Abstract
As environmental degradation intensifies, governments increasingly subsidize green manufacturing to promote sustainability. This study develops a game-theoretic model of two competing supply chains, comprising original equipment manufacturers (OEMs) and both traditional and green contract manufacturers (CMs), to investigate the impacts of subsidies on green manufacturing adoption. Specifically, we construct a four-stage dynamic game model to examine the interactions among OEMs, CMs, and the government. The main findings are as follows: First, the government subsidy affects OEMs’ adoption decisions only if the production cost of green manufacturing or competition intensity is sufficiently high or if the market sensitivity to green products is relatively low. Second, the optimal subsidy level depends jointly on the production cost of green manufacturing, competition intensity, and market greenness sensitivity: when the production cost of green manufacturing is low (high), the subsidy should rise (fall) with market greenness sensitivity but fall (rise) with competition intensity. Third, while intensified competition reduces OEMs’ profits and overall supply chain performance, its impact on CMs and consumers depends on the production cost of green manufacturing; in contrast, greater consumer sensitivity to green products yields an all–win outcome for all stakeholders. These results yield important managerial implications. For policymakers, when the production costs of green manufacturing are relatively low, green subsidies should be scaled back as market competition intensifies. For manufacturers, it is critical to carefully evaluate the production costs of green manufacturing and the level of government subsidies and to strategically pursue first-mover advantages in advancing sustainable operations, thereby fostering an all-win outcome for stakeholders.
1. Introduction
With the intensification of resource depletion, greenhouse gas emissions, and ecological degradation, the global environmental crisis has emerged as one of the most pressing challenges for sustainable development. Moreover, the ongoing environmental crisis has significantly reshaped the behaviors of both consumers and industrial participants. On the consumer side, growing environmental concerns have led to a discernible shift in preferences toward environmentally responsible products. Numerous studies have documented this trend, highlighting that sustainability considerations increasingly influence consumers purchasing decisions. This evolution in consumer behavior generates strong market incentives for firms to adopt greener production practices [1,2,3].
In addition to this shift in consumer behavior, the industrial sector has also faced increasing pressure from governments, who require them to pursue transformative solutions that reconcile economic growth with environmental protection. Among such approaches, green manufacturing—defined as the integration of environmentally friendly processes and technologies into production systems—has been increasingly recognized as an effective strategy to mitigate environmental problems across a variety of industries [4]. Beyond meeting regulatory requirements and addressing environmental concerns, green manufacturing also enables firms to align with evolving consumer preferences and to enhance brand reputation. Accordingly, the adoption of green manufacturing has been strongly advocated by both scholars and practitioners. On the one hand, empirical evidence suggests that the adoption of green manufacturing can yield multiple benefits for firms, including improvements in environmental performance, cost savings through efficient resource utilization, enhanced market competitiveness, and greater compliance with environmental regulations [5]. These advantages have contributed to the growing prevalence of green manufacturing globally. On the other hand, the economic potential of green manufacturing is underscored by market forecasts, with the global green technology and sustainability sector projected to expand from USD 20.90 billion in 2024 to approximately USD 105.26 billion by 2032 [6]. Such profit prospects further incentivize manufacturing firms to embrace green practices.
Nevertheless, real-world evidence reveals that despite its potential benefits, the adoption of green manufacturing remains far from universal. Multiple barriers—spanning economic, technological, regulatory, and market dimensions—continue to hinder its diffusion [7]. In particular, the high costs of green manufacturing represent a particularly formidable challenge. For example, it has been reported that the U.S. steelmaker Cleveland-Cliffs abandoned plans for green steel production primarily due to cost considerations [8]. Another major impediment lies in consumer behavior: Although awareness of sustainability is growing, consumers often exhibit a low willingness to pay a premium for green products, particularly when the price differential is substantial. This consumer reluctance undermines manufacturers’ ability to recover the additional costs of green manufacturing and creates further uncertainty regarding its profitability.
The situation is particularly complex in competitive markets. On the one hand, competitive pressure may motivate manufacturers to pursue green manufacturing as a means of differentiation and market advantage. On the other hand, the substantial costs of adopting green practices may expose manufacturers to cost disadvantages relative to non-adopting competitors, thereby discouraging widespread uptake. As a result, manufacturers frequently find themselves caught in a dilemma between environmental responsibility and economic viability. To resolve this tension, governments across the world have increasingly intervened through policy instruments designed to incentivize green adoption. Among these, government subsidies are considered particularly effective in alleviating cost burdens and encouraging firms to invest in sustainable technologies [9].
Although a substantial body of the literature has examined the role of subsidies in supply chains, prior research has largely concentrated on subsidies directed toward manufacturers, downstream retailers, or consumers [1]. For example, a number of studies have employed game-theoretic models to characterize the interactions among the government and supply chain members (e.g., Wu et al. [3], Lou et al. [10], and Li et al. [11]). Still, little attention has been devoted to the roles that subsidies play in green manufacturing adoption under competing supply chains. This gap leaves important questions unresolved, particularly concerning how government subsidies influence manufacturers’ adoption of green manufacturing when both downstream and upstream dynamics are taken into account. To address this gap, this study investigates the role of government subsidies in promoting green manufacturing adoption within competing supply chains. Specifically, we raise the following research questions:
- (1)
- Under what conditions do government subsidies would affect manufacturers’ adoption of green manufacturing?
- (2)
- What factors determine the optimal design of government subsidies?
- (3)
- How do competition intensity and consumer sensitivity to product greenness interact with government subsidies to shape outcomes for supply chain members and consumers?
To answer the above research questions, a dynamic game-theoretical model is developed, and the contributions of this study is as follows.
First, this paper contributes to the literature on green manufacturing by explicitly identifying the conditions under which government subsidies influence manufacturers’ adoption decisions. While prior studies have generally treated government intervention as an exogenous driver facilitating the adoption of green manufacturing (e.g., Zhang and Yousaf [9]), the specific conditions under which subsidies become effective have largely been overlooked. Accordingly, the findings of this study help fill this gap in the existing research. Second, this paper advances the theoretical understanding of green subsidy design by examining the impacts of several critical factors, thereby offering policy insights into how public funds can be more effectively leveraged to enhance both environmental and economic performance. Third, this paper also enriches the supply chain management literature by elucidating the interplay among competition intensity, consumer environmental sensitivity, and subsidy policies, thus providing a more comprehensive perspective on the applicability of green subsidies within supply chains. Moreover, although game-theoretic models have been applied in studies of green manufacturing (e.g., Guo et al. [12]), the integration of green manufacturing with government subsidy considerations remains scarce. To address this gap, this paper develops a theoretical framework for analyzing competition in green manufacturing between two supply chains under government subsidy—a topic that has received limited attention in the existing literature. Finally, the findings of this study provide actionable insights for both policymakers and industrial managers who aim to accelerate the transition toward green production systems, meanwhile balancing economic performance with environmental sustainability.
The remainder of this paper is structured as follows. Section 2 provides a review of the related literature. Section 3 develops the game-theoretical model, while Section 4 derives the equilibrium outcomes. Section 5 conducts comparative statics analyses, and Section 6 presents the numerical analysis, Section 7 discusses the findings and their implications, and Section 8 concludes this paper.
2. Literature Review
This paper is mainly related to three streams of literature: (i) green manufacturing, (ii) government subsidies for green products, and (iii) green supply chain management.
2.1. Green Manufacturing
This stream of literature primarily addresses the costs, drivers, and barriers of green manufacturing [13,14,15,16,17], as mentioned in the Introduction. Beyond cost considerations, government interventions—such as environmental regulations—as well as firms’ pursuit of competitive advantage and corporate reputation, represent important drivers of green manufacturing adoption [18]. For example, Nunes and Park [19] demonstrate that environmental reputation enhances consumer trust and investor confidence. Similarly, Afum et al. [20] examine the relationship between green manufacturing and sustainable performance, and they show that it contributes positively to the social, economic, and environmental outcomes of various industries. These findings suggest that manufacturers are increasingly motivated to adopt green practices to attract environmentally conscious consumers and investors.
