Sign in to use this feature.

Years

Between: -

Subjects

remove_circle_outline
remove_circle_outline
remove_circle_outline
remove_circle_outline
remove_circle_outline
remove_circle_outline
remove_circle_outline
remove_circle_outline
remove_circle_outline

Journals

remove_circle_outline
remove_circle_outline
remove_circle_outline
remove_circle_outline

Article Types

Countries / Regions

remove_circle_outline
remove_circle_outline
remove_circle_outline
remove_circle_outline

Search Results (244)

Search Parameters:
Keywords = two-stage games

Order results
Result details
Results per page
Select all
Export citation of selected articles as:
27 pages, 922 KB  
Article
The Manufacturers’ Adoption of Green Manufacturing Under the Government’s Green Subsidy
by Wu Chen, Fei Ye and Yao Qiu
Sustainability 2025, 17(20), 9028; https://doi.org/10.3390/su17209028 (registering DOI) - 12 Oct 2025
Abstract
As environmental degradation intensifies, governments increasingly subsidize green manufacturing to promote sustainability. This study develops a game-theoretic model of two competing supply chains, comprising original equipment manufacturers (OEMs) and both traditional and green contract manufacturers (CMs), to investigate the impacts of subsidies on [...] Read more.
As environmental degradation intensifies, governments increasingly subsidize green manufacturing to promote sustainability. This study develops a game-theoretic model of two competing supply chains, comprising original equipment manufacturers (OEMs) and both traditional and green contract manufacturers (CMs), to investigate the impacts of subsidies on green manufacturing adoption. Specifically, we construct a four-stage dynamic game model to examine the interactions among OEMs, CMs, and the government. The main findings are as follows: First, the government subsidy affects OEMs’ adoption decisions only if the production cost of green manufacturing or competition intensity is sufficiently high or if the market sensitivity to green products is relatively low. Second, the optimal subsidy level depends jointly on the production cost of green manufacturing, competition intensity, and market greenness sensitivity: when the production cost of green manufacturing is low (high), the subsidy should rise (fall) with market greenness sensitivity but fall (rise) with competition intensity. Third, while intensified competition reduces OEMs’ profits and overall supply chain performance, its impact on CMs and consumers depends on the production cost of green manufacturing; in contrast, greater consumer sensitivity to green products yields an all–win outcome for all stakeholders. These results yield important managerial implications. For policymakers, when the production costs of green manufacturing are relatively low, green subsidies should be scaled back as market competition intensifies. For manufacturers, it is critical to carefully evaluate the production costs of green manufacturing and the level of government subsidies and to strategically pursue first-mover advantages in advancing sustainable operations, thereby fostering an all-win outcome for stakeholders. Full article
(This article belongs to the Special Issue Sustainable Manufacturing Systems in the Context of Industry 4.0)
32 pages, 3312 KB  
Article
Green Investment and Emission Reduction in Supply Chains Under Dual-Carbon Regulation: A Dynamic Game Perspective on Coordination Mechanisms and Policy Insights
by Dandan Wu, Kun Li and Yang Cheng
Sustainability 2025, 17(19), 8951; https://doi.org/10.3390/su17198951 - 9 Oct 2025
Viewed by 217
Abstract
This study examines green investment and emission reduction strategies in a two-tier supply chain under dual-carbon regulation that combines a carbon tax with a cap-and-trade mechanism. A multi-stage dynamic game model is developed, in which the manufacturer reduces emissions through recycling efforts and [...] Read more.
This study examines green investment and emission reduction strategies in a two-tier supply chain under dual-carbon regulation that combines a carbon tax with a cap-and-trade mechanism. A multi-stage dynamic game model is developed, in which the manufacturer reduces emissions through recycling efforts and investments in green technology. We compare optimal decisions under centralized, decentralized, and coordinated structures, and propose an enhanced bilateral cost-sharing contract to improve collaboration. Numerical experiments validate the theoretical results, and sensitivity analyses provide further insights. The results show that while both carbon tax and permit trading increase emission reduction, the carbon tax may lower manufacturer profit, underscoring the need for coordinated policy design. Benchmarking proves more effective than grandfathering in stimulating green investment, particularly under high carbon prices and strong consumer environmental preferences. The proposed contract alleviates free riding, enhances overall supply chain profitability, and improves emission reduction performance. Policy implications highlight the importance of prioritizing benchmark allocation, promoting consumer environmental awareness, and encouraging firms to integrate carbon asset management with technological innovation. This research provides both theoretical and practical insights for designing effective carbon policies and collaborative mechanisms in green supply chains. Full article
(This article belongs to the Special Issue Sustainable Operations and Green Supply Chain)
Show Figures

