Anti-Aging and Wound Healing Activity of Cashew Apple (Anacardium occidentale) Extract and Its Liposomal Development to Enhance Skin Permeability and Ascorbic Acid Stability
Abstract
1. Introduction
2. Materials and Methods
2.1. Materials
2.2. Cashew Apple Fruit Extraction
2.3. Physical Properties Evaluation of CAE
2.4. Determination of Ascorbic Acid Content by HPLC
2.5. Liquid Chromatograph Mass Spectrometer Ion Trap/Time-of-Flight System (LC-MS/IT-TOF)
2.6. Determination of Total Phenolic Content (TPC)
2.7. Determination of Total Flavonoid Content (TFC)
2.8. Determination of Total Caffeoylquinic Acid Content (TCQAC)
2.9. Antioxidant Activity Assays
2.10. Anti-Tyrosinase Activity
2.11. Cell Culture Conditions
2.12. Cell Viability Assay
2.13. Cytoprotective Effect of CAE Against H2O2-Induced Oxidative Stress
2.14. Assessment of the Immunological Response to CAE
2.15. Assessment of CAE-Induced Fibroblast Collagen Type I Production
2.16. In Vitro Wound Healing Induced by CAE
2.17. CAE-Loaded Liposomes Preparation
2.18. Physicochemical Characterization of CAE-Loaded Liposomes
2.19. In Vitro Skin Permeation Study of CAE vs. CAE-Loaded Liposomes
2.20. Preparation of CAE Solution and CAE-Loaded Liposomes Solution
2.21. Viscosity Evaluation
2.22. Assessment of Ascorbic Acid Stability
3. Results and Discussion
3.1. Analytical Validation of Ascorbic Acid in CAE
3.2. Physical Appearance of CAE
3.3. Quantification of Bioactive Constituents in CAE
3.4. Biological Activity of CAE
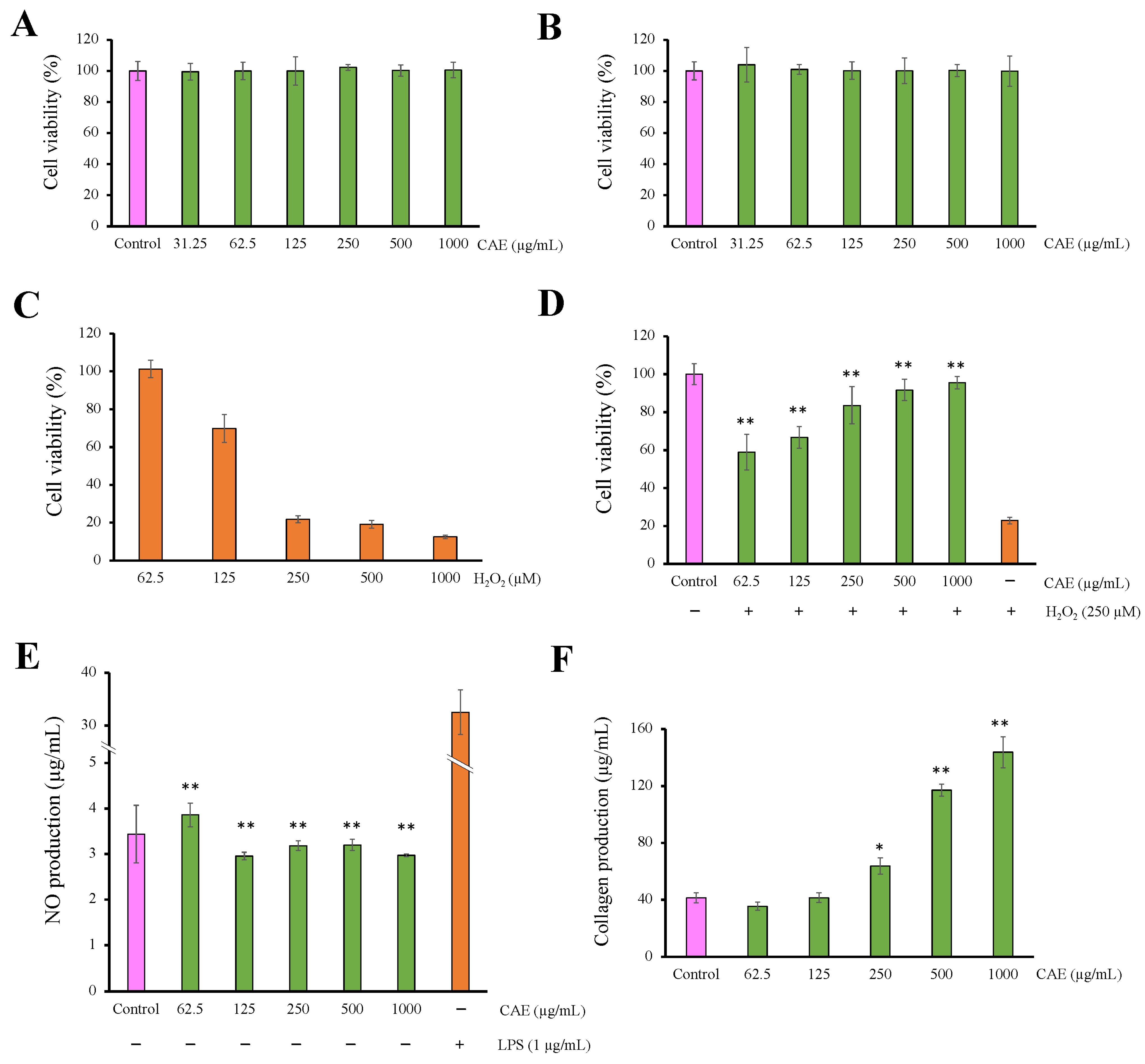
3.5. Cell Viability
3.6. Cytoprotective Effect of CAE Against Reactive Oxygen Species—Induced Cell Death
3.7. Immunostimulatory Potential of CAE
3.8. Collagen Fibroblast Synthesis
3.9. Wound Healing Activity by Scratch Assay
3.10. Formulation Development and Physicochemical Properties of CAE-Loaded Liposomes
3.11. Skin Permeation Study
3.12. Formulation Development and Physical Properties of CAE Solution and CAE-Loaded Liposome Solution
3.13. Stability of CAE and the Formulations
4. Conclusions
Author Contributions
Funding
Institutional Review Board Statement
Informed Consent Statement
Data Availability Statement
Acknowledgments
Conflicts of Interest
Abbreviations
| ABTS | 2,2′-azino-bis (3-ethylbenzothiazoline-6-sulfonic acid) |
| ATCC | American Type Culture Collection |
| CAE | Cashew apple extract |
| CGA | chlorogenic acid |
| CH | cholesterol |
| DMEM | Dulbecco’s Modified Eagle Medium |
| DPPH | 2,2-diphenyl-1-picrylhydrazyl |
| DSPG | 1,2-Disteroyl-sn-glycero-3-phosphoglycerol |
| FALGPA | N-[3-(2-Furyl)acryloyl]-Leu-Gly-Pro-Ala |
| EGCG | epigallocatechin gallate |
| FBS | fetal bovine serum |
| GAE | gallic acid equivalent |
| HPLC | high performance liquid chromatography |
| IC50 | 50% of inhibitory concentration |
| IL-1β | interleukin-1 beta |
| LC-MS/IT-TOF | Liquid Chromatograph Mass Spectrometer Ion trap/Time-of-flight system |
| LPS | lipopolysaccharide |
| MTT | 3-(4, 5-dimethylthiazol-2-yl)-2,5-diphenyltetrazolium bromide |
| PC | L-α-phosphatidylcholine |
| PDI | polydispersity index |
| TCQAC | total caffeoylquinic acid content |
| TNF-α | tumor necrosis factor—alpha |
| TPC | total phenolic content |
| RE | rutin equivalent |
| ROS | reactive oxygen species |
Appendix A
| Parameters | Results Obtained |
|---|---|
| Specificity | pass |
| Accuracy (%Recovery) | 99.2% ± 0.5% |
| Intra-day precision (%RSD) | 0.15% |
| Inter-day precision (%RSD) | 0.10% |
| Linearity (r2) | 0.9999 |
| Limit of detection (LOD) | 0.1 µg/mL |
| Limit of quantitative (LOQ) | 1.4 µg/mL |
References
- Dakuyo, R.; Konaté, K.; Bazié, D.; Sanou, A.; Kaboré, K.; Sama, H.; Santara, B.; Konkobo, F.A.; Dicko, M.H. Correlating the morphology of Anacardium occidentale L. fruits from 30 orchards with their physicochemical and nutritional properties. Front. Plant Sci. 2022, 13, 1033577. [Google Scholar] [CrossRef]
