new shear stress in the fluid is no longer symmetric; second, in addition to traditional forces such as body force, pressure, and viscous force, an additional force induced by Liutex-based rigid rotation is identified. Furthermore, the new dynamic framework encompasses traditional fluid dynamics, with the latter being a special case when Liutex equals the traditional vorticity. It is anticipated that the proposed equations will find significant applications in the study of fluid vortices and turbulence and will undoubtedly stimulate research interest in the field of fluid mechanics. Full article
(This article belongs to the Special Issue Vortex Definition and Identification)
Show Figures

Figure 1

17 pages, 1569 KB  
Article
Mechanical Characterization of Stick Insect Tarsal Attachment Fluid Using Atomic Force Microscopy (AFM)
by Martin Becker, Alexander E. Kovalev, Thies H. Büscher and Stanislav N. Gorb
Biomimetics 2026, 11(1), 42; https://doi.org/10.3390/biomimetics11010042 - 6 Jan 2026
Viewed by 218
Abstract
Most insects secrete special fluids from their tarsal pads which are essential for the function of their attachment systems. Previous studies investigated several physical and chemical characteristics of this pad fluid in different insect species. However, there is not much known about the [...] Read more.
Most insects secrete special fluids from their tarsal pads which are essential for the function of their attachment systems. Previous studies investigated several physical and chemical characteristics of this pad fluid in different insect species. However, there is not much known about the mechanical properties of fluid from smooth adhesive pads. In this study, we used the stress–relaxation nanoindentation method to examine the viscoelastic properties of pad fluid from Sungaya aeta. Force–displacement and stress–relaxation curves on single fluid droplets were recorded with an atomic force microscope (AFM) and analyzed using Johnson–Kendall–Roberts (JKR) and generalized Maxwell models for determination of effective elastic modulus (E), work of adhesion (Δγ) and dynamic viscosity (η). In addition, we used white light interferometry (WLI) to measure the maximal height of freshly acquired droplets. Our results revealed three different categories of droplets, which we named “almost inviscid”, “viscous” and “rigid”. They are presumably determined at the moment of secretion and retain their characteristics even for several days. The observed mechanical properties suggest a non-uniform composition of different droplets. These findings provide a basis for advancing our understanding about the requirements for adaptive adhesion-mediating fluids and, hence, aid in advancing technical solutions for soft or liquid temporal adhesives and gripping devices. Full article
(This article belongs to the Special Issue Advances in Biomimetics: Patents from Nature)
Show Figures

Graphical abstract

25 pages, 7220 KB  
Article
Effects of Conditioning Agents on the Undrained Shear Response and Pore-Scale Behavior of Sand for EPB Shield Tunneling
by Lu Wang, Jiannan Hu, Wei Zhu and Fanlu Min
Appl. Sci. 2026, 16(1), 531; https://doi.org/10.3390/app16010531 - 5 Jan 2026
Viewed by 122
Abstract
Efficient soil conditioning is critical for controlling the mechanical behavior of sandy muck in earth pressure balance (EPB) shield tunneling. This study investigates the undrained shear response of sand conditioned with slurry, a newly developed bubble–slurry, and foam under vertical stresses of 0–300 [...] Read more.
Efficient soil conditioning is critical for controlling the mechanical behavior of sandy muck in earth pressure balance (EPB) shield tunneling. This study investigates the undrained shear response of sand conditioned with slurry, a newly developed bubble–slurry, and foam under vertical stresses of 0–300 kPa, considering different injection ratios and shear rates. Under atmospheric pressure, conditioning reduces both peak and residual shear strengths by more than 90% compared with untreated sand. Foam- and bubble–slurry-conditioned sands show stable strength within 6 h; after 24 h, peak strength increases from 0.39 to 4.67 kPa for foam-conditioned sand but only from 0.67 to 0.84 kPa for bubble–slurry-conditioned sand. Shear strength increases nearly linearly with shear rate, especially for residual strength. Pore-scale mechanisms were interpreted by considering bubble proportion and size, pore-fluid rheology, and surface tension. Rheology governs whether dynamic or viscous resistance dominates at different shear rates, while surface tension influences stress transmission through bubble stability and interparticle lubrication. The void ratio range of e/emax = 1.00–1.36 was identified as achieving low shear strength and good flowability. Field application in Jinan Metro Line R2 confirmed that combined conditioning (25% foam + 13% slurry) reduced cutterhead torque by about 37% without spewing. Full article
(This article belongs to the Section Civil Engineering)
Show Figures

