Influence of Playing Position on the Match Running Performance of Elite U19 Soccer Players in a 1-4-3-3 System
Abstract
1. Introduction
2. Methods
2.1. Participants
2.2. Anthropometric Measurements
2.3. Global Positioning System Variables
- Zone 1 (Z1): 0.1–6 km/h (rest, walking).
- Zone 2 (Z2): 6.1–12 km/h (low-speed running distance).
- Zone 3 (Z3): 12.1–18 km/h (medium-speed running distance).
- Zone 4 (Z4): 18.1–21 km/h (high-speed running distance).
- Zone 5 (Z5): 21.1–24 km/h (very-high-speed running distance).
- Zone 6 (Z6): ≥24.1 km/h (sprint running distance).
2.4. External Load Variables
2.5. Statistical Analysis
3. Results
4. Discussion
5. Conclusions
Author Contributions
Funding
Institutional Review Board Statement
Informed Consent Statement
Data Availability Statement
Acknowledgments
Conflicts of Interest
References
- FIFA. Professional Football 2021. Available online: https://publications.fifa.com/en/annual-report-2021/around-fifa/professional-football-2021/ (accessed on 1 January 2023).
- FIFA. Advancing Football. Available online: https://inside.fifa.com/advancing-football (accessed on 18 June 2025).
- Malina, R.M.; Cumming, S.P.; Kontos, A.P.; Eisenmann, J.C.; Ribeiro, B.; Aroso, J. Maturity-Associated Variation in Sport-Specific Skills of Youth Soccer Players Aged 13–15 Years. J. Sports Sci. 2005, 23, 515–522. [Google Scholar] [CrossRef]
- Nicholls, A.R.; Earle, K.; Earle, F.; Madigan, D.J. Perceptions of the Coach-Athlete Relationship Predict the Attainment of Mastery Achievement Goals Six Months Later: A Two-Wave Longitudinal Study among F.A. Premier League Academy Soccer Players. Front. Psychol. 2017, 8, 684. [Google Scholar] [CrossRef]
- Van-Yperen, N.W.; Duda, J.L. Goal Orientations, Beliefs about Success, and Performance Improvement among Young Elite Dutch Soccer Players. Scand. J. Med. Sci. Sports 1999, 9, 358–364. [Google Scholar] [CrossRef]
- Williams, A.M.; Drust, B. Contemporary Perspectives on Talent Identification and Development in Soccer. J. Sports Sci. 2012, 30, 1571–1572. [Google Scholar] [CrossRef]
- Williams, A.M.; Ford, P.R.; Drust, B. Talent Identification and Development in Soccer since the Millennium. J. Sports Sci. 2020, 38, 1199–1210. [Google Scholar] [CrossRef] [PubMed]
- Barnes, C.; Archer, D.T.; Hogg, B.; Bush, M.; Bradley, P.S. The evolution of physical and technical performance parameters in the English Premier League. Int. J. Sports Med. 2014, 35, 1095–1100. [Google Scholar] [CrossRef] [PubMed]
- Lago-Peñas, C.; Lorenzo-Martinez, M.; López-Del Campo, R.; Resta, R.; Rey, E. Evolution of physical and technical parameters in the Spanish 2012–2019. Sci. Med. Football 2023, 7, 41–46. [Google Scholar] [CrossRef] [PubMed]