Figure 1

32 pages, 5452 KB  
Article
Subsidy Ceilings and Sequential Synergy: Steering Sustainable Outcomes Through Dynamic Thresholds in China’s Urban Renewal Tripartite Game
by Li Wang, Pan Ren, Yongwei Shan and Guanqiao Zhang
Sustainability 2025, 17(19), 8713; https://doi.org/10.3390/su17198713 - 28 Sep 2025
Viewed by 242
Abstract
Aligning with the UN Sustainable Development Goals (SDGs 11 and 13), this study examines how dynamic subsidy thresholds steer environmental resilience, social inclusion, and fiscal sustainability in China’s urban renewal. Using evolutionary game theory (EGT) and system dynamics (SD), stakeholder strategies are modeled [...] Read more.
Aligning with the UN Sustainable Development Goals (SDGs 11 and 13), this study examines how dynamic subsidy thresholds steer environmental resilience, social inclusion, and fiscal sustainability in China’s urban renewal. Using evolutionary game theory (EGT) and system dynamics (SD), stakeholder strategies are modeled under varying policy interventions, with key parameters calibrated through Chongqing’s LZ case and MATLAB simulations. These include government subsidies (M1, M2), penalties (S2), and stakeholder benefits (R1–R5). The results reveal the following two distinct types of critical thresholds: a universal and robust fiscal warning line for developers (M1 > 600 k RMB) and a threshold for residential subsidies that is moderated by psycho-social factors (M2), with its value fluctuating within a certain range (approximately 550 k RMB to 850 k RMB). A sequential synergy pathway is proposed: “government-led facilitation → developer-driven implementation (when R3 > 450 k RMB) → resident participation (triggered by R2 > 150 k RMB).” The study advocates differentiated incentives and penalties, prioritizing early-stage governmental leadership to foster trust, promote inclusive participation, and align with environmental, social, and economic sustainability goals. This integrated framework reveals critical policy leverage points for enhancing social and fiscal resilience, providing a replicable model for sustainable and resilient urban governance in the Global South. Full article
(This article belongs to the Special Issue Sustainable Development of Construction Engineering—2nd Edition)
Show Figures

Figure 1

28 pages, 2275 KB  
Article
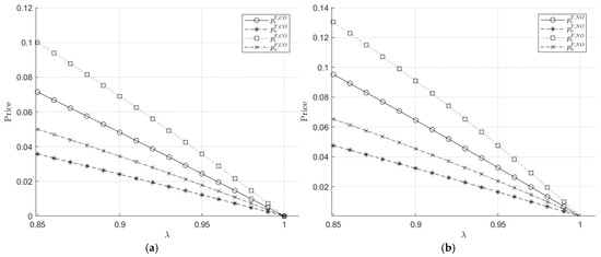
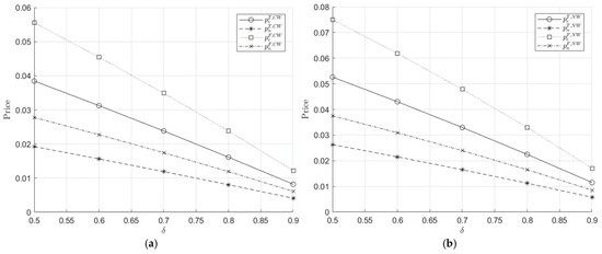
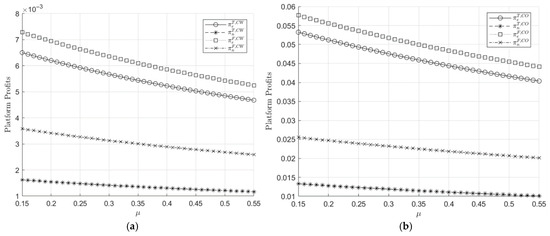
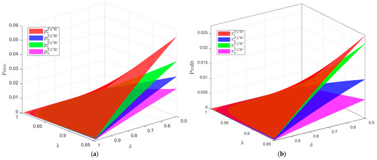
Coordination in Energy Platforms: How Fairness Concerns and Market Power Shape Pricing and Profitability
by Lingcheng Kong and Ao Wang
Sustainability 2025, 17(18), 8144; https://doi.org/10.3390/su17188144 - 10 Sep 2025
Viewed by 414
Abstract
In current energy studies, renewable energy platforms and thermal power platforms can operate under two distinct frameworks: a coordinated framework, where the renewable platform relies on the thermal platform for integrated dispatch and operational support; and a non-coordinated mode, where each platform manages [...] Read more.
In current energy studies, renewable energy platforms and thermal power platforms can operate under two distinct frameworks: a coordinated framework, where the renewable platform relies on the thermal platform for integrated dispatch and operational support; and a non-coordinated mode, where each platform manages generation independently and engages in competition. This paper develops a two-stage game-theoretic framework to systematically analyze pricing and profitability in a 2-by-2-by-2 scenario topology structured along three key dimensions: whether platforms are coordinated, whether consumers exhibit fairness concerns, and whether a dominant platform possesses market power. Our analysis reveals that (1) coordinated operation not only enhances system reliability but also intensifies competition, leading to lower prices and lower profits under some circumstances; (2) fairness concerns also reduce platform’s user base, optimal price and profitability; and (3) when a dominant platform leads pricing, both tend to raise prices to protect market share, whereas simultaneous pricing leads to lower prices. These findings highlight the importance of coordination, fairness, and market power in platform pricing and offer regulatory insights for the design of more resilient, sustainable, and equitable energy platform markets. Full article
(This article belongs to the Section Economic and Business Aspects of Sustainability)
Show Figures