Despite these benefits, significant barriers hinder the widespread implementation of green manufacturing, including regulatory, technological, and market-related challenges [21]. Karuppiah et al. [22] categorize these barriers into three groups: core barriers such as limitations in R&D, failures in eco-design, and insufficient capital; regulatory barriers including accreditation gaps and stringent tax regimes; and external barriers such as weak demand for green products and consumer apathy. In addition, Singh et al. [14] emphasize technical constraints, including the high costs of biodegradable fluids and the complexity of process optimization.
Taken together, the extant literature highlights the tension between the high costs, strong drivers, and persistent barriers of green manufacturing, thereby underscoring the critical role of government subsidies in mitigating cost pressures and facilitating manufacturers’ transition toward green production practices. However, the mechanism through which government subsidies facilitate green manufacturing has been largely overlooked in this stream of literature.
2.2. Government Subsidies for Green Products
This stream of literature can broadly be classified into three groups. The first group investigates how subsidy strategies vary across supply chain stakeholders. For example, employing a Stackelberg model, Xu et al. [23] compare manufacturer and retailer subsidies in dual-channel supply chains. They found that manufacturer subsidies are more effective when online sales dominate, as manufacturers directly determine product greenness. By contrast, retailer subsidies may inadvertently weaken manufacturers’ incentives to improve green quality. Shang et al. [7] analyze the joint implementation of government subsidies and carbon taxes, showing that both retailer cooperation and manufacturer cooperation enhance the overall profitability of the supply chain. In addition, other studies emphasize subsidies directed at consumers or platforms. For instance, Zhong et al. [24] demonstrate that subsidies to agricultural e-commerce platforms help to balance environmental and economic objectives, while Bian et al. [25] find that consumer subsidies outperform manufacturer subsidies, as they lead to lower abatement levels while stimulating higher consumption quantities.
The second group explores the effects of subsidies on supply chain performance. In particular, subsidies influence green supply chains by enhancing product quality, reducing costs, and stimulating consumer demand [26,27]. From a market perspective, Heydari et al. [28] show that when governments subsidize manufacturers of green products, retailers can redirect part of the demand for non-green products toward green alternatives by incentivizing consumer purchasing behavior. Similarly, Xu et al. [29] find that government low-carbon subsidies facilitate information sharing among channel members, thereby improving supply chain coordination.
The third group addresses the optimization of subsidy strategies under varying market conditions. Li et al. [30] report that product-based subsidies outperform innovation-based subsidies when the cost of green innovation is high, provided that such innovation significantly reduces variable production costs. Under budget constraints, fixed-amount subsidies outperform discount subsidies for both marginal-cost-intensive and development-intensive green products in terms of unit and aggregate greenness [31]. Zhang et al. [32] further argue that collaborative innovation within the supply chain critically affects the choice of subsidy mode and rate, and that combining subsidy policies with collaborative contracts can simultaneously improve economic performance and reduce carbon emissions. In the agricultural context, Shi et al. [11] show that when farmers self-invest in green technologies, those with smaller landholdings prefer investment subsidies for technology acquisition over subsidies for operational activities. In addition, a number of studies have employed game-theoretic models to characterize the interactions among the government and supply chain members (e.g., Wu et al. [3], Guo et al. [12], Lou et al. [10], and Li et al. [11]). Nonetheless, few of these studies explicitly link green product subsidies to the firm level to drive green manufacturing transitions.
Compared with the studies mentioned above, this research contributes to the literature in two key ways. First, this paper focuses on supply chain firms in the context of green subsidies and examines their role in facilitating manufacturers’ transition to green manufacturing—an area that has received limited research attention. Second, this paper also investigates the optimal design of green subsidies and identifies the critical factors that affect government decision-making in this regard, and these factors have not been adequately addressed in the existing literature.
2.3. Green Supply Chains Management
The third stream of literature concerns the management of green supply chains. In the context of Industry 4.0, researchers have examined the role of green manufacturing in enhancing the performance of green supply chains [33,34]. For example, Li et al. [35] show that when agency fees are relatively low, agency selling in online channels results in higher product greenness, whereas reselling benefits product greenness in both online and offline channels when agency fees are high; moreover, higher consumer green awareness motivates manufacturers to adopt agency selling. Wang et al. [36] further demonstrate that consumer green preferences positively affect green supply chains by improving product greenness. Similarly, Hsieh and Lathifah [37] reveal that the spillover effects of blockchain technologies benefit both blockchain-based sales platforms and manufacturers under coordinated supply chains. In addition, Xia et al. [38] find that differences in product greenness across channels influence wholesale prices, although retailers’ expected profits remain unaffected.
With regard to supply chain coordination, Ma et al. [39] show that revenue-sharing, bilateral cost-sharing, and two-part tariff contracts can effectively coordinate manufacturer-led and retailer-led green supply chains, in some cases achieving Pareto improvements. Along similar lines, Liao et al. [40] highlight the benefits of revenue-sharing and cost-sharing contracts, finding that such mechanisms allow manufacturers to capture higher benefits. Esmaeeli et al. [41] examine big data investments in green supply chains, concluding that cost-sharing contracts are suitable in Nash equilibrium scenarios where all supply chain members, including customers, benefit. In the context of capital-constrained green supply chains, Wu et al. [3] compare various subsidy strategies implemented by retailers, finding that manufacturers and retailers may prefer either cost-sharing or interest-reduction strategies depending on financial constraints. Furthermore, Wang et al. [2] demonstrate that option contracts can achieve pareto-efficient coordination when warehousing contracts safeguard inventory costs before and after coordination in green supply chains.
Distinct from the aforementioned studies, this article examines green supply chain management within the framework of government subsidies. By analyzing the design of optimal subsidy schemes, this paper further explores the factors that drive conflicts of interest among supply chain members. In particular, given that the impacts of critical factors—such as the production cost of green manufacturing, the intensity of market competition, and the market’s sensitivity to green products—on the green subsidy are non-monotonic, our findings suggest the use of a collective coordination mechanism for green manufacturing, thereby extending and complementing the existing literature from a collaborative perspective.
3. Model Setup
We consider two competing supply chains, indexed by . Each supply chain consists of a traditional contract manufacturer (CMi) and an original equipment manufacturer (OEMi). The OEM outsources its production quantity to its corresponding contract manufacturer, who undertakes the production at a unit manufacturing fee and incurs a constant unit production cost . Consumers exhibit a willingness to pay a positive premium for products manufactured through sustainable practices [12], and We refer to this premium as the market greenness sensitivity of green manufacturing. Moreover, following Cai et al. [42] and Shi et al. [43], we assume that this market sensitivity to green manufacturing is positively and linearly related to the product’s selling price.
To cater to this sustainability preference, a specialized sustainable contract manufacturer, denoted as CM0, offers green manufacturing services at a unit manufacturing fee and a constant unit production cost . In accordance with empirical observations, we assume that green production is more costly, i.e., . For analytical tractability, the production costs of the two traditional contract manufacturers are normalized to zero, that is, . This treatment of production costs is consistent with prior studies in the operations management literature, such as Liao et al. [40] and Shang et al. [7]. Following Guo et al. [12] and Singh and Vives [44], the demand functions for the two supply chains are specified as follows:
where and . denotes the degree of product substitutability between the two supply chains. Specifically, as , the products tend to be more heterogeneous, leading to weaker market competition. Conversely, as , the products become increasingly homogeneous, thereby intensifying the degree of competition in the market.
To incentivize the adoption of green manufacturing, the government provides a per-unit subsidy for products produced through green processes. When green manufacturing is adopted, the subsidy is allocated between the original equipment manufacturer (OEM) and the contract manufacturer (CM) according to a proportion . Specifically, implies that the subsidy is granted exclusively to the CM, indicates that it is entirely allocated to the OEM, and corresponds to a shared subsidy scheme between the two parties. The government incurs a quadratic subsidy cost given by , where denotes the cost coefficient associated with subsidy provision. Note that we employ a quadratic cost function to capture the essence of resource scarcity (e.g., limited government budget), which gives rise to increasing marginal costs of subsidizing. Such a cost structure has been widely adopted in the economics and management literature [7]. Moreover, one can readily verify that if a constant marginal cost (e.g., a linear subsidy cost) is adopted, the main results of this paper remain quantitatively valid, with the only difference being that the values of the critical thresholds change. The main notations used in this paper are listed in Table A1 in Appendix A.