- Nassis, G.P.; Massey, A.; Jacobsen, P.; Brito, J.; Randers, M.B.; Castagna, C.; Mohr, M.; Krustrup, P. Elite football of 2030 will not be the same as that of 2020: Preparing players, coaches, and support staff for the evolution. Scand. J. Med. Sci. Sports 2020, 30, 962–964. [Google Scholar] [CrossRef]
- Fousekis, A.; Fousekis, K.; Fousekis, G.; Vaitsis, N.; Terzidis, I.; Christoulas, K.; Michailidis, Y.; Mandroukas, A.; Metaxas, T. Two or four weeks acute: Chronic workload ratio is more useful to prevent injuries in soccer? Appl. Sci. 2023, 13, 495. [Google Scholar] [CrossRef]
- Vardakis, L.; Michailidis, Y.; Mandroukas, A.; Mavrommatis, G.; Christoulas, K.; Metaxas, T. Analysis of the running performance of elite soccer players depending on position in the 1-4-3-3 formation. Ger. J. Exerc. Sport Res. 2020, 50, 241–250. [Google Scholar] [CrossRef]
- Bradley, P.S.; Sheldon, W.; Wooster, B.; Olsen, P.; Boanas, P.; Krustrup, P. High intensity running in English FA Premier League soccer matches. J. Sports Sci. 2009, 27, 159–168. [Google Scholar] [CrossRef]
- Baptista, I.; Johansen, D.; Figueiredo, P.; Rebelo, A.; Pettersen, S.A. A comparison of match-physical demands between different tactical systems: 1-4-5-1 vs. 1-3-5-2. PLoS ONE 2019, 14, e0214952. [Google Scholar] [CrossRef]
- Schuth, G.; Carr, G.; Barnes, C.; Carling, C.; Bradley, P.S. Positional interchanges influence the physical and technical match performance variables of elite soccer players. J. Sports Sci. 2016, 34, 501–508. [Google Scholar] [CrossRef] [PubMed]
- Rivilla-García, J.; Calvo, L.C.; Jiménez-Rubio, S.; Paredes-Hernández, V.; Muñoz, A.; Van den Tillaar, R.; Navandar, A. Characteristics of very high intensity runs of soccer players in relation to their playing position and playing half in the 2013–2014 Spanish La Liga season. J. Hum. Kinet. 2019, 66, 213–222. [Google Scholar] [CrossRef]
- Zhang, W.; Gong, B.; Tao, R.; Zhou, F.; Ruano, M.Á.; Zhou, C. The influence of tactical formation on physical and technical performance across playing positions in the Chinese super league. Sci. Rep. 2024, 14, 2538. [Google Scholar] [CrossRef] [PubMed]
- Modric, T.; Versic, S.; Sekulic, D. Position specific running performances in professional football (soccer): Influence of different tactical formations. Sports 2020, 8, 161. [Google Scholar] [CrossRef]
- Tierney, P.J.; Young, A.; Clarke, N.D.; Duncan, M.J. Match play demands of 11 versus 11 professional football using Global Positioning System tracking: Variations across common playing formations. Hum. Mov. Sci. 2016, 49, 1–8. [Google Scholar] [CrossRef]
- Aquino, R.; Vieira, L.H.P.; Carling, C.; Martins, G.H.; Alves, I.S.; Puggina, E.F. Effects of competitive standard, team formation and playing position on match running performance of Brazilian professional soccer players. Int. J. Perform. Anal. Sport 2017, 17, 695–705. [Google Scholar] [CrossRef]