Figure 1

22 pages, 2118 KB  
Article
Two-Stage Robust Optimization for Bi-Level Game-Based Scheduling of CCHP Microgrid Integrated with Hydrogen Refueling Station
by Ji Li, Weiqing Wang, Zhi Yuan and Xiaoqiang Ding
Electronics 2025, 14(17), 3560; https://doi.org/10.3390/electronics14173560 - 7 Sep 2025
Viewed by 694
Abstract
Current technical approaches find it challenging to reduce hydrogen production costs in combined cooling, heating, and power (CCHP) microgrids integrated with hydrogen refueling stations (HRS). Furthermore, the stability of such systems is significantly impacted by multiple uncertainties inherent on both the source and [...] Read more.
Current technical approaches find it challenging to reduce hydrogen production costs in combined cooling, heating, and power (CCHP) microgrids integrated with hydrogen refueling stations (HRS). Furthermore, the stability of such systems is significantly impacted by multiple uncertainties inherent on both the source and load sides. Therefore, this paper proposes a two-stage robust optimization for bi-level game-based scheduling of a CCHP microgrid integrated with an HRS. Initially, a bi-level game structure comprising a CCHP microgrid and an HRS is established. The upper layer microgrid can coordinate scheduling and the step carbon trading mechanism, thereby ensuring low-carbon economic operation. In addition, the lower layer hydrogenation station can adjust the hydrogen production plan according to dynamic electricity price information. Subsequently, a two-stage robust optimization model addresses the uncertainty issues associated with wind turbine (WT) power, photovoltaic (PV) power, and multi-load scenarios. Finally, the model’s duality problem and linearization problem are solved by the Karush–Kuhn–Tucker (KKT) condition, Big-M method, strong duality theory, and column and constraint generation (C&CG) algorithm. The simulation results demonstrate that the strategy reduces the cost of both CCHP microgrid and HRS, exhibits strong robustness, reduces carbon emissions, and can provide a useful reference for the coordinated operation of the microgrid. Full article
Show Figures