Figure 1

22 pages, 3638 KB  
Article
Seismic Performance of High-Rise Shear Walls with Hybrid Control: Sparse Isolation Bearings and Viscous Fluid Dampers
by Tianci Li, Ruiming Liu, Guangyu Sun and Wujie Sun
Buildings 2026, 16(1), 208; https://doi.org/10.3390/buildings16010208 - 2 Jan 2026
Viewed by 362
Abstract
To tackle the limitations of conventional seismic design in high-intensity zones, as well as the challenges of inadequate isolation efficiency, excessive bearing displacement, and tensile stress in seismically isolated high-rise structures, this study presents a systematic solution for high-rise shear wall structures in [...] Read more.
To tackle the limitations of conventional seismic design in high-intensity zones, as well as the challenges of inadequate isolation efficiency, excessive bearing displacement, and tensile stress in seismically isolated high-rise structures, this study presents a systematic solution for high-rise shear wall structures in seismic intensity 8 zones. The solution features a sparse isolator layout strategy, reducing isolator count by 40% to lower stiffness, while adding viscous dampers in the isolation layer for enhanced displacement control. Comparative nonlinear time history analyses were conducted to evaluate the inter-story shear distribution, energy dissipation allocation, and isolator responses. The results show that (1) the sparse layout achieves the best performance in controlling the bottom shear ratio and Maximum Considered Earthquake (MCE)-level responses (including displacement and tensile stress); (2) viscous dampers significantly reduce the shear forces in the lower stories and the energy dissipation of both isolators and the superstructure; (3) the combined strategy successfully resolves the issues of excessive isolator displacement and tensile stress under MCE. This research offers a standardized, economical, and highly resilient technical approach for seismically isolated high-rise projects in high-intensity seismic regions. Full article
(This article belongs to the Section Building Structures)
Show Figures

Figure 1

27 pages, 5609 KB  
Article
Characteristics of Compressive Stress Wave Propagation Across a Nonlinear Viscoelastic Filled Rock Joint
by Zhifa Zhan, Xiaolin Huang, Jiahu Du, Yilin Sun and Jilin Wang
Appl. Sci. 2026, 16(1), 428; https://doi.org/10.3390/app16010428 - 30 Dec 2025
Viewed by 172
Abstract
Filled joints significantly influence the dynamic response of rock masses, exhibiting coupled nonlinear compression-hardening and viscous deformation. However, the combined effects of these mechanisms on wave propagation remain unclear. This study develops a theoretical model based on a nonlinear viscoelastic formulation, in which [...] Read more.
Filled joints significantly influence the dynamic response of rock masses, exhibiting coupled nonlinear compression-hardening and viscous deformation. However, the combined effects of these mechanisms on wave propagation remain unclear. This study develops a theoretical model based on a nonlinear viscoelastic formulation, in which a compression-hardening spring (governed by the Bandis–Barton model, with its initial compressive stiffness and maximum allowable closure) is connected in series with a viscous dashpot. Using the displacement discontinuity method and the method of characteristics, we analyze the transmission of compressive stress waves across a filled joint. The results show that the transmission coefficient increases with incident wave amplitude but decreases with frequency, whereas reflection exhibits the opposite trends. The initial compressive stiffness has a minimal impact on transmission but induces a nonlinear decrease in reflection. Increasing the maximum allowable closure slightly reduces transmission but sharply increases reflection, whereas higher viscous stiffness enhances transmission and slightly suppresses reflection. Energy attenuation grows rapidly with amplitude before stabilizing. The initial compressive stiffness is most influential at low amplitudes, the maximum allowable closure is most significant at moderate amplitudes, and viscous effects remain consistent across all amplitudes. Increases in frequency lead to a nonlinear decrease in attenuation, with the initial compressive stiffness and maximum allowable closure dominating at high frequencies, and viscous effects prevailing at low frequencies. This work systematically reveals the coupled roles of nonlinear compression-hardening and viscosity in wave propagation across filled joints, providing theoretical support for dynamic hazard mitigation and geophysical exploration. Full article
Show Figures