In addition, to ensure that OEMs obtain a positive benefit from adopting green manufacturing, we require Additionally, to guarantee the existence of an equilibrium solution, we impose the condition , where and .
We develop a four-stage dynamic game model, as illustrated in Figure 1. The decisions sequence is as follows.
- Stage 0: The government determines the subsidy level for each product manufactured through green processes.
- Stage 1: OEM1 and OEM2 decide whether to adopt green manufacturing.
- Stage 2: CM0, CM1, and CM2 set their respective manufacturing fees, denoted by .
- Stage 3: OEM1 and OEM2 determine their production quantities, , respectively.
Figure 1.
Decision sequence.
Note that the decision sequence reflects real-world observations. First, in practice, OEMs may determine their production quantities after receiving price quotes from CMs via websites [45]. Second, since the adoption of green manufacturing represents a long-term strategic choice, it is reasonable for OEMs to anticipate the subsequent responses of CMs before committing to such decisions. Similarly, as governments aim to maximize social welfare, it is logical for them to design subsidy policies from an even more long-term perspective. In addition, a similar decision-making framework is adopted by Guo et al. [12].
In the second stage, each OEM decides whether to adopt green manufacturing, denoted by “Y” if adopted and “N” otherwise. Consequently, the adoption decisions of the two OEMs yield four possible combinations (see Table 1), which correspond to four distinct subgames:
- Subgame I: Neither OEM1 nor OEM2 adopts green manufacturing (N,N);
- Subgame II: Only OEM1 adopts green manufacturing (Y,N);
- Subgame III: Only OEM2 adopts green manufacturing (N,Y);
- Subgame IV: Both OEM1 and OEM2 adopt green manufacturing (Y,Y).
Table 1.
The combinations of different green manufacturing strategies for OEMs.
Table 1.
The combinations of different green manufacturing strategies for OEMs.
| OEM1 | |||
| OEM2 | Non-green manufacturing | Green manufacturing | |
| Non-green manufacturing | |||
| Green manufacturing | |||
In what follows, we solve the game model presented above by backward induction in Section 4 and use the resulting solutions to characterize the behaviors of the government, OEMs, and CMs. Furthermore, we analyze how critical factors influence their performance by conducting comparative static analyses in Section 5.
4. Model Analysis and Equilibrium Results
In this section, we derive the equilibrium outcomes of the four subgames within the four-stage dynamic game introduced in Section 3. Specifically, we use the superscript “*z” (where z = I, II, III, IV to denote the equilibrium outcome of each subgame, corresponding, respectively, to the strategy profiles (N,N), (Y,N), (N,Y), and (Y,Y), which are analyzed in Section 4.1, Section 4.2, Section 4.3 and Section 4.4. Section 4.5 then synthesizes these results to determine the equilibrium adoption strategies of the OEMs. Finally, Section 4.6 addresses the government’s problem of setting the optimal subsidy.
4.1. Neither OEM1 nor OEM2 Adopts Green Manufacturing (I)
In this case, as neither OEM adopts green manufacturing, consumers do not pay any premium (i.e., ). Accordingly, the optimization problem faced by OEMi can be formulated as follows:
Therefore, the optimization problem faced by CMi can be formulated as:
We solve this subgame by back induction. Because the objective functions in Equation (2) and Equation (3) are concave in and , respectively, by the first-order conditions, the equilibrium results are presented in Lemma 1.
Lemma 1.
When neither OEM1 nor OEM2 adopts green manufacturing, the equilibrium outcomes are:
Lemma 1 indicates that when neither OEM1 nor OEM2 adopts green manufacturing, their operational performance is primarily determined by the intensity of market competition.
4.2. Only OEM1 Adopt Green Manufacturing (II)
In this case, since only OEM1 adopts green manufacturing, product 1 receives a premium (i.e., ). The government subsidy is allocated as to OEM1 and to CM1. Accordingly, the optimization problem of OEMi can be formulated as:
Thus, the CMi’s optimal problems can be written as:
We solve this subgame by back induction. Because the objective functions in Equation (4) and Equation (5) are concave in and , correspondingly, by the first-order conditions, the equilibrium results are presented in Lemma 2.
Lemma 2.
When only OEM1 adopts green manufacturing, the equilibrium outcomes are:
Lemma 2 demonstrates that when only one OEM adopts green manufacturing, its operational performance is jointly determined by the production cost of green manufacturing, the intensity of market competition, and the market’s sensitivity to green products.
4.3. Only OEM2 Adopt Green Manufacturing (II)
In this case, since only OEM2 adopts green manufacturing, product 2 receives a premium (i.e., ). The government subsidy is allocated as to OEM2 and to CM2. Accordingly, the optimization problem of OEMi can be formulated as:
Thus, the CMi’s optimal problem can be written as:
We solve this subgame by back induction. Because the objective functions in Equation (6) and Equation (7) are concave in and , correspondingly, by the first-order conditions, the equilibrium results are presented in Lemma 3. Note that due to the symmetric setting, the results in Lemma 3 are the opposite of those in Lemma 2.
Lemma 3.
When only OEM2 adopts green manufacturing, the equilibrium outcomes are:
4.4. Both OEM1 and OEM2 Adopts Green Manufacturing (IV)
In this case, as both OEM1 and OEM2 adopt green manufacturing, each product receives a premium (i.e., ). The government subsidy is allocated as to each OEM and to each corresponding CM. Accordingly, the optimization problem faced by OEMi can be formulated as:
Thus, the CM0’s optimal problem can be written as:
We solve this subgame by back induction. Because the objective functions in Equations (8) and (9) are concave in and , respectively, by the first-order conditions, the equilibrium results are presented in Lemma 4.
Lemma 4.
When both OEM1 and OEM2 adopts green manufacturing, the equilibrium outcomes are:
Lemma 4 shows that although the subsidy proportion for OEMs () influences the wholesale pricing set by the green contract manufacturer, it does not affect the selling quantities or the profits of supply chain members. This implies that an increase in can be counterbalanced by appropriately adjusting the wholesale price, .
4.5. The Nash Equilibrium of OEM1’s and OEM2’s Green Manufacturing Adoption
Based on the four subgame equilibria solved in Section 4.1, Section 4.2, Section 4.3 and Section 4.4, we continue to solve for the equilibrium of OEM1’s and OEM2’s green manufacturing adoption in the second stage. Specifically, as per the Lemmas 1–4 in Section 4.1, Section 4.2, Section 4.3 and Section 4.4, the question of whether an OEM should adopt green manufacturing can be written in the following normal-form game, as summarized in Table 2. Namely, given the strategy options available to the OEMs and their corresponding payoffs, the competition between the two OEMs in adopting green manufacturing can be characterized as a simultaneous-move game.
Table 2.
The payoffs of OEMs under different green manufacturing strategies.
Solving the Nash equilibrium for the above normal-form game, we present the equilibrium results of the green manufacturing strategies for OEM1 and OEM2 in Proposition 1, and Figure 2 further visualizes these equilibrium results. For the sake of conciseness, the following sets are defined: . .
Figure 2.
The equilibrium of OEMs’ green manufacturing adoption strategies ( and ). Note that the horizontal axis represents the production cost of green manufacturing, while the vertical axis denotes the per-unit subsidy for green manufacturing products.
Proposition 1.
When the market greenness sensitivity of green manufacturing is large enough ():
- (1)
- If R1, there exists a unique subgame equilibrium (Y,Y), representing that both OEM1 and OEM2 choose to adopt green manufacturing;
- (2)
- If R2, there exists two subgame equilibrium (Y,N) or (N,Y), representing that only OEM1 or OEM2 chooses to adopt green manufacturing.
All proofs of propositions and corollaries are provided in Appendix A.
Proposition 1 indicates that when the market’s sensitivity to green manufacturing is sufficiently high, adopting green manufacturing is a dominant strategy for an OEM if its rival does not adopt it. Conversely, once an OEM has adopted green manufacturing, the competitor’s adoption decision depends critically on the production cost of green manufacturing () and the level of government’s green subsidy (). Different combinations of the production cost of green manufacturing and the level of government subsidy may lead to distinct equilibrium outcomes, whereby either only one OEM adopts green manufacturing or both OEMs do so. This finding suggests that the production cost of green manufacturing and the level of government subsidy constitute the two pivotal factors influencing OEMs’ adoption of green manufacturing.