- Vieira, L.H.P.; Aquino, R.; Lago-Penas, C.; Martins, G.H.M.; Puggina, E.F.; Barbieri, F.A. Running performance in Brazilian professional football players during a congested match schedule. J. Strength Cond. Res. 2018, 32, 313–325. [Google Scholar] [CrossRef]
- Borghi, S.; Colombo, D.; La Torre, A.; Banfi, G.; Bonato, M.; Vitale, J.A. Differences in GPS variables according to playing formations and playing positions in U19 male soccer players. Res. Sports Med. 2021, 29, 225–239. [Google Scholar] [CrossRef]
- Arjol-Serrano, J.L.; Lampre, M.; Díez, A.; Castillo, D.; Sanz-López, F.; Lozano, D. The influence of playing formation on physical demands and technical-tactical actions according to playing positions in an elite soccer team. Int. J. Environ. Res. Public Health 2021, 18, 4148. [Google Scholar] [CrossRef]
- Plakias, S.; Michailidis, Y. Factors affecting the running performance of soccer teams in the Turkish Super League. Sports 2024, 12, 196. [Google Scholar] [CrossRef]
- Dellal, A.; Wong, D.P.; Moalla, W.; Chamari, K. Physical and technical activity of soccer players in the French First League–with special reference to their playing position. J. Sports Sci. 2010, 11, 278–290. [Google Scholar]
- Vigh-Larsen, J.F.; Dalgas, U.; Andersen, T.B. Position-specific acceleration and deceleration profiles in elite youth and senior soccer players. J. Strength Cond. Res. 2017, 32, 1114–1122. [Google Scholar] [CrossRef] [PubMed]
- Di Salvo, V.; Baron, R.; Tschan, H.; Calderon Montero, F.J.; Bachl, N.; Pigozzi, F. Performance characteristics according to playing position in elite soccer. Int. J. Sports Med. 2007, 28, 222–227. [Google Scholar] [CrossRef]
- Barros, R.M.; Misuta, M.S.; Menezes, R.P.; Figueroa, P.J.; Moura, F.A.; Cunha, S.A.; Anido, R.; Leite, N.J. Analysis of the distances covered by first division Brazilian soccer players obtained with an automatic tracking method. J. Sports Sci. Med. 2007, 6, 233–242. [Google Scholar]
- Ingebrigtsen, J.; Dillern, T.; Shalfawi, S.A. Aerobic capacities and anthropometric characteristics of elite female soccer players. J. Strength Cond. Res. 2011, 25, 3352–3357. [Google Scholar] [CrossRef] [PubMed]
- Varley, M.C.; Gregson, W.; McMillan, K.; Bonanno, D.; Stafford, K.; Modonutti, M.; Di Salvo, V. Physical and technical performance of elite youth soccer players during international tournaments: Influence of playing position and team success and opponent quality. Sci. Med. Football 2016, 1, 18–29. [Google Scholar] [CrossRef]
- Kaldaras, V.; Michailidis, Y.; Gissis, I.; Metaxas, T.I. The running performance of amateur football players in matches with a 1-4-3-3 formation in relation to their playing position and the 15-min time periods. Appl. Sci. 2024, 14, 7036. [Google Scholar] [CrossRef]