- Griffin, L.E.; Dean, L.L. Nutrient composition of raw, dry-roasted, and skin-on cashew nuts. J. Food Res. 2017, 6, 13–28. [Google Scholar] [CrossRef]
- Rico, R.; Bulló, M.; Salas-Salvadó, J. Nutritional composition of raw fresh cashew (Anacardium occidentale L.) kernels from different origin. Food Sci. Nutr. 2016, 4, 329–338. [Google Scholar] [CrossRef]
- Júnior, R.R.S.; Rodrigues, V.I.O.; Carvalho, C.F.M.; Moura, M.M.B.; Feitosa, D.D.M.; Lima, E.K.F.; Andrade, A.M.; Arrais, J.F.A.; Souza, L.N.; Knackfuss, M.I.; et al. Unveiling the impacts of cashew nuts on oxidative stress in rats: A systematic review. Antioxidants 2025, 14, 441. [Google Scholar] [CrossRef] [PubMed]
- Abreu, F.P.; Dornier, M.; Dionisio, A.P.; Carail, M.; Caris-Veyrat, C.; Dhuique-Mayer, C. Cashew apple (Anacardium occidentale L.) extract from by-product of juice processing: A focus on carotenoids. Food Chem. 2013, 138, 25–31. [Google Scholar] [CrossRef] [PubMed]
- Bhagirathi, L.; Asna, U. Phytochemical profile and antimicrobial activity of cashew apple (Anacardium occidentale L.) extract. GCS Biol. Pharm. Sci. 2018, 5, 95–98. [Google Scholar] [CrossRef]
- Bhat, B.; Paliyath, G. Fruits of tropical climate: Biodiversity and dietary importance. In Encyclopedia of Food and Health; Caballero, B., Finglas, P.M., Toldrá, F., Eds.; Academic Press: Cambridge, MA, USA, 2016; pp. 138–143. [Google Scholar]
- Gutiérrez-Paz, C.; Rodríguez-Moreno, M.; Hernández-Gómez, M.; Fernández-Trujillo, J.P. The cashew pseudofruit (Anacardium occidentale): Composition, processing effects on bioactive compounds and potential benefits for human health. Foods 2024, 13, 2357. [Google Scholar] [CrossRef]
- Lopes, M.M.A.; Miranda, M.R.A.; Moura, C.F.H.; Filho, J.E. Bioactive compounds and total antioxidant capacity of cashew apples (Anacardium occidentale L.) during the ripening of early dwarf cashew clones. Ciênc. Agrotecnologia 2012, 36, 325–332. [Google Scholar] [CrossRef]
- Salehi, B.; Gültekin-Özgüven, M.; Kirkin, C.; Özçelik, B.; Morais-Braga, M.F.B.; Carneiro, J.N.P.; Bezerra, C.F.; Silva, T.G.; Coutinho, H.D.M.; Amina, B.; et al. Antioxidant, antimicrobial, and anticancer effects of Anacardium plants: An ethnopharmacological perspective. Front. Endocrinol. 2020, 11, 295. [Google Scholar] [CrossRef]
- Sousa, J.M.S.; Abreu, F.A.P.; Ruiz, A.L.T.; Silva, G.G.; Machado, S.L.; Garcia, C.P.G.; Filho, F.O.; Wurlitzer, N.J.; Figueiredo, E.A.T.; Magalhães, F.E.A.; et al. Cashew apple (Anacardium occidentale L.) extract from a by-product of juice processing: Assessment of its toxicity, antiproliferative and antimicrobial activities. J. Food Sci. Technol. 2021, 58, 764–776. [Google Scholar] [CrossRef] [PubMed]
- Dheeraj; Srivastana, A.; Mishra, A. Mitigation of cashew apple fruits astringency. Environ. Sustain. 2023, 6, 319–329. [Google Scholar] [CrossRef] [PubMed]
- Vasconcelos, M.S.; Gomes-Rochette, N.; Oliveira, M.L.M.; Nunes-Pinheiro, D.C.S.; Tomé, A.R.; Sousa, F.Y.M.; Pinheiro, F.G.M.; Moura, C.F.H.; Miranda, M.R.A.; Mota, E.F.; et al. Anti-inflammatory and wound healing potential of cashew apple juice (Anacardium occidentale L.) in mice. Exp. Biol. Med. 2015, 240, 1648–1655. [Google Scholar] [CrossRef] [PubMed]
- Xie, M.; Jiang, Z.; Lin, X.; Wei, X. Application of plant extracts cosmetics in the field of anti-aging. J. Dermatol. Sci. Cosmet. Technol. 2024, 1, 100014. [Google Scholar] [CrossRef]
- Dias, C.C.Q.; Madruga, M.S.; Pintado, M.M.E.; Almeida, G.H.O.; Alves, A.P.V.; Dantas, F.A.; Bezerra, J.K.G.; Melo, M.F.F.T.; Viera, V.B.; Soares, J.K.B. Cashew nuts (Anacardium occidentale L.) decrease visceral fat, yet augment glucose in dyslipidemic rats. PLoS ONE 2019, 14, e0225736. [Google Scholar] [CrossRef] [PubMed]