Specifically, when the production cost of green manufacturing is relatively high and the government subsidy is low (R2), the subgame equilibrium results in asymmetric adoption of green manufacturing, i.e., either (Y,N) or (N,Y). In this scenario, if OEM1 adopts green manufacturing, it is optimal for OEM2 not to adopt, and vice versa. The rationale is that under high production costs of green manufacturing, a low subsidy is insufficient to incentivize simultaneous adoption of green manufacturing. Due to intense competitive pressures, the second-mover OEM will soon realize that adopting green manufacturing would yield a lower profit than abstaining from it ( and ). Hence, the first-mover OEM can effectively deter its competitor from green manufacturing adoption, capturing a strategic advantage. This finding implies that in contexts of high production cost of green manufacturing and limited government support, manufacturers that proactively implement green manufacturing can leverage a first-mover advantage to restrict competitors’ green manufacturing adoption, thereby enhancing their own profitability.
Conversely, when the production cost of green manufacturing falls below a critical threshold () or the subsidy is sufficiently high (R1), the equilibrium becomes symmetric, i.e., (Y,Y), where both OEMs adopt green manufacturing. Two mechanisms drive this outcome: first, when the production cost of green manufacturing is low, the market greenness sensitivity of green manufacturing alone suffices to incentivize green manufacturing adoption even in the absence of government subsidies, allowing OEMs to capture additional profits from consumers’ willingness to pay a premium for green products. Second, when the production cost of green manufacturing exceeds the threshold, a sufficiently large government subsidy compensates OEMs for the intensified competition associated with simultaneous adoption of green manufacturing, making green manufacturing profitable for both OEMs. However, if the government subsidy is inadequate, the equilibrium reverts to asymmetric adoption ((Y,N) or (N,Y)), as the follower OEM would incur a net loss by adopting green manufacturing alongside its competitor. This suggests that the impact of government subsidies on green manufacturing adoption becomes significant primarily when the production cost of green manufacturing is high. By contrast, when the production cost is sufficiently low, government intervention is unnecessary, as market forces alone will naturally drive OEMs toward adopting green manufacturing.
In summary, Proposition 1 demonstrates that both the production cost of green manufacturing and government green subsidy jointly shape the strategic landscape of green manufacturing adoption. From a managerial perspective, firms should carefully assess these factors: proactive adoption can secure a competitive edge under high-cost, low-subsidy conditions, whereas coordinated or mutually incentivized adoption is feasible when green production costs are low or subsidies are sufficiently generous. Strategic timing and awareness of government incentives are therefore crucial levers for enhancing performance in green manufacturing initiatives. This result aligns with Przychodzen et al. [46] who emphasize the pivotal role of first-mover advantages in advancing sustainable operations.
Corollary 1.
.
Corollary 1 shows the impacts of market greenness sensitivity of green manufacturing, competitive intensity, and the production cost of green manufacturing on OEMs’ adoption decisions of green manufacturing. Intuitively, as the market’s sensitivity to green manufacturing increases, OEMs are more inclined to adopt green manufacturing. In contrast, higher competitive intensity or elevated production cost of green manufacturing diminish the likelihood that all OEMs will adopt green manufacturing. These results indicate that while greater market greenness sensitivity exerts a positive influence on OEMs’ adoption decisions, both intensified competition and higher production cost of green manufacturing have a negative impact.
4.6. The Government’s Optimal Subsidy for Green Manufacturing
In this subsection, we consider a scenario in which the government aims to induce all OEMs to adopt green manufacturing through subsidy; that is, the government’s preferred outcome is the equilibrium (Y,Y). A natural question arises: what level of subsidy is optimal under this objective? To address this, given the specified demand functions, the consumer surplus (CS) can be calculated as: [44]. Furthermore, total profit of supply chain and the social welfare (SW) under the equilibrium (Y,Y) is given by: and , respectively. Accordingly, with the quadratic subsidy cost to capture the increasing marginal cost of subsidization, the government’s optimization problem can be formulated as:
Solving the optimization problem (10), we present the government’s optimal green subsidy in Proposition 2.
Proposition 2.
When the government intends to induce all OEMs to adopt green manufacturing, the optimal subsidy is:
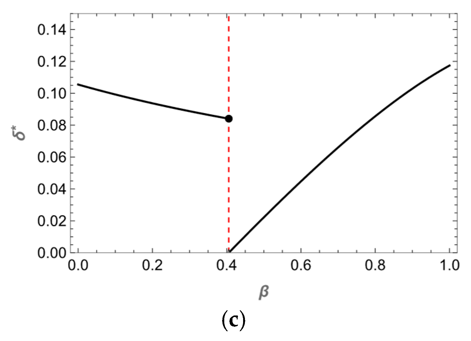
Proposition 2 demonstrates that when the government seeks to incentivize a greater number of OEMs to adopt green manufacturing, the optimal green subsidy is contingent upon the production cost of green manufacturing, the market greenness sensitivity, and the intensity of competition, as illustrated in Figure 3. Specifically, in Figure 3a, when the market greenness sensitivity and production cost are located in the blue region, the optimal subsidy is . By contrast, when they both fall into the green region, the optimal subsidy increases to . Similarly, Figure 3b shows that when the competitive intensity and production cost of green manufacturing are in the blue region, the optimal subsidy is , whereas in the green region, it rises to . Figure 3c further illustrates that when competitive intensity and market greenness sensitivity are in the blue region, the optimal subsidy is , but when they move to the green region, the subsidy must increase to . Note that is an unbinding solution, whereas is a binding solution. Thus, this pattern indicates that when the production cost of green manufacturing exceeds a certain threshold (), the government should implement a higher subsidy to induce all OEMs to adopt green manufacturing. Although such a subsidy may not be globally optimal from a broader welfare perspective, it constitutes a suboptimal policy instrument specifically designed to ensure full adoption of green manufacturing. The threshold () therefore plays a pivotal role in determining the government’s optimal subsidy design.
Figure 3.
The government’s optimal subsidy (). (a) ; (b) ; (c) . Note that in panels (a,b), the axis labeled ““ denotes the production costs of green manufacturing, while the axis labeled “” represents the market greenness sensitivity of green manufacturing. In panels (b,c), the axis labeled “” indicates the degree of product substitutability.
The managerial implications of Proposition 2 are: First, the government should calibrate green subsidies according to both market conditions and production characteristics: higher production cost of green manufacturing or intensified competition necessitate more substantial subsidies to achieve full adoption of green manufacturing. Second, subsidies should be targeted strategically rather than uniformly applied, as the same level of support may be insufficient under high-cost or high-competition scenarios. Finally, proactive subsidy design can serve as an effective policy tool to align OEMs’ strategic decisions with environmental objectives, ensuring adoption of green manufacturing practices while mitigating potential competitive distortions.
5. Comparative Static Analyses
This section performs comparative static analyses to examine the impacts of green manufacturing production costs the production cost of green manufacturing (), market competition intensity (), and the market’s sensitivity to green products () on the equilibrium outcomes.
5.1. The Impact of , , and on the Government’s Subsidy
Proposition 3.
When the government intends to induce all OEMs to adopt green manufacturing, we have:
Proposition 3 illustrates the impacts of the production cost of green manufacturing (), market competition intensity (), and the market’s sensitivity to green products () on the government’s optimal subsidy, as also depicted in Figure 4. Overall, these impacts on the optimal government subsidy are generally non-monotonic (see Figure 4a–c). In Figure 4a, when the production cost of green manufacturing () is low, an increase in the production cost of green manufacturing reduces the optimal subsidy. However, once the production cost of green manufacturing exceeds a certain critical threshold, further increases in it actually raise the optimal subsidy. A similar pattern is observed for market competition intensity () in Figure 4c, but for the market greenness sensitivity (), the situation is reversed. In Figure 4b, the condition is equivalent to , where denotes the unique solution to the equation . In this scenario, when the market’s sensitivity to green products () is relatively high, a further decrease in reduces the optimal subsidy. However, once falls below a certain critical threshold (), any additional decline leads to an increase in the optimal subsidy.

Figure 4.