- Buchheit, M.; Mendez-Villanueva, A.; Simpson, B.M.; Bourdon, P.C. Match running performance and fitness in youth soccer. Int. J. Sports Med. 2010, 31, 818–825. [Google Scholar] [CrossRef]
- Harley, J.A.; Barnes, C.A.; Portas, M.; Lovell, R.; Barrett, S.; Paul, D.; Weston, M. Motion Analysis of Match-Play in Elite U12 to U16 Age-Group Soccer Players. J. Sports Sci. 2010, 28, 1391–1397. [Google Scholar] [CrossRef]
- Pettersen, S.A.; Brenn, T. Activity Profiles by Position in Youth Elite Soccer Players in Official Matches. Sports Med. Int. Open 2019, 3, E19–E24. [Google Scholar] [CrossRef]
- Goto, H.; King, J.A. Playing Formation Affects Match Running Performance in Youth Soccer: 4-4-2 vs 3-6-1. Kyushu Univ. Bull. 2023, 13, 65–73. [Google Scholar]
- Samolis, V.; Stafylidis, A.; Vlachakis, P.; Trampas, A.; Karampelas, D.; Michailidis, Y. The Running Performance of Elite Under-19 Football Players in Matches with a 1-4-2-3-1 Formation in Relation to Their Playing Position. Appl. Sci. 2025, 15, 6961. [Google Scholar] [CrossRef]
- Oliva-Lozano, J.M.; Gómez-Carmona, C.D.; Pino-Ortega, J.; Moreno-Pérez, V.; Rodríguez-Pérez, M.A. Match and Training High-Intensity Activity-Demands Profile during a Competitive Mesocycle in Youth Elite Soccer Players. J. Hum. Kinet. 2020, 75, 195–205. [Google Scholar] [CrossRef]
- Slaughter, M.H.; Lohman, T.G.; Boileau, R.A.; Horswill, C.A.; Stillman, R.G.; Van Loan, M.D.; Bemben, D.A. Skinfold equations for estimation of body fatness in children and youth. Hum. Biol. 1988, 60, 709–723. [Google Scholar] [PubMed]
- Durnin, J.V.G.A.; Rahaman, M.M. The assessment of the amount of fat in the human body from measurements of skinfold thickness. Br. J. Nutr. 1967, 21, 681–689. [Google Scholar] [CrossRef] [PubMed]
- Siri, W.E. The gross composition of the body. Adv. Biol. Med. Phys. 1956, 4, 239–280. [Google Scholar] [PubMed]
- Gómez-Carmona, C.D.; Bastida-Castillo, A.; García-Rubio, J.; Ibánez, S.J.; Pino-Ortega, J. Static and Dynamic Reliability of WIMU PROTM Accelerometers According to Anatomical Placement. Proc. Inst. Mech. Eng. Part P J. Sports Eng. Technol. 2019, 233, 238–248. [Google Scholar]
- Munoz-López, A.; Granero-Gil, P.; Pino-Ortega, J.; De Hoyo, M. The Validity and Reliability of a 5-Hz GPS Device for Quantifying Athletes’ Sprints and Movement Demands Specific to Team Sports. J. Hum. Sport Exerc. 2017, 12, 156–166. [Google Scholar] [CrossRef]
- IBM Corporation. IBM SPSS Statistics for Windows, version 29.0.2.0 [Computer Software]; IBM Corporation: Armonk, NY, USA, 2025; Available online: https://www.ibm.com/analytics/spss-statistics-software (accessed on 30 January 2025).
- The Jamovi Project. Jamovi, version 2.6 [Computer Software]; The Jamovi Project: Sydney, Australia, 2025; Available online: https://www.jamovi.org (accessed on 30 January 2025).