- Hoang, H.; Moon, J.; Lee, Y. Natural antioxidants from plant extracts in skincare cosmetics: Recent applications, challenges and perspectives. Cosmetics 2021, 8, 106. [Google Scholar] [CrossRef]
- See, X.Z.; Yeo, W.S.; Saptoro, A. A comprehensive review and recent advances of vitamin C: Overview, function, sources, applications, market survey and processes. Chem. Eng. Res. Des. 2024, 206, 108–129. [Google Scholar] [CrossRef]
- Fenech, M.; Amaya, I.; Valpuesta, V.; Botella, M. Vitamin C content in fruits: Biosynthesis and regulation. Front. Plant Sci. 2019, 9, 2006. [Google Scholar] [CrossRef]
- Mah, E.; Schulz, J.A.; Kaden, V.N.; Lawless, A.L.; Rotor, J.; Mantilla, L.B.; Liska, D.J. Cashew consumption reduces total and LDL cholesterol: A randomized, crossover, controlled-feeding trial. Am. J. Clin. Nutr. 2017, 105, 1070–1078. [Google Scholar] [CrossRef]
- Gonçalves, G.M.S.; Gobbo, J. Antimicrobial effect of Anacardium occidentale extract and cosmetic formulation development. Braz. Arch. Biol. Technol. 2012, 55, 843–850. [Google Scholar] [CrossRef]
- Akyereko, Y.G.; Yeboah, G.B.; Wireko-Manu, F.; Alemawor, F.; Mills-Robertson, F.C.; Odoom, W. Nutritional value and health benefits of cashew apple. JSFA Rep. 2023, 3, 110–118. [Google Scholar] [CrossRef]
- Queiroz, C.; Lopes, M.L.M.; Fialho, E.; Valente-Mesquita, V.L. Changes in bioactive compounds and antioxidant capacity of fresh-cut cashew apple. Food Res. Int. 2011, 44, 1459–1462. [Google Scholar] [CrossRef]
- Budiarto, R.; Mubarok, S.; Sholikin, M.M.; Sari, D.N.; Khalisha, A.; Sari, S.L.; Rahmat, B.P.N.; Ujilestari, T.; Adli, D.N. Vitamin C variation in citrus in response to genotype, storage temperatures, and storage times: A systematic review and meta-analysis. Heliyon 2024, 10, e29125. [Google Scholar] [CrossRef]
- Sapei, L.; Hwa, L. Study on the kinetics of vitamin C degradation in fresh strawberry juice. Procedia Chem. 2014, 9, 62–68. [Google Scholar] [CrossRef]
- Herbig, A.; Renard, M.G.C. Factors that impact the stability of vitamin C at intermediate temperatures in a food matrix. Food Chem. 2017, 220, 444–451. [Google Scholar] [CrossRef] [PubMed]
- Feszterová, M.; Kowalska, M.; Mišiaková, M. Stability of vitamin C content in plant and vegetable juices under different storing conditions. Appl. Sci. 2023, 13, 10640. [Google Scholar] [CrossRef]
- Sheraz, M.A.; Khan, M.F.; Ahmed, S.; Kazi, S.H.; Ahmad, I. Stability and stabilization of ascorbic acid a review. Househ. Pers. Care Today 2015, 10, 22–25. [Google Scholar]
- Andrade, R.A.M.S.; Silva, D.C.; Souza, M.M.B.; Oliveira, R.L.; Maciel, M.I.S.; Porto, A.L.F.; Melo, E.A.; Andrade, L.L.; Arruda, L.; Porto, T.S. Microencapsulation of phenolic compounds from cashew apple (Anacardium occidentale L.) agro-food waste: Physicochemical characterization, antioxidant activity, biodisponibility and stability. Food Chem. Adv. 2023, 3, 100364. [Google Scholar] [CrossRef]
- Kirby, C.J.; Whittle, C.J.; Rigby, N.; Coxon, D.T.; Law, B.A. Stabilization of ascorbic acid by microencapsulation in liposomes. Int. J. Food Sci. Technol. 1991, 26, 437–449. [Google Scholar] [CrossRef]
- Liu, X.; Lin, X.; Wei, Y.; Fei, T.; Hu, X.; Wang, L. Enhancing the stability and bio-accessibility of carotenoids extracted from canistel (Lucuma nervosa) via liposomes encapsulation. LWT-Food Sci. Technol. 2024, 204, 116455. [Google Scholar] [CrossRef]
- Gibis, M.; Zeeb, B.; Weiss, J. Formation, characterization, and stability of encapsulated hibiscus extract in multilayered liposomes. Food Hydrocoll. 2014, 38, 28–39. [Google Scholar] [CrossRef]
- Pamunuwa, G.K.; Karunaratne, D.N. Liposomal delivery of plant bioactives enhances potency in food systems: A review. J. Food Qual. 2022, 2022, 5272592. [Google Scholar] [CrossRef]