Figure 1

28 pages, 1356 KB  
Article
Short Video Marketing or Live Streaming Marketing: Choice of Marketing Strategies for Retailers
by Shuai Feng, Rui Yuan and Jiqiong Liu
Mathematics 2025, 13(16), 2675; https://doi.org/10.3390/math13162675 - 20 Aug 2025
Viewed by 869
Abstract
This study investigates retailers’ strategic choices between short video marketing (SVM) and live streaming marketing (LSM) in the social media era, with a focus on the synergistic effects and decision-making mechanisms of these two digital marketing models. Using game theory, we construct a [...] Read more.
This study investigates retailers’ strategic choices between short video marketing (SVM) and live streaming marketing (LSM) in the social media era, with a focus on the synergistic effects and decision-making mechanisms of these two digital marketing models. Using game theory, we construct a game analysis model to analyze retailers’ optimal selection among three marketing strategies: S (sole implementation of SVM), L (sole implementation of LSM), and H (integration of both SVM and LSM). The findings reveal that retailers should make different strategic choices based on the different stages of development. In the early market entry phase, characterized by both a low mixed commission rate and a low slotting fee, the H strategy emerges as the optimal choice. As the market enters its growth phase, retailers should shift to the L strategy, driven by “influencer LSM”. When the market enters a mature stage, retailers should be more inclined to adopt the S strategy or the L strategy dominated by “merchant self-LSM”. These findings provide new theoretical insights into the dynamic selection mechanisms of digital marketing strategies while offering practical decision-making guidance for retailers in allocating marketing resources across different development stages. The conclusions have direct implications for optimizing corporate marketing mix strategies. Full article
Show Figures

Figure 1

17 pages, 643 KB  
Article
Optimal Scheduling with Potential Game of Community Microgrids Considering Multiple Uncertainties
by Qiang Luo, Chong Gao, Junxiao Zhang, Qingbin Zeng, Yingqi Yi and Chaohui Huang
Energies 2025, 18(16), 4229; https://doi.org/10.3390/en18164229 - 8 Aug 2025
Viewed by 356
Abstract
As the global carbon neutrality process accelerates, the proportion of distributed power sources such as wind power and photovoltaic power continues to increase. This transformation, while promoting the development of clean energy, also brings about the issue of new energy consumption. As wind [...] Read more.
As the global carbon neutrality process accelerates, the proportion of distributed power sources such as wind power and photovoltaic power continues to increase. This transformation, while promoting the development of clean energy, also brings about the issue of new energy consumption. As wind and solar distributed generation rapidly expands into modern power grids, consumption issues become increasingly prominent. In this paper, a robust optimal scheduling method considering multiple uncertainties is proposed for community microgrids containing multiple renewable energy sources based on potential games. Firstly, the flexible loads of community microgrids are quantitatively classified into four categories, namely critical base loads, shiftable loads, power-adjustable loads, and dispersible loads, and a stochastic model is established for the wind power and load power; secondly, the user’s comprehensive electricity consumption satisfaction is included in the operator’s scheduling considerations, and the user’s demand is quantified by constructing a comprehensive satisfaction function that includes comfort indicators and economic indicators. Further, the flexible load-response expectation uncertainty and renewable generation uncertainty model are used to establish a robust optimization uncertainty set. This set portrays the worst-case scenario. Based on this, a two-stage robust optimization framework is designed: with the dual objectives of minimizing operator cost and maximizing user satisfaction, a potential game model is introduced to achieve a Nash equilibrium between the interests of the operator and the users, and solved by a column and constraint generation algorithm. Finally, the rationality and effectiveness of the proposed method are verified through examples, and the results show that after optimization, the cost dropped from CNY 2843.5 to CNY 1730.8, a reduction of 39.1%, but the user satisfaction with electricity usage increased to over 98%. Full article
(This article belongs to the Special Issue Studies of Microgrids for Electrified Transportation)
Show Figures

Figure 1

18 pages, 1572 KB  
Article
A Distributed Multi-Microgrid Cooperative Energy Sharing Strategy Based on Nash Bargaining
by Shi Su, Qian Zhang and Qingyang Xie
Electronics 2025, 14(15), 3155; https://doi.org/10.3390/electronics14153155 - 7 Aug 2025
Viewed by 487
Abstract
With the rapid development of energy transformation, the proportion of new energy is increasing, and the efficient trading mechanism of multi-microgrids can realize energy sharing to improve the consumption rate of new energy. A distributed multi-microgrid cooperative energy sharing strategy is proposed based [...] Read more.
With the rapid development of energy transformation, the proportion of new energy is increasing, and the efficient trading mechanism of multi-microgrids can realize energy sharing to improve the consumption rate of new energy. A distributed multi-microgrid cooperative energy sharing strategy is proposed based on Nash bargaining. Firstly, by comprehensively considering the adjustable heat-to-electrical ratio, ladder-type positive and negative carbon trading, peak–valley electricity price and demand response, a multi-microgrid system with wind–solar-storage-load and combined heat and power is constructed. Then, a multi-microgrid cooperative game optimization framework is established based on Nash bargaining, and the complex nonlinear problem is decomposed into two stages to be solved. In the first stage, the cost minimization problem of multi-microgrids is solved based on the alternating direction multiplier method to maximize consumption rate and protect privacy. In the second stage, through the established contribution quantification model, Nash bargaining theory is used to fairly distribute the benefits of cooperation. The simulation results of three typical microgrids verify that the proposed strategy has good convergence properties and computational efficiency. Compared with the independent operation, the proposed strategy reduces the cost by 41% and the carbon emission by 18,490 kg, thus realizing low-carbon operation and optimal economic dispatch. Meanwhile, the power supply pressure of the main grid is reduced through energy interaction, thus improving the utilization rate of renewable energy. Full article
Show Figures