- JASP Team. JASP, version 0.19.3.0 [Computer Software]; JASP Team: Amsterdam, The Netherlands, 2025; Available online: https://jasp-stats.org (accessed on 30 January 2025).
- Cohen, J. Statistical Power Analysis for the Behavioral Sciences; Routledge: Abingdon, UK, 2013. [Google Scholar]
- Metaxas, T.I. Match running performance of elite soccer players: VO2max and players position influences. J. Strength Cond. Res. 2021, 35, 162–168. [Google Scholar] [CrossRef]
- Smpokos, E.; Mourikis, C.; Linardakis, M. Seasonal physical performance of a professional team’s football players in a national league and European matches. J. Hum. Sport Exerc. 2018, 13, 720–730. [Google Scholar] [CrossRef]
- Michailidis, Y.; Stafylidis, A.; Vardakis, L.; Kyranoudis, A.E.; Mittas, V.; Leftheroudis, V.; Mandroukas, A.; Metaxas, T.I. The Running Performance of Elite Youth Football Players in Matches with a 1-4-3-3 Formation in Relation to Their Playing Position. Appl. Sci. 2025, 15, 3984. [Google Scholar] [CrossRef]
- Vigne, G.; Gaudino, C.; Rogowski, I.; Alloatti, G.; Hautier, C. Activity profile in elite Italian soccer team. Int. J. Sports Med. 2010, 31, 304–310. [Google Scholar] [CrossRef]
- Asian-Clemente, J.; Suarez-Arrones, L.; Requena, B.; Santalla, A. Influence of Tactical Behaviour on Running Performance in The Three Most Successful Soccer Teams During the Competitive Season of The Spanish First Division. J. Hum. Kinet. 2022, 82, 135–144. [Google Scholar] [CrossRef] [PubMed]
- Bradley, P.S.; Lago-Peñas, C.; Rey, E.; Gómez Díaz, A. The Effect of High and Low Percentage Ball Possession on Physical and Technical Profiles in English FA Premier League Soccer Matches. J. Sports Sci. 2013, 31, 1261–1270. [Google Scholar] [CrossRef] [PubMed]
- Lago-Peñas, C.; Lago-Ballesteros, J.; Dellal, A.; Gómez, M. Game-Related Statistics That Discriminated Winning, Drawing and Losing Teams from the Spanish Soccer League. J. Sports Sci. Med. 2010, 9, 288–293. [Google Scholar] [PubMed]





| 95% Confidence Interval Mean | |||||||
|---|---|---|---|---|---|---|---|
| Mean ± SD | Lower | Upper | Test Statistic | ES | p | ||
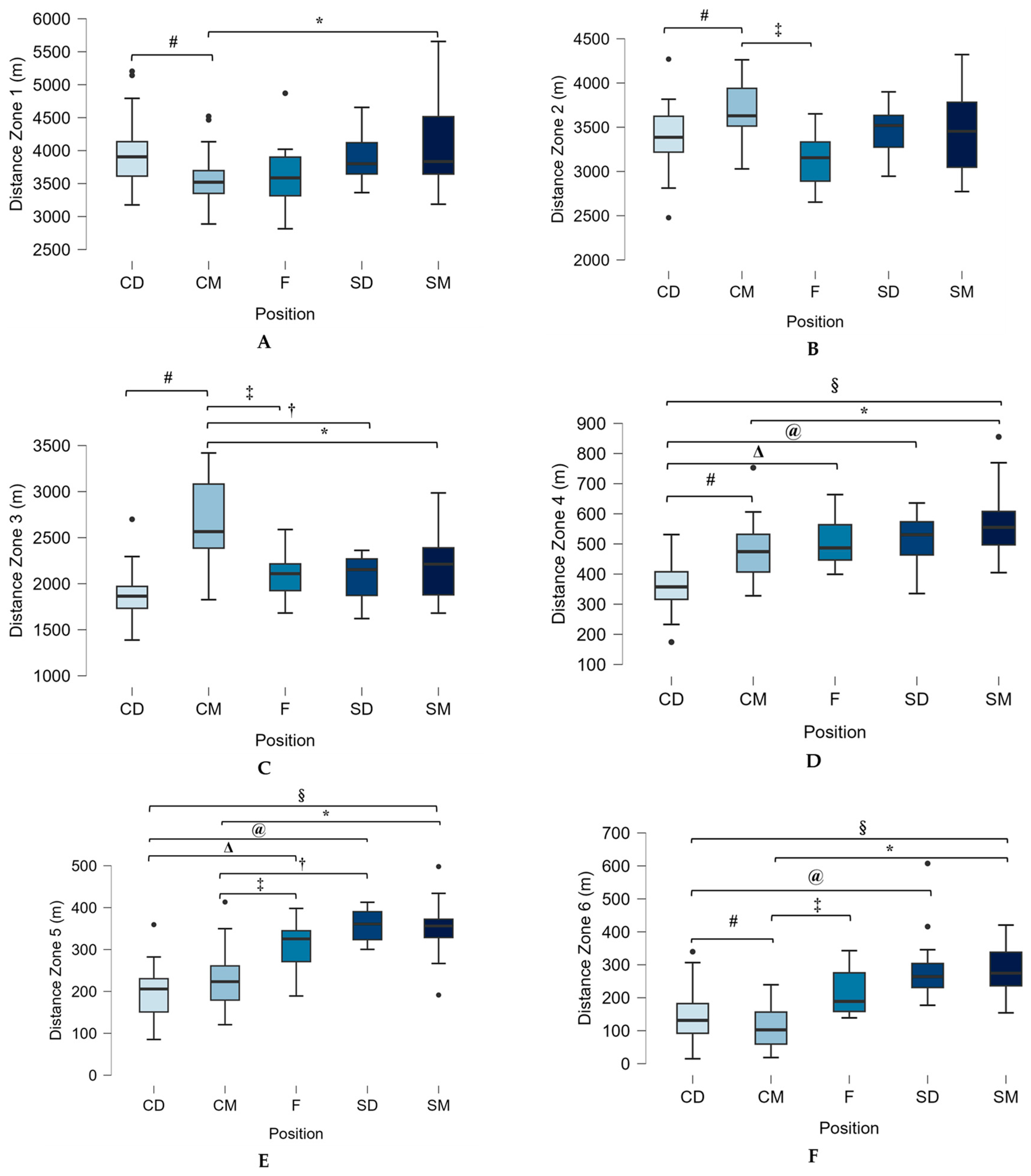
| Distance Zone 1 | CD | 3944.37 ± 492.66 | 3772.47 | 4116.27 | H = 13.1 | 0.132 | 0.011 *# |
| CM | 3591.30 ± 406.79 | 3427.00 | 3755.61 | ||||
| F | 3679.03 ± 585.23 | 3229.18 | 4128.88 | ||||
| SD | 3913.01 ± 384.61 | 3700.02 | 4126.00 | ||||
| SM | 4104.41 ± 661.71 | 3751.82 | 4457.01 | ||||
| Distance Zone 2 | CD | 3403.56 ± 351.23 | 3281.01 | 3526.11 | F = 4.627 | 0.163 | 0.002 #‡ |
| CM | 3683.81 ± 326.68 | 3551.86 | 3815.76 | ||||
| F | 3148.77 ± 324.19 | 2899.58 | 3397.96 | ||||
| SD | 3477.39 ± 272.31 | 3326.59 | 3628.19 | ||||