- Jahanfar, S.; Gahavami, M.; Khosravi-Darani, K.; Jahadi, M.; Mozafari, M.R. Entrapment of rosemary extract by liposomes formulated by Mozafari method: Physicochemical characterization and optimization. Heliyon 2021, 7, e08632. [Google Scholar] [CrossRef]
- Jahanfar, S.; Gahavami, M.; Khosravi-Darani, K.; Jahadi, M. Liposomal green tea extract: Optimization and physicochemical characterization. J. Appl. Biotechnol. Rep. 2021, 8, 5–12. [Google Scholar] [CrossRef]
- Romano, E.; Palladino, R.; Cannavale, M.; Lamparelli, E.P.; Maglione, B. Enhanced stability of oral vitamin C delivery: A novel large-scale method for liposomes production and encapsulation through dynamic high-pressure microfluidization. Nanomaterials 2024, 14, 516. [Google Scholar] [CrossRef] [PubMed]
- Favarin, F.R.; Gündel, S.S.; Ledur, C.M.; Roggia, I.; Fagan, B.; Gündel, A.; Fogaça, A.O.; Ourique, A.F. Vitamin C as a shelf-life extender in liposomes. Braz. J. Pharm. Sci. 2022, 58, e20492. [Google Scholar] [CrossRef]
- Musielak, E.; Krajka-Kuzniak, V. Liposomes and ethosomes: Comparative potential in enhancing skin permeability for therapeutic and cosmetic applications. Cosmetics 2024, 11, 191. [Google Scholar] [CrossRef]
- Rizzolo, A.; Forni, E.; Polesello, A. HPLC assay of ascorbic acid in fresh and processed fruit and vegetables. Food Chem. 1984, 14, 189–199. [Google Scholar] [CrossRef]
- Saeed, N.; Khan, M.R.; Shabbir, M. Antioxidant activity, total phenolic and total flavonoid contents of whole plant extracts Torilis leptophylla L. BMC Complement. Altern. Med. 2012, 12, 221. [Google Scholar] [CrossRef]
- Sinsuebpol, C.; Nakpheng, T.; Srichana, T.; Sawatdee, S.; Pipatrattanaseree, W.; Burapapadh, K.; Changsan, N. Assessing the anti-aging and wound healing capabilities of Etlingera elatior inflorescence extract: A comparison of three inflorescence color varieties. Molecules 2023, 28, 7370. [Google Scholar] [CrossRef]
- Chan, E.; Ling, S.; Tan, S.; Lim, K.; Khoo, M. Caffeoylquinic acids from leaves of Etlingera species (Zingiberaceae). LWT-Food Sci. Technol. 2009, 42, 1026–1030. [Google Scholar] [CrossRef]
- Whangsomnuek, N.; Mungmai, L.; Mengamphan, K.; Amornlerdpison, D. Bioactive compounds of aqueous extracts of flower and leaf of Etlingera elatior (Jack) R.M.Sm. for cosmetic application. Maejo Int. J. Sci. Technol. 2019, 13, 196–208. [Google Scholar]
- Sinsuebpol, C.; Burapapadh, K.; Chowjaroen, V.; Changsan, N. The radical scavenging activity of vanillin and its impact on the healing properties of wounds. J. Adv. Pharm. Technol. Res. 2023, 14, 99–104. [Google Scholar] [CrossRef] [PubMed]
- Balekar, N.; Katkam, N.G.; Nakpheng, T.; Jehtae, K.; Srichana, T. Evaluation of the wound healing potential of Wedelia trilobata (L.) leaves. J. Ethnopharmacol. 2012, 141, 817–824. [Google Scholar] [CrossRef]
- Sudsai, T.; Wattanapiromsakul, C.; Nakpheng, T.; Tewtrakul, S. Evaluation of the wound healing property of Boesenbergia longiflora rhizomes. J. Ethnopharmacol. 2013, 150, 223–231. [Google Scholar] [CrossRef]
- Kesharwani, P.; Md, S.; Alhakamy, N.A.; Hosny, K.M.; Haque, A. QbD enabled azacitidine loaded liposomal nanoformulation and its in vitro evaluation. Polymers 2021, 13, 250. [Google Scholar] [CrossRef] [PubMed]
- Changsan, N.; Atiapirin, A.; Sakdiset, P.; Muenraya, P.; Balekar, N.; Srichana, T.; Sritharadol, R.; Phanapithakkun, S.; Sawatdee, S. BrSPR-20-P1 peptide isolated from Brevibacillus sp. developed into liposomal hydrogel as a potential topical antimicrobial agent. RSC Adv. 2024, 14, 27394. [Google Scholar] [CrossRef]
- International Council for Harmonisation. ICH Harmonised Tripartite Guideline: Stability Testing of New Drug Substances and Products Q1A(R2). 2003. Available online: https://www.ich.org (accessed on 12 February 2024).