Figure 1

18 pages, 2214 KB  
Article
Requirement for Higher-Order Viscous Discretization to Avoid Numerical Contamination of Subgrid-Scale Model-Constant Estimates in a Linearly Forced Taylor-Flow Benchmark
by Xuanyou Gong, Hiroki Suzuki, Kento Tanaka and Toshinori Kouchi
Fluids 2026, 11(1), 5; https://doi.org/10.3390/fluids11010005 - 26 Dec 2025
Viewed by 173
Abstract
This study quantifies how viscous-term discretization errors contaminate subgrid-scale (SGS) model-constant estimates when SGS eddy viscosity is tuned to satisfy an energy budget. A linearly forced, steady two-dimensional low-Reynolds-number Taylor-flow benchmark is used: it preserves global kinetic energy analytically, and the forcing cancels [...] Read more.
This study quantifies how viscous-term discretization errors contaminate subgrid-scale (SGS) model-constant estimates when SGS eddy viscosity is tuned to satisfy an energy budget. A linearly forced, steady two-dimensional low-Reynolds-number Taylor-flow benchmark is used: it preserves global kinetic energy analytically, and the forcing cancels the viscous term without altering the convective–pressure balance when incompressibility holds. Large-eddy simulations on staggered grids (5624802) employ second-, fourth- and sixth-order central differences for the viscous term and second- or fourth-order convective schemes. SGS stresses are represented by the Vreman model, used to probe numerical error–SGS interaction rather than to validate three-dimensional turbulence physics. Energy errors arise almost exclusively from the viscous discretization and scale as Δxm (m=2,4,6). Balancing this truncation error with SGS dissipation (CvΔx2) yields the theoretical scaling CvΔxm2. For a second-order viscous scheme, the required Cv becomes Δx-independent, Re-dependent, and far above practical LES values, showing that tuning can serve as a numerical band-aid and undermine quantitative constant estimation. With fourth- or higher-order viscous discretization, the required Cv decays rapidly with refinement; when Cv is adjusted, global energy is recovered and RMS velocity errors decay with viscous accuracy, while convective-order effects remain minor. Full article
(This article belongs to the Special Issue Computational Fluid Dynamics Applied to Transport Phenomena)
Show Figures

Figure 1

11 pages, 2638 KB  
Article
Study on Viscoelastic Characteristics of Polymer Solution Formation and Their Effect on Oil Displacement Efficiency
by Shijie Zhu, Yong Zhu, Lijun Chen, Jie Zhang, Xueli Duan, Yunxiong Cai and Xinsheng Jiang
Polymers 2026, 18(1), 2; https://doi.org/10.3390/polym18010002 - 19 Dec 2025
Viewed by 371
Abstract
Polymer solutions exhibit radial flow characteristics upon injection into a formation via the wellbore. Accurately characterizing their viscoelastic properties at varying seepage velocities and quantifying their impact on displacement efficiency are crucial for advancing polymer flooding technology. This study simulated shear rate variations [...] Read more.
Polymer solutions exhibit radial flow characteristics upon injection into a formation via the wellbore. Accurately characterizing their viscoelastic properties at varying seepage velocities and quantifying their impact on displacement efficiency are crucial for advancing polymer flooding technology. This study simulated shear rate variations during polymer injection and integrated laboratory-measured viscoelastic properties with permeability characteristics in porous media. An analysis of the oil displacement performance between viscoelastic polymer solutions and a purely viscous fluid, glycerol, was conducted. The key findings are as follows: (1) Polymer elasticity, characterized by the first normal stress difference, diminishes with decreasing injection time/solution concentration. Significant viscoelasticity is observed near the wellbore, weakening in deeper reservoir regions. (2) The polymer type and injection conditions govern the development of solution “effective viscosity” during porous medium flow. A fundamental trend under elevated flow velocities is an increase in effective viscosity with shear rate. (3) Comparison with glycerol demonstrates that the viscoelastic effect of polymer solutions enhances heavy-oil displacement efficiency. The magnitude of this viscoelastic effect within the porous medium directly correlates with its contribution to improved displacement efficiency. Full article
(This article belongs to the Special Issue Application of Polymers in Enhanced Oil Recovery)
Show Figures