| SM | 3452.43 ± 450.79 | 3212.21 | 3692.64 | ||||
| Distance Zone 3 | CD | 1877.18 ± 281.63 | 1778.91 | 1975.44 | H = 40.8 | 0.412 | 0.001 *#†‡ |
| CM | 2643.15 ± 467.15 | 2454.47 | 2831.84 | ||||
| F | 2103.14 ± 258.11 | 1904.74 | 2301.55 | ||||
| SD | 2054.43 ± 262.88 | 1908.85 | 2200.01 | ||||
| SM | 2167.41 ± 372.78 | 1968.77 | 2366.05 | ||||
| Distance Zone 4 | CD | 357.62 ± 74.74 | 331.54 | 383.70 | F = 18.856 | 0.443 | 0.001 *#@§Δ |
| CM | 476.97 ± 97.26 | 437.68 | 516.25 | ||||
| F | 508.34 ± 90.35 | 438.89 | 577.80 | ||||
| SD | 517.89 ± 83.12 | 471.87 | 563.92 | ||||
| SM | 570.18 ± 118.31 | 507.14 | 633.23 | ||||
| Distance Zone 5 | CD | 195.11 ± 62.32 | 173.37 | 216.85 | F = 28.811 | 0.548 | 0.001 *†‡@§Δ |
| CM | 225.00 ± 74.23 | 195.01 | 254.98 | ||||
| F | 305.59 ± 65.23 | 255.45 | 355.73 | ||||
| SD | 358.11 ± 37.89 | 337.13 | 379.09 | ||||
| SM | 351.45 ± 67.61 | 315.42 | 387.48 | ||||
| Distance Zone 6 | CD | 141.59 ± 73.35 | 116.00 | 167.19 | H = 51.1 | 0.516 | 0.001 *#‡§@ |
| CM | 112.62 ± 68.40 | 84.99 | 140.24 | ||||
| F | 213.22 ± 70.44 | 159.08 | 267.37 | ||||
| SD | 291.13 ± 106.67 | 232.06 | 350.21 | ||||
| SM | 286.77 ± 75.79 | 246.38 | 327.16 | ||||
| Total Distance | CD | 9919.43 ± 685.83 | 9680.13 | 10,158.73 | F = 8.761 | 0.269 | 0.001 ^#‡§@ |
| CM | 10,732.83 ± 630.91 | 10,478.00 | 10,987.66 | ||||
| F | 9958.11 ± 947.26 | 9229.98 | 10,686.24 | ||||
| SD | 10,611.97 ± 652.72 | 10,250.51 | 10,973.44 | ||||
| SM | 10,932.63 ± 790.58 | 10,511.36 | 11,353.89 | ||||
| 95% Confidence Interval Mean | |||||||
|---|---|---|---|---|---|---|---|
| Mean ± SD | Lower | Upper | Test Statistic | ES | p | ||
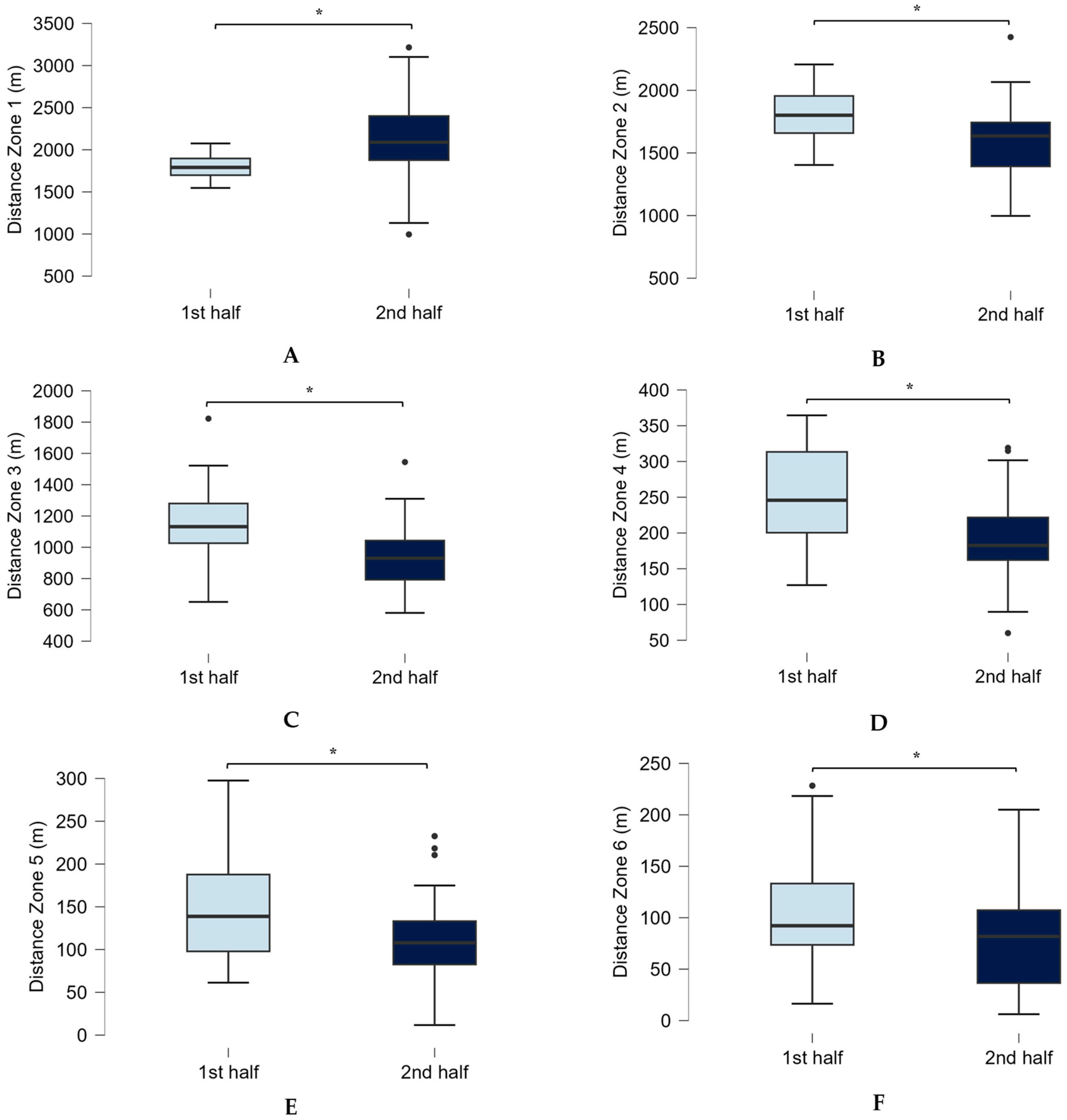
| Distance Zone 1 * | 1st half | 1794.75 ± 144.38 | 1749.18 | 1840.32 | t = −4.26 | −0.665 | 0.001 * |
| 2nd half | 2145.90 ± 517.60 | 1982.52 | 2309.28 | ||||
| Distance Zone 2 * | 1st half | 1803.50 ± 204.77 | 1738.86 | 1868.13 | t = 4.65 | 0.727 | 0.001 * |
| 2nd half | 1575.59 ± 318.09 | 1475.19 | 1675.99 | ||||
| Distance Zone 3 * | 1st half | 1139.43 ± 228.40 | 1067.34 | 1211.53 | t = 5.54 | 0.865 | 0.001 * |
| 2nd half | 943.35 ± 196.40 | 881.36 | 1005.34 | ||||
| Distance Zone 4 * | 1st half | 251.11 ± 66.54 | 230.11 | 272.11 | t = 5.34 | 0.834 | 0.001 * |
| 2nd half | 193.33 ± 57.22 | 175.27 | 211.39 | ||||
| Distance Zone 5 * | 1st half | 144.09 ± 58.30 | 125.69 | 162.50 | t = 3.67 | 0.573 | 0.001 * |
| 2nd half | 109.78 ± 50.49 | 93.85 | 125.72 | ||||
| Distance Zone 6 * | 1st half | 104.15 ± 53.45 | 87.28 | 121.02 | W = 627 | 0.456 | 0.01 * |
| 2nd half | 77.96 ± 51.72 | 61.64 | 94.28 | ||||
| Total Distance | 1st half | 5237.04 ± 350.49 | 5126.41 | 5347.66 | t = 1.41 | 0.220 | 0.16 |
| 2nd half | 5046.97 ± 823.57 | 4787.02 | 5306.92 | ||||
| 95% Confidence Interval Mean | ||||