The impact of on the government’s optimal subsidy (). (a) and ; (b) and ; (c) and . Note that in panels (a–c), vertical axis denotes the optimal per-unit subsidy for green manufacturing products, while the horizontal axis represents, respectively, the production cost of green manufacturing, the market greenness sensitivity of green manufacturing, and the degree of product substitutability. Note that the dotted and solid lines in each subfigure respectively indicate the threshold and the optimal subsidy for each case.
This phenomenon arises because the critical thresholds of the production cost of green manufacturing (), market competition intensity (), and the market’s sensitivity to green products () determine whether the government’s green subsidy influences OEMs’ decisions to adopt green manufacturing. Specifically, when the production cost of green manufacturing () or market competition intensity () is below its respective threshold while the market’s sensitivity to green products () exceeds its corresponding threshold, the government subsidy has no impact on OEMs’ adoption decisions of green manufacturing. In other words, even in the absence of the government subsidy, OEMs will voluntarily adopt green manufacturing due to favorable market conditions. Consequently, further increases in the production cost of green manufacturing (), market competition intensity (), or the market’s sensitivity to green products () reinforce OEMs’ adoption of green manufacturing, enabling the government to reduce the green subsidy without discouraging any OEMs from engaging in green production. This finding suggests that policymakers should dynamically adjust green subsidies to respond to changes in the production cost of green manufacturing, the intensity of market competition, and the market’s sensitivity to green products.
5.2. The Impact of , , and on the Wholesale Price
Proposition 4.
When the government intends to induce all OEMs to adopt green manufacturing, we have: if then and for and otherwise; if then and for and otherwise.
Proposition 4 shows the impacts of the production cost of green manufacturing (), market competition intensity (), and the market’s sensitivity to green products () on the wholesale price of green manufacturing CM0. It is evident that both the production cost of green manufacturing and the market’s greenness sensitivity positively influence the wholesale price. In contrast, the impact of market competition intensity () on the wholesale price is conditional, depending on the relative share of the government’s green subsidy to OEMs. Specifically, when the government provides a relatively high subsidy to OEMs (i.e., ), an increase in market competition intensity () raises the wholesale price. Conversely, when the government provides a lower subsidy (i.e., ), an increase in market competition intensity () reduces the wholesale price. Therefore, this opposite effect highlights that the subsidy proportion for OEMs plays a crucial role in determining how intensified market competition influences the wholesale pricing strategy of green contract manufacturers.
5.3. The Impact of , , and on the Outsourcing Quantities
Proposition 5.
When the government intends to induce all OEMs to adopt green manufacturing, we have and .
Proposition 5 shows that the impacts of the production cost of green manufacturing (), market competition intensity (), and the market greenness sensitivity of green manufacturing () on the quantities of green manufacturing. Specifically, increases in the production cost of green manufacturing () and market competition intensity () reduce the green manufacturing quantities, whereas higher market greenness sensitivity () increases these quantities.
5.4. The Impact of , , and on the Profitability of OEMs and CMs
Proposition 6.
When the government intends to induce all OEMs to adopt green manufacturing, we have: (1) and ; (2) and for or and and otherwise, where is the unique root of equation in the unit interval.
Proposition 3 shows the impacts of the production cost of green manufacturing (), market competition intensity (), and the market greenness sensitivity of green manufacturing () on the profitability of OEMs and CMs. For OEMs, increases in the production cost of green manufacturing () and market competition intensity () reduce profitability, whereas higher market greenness sensitivity () enhances their profits. For CMs, the impacts of the production cost of green manufacturing () and the market greenness sensitivity of green manufacturing () on profitability are similar to those for OEMs. However, the impact of market competition intensity () on CMs’ profitability is non-monotonic: When the production cost of green manufacturing is low, or when both the production cost of green manufacturing and competition intensity are sufficiently high, an increase in market competition intensity () reduces CMs’ profitability; otherwise, higher market competition intensity () increases CMs’ profitability. This finding suggests that, given the non-monotonic effects, a win-win outcome for supply chain members is more likely to occur only when the intensity of market competition is relatively low.
Corollary 2.
As market competition intensity () increases, the profit share of OEMs (CMs) in the supply chain rises (falls) in the absence of a government subsidy, but decreases (increases) when a government subsidy is provided.
Corollary 2 shows the impacts of market competition intensity () on the profit shares of OEMs and CMs in the supply chains, as shown in Figure 5. When the government does not provide a green subsidy (Figure 5a), an increase in market competition intensity allows OEMs to capture a larger share of profits relative to CMs. This occurs because higher competition intensity negatively affects CMs in two ways: it reduces the outsourcing quantity of OEMs’ products and lowers the wholesale price. By contrast, when the government provides a green subsidy (Figure 5b), an increase in market competition intensity results in OEMs capturing a smaller share of profits compared to CMs. In this case, higher competition intensity can raise the wholesale price, benefiting CMs while harming OEMs. Consequently, CMs may obtain a larger share of the supply chain profits relative to OEMs. This finding indicates that, relative to OEMs, contract manufacturers (CMs) derive greater benefits from government green subsidies when market competition intensifies. Under such circumstances, CMs are able to capture additional profits arising from the government subsidy.
Figure 5.
The impact of on the profit share of the OEMs in the supply chains. (a) Without the government’s green subsidy; (b) With the government’s green subsidy. Note that in panels (a,b), the vertical axis represents the OEMs’ profit share in the supply chain, while the horizontal axis denotes the degree of product substitutability.
5.5. The Impact of , , and on Consumers, Supply Chain, and the Government
Proposition 7.
When the government intends to induce all OEMs to adopt green manufacturing by subsidy, we have: (1) and for and otherwise; (2) and ; (3) and .
Proposition 7 shows the impacts of the production costs of green manufacturing (), market competition intensity (), and the market greenness sensitivity of green manufacturing () on consumers, the supply chain, and the government. Overall, increases in the production costs of green manufacturing () negatively affect consumer surplus, total supply chain profits, and government performance, whereas increases in the market greenness sensitivity of green manufacturing () positively affect them.
The impact of market competition intensity () is more nuanced. For the supply chain, higher market competition intensity () significantly reduces OEMs’ profits; although CMs’ profits may increase in some cases, this gain is insufficient to offset the OEMs’ losses, leading to a net decline in total supply chain profits. Regarding consumer surplus, when the production costs of green manufacturing () is relatively low, higher market competition intensity () benefits consumers, whereas when the production costs of green manufacturing () is sufficiently high, it harms consumers. This results from two opposing effects of increased competition intensity: a reduction in sales quantity, which negatively impacts consumers, and a potential increase in the green subsidy, which benefits consumers. When the subsidy effect dominates, consumers may gain from higher competition intensity. Nevertheless, this positive effect on consumer surplus is outweighed by the negative impact on the supply chain, resulting in an overall decline in government performance as market competition intensity () increases. This result highlights the possibility of an all-win outcome through potential collaboration among consumers, supply chain members, and the government, aimed at enhancing the market’s sensitivity to green manufacturing.
6. Numerical Study
In this section, to examine the impact of the production costs of green manufacturing (), market competition intensity (), and the market greenness sensitivity of green manufacturing () on consumers, the supply chain, and the government, we conduct numerical studies, and the results are displayed in Figure 6a–i. Note that the parameters are set as follows. For the cases of (a), (d), and (g), and ; For the cases of (b), (e), and (h), and ; For the cases of (c), (f), and (i), and .
Figure 6.
The impact of , , and on the total profits of supply chains, consumer surplus, and net welfare gains of the government. (a) The impact of on the total profits of supply chains; (b) The impact of on the total profits of supply chains; (c) The impact of on the total profits of supply chains; (d) The impact of on consumer surplus; (e) The impact of on consumer surplus; (f) The impact of on consumer surplus; (g) The impact of on the net welfare gains of the government; (h) The impact of on the net welfare gains of the government; (i) The impact of on the net welfare gains of the government. Note that the dotted and solid lines in each subfigure respectively indicate the threshold and the equilibrium outcome for each case.
As shown in Figure 6a–c, the impacts of the production cost of green manufacturing (), market competition intensity (), and the market greenness sensitivity of green manufacturing () on the total profits of supply chain are mixed.