Graphical abstract

11 pages, 455 KB  
Article
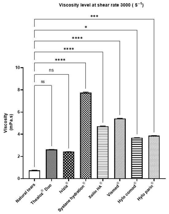
Shear-Stress-Dependent Viscous Properties of Hyaluronic-Based Lubricants
by Ulrich Graf, Doreen Schmidl, Gerhard Garhöfer and Leopold Schmetterer
J. Clin. Med. 2025, 14(24), 8753; https://doi.org/10.3390/jcm14248753 - 10 Dec 2025
Viewed by 402
Abstract
Background/Objectives: The physical properties of topical eyedrop formulations used for the treatment of dry-eye disease play an important role in the lubrication of the ocular surface. In the present study, we investigate the shear-stress-dependent viscous properties of seven different commercially available lubricants [...] Read more.
Background/Objectives: The physical properties of topical eyedrop formulations used for the treatment of dry-eye disease play an important role in the lubrication of the ocular surface. In the present study, we investigate the shear-stress-dependent viscous properties of seven different commercially available lubricants using a novel optical rheometer for accurate analysis of the viscosity of liquid samples. In addition, the viscosity of natural tears was studied. Methods: Viscosity measurements were performed using Fluidicam RHEO technology (FORMULACTION, Toulouse, France), an automated optical rheometer combining microfluidic and imaging technologies. Measurements were conducted at a temperature of 34 °C and at shear rates ranging from 3000 s−1 to 30,000 s−1 to mimic conditions during eye blinking. Results: Natural tears showed minimal change in viscosity in response to changes in shear stress, with viscosity values of 0.91 mPa·s at 3000 s−1 and 0.80 mPa·s at 30,000 s−1. Among the artificial tear formulations, Thealoz® Duo had the lowest viscosity (2.62 ± 0.01 mPa·s at 3000 s−1), followed by Ivizia® (2.42 ± 0.02 mPa·s), Hylo Comod® (3.69 ± 0.01 mPa·s), Hylo Parin® (3.87 ± 0.01 mPa·s), Xailin HA® (4.73 ± 0.02 mPa·s), Vismed® (5.42 ± 0.02 mPa·s), and Systane Hydration® (7.76 ± 0.1 mPa·s). Conclusions: This study demonstrates that commercially available ocular lubricants exhibit varying degrees of shear-thinning behavior, a finding that is clinically relevant for their performance on the ocular surface. Formulations containing low-molecular-weight hyaluronic acid, such as Thealoz® Duo, exhibited viscosity values closest to those of natural tears at the measured shear rates. Full article
(This article belongs to the Section Ophthalmology)
Show Figures

Figure 1

22 pages, 5277 KB  
Article
Hierarchy of Electrorheological Responses in Aqueous Smectite Clay Dispersions in Relation to DLVO Potential Barriers
by Hiroshi Kimura and Akito Inoue
Eng 2025, 6(12), 351; https://doi.org/10.3390/eng6120351 - 4 Dec 2025
Viewed by 307
Abstract
This study systematically investigated the electrorheological (ER) behavior of four aqueous smectite clay dispersions—fluorinated hectorite (Ht-F), stevensite (Stv), hectorite (Ht), and saponite (Sap)—with emphasis on transparency, rheological responses, and interparticle interactions. Optical observations revealed that the transparency of the aqueous dispersions followed the [...] Read more.
This study systematically investigated the electrorheological (ER) behavior of four aqueous smectite clay dispersions—fluorinated hectorite (Ht-F), stevensite (Stv), hectorite (Ht), and saponite (Sap)—with emphasis on transparency, rheological responses, and interparticle interactions. Optical observations revealed that the transparency of the aqueous dispersions followed the order Ht-F > Stv > Ht > Sap, which corresponded well to the finer network structures previously observed in Cryo-SEM images. Whereas micrometer-sized poly(methyl methacrylate) (PMMA) dispersions exhibited electrically induced rapid and reversible separation (ERS) due to sedimentation, the nanosized clays, which do not settle, developed ER effects through field-driven flocculation and subsequent network formation. Under low-frequency AC fields, Ht-F showed highly reversible responses similar to Stv, whereas Sap exhibited irreversible stress increases, accompanied by suspected ion release under the field. Dynamic rheological measurements showed that application of electric fields enhanced the loss modulus (G″) more prominently than the storage modulus (G′), clearly indicating a strengthening of viscous behavior. Derjaguin–Landau–Verwey–Overbeek theory (DLVO) potential analysis yielded a barrier-height sequence (Stv < Ht-F < Ht < Sap) that directly paralleled the order of ER responsiveness. These results demonstrate that the ER hierarchy of aqueous smectites can be rationalized by DLVO interactions and provide design guidelines for environmentally compatible ER fluids. Full article
Show Figures