- Zié, M.; Alabi, T.; Karamoko, G.; Blecker, C. Valorization of cashew apple bagasse in food application: Focus on the use and extraction of nutritional or bioactive compounds. Food Humanit. 2023, 1, 848–863. [Google Scholar] [CrossRef]
- Wanraven, N.; Stark, A.H. From food waste to functional component: Cashew apple pomace. Crit. Rev. Food Sci. Nutr. 2024, 64, 7101–7117. [Google Scholar] [CrossRef]
- Roy, M.N.; Sarkar, K.; Sinha, A. Physico-chemical studies of vitamin-C in aqueous 2-propanol: Manifestation of molecular interactions. J. Solut. Chem. 2014, 43, 2212–2223. [Google Scholar] [CrossRef]
- Njus, D.; Kelley, P.M.; Tu, Y.; Schlegel, H.B. Ascorbic acid: The chemistry underlying its antioxidant properties. Free Radic. Biol. Med. 2020, 159, 37–43. [Google Scholar] [CrossRef]
- Agwu, E.; Ezihe, C.; Kaigama, G. Chapter 4: Antioxidant roles/functions of ascorbic acid (vitamin C). In Ascorbic Acid—Biochemistry and Functions; Kükürt, A., Gelen, V., Eds.; IntechOpen: London, UK, 2024. [Google Scholar] [CrossRef]
- Cioffi, N.; Losito, I.; Terzano, R.; Zambonin, C.G. An electrospray ionization ion trap mass spectrometric (ESI-MS-MSn) study of dehydroascorbic acid hydrolysis at neutral pH. Analyst 2000, 25, 2244–2248. [Google Scholar] [CrossRef]
- Violet, P.-C.; Munyan, N.; Luecke, H.F.; Wang, Y.; Lloyd, J.; Patra, K.; Blakeslee, K.; Ebenuwa, I.C.; Levine, M. Dehydroascorbic acid quantification in human plasma: Simultaneous direct measurement of the ascorbic acid/dehydroascorbic acid couple by UPLC/MS-MS. Redox Biol. 2024, 78, 103425. [Google Scholar] [CrossRef] [PubMed]
- Gordon, A.; Friedrich, M.; Matta, V.M.; Moura, C.F.H.; Mark, F. Changes in phenolic composition, ascorbic acid and antioxidant capacity in cashew apple (Anacardium occidentale L.) during ripening. Fruits 2012, 67, 267–276. [Google Scholar] [CrossRef]
- Reina, L.J.C.; Durán-Aranguren, D.D.; Forero-Rojas, L.F.; Tarapuez-Viveros, L.F.; Durán-Sequeda, D.; Carazzone, C.; Sierra, R. Chemical composition and bioactive compounds of cashew (Anacardium occidentale) apple juice and bagasse from Colombian varieties. Heliyon 2022, 8, e09528. [Google Scholar] [CrossRef]
- Marc, A.; Ange, K.D.; Achille, T.F.; Georges, A.N. Phenolic profile of cashew apple juice (Anacardium occidentale L.) from Yamoussoukro and Korhogo (Côte d’Ivoire). J. Appl. Biosci. 2012, 49, 3331–3338. [Google Scholar]
- Lagnika, C.; Amoussa, A.M.O.; Sanni, A.; Lagnika, L. Effect of blanching and ultrasound on drying time, physicochemical and bioactive compounds of dried cashew apple. Am. J. Food Sci. Technol. 2019, 7, 227–233. [Google Scholar] [CrossRef]
- Hadidi, M.; Liñán-Atero, R.; Tarahi, M.; Christodoulou, M.C.; Aghababaei, F. The potential health benefits of gallic acid: Therapeutic and food applications. Antioxidants 2024, 13, 1001. [Google Scholar] [CrossRef]
- Figueroa-Valencia, F.; Rosalez-Martinez, P.; Santoyo-Tepole, F.; Ramos-Monroy, O.A.; García-Ochoa, F.; Hermández-Botello, M.T.; López-Cortez, M.S. Antioxidant properties of red and yellow varieties of cashew apple, nut and husk (Anacardium occidentale L.) harvested in Mexico. J. Antioxid. Act. 2019, 1, 19–32. [Google Scholar] [CrossRef]
- Mohsen-Nia, M.; Amiri, H.; Jazi, B. Dielectric constants of water, methanol, ethanol, butanol and acetone: Measurement and computational study. J. Solut. Chem. 2010, 39, 701–708. [Google Scholar] [CrossRef]
- Ndayishimiye, A.; Sengul, M.Y.; Sada, T.; Dursun, S.; Bang, S.H.; Grady, Z.A.; Tsuji, K.; Funahashi, S.; Duin, A.C.T.; Randall, C.A. Roadmap for densification in cold sintering: Chemical pathways. Open Ceram. 2020, 2, 100019. [Google Scholar] [CrossRef]
- Hassan, S.; Adam, F.; Baker, M.R.A.; Mudalip, S.K.A. Evaluation of solvents’ effect on solubility, intermolecular interaction energies and habit of ascorbic acid crystals. J. Saudi. Chem. Soc. 2019, 23, 239–248. [Google Scholar] [CrossRef]
- Zhuang, B.; Ramanauskaite, G.; Koa, Z.Y.; Wang, Z. Like dissolves like: A first-principles theory for predicting liquid miscibility and mixture dielectric constant. Sci. Adv. 2021, 7, eabe7275. [Google Scholar] [CrossRef]