First, it is intuitive that the production cost of green manufacturing negatively and the market greenness sensitivity of green manufacturing positively affect the total profits of supply chain. However, in Figure 6a,b, if the production cost of green manufacturing exceeds a certain threshold, its impact on the total profits of supply chain disappears. Similarly, if the market greenness sensitivity of green manufacturing is below some threshold, its impact on the total profits of supply chain disappears too. This is because these thresholds determine the level of government subsidy. In both scenarios, the government has to provide a higher subsidy to induce all OEMs to adopt green manufacturing. For the total profits of supply chain, the increase in government subsidy offsets the decreases stemming from increasing production cost of green manufacturing or decreasing market greenness sensitivity of green manufacturing. As a result, the impacts of the production cost of green manufacturing and the market greenness sensitivity of green manufacturing on the total profits of the supply chain are neutral in this case.
Similarly, the impacts of the production cost of green manufacturing () and the market greenness sensitivity of green manufacturing () on consumer surplus are similar to their influences on the total profits of supply chain, as shown in Figure 6d,e.
Second, since intensifying market competition intensity () will reduce the selling quantity, it is straightforward to understand that enhancing the market competition intensity may hurt the supply chain as well as consumers. However, interestingly, in Figure 6c,f, we also find that when the market competition intensity is too fierce, the impact of market competition intensity () on the supply chain is negative but positive on consumers. Consequently, its impact on the government would rely on the net effect of the two opposite effects. And it turns out the negative effect is dominate in this case, as shown in Figure 6i.
Finally, unlike the mixed impacts of the production cost of green manufacturing (), market competition intensity (), and the market greenness sensitivity of green manufacturing () on the total profits of the supply chain and consumer surplus, their impacts on the government are consistent: the impacts of the production cost of green manufacturing () and market competition intensity () are negative and the impact of the market greenness sensitivity of green manufacturing () is positive. Additionally, it is worth noting that although these impacts display consistent trends, their change rates are different. When all OEMs voluntarily adopt green manufacturing, the changes in the production cost of green manufacturing, market competition intensity, and the market greenness sensitivity of green manufacturing will result in more significant changes in the net welfare gains.
7. Discussions and Implications
In this section, we compare the main findings of this article with the related literature and further reveal their managerial implications.
7.1. Comparison with the Related Literature
First, our research reveals that although there are cases where it is unnecessary for the government to implement a green subsidy to allure manufacturers’ adoption of green manufacturing, the government is still a beneficiary if it launches a proper green subsidy. This is because a green subsidy would benefit consumers and supply chain members. Given that consumers and supply chain members are better off, the performance of the government will eventually be improved. This finding is in line with existing literature, such as Orji et al. [30], Zaefarian et al. [31], and Heydari et al. [28], where the government’s green subsidy can benefit the downstream participants.
Second, our research also demonstrates that when the government designs the optimal green subsidy, it must account for the impacts of the production cost of green manufacturing, market competition intensity, and the market’s sensitivity to green products. Extant literature mainly explores how to optimal subsidy strategies in aspects of green innovation cost and subsidy types [30]. Thus, our finding contributes to the research in this field by providing new factors that need to be considered when designing a green subsidy. Moreover, our finding also reveals the non-monotonic impacts of these new factors on the design of the government’s green subsidy. Similar result also arise in the research of Li et al. [30]. More specifically, the subsidy type in this paper is similar to the green product subsidy in Li et al. [30], except for the green product subsidy is paid for the firm in our model while it is paid for consumers in theirs. Furthermore, Li et al. [30] find that the optimal government green product subsidy depends on factors such as green innovation cost, production costs of green products, the environmental improvement effectiveness, and consumers’ switching cost. Hence, our result complements their research by incorporating the market competition intensity and the market’s sensitivity to green products when the government considering green product subsidy.
Third, our research shows that intensifying market competition may not lead to an all-win outcome for the related stakeholders while raising market sensitivity to green products does. This finding implies that a possible supply chain coordination mechanism is needed when the government intend to promote green manufacturing in practices. There is a body of literature on green supply chain management that focuses on green supply chain coordination. For example, both Wang et al. [2] and Ma et al. [39] reveal that pareto improvements for supply chain participants can be realized via contract design. Therefore, following the same spirit in this stream of literature, to promote sustainability in the industrial sector, one can design a proper contract to compensate the supply chain members when the competition is fierce in some industries.
7.2. Managerial Implications
For sustainable operations, this study has significant managerial implications. Our results show that under certain circumstances, the government’s green subsidy is a key factor in a fully green transition in manufacturing. Thus, this work builds a theoretical foundation to understand how to bring sustainable development into reality. In particular, we underscore the critical role of the government’s interventions and show how the green subsidy would affect the behaviors of original equipment manufacturers and both traditional and green contract manufacturers. For practicers, understanding this impact mechanism of green subsidy would further offer important management insights.
For policymakers who are aware of industrial production costs, when the production costs of green manufacturing are relatively low, the green subsidy should be reduced as the market competition intensity increases. This is because in this case, the market conditions alone would allow manufacturers adopting green manufacturing, and thus, the role of the green subsidy is not for attracting manufacturers to adopt green manufacturing, but just for improve the consumer surplus and total profits of supply chain. However, when the production costs of green manufacturing are relatively high, the green subsidy should be magnified as the market competition intensity increases. Under this situation, the green subsidy not only being used to improve the consumer surplus and total profits of supply chain, but also being used as an instrument to induce manufacturers to adopt green manufacturing.
For manufacturers whose customers are shifting toward a green trend, since the production cost of green manufacturing and government green subsidies are two crucial factors in determining the decisions of green manufacturing, they should carefully assess these factors and try to build first-mover advantages in advancing sustainable operations. Moreover, they should also be aware that an all-win outcome is possible for supply chain members. Thus, a collaboration in adopting green manufacturing is promising for upstream and downstream firms to maximize collective gains from green manufacturing.
8. Concluding Remark
In response to the pressing environmental challenges caused by resource depletion, greenhouse gas emissions, and ecological degradation, governments worldwide have increasingly adopted subsidy policies to incentivize original equipment manufacturers (OEMs) to transit toward green manufacturing. While existing studies have primarily examined the impacts of such subsidies on manufacturers, their downstream firms, and consumers, limited attention has been given to the effects on manufacturers’ interactions with upstream contract manufacturers (CMs). To bridge this gap, this paper develops a game-theoretical model to characterize how government green subsidies influence manufacturers’ adoption of green manufacturing and the resulting equilibrium outcomes.
8.1. Main Conclusions
The main conclusions are as follows:
First, the production cost of green manufacturing, the intensity of market competition, and the market’s sensitivity to green products are three pivotal factors determining the effectiveness of government subsidies in promoting green manufacturing adoption. Specifically, when the production cost of green manufacturing is sufficiently low or when competition intensity or market sensitivity exceeds a certain threshold, government subsidies no longer affect adoption decisions, as manufacturers voluntarily choose green production. Otherwise, a minimum subsidy threshold is required for manufacturers to adopt green manufacturing. Importantly, this threshold rises with the higher production cost of green manufacturing and greater market competition intensity but declines with stronger market sensitivity to green products.
Second, the impacts of the production cost of green manufacturing, the intensity of market competition, and the market’s sensitivity to green products on the optimal government subsidy are non-monotonic. Specifically, each of these factors exhibits a critical threshold. When the production cost of green manufacturing, the intensity of market competition, or the market’s sensitivity to green products falls below its respective threshold, the optimal subsidy decreases with it; conversely, when it exceeds the threshold, the optimal subsidy increases with it.
Third, increasing market sensitivity to green products tends to benefit all stakeholders, whereas not all stakeholders benefit from intensifying market competition. In particular, stronger competition typically harms OEMs and reduces overall supply chain profits; however, its impact on CMs and consumers depends on the production cost of green manufacturing and may benefit them under certain conditions. By contrast, greater market sensitivity to green products yields an all-win outcome, simultaneously benefiting consumers, OEMs, and CMs and thereby indicating the potential for collaborative dynamics among these stakeholders.
8.2. Limitations and Future Research
Finally, this study is subject to several limitations that call for future research: First, our model implicitly assumes homogeneous consumers, whereas real-world markets often exhibit heterogeneity in preferences, costs, and competitive behaviors. Extending the framework to incorporate such heterogeneity would provide more comprehensive insights. In addition, as our results are derived under the assumptions of a linear demand function and a convex cost structure, their robustness needs to be further examined by considering alternative specifications of demand and cost functions in future research. Second, for tractability, the analysis relies on a symmetric supply chain structure. Thus, developing an asymmetric model setup would more accurately capture real-world supply chain dynamics. Third, from the perspective of supply chain coordination, future research could also investigate mechanisms to align the interests of supply chain participants under government green subsidy policies.