Figure 1

30 pages, 3996 KB  
Article
Incentive-Compatible Mechanism Design for Medium- and Long-Term/Spot Market Coordination in High-Penetration Renewable Energy Systems
by Sicong Wang, Weiqing Wang, Sizhe Yan and Qiuying Li
Processes 2025, 13(8), 2478; https://doi.org/10.3390/pr13082478 - 6 Aug 2025
Viewed by 610
Abstract
In line with the goals of “peak carbon emissions and carbon neutrality”, this study aims to develop a market-coordinated operation mechanism to promote renewable energy adoption and consumption, addressing the challenges of integrating medium- and long-term trading with spot markets in power systems [...] Read more.
In line with the goals of “peak carbon emissions and carbon neutrality”, this study aims to develop a market-coordinated operation mechanism to promote renewable energy adoption and consumption, addressing the challenges of integrating medium- and long-term trading with spot markets in power systems with high renewable energy penetration. A three-stage joint operation framework is proposed. First, a medium- and long-term trading game model is established, considering multiple energy types to optimize the benefits of market participants. Second, machine learning algorithms are employed to predict renewable energy output, and a contract decomposition mechanism is developed to ensure a smooth transition from medium- and long-term contracts to real-time market operations. Finally, a day-ahead market-clearing strategy and an incentive-compatible settlement mechanism, incorporating the constraints from contract decomposition, are proposed to link the two markets effectively. Simulation results demonstrate that the proposed mechanism effectively enhances resource allocation and stabilizes market operations, leading to significant revenue improvements across various generation units and increased renewable energy utilization. Specifically, thermal power units achieve a 19.12% increase in revenue, while wind and photovoltaic units show more substantial gains of 38.76% and 47.52%, respectively. Concurrently, the mechanism drives a 10.61% increase in renewable energy absorption capacity and yields a 13.47% improvement in Tradable Green Certificate (TGC) utilization efficiency, confirming its overall effectiveness. This research shows that coordinated optimization between medium- and long-term/spot markets, combined with a well-designed settlement mechanism, significantly strengthens the market competitiveness of renewable energy, providing theoretical support for the market-based operation of the new power system. Full article
(This article belongs to the Section Energy Systems)
Show Figures