- Jhansyrani, T.; Sujatha, D.; Bharathi, K.; Prasad, K.V.S.R.G. Ethanolic extract of cashew apple inhibits lipid metabolism and ameliorates obesity in atherogenic diet-induced obese rats. Asian Pac. J. Trop Biomed. 2019, 9, 405–414. [Google Scholar] [CrossRef]
- Braga, D.C.; Filho, E.G.A.; Ribeiro, P.R.V.; Araújo, Ì.M.S.; Brito, E.S.; Garruti, D.S. Multivariate correlation of the astringency sensory perception with the phenolic profiling of cashew apple genotypes. Food Biosci. 2021, 41, 100931. [Google Scholar] [CrossRef]
- Majía, J.J.; Sierra, L.J.; Ceballos, J.G.; Martínez, J.R.; Stashenko, E.E. Color, antioxidant capacity and flavonoid composition in Hibiscus rosa-sinensis cultivars. Molecules 2023, 28, 1779. [Google Scholar] [CrossRef] [PubMed]
- Naveed, M.; Hejazi, V.; Abbas, M.; Kamboh, A.A.; Khan, G.J.; Shumzaid, M.; Ahmad, F.; Babazadeh, D.; Xia, F.; Modarresi-Ghazani, F.; et al. Chlorogenic acid (CGA): A pharmacological review and call for further research. Biomed. Pharmacother. 2018, 97, 67–74. [Google Scholar] [CrossRef] [PubMed]
- Michalak, M.; Pierzak, M.; Krecisz, B.; Suliga, E. Bioactive compounds for skin health: A review. Nutrients 2021, 12, 203. [Google Scholar] [CrossRef]
- Hussen, N.H.; Abdulla, S.K.; Ali, N.M.; Ahmed, V.A.; Hasan, A.H.; Qadir, E.E. Role of antioxidants in skin aging and the molecular mechanism of ROS: A comprehensive review. Asp. Mol. Med. 2025, 5, 100063. [Google Scholar] [CrossRef]
- Srisuksomwong, P.; Kaenhin, L.; Mungmai, L. Collagenase and tyrosinase inhibitory activities and stability of facial cream formulation containing cashew leaf extract. Cosmetics 2023, 10, 17. [Google Scholar] [CrossRef]
- Kubo, I.; Kinst-Horist, I.; Yokokawa, Y. Tyrosinase inhibitors from Anacardium occidentale fruits. J. Nat. Prod. 1994, 57, 545–551. [Google Scholar] [CrossRef]
- Tan, Y.P.; Chan, E.W.C. Antioxidant, antityrosinase and antibacterial properties of fresh and processed leaves of Anacardium occidentale and Piper betle. Food Biosci. 2014, 6, 17–23. [Google Scholar] [CrossRef]
- Dong, Y.; Wang, Z. ROS-scavenging materials for skin wound healing: Advancements and applications. Front. Bioeng. Biotechnol. 2023, 11, 1304835. [Google Scholar] [CrossRef] [PubMed]
- Tsala, D.E.; Amadou, D.; Habtemariam, S. Natural wound healing and bioactive natural products. Phytopharmacology 2013, 4, 532–560. [Google Scholar]
- Boyera, N.; Galey, I.; Bernard, B.A. Effect of vitamin C and its derivatives on collagen synthesis and cross-linking by normal human fibroblasts. Int. J. Cosmet. Sci. 1998, 20, 151–158. [Google Scholar] [CrossRef] [PubMed]
- Stipcevic, T.; Piljac, J.; Berghe, D.V. Effect of different flavonoids on collagen synthesis in human fibroblasts. Plant Foods Hum. Nutr. 2006, 61, 29–34. [Google Scholar] [CrossRef]
- Carvalho, M.T.B.; Araújo-Filho, H.; Barreto, A.; Quintans-Júnior, L.J.; Quintans, J.S.; Barreto, R.S. Wound healing properties of flavonoids: A systematic review highlighting the mechanisms of action. Phytomedicine 2021, 90, 153636. [Google Scholar] [CrossRef]
- Mssillou, I.; Bakour, M.; Slighoua, M.; Laaroussi, H.; Saghrouchni, H.; Amrati, F.E.; Lyoussi, B.; Derwich, E. Investigation on wound healing effect of Mediterranean medicinal plants and some related phenolic compounds: A review. J. Ethnopharmacol. 2022, 298, 115663. [Google Scholar] [CrossRef]
- Popovici, V.; Boldianu, A.B.; Pintea, A.; Caraus, V.; Ghendov-Mosanu, A.; Subotin, I.; Druta, R.; Sturza, R. In vitro antioxidant activity of liposomal formulations of sea buckthorn and grape pomace. Foods 2024, 13, 2478. [Google Scholar] [CrossRef] [PubMed]
- Takahashi, M.; Inafuku, K.; Miyagi, T.; Oku, H.; Wada, K.; Imura, T.; Kitamoto, D. Efficient preparation of liposomes encapsulating food materials using lecithins by a mechanochemical method. J. Oleo Sci. 2007, 56, 35–42. [Google Scholar] [CrossRef]
- Khosravi-Darani, K.; Khoosfi, M.E.; Hosseini, H. Encapsulation of Zataria multiflora Boiss. essential oil in liposome: Antibacterial activity against E. Coli O157:H7 in broth media and minced beef. J. Food Saf. 2016, 36, 515–523. [Google Scholar] [CrossRef]