Graphical abstract

21 pages, 3254 KB  
Article
Fractional-Order Stress Relaxation Model for Unsaturated Reticulated Red Clay Slope Instability
by Chuang Zhang and Jianzhong Li
Fractal Fract. 2025, 9(12), 786; https://doi.org/10.3390/fractalfract9120786 - 1 Dec 2025
Viewed by 473
Abstract
Triaxial suction-controlled relaxation tests were performed on unsaturated reticulated red clay from a highway cut slope to quantify the coupled influence of matric suction (50–200 kPa), net confining pressure (100–300 kPa), and axial strain (2–8%) on time-dependent stress decay. The results reveal that [...] Read more.
Triaxial suction-controlled relaxation tests were performed on unsaturated reticulated red clay from a highway cut slope to quantify the coupled influence of matric suction (50–200 kPa), net confining pressure (100–300 kPa), and axial strain (2–8%) on time-dependent stress decay. The results reveal that 60–80% of deviatoric stress dissipates instantaneously, with the remaining loss evolving nonlinearly toward a stable residual; higher suction or confinement raises residual capacity but enlarges absolute relaxation, whereas increasing strain accelerates damage and intensifies stress drop. A parsimonious three-element fractional Poynting–Thomson (FPTh) model that embeds Caputo-derived Koeller dashpot and the exponential damage variable of the viscous coefficient was formulated. The proposed model demonstrates a superior performance compared with the Merchant, Burgers, and Nishihara models (R2 > 0.99 and RMSE < 3.5). The FPTh model faithfully reproduces the rapid and attenuating relaxation phases, offering a robust predictive tool for the long-term stability assessment of unsaturated clay slopes. Full article
(This article belongs to the Special Issue Fractal and Fractional in Geotechnical Engineering, Second Edition)
Show Figures

Figure 1

19 pages, 8761 KB  
Article
Seismic Performance Analysis of Hybrid Damped Structures in High-Intensity Seismic Regions
by Yongfei Jin, Qing Liu, Jinghui Wang, Alipujiang Jierula, Shan Liu and Yilai Wu
Buildings 2025, 15(23), 4229; https://doi.org/10.3390/buildings15234229 - 23 Nov 2025
Viewed by 385
Abstract
This study was conducted based on hybrid damping control theory, and an equivalent damping ratio calculation method was proposed. Additionally, a response calculation method for the elastoplastic stage of the hybrid control system was developed. Furthermore, a cooperative working mechanism between viscous dampers [...] Read more.
This study was conducted based on hybrid damping control theory, and an equivalent damping ratio calculation method was proposed. Additionally, a response calculation method for the elastoplastic stage of the hybrid control system was developed. Furthermore, a cooperative working mechanism between viscous dampers and metal composite dampers was introduced. A time–history analysis was employed to verify the system’s effectiveness in optimizing the multi-dimensional seismic performance of frame structures. Using actual engineering as the research background, an elastoplastic analysis of the hybrid control system was conducted. The analysis results show that the first three natural periods of vibration were shortened by 6.1% (in the X direction), 5.9% (in the Y direction), and 21.0% (torsion), effectively enhancing the overall stiffness of the structure. Under seismic action, the inter-story displacement decreased by 37.1% to 0.166 m in the X direction and by 48.3% to 0.080 m in the Y direction; the base shear forces were reduced by 58.8% (in the X direction) and 41.7% (in the Y direction). Regarding damage control, the number of plastic hinges was significantly reduced, and they appeared only on the most unfavorable floors; the axial compressive stress peaks in the frame columns were strictly controlled below 0.65 fc, and the inter-story displacement angles (<1/50) met the standards of GB50011-2010 for key protection structures. The hybrid system demonstrated multi-dimensional synergistic effects, whereby the viscous dampers primarily controlled the acceleration responses in the X direction, while the metal composite dampers dominated energy dissipation in Y displacement. The difference in seismic reduction efficiency between the two main axes was less than 11%, and a 21% improvement in the torsional period was achieved simultaneously. Full article
(This article belongs to the Special Issue Earthquake Resistant and Vibration Control of Concrete Structures)
Show Figures