|---|---|---|---|---|
| Mean ± SD | Lower | Upper | ||
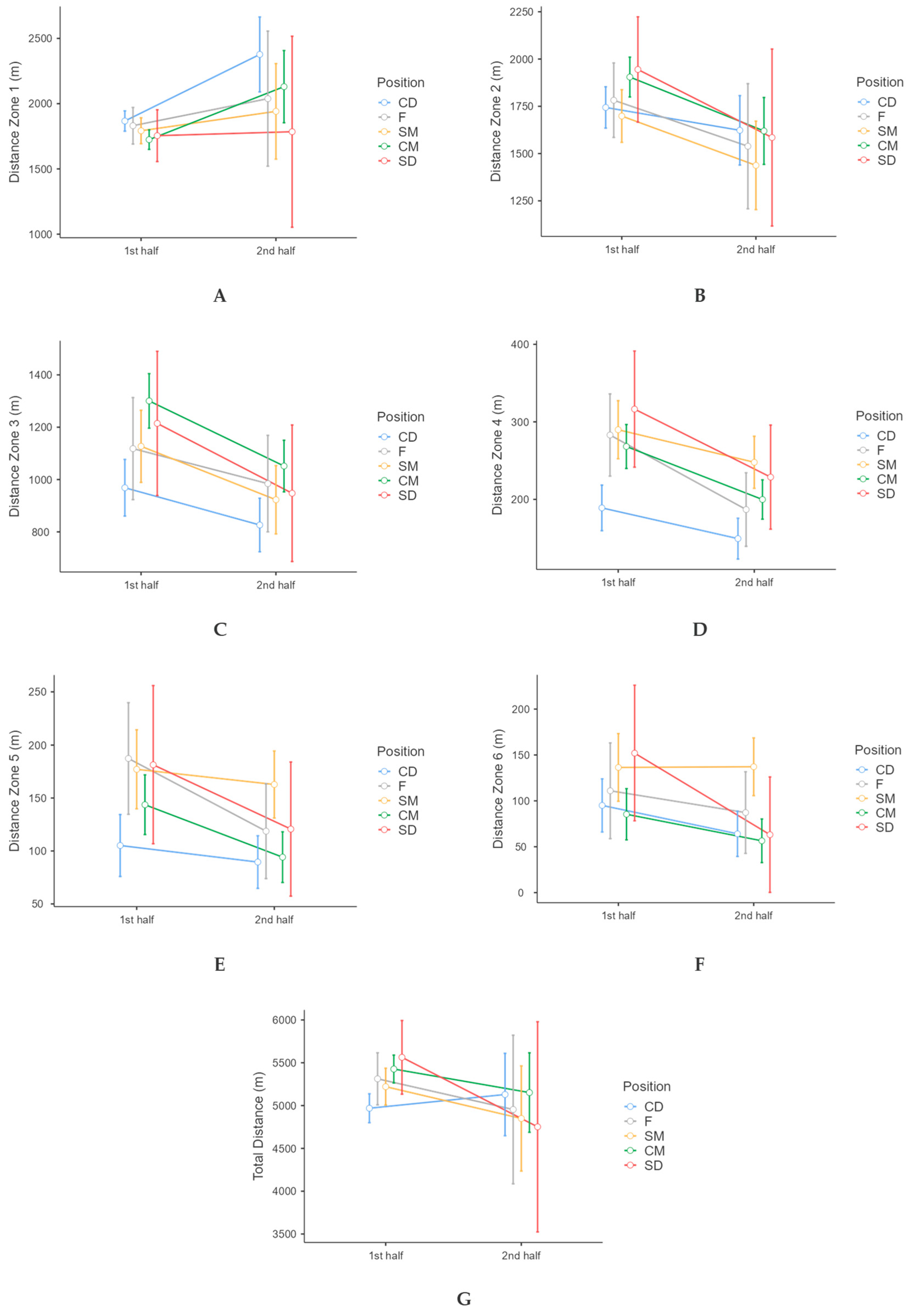
| Total Distance (m)—1st half | CD | 4968.92 ± 314.50 | 4817.62 | 5138.67 |
| CM | 5426.84 ± 289.15 | 5289.68 | 5576.64 | |
| F | 5312.73 ± 284.93 | 5028.58 | 5520.30 | |
| SD | 5563.65 ± 87.61 | 5501.70 | 5625.60 | |
| SM | 5221.09 ± 318.79 | 5006.39 | 5418.41 | |
| Total Distance (m)—2nd half | CD | 5129.52 ± 658.06 | 4808.76 | 5478.58 |
| CM | 5151.99 ± 901.46 | 4698.29 | 5624.33 | |
| F | 4954.35 ± 1117.32 | 3914.45 | 5781.75 | |
| SD | 4751.75 ± 598.28 | 4328.70 | 5174.80 | |
| SM | 4849.15 ± 963.77 | 4198.98 | 5462.29 | |
| Distance Zone 1—1st half | CD | 1867.13 ± 133.03 | 1798.61 | 1935.19 |
| CM | 1724.30 ± 165.25 | 1645.76 | 1818.23 | |
| F | 1831.05 ± 126.17 | 1746.35 | 1949.85 | |
| SD | 1754.60 ± 121.34 | 1668.80 | 1840.40 | |
| SM | 1792.30 ± 90.89 | 1736.28 | 1852.88 | |
| Distance Zone 1—2nd half | CD | 2377.26 ± 450.78 | 2150.36 | 2623.90 |
| CM | 2130.39 ± 461.87 | 1895.88 | 2358.97 | |
| F | 2038.35 ± 841.85 | 1307.15 | 2829.73 | |
| SD | 1784.90 ± 243.25 | 1612.90 | 1956.90 | |
| SM | 1941.11 ± 531.57 | 1610.85 | 2277.05 | |
| Distance Zone 2—1st half | CD | 1743.92 ± 236.55 | 1622.62 | 1867.48 |
| CM | 1904.80 ± 194.42 | 1800.18 | 1998.45 | |
| F | 1782.13 ± 151.24 | 1662.53 | 1906.25 | |
| SD | 1944.70 ± 34.79 | 1920.10 | 1969.30 | |
| SM | 1698.40 ± 133.49 | 1614.17 | 1781.99 | |
| Distance Zone 2—2nd half | CD | 1623.02 ± 278.95 | 1476.32 | 1761.98 |
| CM | 1619.62 ± 370.22 | 1432.91 | 1805.40 | |
| F | 1538.80 ± 252.48 | 1290.20 | 1680.75 | |
| SD | 1584.90 ± 224.29 | 1426.30 | 1743.50 | |
| SM | 1437.54 ± 353.70 | 1203.38 | 1663.82 | |
| Distance Zone 3—1st half | CD | 968.64 ± 152.89 | 886.95 | 1042.08 |
| CM | 1300.46 ± 219.28 | 1192.78 | 1419.99 | |
| F | 1118.18 ± 199.83 | 924.35 | 1248.08 | |
| SD | 1214.55 ± 3.75 | 1211.90 | 1217.20 | |
| SM | 1127.03 ± 208.62 | 982.23 | 1256.08 | |
| Distance Zone 3—2nd half | CD | 826.27 ± 141.55 | 747.05 | 895.75 |
| CM | 1051.51 ± 230.95 | 943.15 | 1166.69 | |
| F | 984.38 ± 86.68 | 910.80 | 1057.95 | |
| SD | 947.55 ± 58.20 | 906.40 | 988.70 | |
| SM | 922.75 ± 181.65 | 807.47 | 1036.55 | |
| Distance Zone 4—1st half | CD | 189.00 ± 37.74 | 170.62 | 207.81 |
| CM | 268.20 ± 67.98 | 235.63 | 302.36 | |
| F | 283.03 ± 43.76 | 247.13 | 316.60 | |
| SD | 316.45 ± 4.31 | 313.40 | 319.50 | |
| SM | 289.84 ± 46.78 | 257.38 | 319.47 | |
| Distance Zone 4—2nd half | CD | 149.35 ± 42.70 | 127.07 | 171.63 |
| CM | 199.82 ± 56.55 | 170.91 | 228.72 | |
| F | 186.88 ± 17.24 | 170.65 | 200.55 | |
| SD | 228.70 ± 16.26 | 217.20 | 240.20 | |
| SM | 247.83 ± 45.06 | 218.93 | 277.39 | |
| Distance Zone 5—1st half | CD | 105.18 ± 39.80 | 86.69 | 127.95 |
| CM | 143.67 ± 67.51 | 112.88 | 180.10 | |