Author Contributions
Conceptualization, W.C., F.Y. and Y.Q.; methodology, F.Y.; software, Y.Q. and W.C.; validation, W.C., Y.Q. and F.Y.; formal analysis, W.C.; investigation, W.C.; resources, W.C. and F.Y.; writing—original draft preparation, W.C.; writing—review and editing, F.Y. and W.C.; visualization, Y.Q. and W.C.; supervision, F.Y.; funding acquisition, F.Y. All authors have read and agreed to the published version of the manuscript.
Funding
This research was supported by the Research Fund of the Chengdu University of Information Technology, grant number KYTZ202240.
Institutional Review Board Statement
Not applicable.
Informed Consent Statement
Not applicable.
Data Availability Statement
Data is contained within the article.
Acknowledgments
The financial support mentioned in the Funding part is gratefully acknowledged.
Conflicts of Interest
The authors declare no conflicts of interest.
Appendix A
Table A1.
List of notations.
Table A1.
List of notations.
| Symbol | Description |
|---|---|
| The selling price for the product . | |
| The outsourcing quantity for the product . | |
| The CMj’s production cost, where . | |
| The market greenness sensitivity of green manufacturing. | |
| The degree of product substitutability between the two supply chains. | |
| The subsidy proportion for OEMs. | |
| The per-unit subsidy for products produced through green processes. | |
| The cost coefficient associated with subsidy provision. | |
| CMj’s unit manufacturing fee, where | |
| The net welfare gains to the government. | |
| The profit of OEMi. | |
| The profit of CMi. | |
| The profit of supply chain . | |
| Consumer surplus. | |
| Social welfare. |
Proof of Proposition 1.
- (1)
- When , we have
- (2)
- where .
Given and , or and , i.e., R1, we have and ; Otherwise, i.e., R2, we have and .
Therefore, if OEM1 (OEM2) chooses not to adopt green manufacturing, since ) always holds, OEM2 (OEM1) will always chooses to adopt green manufacturing. On contrary, if OEM1 (OEM2) chooses to adopt green manufacturing, when R1, we know that OEM2 (OEM1) will choose to adopt green manufacturing due to . In this case, OEM1(OEM2) will not deviate its choice of green manufacturing because of . This gives rise to the equilibrium (Y,Y). However, when R2, we know that OEM2 (OEM1) will choose not to adopt green manufacturing. In this case, OEM1(OEM2) will not deviate its choice of green manufacturing because of . This gives rise to the equilibrium (Y,N)((N,Y)). □
Proof of Proposition 2.
Note that when , is concave in . By first-order condition, we can obtain the stationary point is . Two subcases are examined: (1) When , the optimization problem reduces to . It is straightforward to show that the optimal subsidy is . (2) When , the optimization problem reduces to . In this case, since , holds, we know the optimal subsidy is . Combining the above analytical results, we have Proposition 2. □
Proof of Corollary 1.
. □
Proof of Proposition 3.
Given if , we have and ; If , we have and . □
Proof of Proposition 4.
Given that if , we have: and if ; If , we have: and if . □
Proof of Proposition 5.
Given that and if , we have: and ; If , we have: and . □
Proof of Proposition 6.
Given that if , we have: and ; If , we have: and if . □
Proof of Corollary 2.
and . □
Proof of Proposition 7.
Given that if , we have: and ; If , we have: and .
Given that if , we have: and ; If , we have: and .
Given that if , we have: and ; If , we have: and , where for and . □
References
- Liang, Y.; Zhang, Q. ESG Equity or Green Credit: Financing Strategies for Green Transformation in the Supply Chain under Consumption Subsidies. Int. J. Prod. Econ. 2025, 280, 109491. [Google Scholar] [CrossRef]
- Wang, S.; Choi, S.H.; Xiao, J.; Huang, G.Q. Low-Carbon Supply Chain Coordination through Dual Contracts Considering Pareto-Efficiency. Int. J. Prod. Res. 2024, 62, 6627–6648. [Google Scholar] [CrossRef]
- Wu, H.; Weng, J.; Li, G.; Zheng, H. Green Subsidy Strategies and Fairness Concern in a Capital-Constrained Supply Chain. Transp. Res. Part E Logist. Transp. Rev. 2024, 192, 103693. [Google Scholar] [CrossRef]
- Murali, K.; Lim, M.K.; Petruzzi, N.C. The Effects of Ecolabels and Environmental Regulation on Green Product Development. Manuf. Serv. Oper. Manag. 2019, 21, 519–535. [Google Scholar] [CrossRef]
- D’Angelo, V.; Cappa, F.; Peruffo, E. Green Manufacturing for Sustainable Development: The Positive Effects of Green Activities, Green Investments, and Non-green Products on Economic Performance. Bus. Strategy Environ. 2023, 32, 1900–1913. [Google Scholar] [CrossRef]
- Green Technology and Sustainability Market Size. Available online: https://www.fortunebusinessinsights.com/green-technology-and-sustainability-market-102221 (accessed on 8 October 2020).
- Shang, W.; Han, Z.; Wei, W.; Li, T. Competition and Cooperation between Green and Non-Green Supply Chains under Government’s Subsidy and Carbon Tax to Consumers. Comput. Ind. Eng. 2025, 203, 110957. [Google Scholar] [CrossRef]
- Colman, Z. Big Steelmaker Weighs Abandoning $500M Biden Climate Grant. Available online: https://www.politico.com/news/2024/09/13/steelmaker-biden-climate-grant-00179145?utm_source=chatgpt.com (accessed on 8 October 2020).
- Zhang, X.; Yousaf, H.M.A. Green Supply Chain Coordination Considering Government Intervention, Green Investment, and Customer Green Preferences in the Petroleum Industry. J. Clean. Prod. 2020, 246, 118984. [Google Scholar] [CrossRef]
- Lou, G.; Guo, Y.; Yin, L.; Lai, Z. Impact of Financial Policies with Carbon Emission Limits on Capital-Constrained Manufacturers: Interest Discount Loan versus Credit Guarantee Loan. Transp. Res. Part E Logist. Transp. Rev. 2025, 203, 104362. [Google Scholar] [CrossRef]
- Shi, L.; Pang, T.; Peng, H.; Feng, X. Green technology outsourcing for agricultural supply chains with government subsidies. J. Clean. Prod. 2024, 436, 140674. [Google Scholar] [CrossRef]
- Guo, Y.; Bai, C.; Sun, M. Effects of green supplier integration and development in competing supply chains. Nav. Res. Logist. (NRL) 2024, 71, 676–692. [Google Scholar] [CrossRef]
- Rusinko, C. Green Manufacturing: An Evaluation of Environmentally Sustainable Manufacturing Practices and Their Impact on Competitive Outcomes. IEEE Trans. Eng. Manag. 2007, 54, 445–454. [Google Scholar] [CrossRef]
- Singh, A.; Philip, D.; Ramkumar, J.; Das, M. A Simulation Based Approach to Realize Green Factory from Unit Green Manufacturing Processes. J. Clean. Prod. 2018, 182, 67–81. [Google Scholar] [CrossRef]
- He, W.; Liu, C.; Lu, J.; Cao, J. Impacts of ISO 14001 Adoption on Firm Performance: Evidence from China. China Econ. Rev. 2015, 32, 43–56. [Google Scholar] [CrossRef]
- Mao, Y.; Wang, J. Is Green Manufacturing Expensive? Empirical Evidence from China. Int. J. Prod. Res. 2019, 57, 7235–7247. [Google Scholar] [CrossRef]
- Niewiadomski, P.; Stachowiak, A. Identification of Barriers to Sustainable Manufacturing Implementation—The Perspective of Manufacturers of Parts and Components for Agricultural Transport. Sustainability 2024, 16, 2244. [Google Scholar] [CrossRef]