Figure 1

23 pages, 7435 KB  
Article
Composite Biomimetic Multi-Subsoiler for Drag Reduction and Wear Resistance Simulation and Experimental Validation
by Xiaoyang Wang, Jinguang Li, Junyan Liu, Le Yang, Fancheng Dai, Chanjuan Long and Lijun Zhao
Biomimetics 2025, 10(12), 793; https://doi.org/10.3390/biomimetics10120793 - 21 Nov 2025
Viewed by 557
Abstract
In the process of operating subsoiling implements on sloping red soil in Southwest China, the subsoiler tip faces significant challenges due to strong soil adhesion and severe compaction. By employing engineering bionics, integrating bionic geometric structures and surfaces, this study focuses on the [...] Read more.
In the process of operating subsoiling implements on sloping red soil in Southwest China, the subsoiler tip faces significant challenges due to strong soil adhesion and severe compaction. By employing engineering bionics, integrating bionic geometric structures and surfaces, this study focuses on the subsoiler tip and designs four types of bionic geometric surface structures: bionic convex hull, bionic micro-spike convex hull, bionic scales, and bionic micro-spike scales. Finite element force analysis and discrete element simulation experiments reveal that bionic surfaces and geometric structures exhibit significant advantages in terms of total deformation, equivalent elastic strain, and stress. These structures are less prone to deformation and fracture under loads, demonstrating a stronger bearing capacity. A discrete element simulation analysis indicates interference phenomena among the subsoilers during multi-subsoiler operations. Based on bionic multi-subsoiler implements, optimized designs were developed through discrete element simulations and soil bin tests. The optimized bionic multi-subsoiler implement features a micro-spike convex hull surface, with micro-spike scale surfaces arranged equidistantly along the edge corners of the shovel face: six on each side wing and three in the middle. The optimal operating parameters were a subsoiling speed of 1.25 m/s, an entry angle of 23.917°, and an entry depth of 280.167 mm. The relative errors between the simulated and experimental values for the soil looseness and soil disturbance coefficients were 19.7% and 18.1%, respectively. The soil bin test results showed soil looseness and soil disturbance coefficients of 19.5% and 17.6%, respectively. At this point, the resistance reduction and wear resistance performance were optimal. This study proposes a bionic design approach for reducing resistance and enhancing wear resistance during the subsoiling process in the viscous red soil of Southwest China, providing a reference for the design and development of new equipment for working in this soil environment. This study is the first to implement a composite biomimetic surface—combining crayfish-like micro-spike convex hulls and sandfish-like micro-scale scales—on multi-shank subsoiler tips, and to validate it using FEA, DEM, and soil tank testing. Under an optimized configuration and operating conditions, the mean particle disturbance velocity increased from 1.52 m/s to 2.399 m/s (+57.8%), and the simulation/experiment relative errors for the soil loosening and disturbance coefficients were approximately 1.03% and 2.84%, respectively. These results demonstrate an engineering-acceptable trade-off between disturbance efficiency and wear resistance and indicate a clear potential for industrial application. Full article
(This article belongs to the Section Biomimetic Design, Constructions and Devices)
Show Figures