| F | 187.35 ± 48.65 | 146.90 | 227.80 | |
| SD | 181.40 ± 17.40 | 169.10 | 193.70 | |
| SM | 177.11 ± 40.76 | 149.71 | 203.67 | |
| Distance Zone 5—2nd half | CD | 89.55 ± 44.04 | 65.05 | 112.79 |
| CM | 94.17 ± 45.65 | 74.25 | 120.39 | |
| F | 118.70 ± 37.99 | 95.85 | 155.85 | |
| SD | 120.70 ± 14.99 | 110.10 | 131.30 | |
| SM | 162.80 ± 46.69 | 133.67 | 193.41 | |
| Distance Zone 6—1st half | CD | 95.03 ± 51.63 | 69.92 | 124.88 |
| CM | 85.39 ± 51.31 | 62.80 | 115.54 | |
| F | 110.98 ± 46.26 | 81.18 | 156.40 | |
| SD | 152.00 ± 26.59 | 133.20 | 170.80 | |
| SM | 136.41 ± 55.85 | 101.36 | 169.16 | |
| Distance Zone 6—2nd half | CD | 64.10 ± 41.30 | 42.91 | 85.19 |
| CM | 56.46 ± 35.09 | 37.64 | 72.87 | |
| F | 87.23 ± 83.01 | 23.13 | 169.08 | |
| SD | 63.15 ± 42.78 | 32.90 | 93.40 | |
| SM | 137.16 ± 38.22 | 113.80 | 162.19 | |
Disclaimer/Publisher’s Note: The statements, opinions and data contained in all publications are solely those of the individual author(s) and contributor(s) and not of MDPI and/or the editor(s). MDPI and/or the editor(s) disclaim responsibility for any injury to people or property resulting from any ideas, methods, instructions or products referred to in the content. |
© 2025 by the authors. Licensee MDPI, Basel, Switzerland. This article is an open access article distributed under the terms and conditions of the Creative Commons Attribution (CC BY) license (https://creativecommons.org/licenses/by/4.0/).
Share and Cite
Michailidis, Y.; Stafylidis, A.; Vardakis, L.; Kyranoudis, A.E.; Mittas, V.; Bilis, V.; Mandroukas, A.; Metaxas, I.; Metaxas, T.I. Influence of Playing Position on the Match Running Performance of Elite U19 Soccer Players in a 1-4-3-3 System. Appl. Sci. 2025, 15, 8430. https://doi.org/10.3390/app15158430
Michailidis Y, Stafylidis A, Vardakis L, Kyranoudis AE, Mittas V, Bilis V, Mandroukas A, Metaxas I, Metaxas TI. Influence of Playing Position on the Match Running Performance of Elite U19 Soccer Players in a 1-4-3-3 System. Applied Sciences. 2025; 15(15):8430. https://doi.org/10.3390/app15158430
Chicago/Turabian StyleMichailidis, Yiannis, Andreas Stafylidis, Lazaros Vardakis, Angelos E. Kyranoudis, Vasilios Mittas, Vasileios Bilis, Athanasios Mandroukas, Ioannis Metaxas, and Thomas I. Metaxas. 2025. "Influence of Playing Position on the Match Running Performance of Elite U19 Soccer Players in a 1-4-3-3 System" Applied Sciences 15, no. 15: 8430. https://doi.org/10.3390/app15158430
APA StyleMichailidis, Y., Stafylidis, A., Vardakis, L., Kyranoudis, A. E., Mittas, V., Bilis, V., Mandroukas, A., Metaxas, I., & Metaxas, T. I. (2025). Influence of Playing Position on the Match Running Performance of Elite U19 Soccer Players in a 1-4-3-3 System. Applied Sciences, 15(15), 8430. https://doi.org/10.3390/app15158430