- Eloy, J.O.; Souza, M.C.; Petrilli, R.; Barcellos, J.P.A.; Lee, R.J.; Marchetti, J.M. Liposomes as carriers of hydrophilic small molecule drugs: Strategies to enhance encapsulation and delivery. Colloids Surf. B Biointerfaces 2014, 123, 345–363. [Google Scholar] [CrossRef]
- Nsairat, H.; Khater, D.; Sayed, U.; Odeh, F.; Bawab, A.A.; Alshaer, W. Liposome: Structure, composition, type, and clinical applications. Heliyon 2022, 8, e09394. [Google Scholar] [CrossRef] [PubMed]
- Lombardo, D.; Kiselev, M.A. Methods of liposomes preparation: Formation and control factors of versatile nanocarriers for biomedical and nanomedicine application. Pharmaceutics 2022, 14, 543. [Google Scholar] [CrossRef]
- Wang, D.; Mei, H.C.; Ren, Y.; Busscher, H.J.; Shi, L. Lipid-based antimicrobial delivery-systems for the Treatment of bacterial infections. Front. Chem. 2020, 7, 872. [Google Scholar] [CrossRef] [PubMed]
- Danaei, M.; Dehghankhold, M.; Ataei, S.; Davarani, F.H.; Javanmard, R.; Dokhani, A.; Khorasani, S.; Mozafari, M.R. Impact of particle size and polydispersity index on the clinical applications of lipidic nanocarrier systems. Pharmaceutics 2018, 10, 57. [Google Scholar] [CrossRef] [PubMed]
- Németh, Z.; Csóka, I.; Jazani, R.S.; Sipos, B.; Haspel, H.; Kozma, G.; Kónya, Z.; Dobó, D.G. Quality by design-driven zeta potential optimisation study of liposomes with charge imparting membrane additives. Pharmaceutics 2022, 14, 1798. [Google Scholar] [CrossRef]
- Gillet, A.; Compère, P.; Lecomte, F.; Hubert, P.; Ducat, E.; Evrard, B.; Piel, G. Liposome surface charge influence on skin penetration behaviour. Int. J. Pharm. 2011, 411, 223–231. [Google Scholar] [CrossRef]
- Pavlovic, N.; Mijalković, J.; Balanč, B.; Luković, N.; Knežević-Jugović, Z. Role of cholesterol in modifying the physical and stability properties of liposomes and in vitro release of Vitamin B12. Eng. Proc. 2025, 99, 10. [Google Scholar] [CrossRef]
- Amnuaikit, T.; Rajagopal, R.S.; Nilsuwan, K.; Benjakul, S. Enhancement of physical appearance, skin permeation, and odor reduction using liposome of hydrolyzed salmon collagen for cosmetic products. Scientifica 2024, 2024, 7843660. [Google Scholar] [CrossRef]
- Liu, X.; Falconer, R.A. Liposomal nanocarriers to enhance skin delivery of chemotherapeutics in cancer therapy. Bioengineering 2025, 12, 133. [Google Scholar] [CrossRef]
- Ogiso, T.; Yamaguchi, T.; Iwaki, M.; Tanino, T.; Miyake, Y. Effect of positively and negatively charged liposomes on skin permeation of drugs. J. Drug Target. 2001, 9, 49–59. [Google Scholar] [CrossRef]
- Luki’c, M.; Panteli’c, I.; Savi’c, S. Towards optimal pH of the skin and topical formulations: From the current state of the art to tailored products. Cosmetics 2021, 8, 69. [Google Scholar] [CrossRef]
- Mercurio, D.G.; Wagemaker, T.A.L.; Campos, P.M.B.G. Anacardium occidentale L. extract in cosmetic formulations: Benefits for oily skin. Biomed. Biopharm. Res. 2017, 1, 75–87. [Google Scholar] [CrossRef]
- Vu, N.D.; Tran, T.Y.N.; Nguyen, T.X.T.; Nguyen, T.T.N.H.; Pham, T.T.H.; Long, H.B.; Pham, B.A. Physicochemical and biological properties of cashew apples in the form of juice, concentrated juice, and fresh under different storage conditions. J. Food Qual. 2025, 2025, 4458814. [Google Scholar] [CrossRef]












| Ingredients | Amount (% w/w) | Function | |
|---|---|---|---|
| CAE 1 | 0.70 | - | Active ingredient |
| CAE-loaded liposome 1 | - | 5.00 | Active ingredient |
| Poloxamer 407 | 15.00 | 15.00 | Gelling agent |
| Transcutol® | 1.00 | 1.00 | Skin penetration enhancer |
| Sodium metabisulfite | 0.50 | 0.50 | Antioxidant |
| Propylene glycol | 15.00 | 15.00 | Humectant |
| Phenoxyethanol | 1.00 | 1.00 | Preservative |
| Purified water | 66.80 | 62.5 | Solvent |
| Test | Content |
|---|---|
| Ascorbic acid content (mg/g) | 0.90 ± 0.05 |
| Total phenolic content, TPC (mg GAE/g) | 81.40 ± 7.14 |
| Total flavonoid content, TFC (mg RE/g) | 3.73 ± 0.30 |
| Total caffeoylquinic acid content, TCQAC (mg CGA/g) | 4.48 ± 0.05 |
| Test | IC50 (µg/mL) | |
|---|---|---|
| CAE | Positive Control | |
| Antioxidant activity (DPPH) | 282.19 ± 11.16 | Gallic acid, 2.27 ± 0.02 Ascorbic acid, 23.62 ± 0.05 |