Figure 1

16 pages, 5272 KB  
Article
Mechanical and Adhesive Properties of Hydrothermally Treated Bamboo Composites Reinforced with Phenolic Resin: Effect of Impregnation with Silica Nanoparticles
by Lionnel Frederique Bidzanga Bessala and Yanjun Li
Polymers 2025, 17(22), 2989; https://doi.org/10.3390/polym17222989 - 11 Nov 2025
Viewed by 574
Abstract
This study investigates the synergistic effect of phenolic resin impregnation on the mechanical and adhesive properties of hydrothermally treated bamboo composites further reinforced with a silica nanoparticle sol–gel catalyzed by Fe3O4 (SiO2/Fe3O4). The hydrothermal [...] Read more.
This study investigates the synergistic effect of phenolic resin impregnation on the mechanical and adhesive properties of hydrothermally treated bamboo composites further reinforced with a silica nanoparticle sol–gel catalyzed by Fe3O4 (SiO2/Fe3O4). The hydrothermal pre-treatment was found to enhance cellulose crystallinity, as confirmed through XRD analysis. Dynamic mechanical analysis (DMA) and nanoindentation tests revealed that the hybrid treatment significantly influences the viscoelastic response. Composites treated only with hot water and resin (GB-W) exhibited superior short-term creep resistance and higher elasticity, attributed to their optimized crystalline structure. In contrast, the silica-reinforced composites (GB-M) demonstrated the most viscous behavior and lowest stress relaxation, making them most effective at minimizing elastic springback. Nanoindentation further showed that GB-W had the highest nano-adherence at the fiber cell wall level. FTIR analysis indicated a stronger interaction between the phenolic resin and the hydroxyl groups of the bamboo matrix in GB-0 and GB-W compared to GB-M, where the silica layer potentially altered this interface. Microscopy confirmed a resin penetration depth of at least 1 mm, primarily into porous tissues. The results demonstrate that while silica reinforcement enhances relaxation properties, the hydrothermal pre-treatment combined with phenolic resin creates a more favorable interface, leading to better overall creep resistance and adherence. Full article
Show Figures

Figure 1

28 pages, 1494 KB  
Article
Hydrodynamic Performance Analysis of an MR Damper in Valve Mode Characterized by the Mason Number
by Juan P. Escandón, Juan R. Gómez, René O. Vargas, Edson M. Jimenez and Rubén Mil-Martínez
Mathematics 2025, 13(21), 3568; https://doi.org/10.3390/math13213568 - 6 Nov 2025
Viewed by 601
Abstract
This work analyzes the hydrodynamic behavior of a magnetorheological valve, considering the microscopic fluid characteristics to generate a damper force. The magnetorheological fluid is composed of ferromagnetic particles dispersed in a non-magnetic carrier fluid, whose mechanical resistance depends on the magnetic field intensity. [...] Read more.
This work analyzes the hydrodynamic behavior of a magnetorheological valve, considering the microscopic fluid characteristics to generate a damper force. The magnetorheological fluid is composed of ferromagnetic particles dispersed in a non-magnetic carrier fluid, whose mechanical resistance depends on the magnetic field intensity. In the absence of a magnetic field, the magnetorheological fluid behaves as a liquid whose viscosity depends on the particle volume fraction. Conversely, the presence of a magnetic field generates particle chain-like structures that inhibit fluid motion, thereby regulating flow in the control valve. The mathematical model employs the continuity and momentum equations, the Bingham model, and the boundary conditions at the solid–liquid interfaces to determine the flow field. The results show the fluid hydrodynamic response under different flow conditions depending on dimensionless parameters such as the pressure gradient, the field-independent viscosity, the yield stress, the particle volume fraction, the Bingham number, the Mason number, and the critical Mason number. For a pressure gradient of Γ=10, the flow rate inside the valve (with particle volume fraction ϕ=0.2) results in Q¯T,x=0.34, 0.06, and 0 when the magnetic field is 80, 120, and 160 kA m−1, respectively. Likewise, when the magnetic field increases from 80 to 160 kA m−1, the damping capacity increases by 88% when ϕ=0.2 and 128% when ϕ=0.3 compared to the Newtonian viscous damping. This work contributes to our understanding of semi-active damping devices for flow control. Full article
(This article belongs to the Special Issue Engineering Thermodynamics and Fluid Mechanics)
Show Figures