Figure 1

19 pages, 1555 KB  
Article
Influence of Playing Position on the Match Running Performance of Elite U19 Soccer Players in a 1-4-3-3 System
by Yiannis Michailidis, Andreas Stafylidis, Lazaros Vardakis, Angelos E. Kyranoudis, Vasilios Mittas, Vasileios Bilis, Athanasios Mandroukas, Ioannis Metaxas and Thomas I. Metaxas
Appl. Sci. 2025, 15(15), 8430; https://doi.org/10.3390/app15158430 - 29 Jul 2025
Viewed by 1560
Abstract
The development of Global Positioning System (GPS) technology has contributed in various ways to improving the physical condition of modern football players by enabling the quantification of physical load. Previous studies have reported that the running demands of matches vary depending on playing [...] Read more.
The development of Global Positioning System (GPS) technology has contributed in various ways to improving the physical condition of modern football players by enabling the quantification of physical load. Previous studies have reported that the running demands of matches vary depending on playing position and formation. Over the past decade, despite the widespread use of GPS technology, studies that have investigated the running performance of young football players within the 1-4-3-3 formation are particularly limited. Therefore, the aim of the present study was to create the match running profile of playing positions in the 1-4-3-3 formation among high-level youth football players. An additional objective of the study was to compare the running performance of players between the two halves of a match. This study involved 25 football players (Under-19, U19) from the academy of a professional football club. Data were collected from 18 league matches in which the team used the 1-4-3-3 formation. Positions were categorized as Central Defenders (CDs), Side Defenders (SDs), Central Midfielders (CMs), Side Midfielders (SMs), and Forwards (Fs). The players’ movement patterns were monitored using GPS devices and categorized into six speed zones: Zone 1 (0.1–6 km/h), Zone 2 (6.1–12 km/h), Zone 3 (12.1–18 km/h), Zone 4 (18.1–21 km/h), Zone 5 (21.1–24 km/h), and Zone 6 (above 24.1 km/h). The results showed that midfielders covered the greatest total distance (p = 0.001), while SDs covered the most meters at high and maximal speeds (Zones 5 and 6) (p = 0.001). In contrast, CDs covered the least distance at high speeds (p = 0.001), which is attributed to the specific tactical role of their position. A comparison of the two halves revealed a progressive decrease in the distance covered by the players at high speed: distance in Zone 3 decreased from 1139 m to 944 m (p = 0.001), Zone 4 from 251 m to 193 m (p = 0.001), Zone 5 from 144 m to 110 m (p = 0.001), and maximal sprinting (Zone 6) dropped from 104 m to 78 m (p = 0.01). Despite this reduction, the total distance remained relatively stable (first half: 5237 m; second half: 5046 m, p = 0.16), indicating a consistent overall workload but a reduced number of high-speed efforts in the latter stages. The results clearly show that the tactical role of each playing position in the 1-4-3-3 formation, as well as the area of the pitch in which each position operates, significantly affects the running performance profile. This information should be utilized by fitness coaches to tailor physical loads based on playing position. More specifically, players who cover greater distances at high speeds during matches should be prepared for this scenario within the microcycle by performing similar distances during training. It can also be used for better preparing younger players (U17) before transitioning to the U19 level. Knowing the running profile of the next age category, the fitness coach can prepare the players so that by the end of the season, they are approaching the running performance levels of the next group, with the goal of ensuring a smoother transition. Finally, regarding the two halves of the game, it is evident that fitness coaches should train players during the microcycle to maintain high movement intensities even under fatigue. Full article
(This article belongs to the Section Applied Biosciences and Bioengineering)
Show Figures

Figure 1

27 pages, 715 KB  
Article
Developing Comprehensive e-Game Design Guidelines to Support Children with Language Delay: A Step-by-Step Approach with Initial Validation
by Noha Badkook, Doaa Sinnari and Abeer Almakky
Multimodal Technol. Interact. 2025, 9(7), 68; https://doi.org/10.3390/mti9070068 - 3 Jul 2025
Cited by 1 | Viewed by 888
Abstract
e-Games have become increasingly important in supporting the development of children with language delays. However, most existing educational games were not designed using usability guidelines tailored to the specific needs of this group. While various general and game-specific guidelines exist, they often have [...] Read more.
e-Games have become increasingly important in supporting the development of children with language delays. However, most existing educational games were not designed using usability guidelines tailored to the specific needs of this group. While various general and game-specific guidelines exist, they often have limitations. Some are too broad, others only address limited features of e-Games, and many fail to consider needs relevant to children with speech and language challenges. Therefore, this paper introduced a new collection of usability guidelines, called eGLD (e-Game for Language Delay), specifically designed for evaluating and improving educational games for children with language delays. The guidelines were created based on Quinones et al.’s methodology, which involves seven stages from the exploratory phase to the refining phase. eGLD consists of 19 guidelines and 131 checklist items that are user-friendly and applicable, addressing diverse features of e-Games for treating language delay in children. To conduct the first validation of eGLD, an experiment was carried out on two popular e-Games, “MITA” and “Speech Blubs”, by comparing the usability issues identified using eGLD with those identified by Nielsen and GUESS (Game User Experience Satisfaction Scale) guidelines. The experiment revealed that eGLD detected a greater number of usability issues, including critical ones, demonstrating its potential effectiveness in assessing and enhancing the usability of e-Games for children with language delay. Based on this validation, the guidelines were refined, and a second round of validation is planned to further ensure their reliability and applicability. Full article
(This article belongs to the Special Issue Video Games: Learning, Emotions, and Motivation)
Show Figures