| Antioxidant activity (ABTS) | 963.66 ± 3.95 | Gallic acid, 40.87 ± 1.87 Ascorbic acid, 102.24 ± 8.22 |
| Anti-tyrosinase activity | 4213.77 ± 138.97 | Kojic acid, 37.42 ± 1.40 |
| CAE-Loaded Liposome | Test | |||
|---|---|---|---|---|
| Particle Size (nm) | Polydispersity Index | Zeta Potential (mV) | Entrapment Efficiency of Ascorbic Acid (%) | |
| PC:CH (4:0) | 272.17 ± 2.21 | 0.21 ± 0.11 | –39.5 ± 1.10 | 79.75 ± 2.49 |
| PC:CH (4:1) | 307.00 ± 4.26 | 0.24 ± 0.04 | –34.83 ± 1.60 | 84.55 ± 4.12 |
| Test | CAE Solution | CAE-Loaded Liposome Solution |
|---|---|---|
| Appearance | Light yellowish color clear viscous solution. | Light yellowish colloidal viscous solution |
| pH | 5.35 ± 0.01 | 5.69 ± 0.01 |
| Viscosity (cP or mP·s at shear rate 20 s−1) | 102 ± 4 | 140 ± 3 |
| Test | Storage Condition | ||
|---|---|---|---|
| Initial | Refrigerator (3 Months) | 30°/75% RH (3 Months) | |
| Cashew apple extract (CAE) | |||
| Appearance | Sticky, viscous, brown-colored semisolid with a characteristic sweet, fruity scent. | Conforms | Conforms |
| Ascorbic acid content (mg/g) | 0.90 ± 0.05 | 0.93 ± 0.10 | 0.62 ± 0.21 |
| pH | 4.98 ± 0.05 | 5.01 ± 0.01 | 5.12 ± 0.05 |
| CAE-loaded liposome solution | |||
| Appearance | Light yellowish colloidal viscous solution. | Conforms | Conforms |
| Ascorbic acid content (%) 1 | 98.75 ± 2.16 | 93.30 ± 2.10 | 63.33 ± 4.15 |
| pH | 5.69 ± 0.01 | 5.72 ± 0.02 | 5.70 ± 0.01 |
| Viscosity (cP) at shear rate 20 s−1 | 140 ± 3 | 152 ± 4 | 140 ± 6 |
| CAE Solution | |||
| Appearance | Light yellowish color, clear viscous solution, with sweet characteristic scent. | Conforms | Conforms |
| Ascorbic acid content (%) 1 | 99.28 ± 1.92 | 65.23 ± 2.79 | 21.20 ± 4.87 |
| pH | 5.35 ± 0.01 | 5.34 ± 0.01 | 5.34 ± 0.01 |
| Viscosity (cP) at shear rate 20 s−1 | 102 ± 4 | 110 ± 2 | 102 ± 5 |
Disclaimer/Publisher’s Note: The statements, opinions and data contained in all publications are solely those of the individual author(s) and contributor(s) and not of MDPI and/or the editor(s). MDPI and/or the editor(s) disclaim responsibility for any injury to people or property resulting from any ideas, methods, instructions or products referred to in the content. |
© 2025 by the authors. Licensee MDPI, Basel, Switzerland. This article is an open access article distributed under the terms and conditions of the Creative Commons Attribution (CC BY) license (https://creativecommons.org/licenses/by/4.0/).
Share and Cite
Changsan, N.; Atipairin, A.; Muenraya, P.; Sakdiset, P.; Nakpheng, T.; Srichana, T.; Sritharadol, R.; Balekar, N.; Chanthorn, W.; Nualsri, N.; et al. Anti-Aging and Wound Healing Activity of Cashew Apple (Anacardium occidentale) Extract and Its Liposomal Development to Enhance Skin Permeability and Ascorbic Acid Stability. Cosmetics 2025, 12, 246. https://doi.org/10.3390/cosmetics12060246
Changsan N, Atipairin A, Muenraya P, Sakdiset P, Nakpheng T, Srichana T, Sritharadol R, Balekar N, Chanthorn W, Nualsri N, et al. Anti-Aging and Wound Healing Activity of Cashew Apple (Anacardium occidentale) Extract and Its Liposomal Development to Enhance Skin Permeability and Ascorbic Acid Stability. Cosmetics. 2025; 12(6):246. https://doi.org/10.3390/cosmetics12060246
Chicago/Turabian StyleChangsan, Narumon, Apichart Atipairin, Poowadon Muenraya, Pajaree Sakdiset, Titpawan Nakpheng, Teerapol Srichana, Rutthapol Sritharadol, Neelam Balekar, Wirot Chanthorn, Nawattakorn Nualsri, and et al. 2025. "Anti-Aging and Wound Healing Activity of Cashew Apple (Anacardium occidentale) Extract and Its Liposomal Development to Enhance Skin Permeability and Ascorbic Acid Stability" Cosmetics 12, no. 6: 246. https://doi.org/10.3390/cosmetics12060246
APA StyleChangsan, N., Atipairin, A., Muenraya, P., Sakdiset, P., Nakpheng, T., Srichana, T., Sritharadol, R., Balekar, N., Chanthorn, W., Nualsri, N., Lewviriyakun, M., & Sawatdee, S. (2025). Anti-Aging and Wound Healing Activity of Cashew Apple (Anacardium occidentale) Extract and Its Liposomal Development to Enhance Skin Permeability and Ascorbic Acid Stability. Cosmetics, 12(6), 246. https://doi.org/10.3390/cosmetics12060246