Figure 1

32 pages, 5730 KB  
Article
Anti-Aging and Wound Healing Activity of Cashew Apple (Anacardium occidentale) Extract and Its Liposomal Development to Enhance Skin Permeability and Ascorbic Acid Stability
by Narumon Changsan, Apichart Atipairin, Poowadon Muenraya, Pajaree Sakdiset, Titpawan Nakpheng, Teerapol Srichana, Rutthapol Sritharadol, Neelam Balekar, Wirot Chanthorn, Nawattakorn Nualsri, Mapasawan Lewviriyakun and Somchai Sawatdee
Cosmetics 2025, 12(6), 246; https://doi.org/10.3390/cosmetics12060246 - 5 Nov 2025
Viewed by 2282
Abstract
The cashew apple (Anacardium occidentale L.) is rich in antioxidant bioactive constituents that have anti-aging and wound healing properties. The objective of this study is to evaluate the biological activities of cashew apple extract (CAE) and to improve the issue involving the [...] Read more.
The cashew apple (Anacardium occidentale L.) is rich in antioxidant bioactive constituents that have anti-aging and wound healing properties. The objective of this study is to evaluate the biological activities of cashew apple extract (CAE) and to improve the issue involving the instability of ascorbic acid, the principal active compound, by encapsulating the extract in liposomes in order to enhance its stability and skin permeation for cosmetic applications. CAE was obtained from fresh cashew apple via ethanol maceration, solvent evaporation, and freeze-drying. Ascorbic acid content, total phenolic content (TPC), total flavonoid content (TFC), and total caffeoylquinic acid content (TCQAC) were determined. The ascorbic acid content and its tautomer in the extract were quantified using the LC-MS/MS method. Biological activities, including antioxidant, anti-tyrosinase, fibroblast collagen synthesis, cytoprotection against oxidative stress, wound healing, and cytotoxicity, were assessed. CAE was encapsulated in liposomes to enhance the stability of its inherent ascorbic acid and improve its skin in comparison to free-CAE. The CAE and liposomal-CAE were incorporated and formulated into a solution, and their physicochemical stability was assessed after storage. CAE appeared as a brown, viscous liquid with a characteristic sweet, fruity scent. Each gram of CAE contained 0.90 ± 0.05 mg of ascorbic acid, TPC, 81.40 ± 7.14 mg of gallic acid equivalents (GAE), TFC, 3.73 ± 0.30 mg of rutin equivalents (RE), and TCQAC, 4.48 ± 0.05 mg of chlorogenic acid equivalents (CGAE). CAE exhibited antioxidant properties (IC50 = 282.19 ± 11.16 and 963.66 ± 3.95 µg/mL for DPPH and ABTS assay, respectively) and weak anti-tyrosinase activity (IC50 = 4213.77 ± 138.97 µg/mL). It was non-cytotoxic to fibroblast and monocyte cells at a concentration of less than 1 mg/mL. In vitro wound healing assays demonstrated that CAE stimulated collagen production in a dose-dependent manner at CAE concentrations above 250 µg/mL. Additionally, CAE exhibited cytoprotective effects against H2O2-induced oxidative stress and did not induce inflammatory responses in immune cells. The liposomal formulation containing CAE achieved high encapsulation efficiency (79.75–84.55%) based on ascorbic acid content. In skin permeation studies, CAE-loaded liposomes demonstrated an enhancement ratio approximately two-fold greater than that of free-CAE. Stability testing over 3 months showed that the ascorbic acid content in CAE-loaded liposomes remained significantly higher than that in the free-CAE under both refrigerated and long-term conditions (30 °C/75% RH). CAE demonstrated potential anti-aging properties for improving aging skin. Liposomal incorporation markedly improved ascorbic acid stability and skin permeability. Full article
(This article belongs to the Special Issue Functional Molecules as Novel Cosmetic Ingredients)
Show Figures

Graphical abstract

Back to TopTop