Figure 1

23 pages, 1389 KB  
Article
Strategic Dynamics of Circular Economy Initiatives in Food Systems: A Game Theory Perspective
by Valérie Lacombe and Juste Rajaonson
Sustainability 2025, 17(13), 6025; https://doi.org/10.3390/su17136025 - 30 Jun 2025
Viewed by 787
Abstract
This paper analyses how strategic interactions between actors influence the development of circular economy (CE) initiatives in food systems. Using a case study from Saint-Hyacinthe, a mid-sized and agri-food technopole in Québec (Canada), we investigate how cooperation, competition, and power asymmetries shape CE [...] Read more.
This paper analyses how strategic interactions between actors influence the development of circular economy (CE) initiatives in food systems. Using a case study from Saint-Hyacinthe, a mid-sized and agri-food technopole in Québec (Canada), we investigate how cooperation, competition, and power asymmetries shape CE adoption across the supply chain. Drawing on game theory and a typology of management dynamics, the study identifies four patterns: negotiated management, constrained leadership, hierarchical relationships, and competitive behaviour. Empirical data were collected through two collaborative workshops involving public, private, and community-based actors, resulting in 244 coded entries across 12 boards. These allowed us to assess actors’ interests, attitudes, and capacities in relation to CE strategies at upstream, midstream, and downstream stages. The results show that strategies aligned with dominant interests and existing capacities are more likely to be supported, while those requiring structural change are tolerated or marginalized. Findings highlight the role of incentive mechanisms, institutional flexibility, and coordination in enabling more transformative circular initiatives. By adopting a stage-sensitive perspective, this study also fills a gap in the literature by examining how actor dynamics differ across upstream, midstream, and downstream segments of the food system, contributing to CE research by applying game theory to actor configurations and interaction dynamics in food systems. It calls for further exploration of interdependencies and contextual conditions that either facilitate or hinder the emergence of effective, inclusive, and systemic CE transitions. Full article
(This article belongs to the Special Issue Food, Supply Chains, and Sustainable Development—Second Edition)
Show Figures

Figure 1

32 pages, 5154 KB  
Article
A Hierarchical Reinforcement Learning Framework for Multi-Agent Cooperative Maneuver Interception in Dynamic Environments
by Qinlong Huang, Yasong Luo, Zhong Liu, Jiawei Xia, Ming Chang and Jiaqi Li
J. Mar. Sci. Eng. 2025, 13(7), 1271; https://doi.org/10.3390/jmse13071271 - 29 Jun 2025
Viewed by 1527
Abstract
To address the challenges of real-time decision-making and resource optimization in multi-agent cooperative interception tasks within dynamic environments, this paper proposes a hierarchical framework for reinforcement learning-based interception algorithm (HFRL-IA). By constructing a hierarchical Markov decision process (MDP) model based on dynamic game [...] Read more.
To address the challenges of real-time decision-making and resource optimization in multi-agent cooperative interception tasks within dynamic environments, this paper proposes a hierarchical framework for reinforcement learning-based interception algorithm (HFRL-IA). By constructing a hierarchical Markov decision process (MDP) model based on dynamic game equilibrium theory, the complex interception task is decomposed into two hierarchically optimized stages: dynamic task allocation and distributed path planning. At the high level, a sequence-to-sequence reinforcement learning approach is employed to achieve dynamic bipartite graph matching, leveraging a graph neural network encoder–decoder architecture to handle dynamically expanding threat targets. At the low level, an improved prioritized experience replay multi-agent deep deterministic policy gradient algorithm (PER-MADDPG) is designed, integrating curriculum learning and prioritized experience replay mechanisms to effectively enhance the interception success rate against complex maneuvering targets. Extensive simulations in diverse scenarios and comparisons with conventional task assignment strategies demonstrate the superiority of the proposed algorithm. Taking a typical scenario of 10 agents intercepting as an example, the HFRL-IA algorithm achieves a 22.51% increase in training rewards compared to the traditional end-to-end MADDPG algorithm, and the interception success rate is improved by 26.37%. This study provides a new methodological framework for distributed cooperative decision-making in dynamic adversarial environments, with significant application potential in areas such as maritime multi-agent security defense and marine environment monitoring. Full article
(This article belongs to the Special Issue Dynamics and Control of Marine Mechatronics)
Show Figures