- Lin, J.; Cao, X.; Dong, X.; An, Y. Environmental Regulations, Supply Chain Relationships, and Green Technological Innovation. J. Corp. Financ. 2024, 88, 102645. [Google Scholar] [CrossRef]
- Nunes, M.; Park, C. Self-Claimed Sustainability: Building Social and Environmental Reputations with Words. Sustain. Prod. Consum. 2017, 11, 46–57. [Google Scholar] [CrossRef]
- Afum, E.; Agyabeng-Mensah, Y.; Sun, Z.; Frimpong, B.; Kusi, L.Y.; Acquah, I.S.K. Exploring the Link between Green Manufacturing, Operational Competitiveness, Firm Reputation and Sustainable Performance Dimensions: A Mediated Approach. J. Manuf. Technol. Manag. 2020, 31, 1417–1438. [Google Scholar] [CrossRef]
- Liu, Y.; Wang, Q.; Huang, B.; Zhang, X.; Wang, X.; Long, Y. Status and Challenges of Green Manufacturing: Comparative Analysis of China and Other Countries. Resour. Conserv. Recycl. 2023, 197, 107051. [Google Scholar] [CrossRef]
- Karuppiah, K.; Sankaranarayanan, B.; Ali, S.; Chowdhury, P.; Paul, S. An Integrated Approach to Modeling the Barriers in Implementing Green Manufacturing Practices in SMEs. J. Clean. Prod. 2020, 265, 121737. [Google Scholar] [CrossRef]
- Xu, Y.; Tian, Y.; Pang, C.; Tang, H. Manufacturer vs. Retailer: A Comparative Analysis of Different Government Subsidy Strategies in a Dual-Channel Supply Chain Considering Green Quality and Channel Preferences. Mathematics 2024, 12, 1433. [Google Scholar] [CrossRef]
- Zhong, Y.; Lai, I.; Guo, F.; Tang, H. Research on Government Subsidy Strategies for the Development of Agricultural Products E-Commerce. Agriculture 2021, 11, 1152. [Google Scholar] [CrossRef]
- Bian, J.; Zhang, G.; Zhou, G. Manufacturer vs. Consumer Subsidy with Green Technology Investment and Environmental Concern. Eur. J. Oper. Res. 2020, 287, 832–843. [Google Scholar] [CrossRef]
- Orji, I.; Wei, S. A Detailed Calculation Model for Costing of Green Manufacturing. Ind. Manag. Data Syst. 2016, 116, 65–86. [Google Scholar] [CrossRef]
- Zaefarian, T.; Fander, A.; Yaghoubi, S. A Dynamic Game Approach to Demand Disruptions of Green Supply Chain with Government Intervention (Case Study: Automotive Supply Chain). Ann. Oper. Res. 2024, 336, 1965–2008. [Google Scholar] [CrossRef]
- Heydari, J.; Bineshpour, P.; Walther, G.; Ülkü, M.A. Reconciling Conflict of Interests in a Green Retailing Channel with Green Sales Effort. J. Retail. Consum. Serv. 2022, 64, 102752. [Google Scholar] [CrossRef]
- Xu, M.; Zheng, Y.; Shi, X.; Shen, H. Demand Information Sharing in a Green Supply Chain Under Upstream Competition. Nav. Res. Logist. (NRL), 2025; in press. [Google Scholar] [CrossRef]
- Li, Y.; Tong, Y.; Ye, F.; Song, J. The Choice of the Government Green Subsidy Scheme: Innovation Subsidy vs. Product Subsidy. Int. J. Prod. Res. 2020, 58, 4932–4946. [Google Scholar] [CrossRef]
- Zhang, L.; Xue, B.; Li, K.W. Assessing Subsidy Policies for Green Products: Operational and Environmental Perspectives. Int. Trans. Oper. Res. 2022, 29, 3081–3106. [Google Scholar] [CrossRef]
- Zhang, P.; Jin, L.; Wang, Y. Optimizing Mechanisms for Promoting Low-Carbon Manufacturing Industries towards Carbon Neutrality. Renew. Sustain. Energy Rev. 2023, 183, 113516. [Google Scholar] [CrossRef]
- Kumar, M.; Raut, R.D.; Mangla, S.; Chowdhury, S.; Choubey, V. Moderating ESG Compliance between Industry 4.0 and Green Practices with Green Servitization: Examining Its Impact on Green Supply Chain Performance. Technovation 2024, 129, 102898. [Google Scholar] [CrossRef]
- Alkaraan, F.; Elmarzouky, M.; Jabbour, A.; Jabbour, C.; Gulko, N. Maximising Sustainable Performance: Integrating Servitisation Innovation into Green Sustainable Supply Chain Management under the Influence of Governance and Industry 4.0. J. Bus. Res. 2025, 186, 115029. [Google Scholar] [CrossRef]
- Li, J.; Wang, H.; Shi, V.; Sun, Q. Manufacturer’s Choice of Online Selling Format in a Dual-Channel Supply Chain with Green Products. Eur. J. Oper. Res. 2024, 318, 131–142. [Google Scholar] [CrossRef]
- Wang, S.; Liu, L.; Wen, J.; Wang, G. Product Pricing and Green Decision-Making Considering Consumers’ Multiple Preferences under Chain-to-Chain Competition. Kybernetes 2024, 53, 152–187. [Google Scholar] [CrossRef]
- Hsieh, C.-C.; Lathifah, A. Exploring the Spillover Effect and Supply Chain Coordination in Dual-Channel Green Supply Chains with Blockchain-Based Sales Platform. Comput. Ind. Eng. 2024, 187, 109801. [Google Scholar] [CrossRef]
- Xia, Y.; Shang, R.; Wei, M.; Wei, Z. Optimal pricing and financing decision of dual-channel green supply chain considering product differentiation and blockchain. Ann. Oper. Res. 2024, 338, 1317–1358. [Google Scholar] [CrossRef]
- Ma, X.; Mao, J.; Luo, Q.; Bai, Q. Effects of Information Superiority and Green Optimism on Green Supply Chains under Different Power Structures. Int. J. Prod. Econ. 2024, 268, 109105. [Google Scholar] [CrossRef]
- Liao, C.; Lu, Q.; Ghamat, S.; Cai, H. Blockchain adoption and coordination strategies for green supply chains considering consumer privacy concern. Eur. J. Oper. Res. 2025, 323, 525–539. [Google Scholar] [CrossRef]
- Esmaeeli, Z.; Mollaverdi, N.; Safarzadeh, S. A game theoretic approach for green supply chain management in a big data environment considering cost-sharing models. Expert Syst. Appl. 2024, 257, 124989. [Google Scholar] [CrossRef]
- Cai, J.; Sun, H.; Shang, J.; Hegde, G.G. Information Structure Selection in a Green Supply Chain: Impacts of Wholesale Price and Greenness Level. Eur. J. Oper. Res. 2023, 306, 34–46. [Google Scholar] [CrossRef]
- Shi, J.; Liu, D.; Du, Q.; Cheng, T.C.E. The Role of the Procurement Commitment Contract in a Low-Carbon Supply Chain with a Capital-Constrained Supplier. Int. J. Prod. Econ. 2023, 255, 108681. [Google Scholar] [CrossRef]
- Singh, N.; Vives, X. Price and Quantity Competition in a Differentiated Duopoly. Rand J. Econ. 1984, 15, 546. [Google Scholar] [CrossRef]
- Wu, L.; Wu, X.; Yi, S. Tariff Hedging with a New Supplier? An Analysis of Sourcing Strategies Under Competition. Prod. Oper. Manag. 2024, 33, 903–921. [Google Scholar] [CrossRef]
- Przychodzen, W.; Leyva-de la Hiz, D.I.; Przychodzen, J. First-mover Advantages in Green Innovation—Opportunities and Threats for Financial Performance: A Longitudinal Analysis. Corp. Soc. Responsib. Environ. Manag. 2020, 27, 339–357. [Google Scholar] [CrossRef]
Disclaimer/Publisher’s Note: The statements, opinions and data contained in all publications are solely those of the individual author(s) and contributor(s) and not of MDPI and/or the editor(s). MDPI and/or the editor(s) disclaim responsibility for any injury to people or property resulting from any ideas, methods, instructions or products referred to in the content. |
© 2025 by the authors. Licensee MDPI, Basel, Switzerland. This article is an open access article distributed under the terms and conditions of the Creative Commons Attribution (CC BY) license (https://creativecommons.org/licenses/by/4.0/).