Figure 1

36 pages, 3809 KB  
Article
A Game Theoretic Approach to Electric Vehicle Promotion Policy Selection from the Consumer Side
by Lulu Shao, Jingxi Zhou, Peng Li, Zongxiang Zhang and Lin Chen
Systems 2025, 13(7), 506; https://doi.org/10.3390/systems13070506 - 23 Jun 2025
Viewed by 459
Abstract
With the increasing popularity of electric vehicles (EVs) through purchase subsidy (PS) policies, the personal carbon tax (PCT) policy has been adopted by some countries due to its characteristics of restraining the diffusion of fuel vehicles (FVs) from the consumer side. This paper [...] Read more.
With the increasing popularity of electric vehicles (EVs) through purchase subsidy (PS) policies, the personal carbon tax (PCT) policy has been adopted by some countries due to its characteristics of restraining the diffusion of fuel vehicles (FVs) from the consumer side. This paper constructs a three-stage game model consisting of government, manufacturers, and consumers to investigate the impact of basic utility valuation heterogeneity differences on the optimal decisions and to compare the implementation effects of two policies. The results are as follows. First, conventional wisdom suggests that EV consumer surplus under PS policy will exceed that under PCT policy. Surprisingly, our results show that when the basic utility valuation difference is small, the EV consumer surplus under PCT policy exceeds that under PS policy. Second, for manufacturers, it is interesting to note that the sustained impact of PCT policy on promoting the diffusion of the EV market and the profit of the EV manufacturer is related to the basic utility valuation heterogeneity difference. However, compared with PS policy, the implementation of PCT policy has a better restraining effect on the diffusion of the FV market, effectively reducing the demand for FV and the profit of FV manufacturers. Finally, contrary to the common belief that increasing subsidies or raising carbon taxes can increase overall social welfare, this paper shows that subsidies and carbon taxes have a dual impact on overall social welfare, and only when their positive effects outweigh the negative ones can such policies become effective ways of promoting industrial transformation. Full article
(This article belongs to the Section Systems Practice in Social Science)
Show Figures

Figure 1

30 pages, 4103 KB  
Article
Can the Development of Green Fertilizers by Science and Technology Backyards Promote Green Production by Farmers? An Evolutionary Game Analysis of a Tripartite Interaction
by Yanhu Bai, Yuchao Wang, Jianli Luo and Luyao Chang
Sustainability 2025, 17(12), 5543; https://doi.org/10.3390/su17125543 - 16 Jun 2025
Viewed by 1159
Abstract
The research and application of green fertilizers have long been constrained by financial and technical barriers. Farmers’ adoption of green fertilizers is also highly dependent on government policy support. As an intermediary organization bridging the government and farmers, the STB plays a crucial [...] Read more.
The research and application of green fertilizers have long been constrained by financial and technical barriers. Farmers’ adoption of green fertilizers is also highly dependent on government policy support. As an intermediary organization bridging the government and farmers, the STB plays a crucial role in encouraging the use of green fertilizers. In order to explore the impact of the STB’s research and development investment, as well as government intervention on farmers’ green production behavior, this paper constructs a tripartite dynamic game model involving farmers, the STB, and the government. The study systematically analyzes the decision-making mechanisms of the different stakeholders and their evolutionary paths. The results show the following: (1) Under certain conditions, the system converges to two stable states: government withdrawal (1,1,0) and continued government participation (1,1,1). (2) Government intervention shows a phased decrease. As the green fertilizer production system matures, farmers and the STB gradually form a stable collaborative mechanism. At this stage, the government shifts from direct participation to a supervisory role, with its implementation coefficient increasing to between 0.75 and 1, indicating that government supervision becomes the primary mode of action. (3) The research and development efforts of the STB are influenced by both the intensity of government support and technological breakthroughs. During periods of high-intensity government support (with a research and development investment coefficient between 0.05 and 0.15), and when technological accumulation achieves a critical breakthrough, the growth rate of investment increases significantly (the coefficient jumps to 0.15–0.3). (4) Farmers’ demand for green fertilizers is stable and consistent, and the market-oriented collaboration between the STB and farmers tends to favor green production technology, which verifies the feasibility of the government’s withdrawal of functions in the later stage of the green agricultural transformation. This study provides a scientific basis for decision-making regarding the STB’s research and development of green fertilizers, while also laying a theoretical foundation for promoting the green transformation of farmers through green fertilizer innovation. Full article
Show Figures

Figure 1

Back to TopTop