Subsidy Ceilings and Sequential Synergy: Steering Sustainable Outcomes Through Dynamic Thresholds in China’s Urban Renewal Tripartite Game
Abstract
1. Introduction
- Above what critical levels do financial subsidies lead to a deterioration of cooperation? Do these critical levels show different stability for different types of subjects (e.g., developers vs. residents)?
- What quantitative thresholds cause a shift from conflict to collaboration in multi-party relationships?
2. Literature Review
3. Research Methodology
3.1. Problem Statement
3.2. Model Assumptions and Construction of Payment Matrix
4. Model Construction and Analysis
4.1. Participant Stability Analysis
4.1.1. Government Stability Analysis
4.1.2. Stability Analysis of Community Residents
4.1.3. Developer Stability Analysis
4.2. Analysis of System Evolutionary Stability Points
5. System Dynamics Simulation
5.1. Background
5.2. Initial Parameters and Data Sources
5.3. Sensitivity Analysis of Key Parameters
5.3.1. Reward from Higher Government (W)
5.3.2. Government Subsidies to Developers (M1)
5.3.3. Government Subsidies to Residents (M2)
5.3.4. Residents’ Revenue (R2)
5.3.5. Developer’s Revenue (R3)
5.3.6. Government’s Revenue (R4)
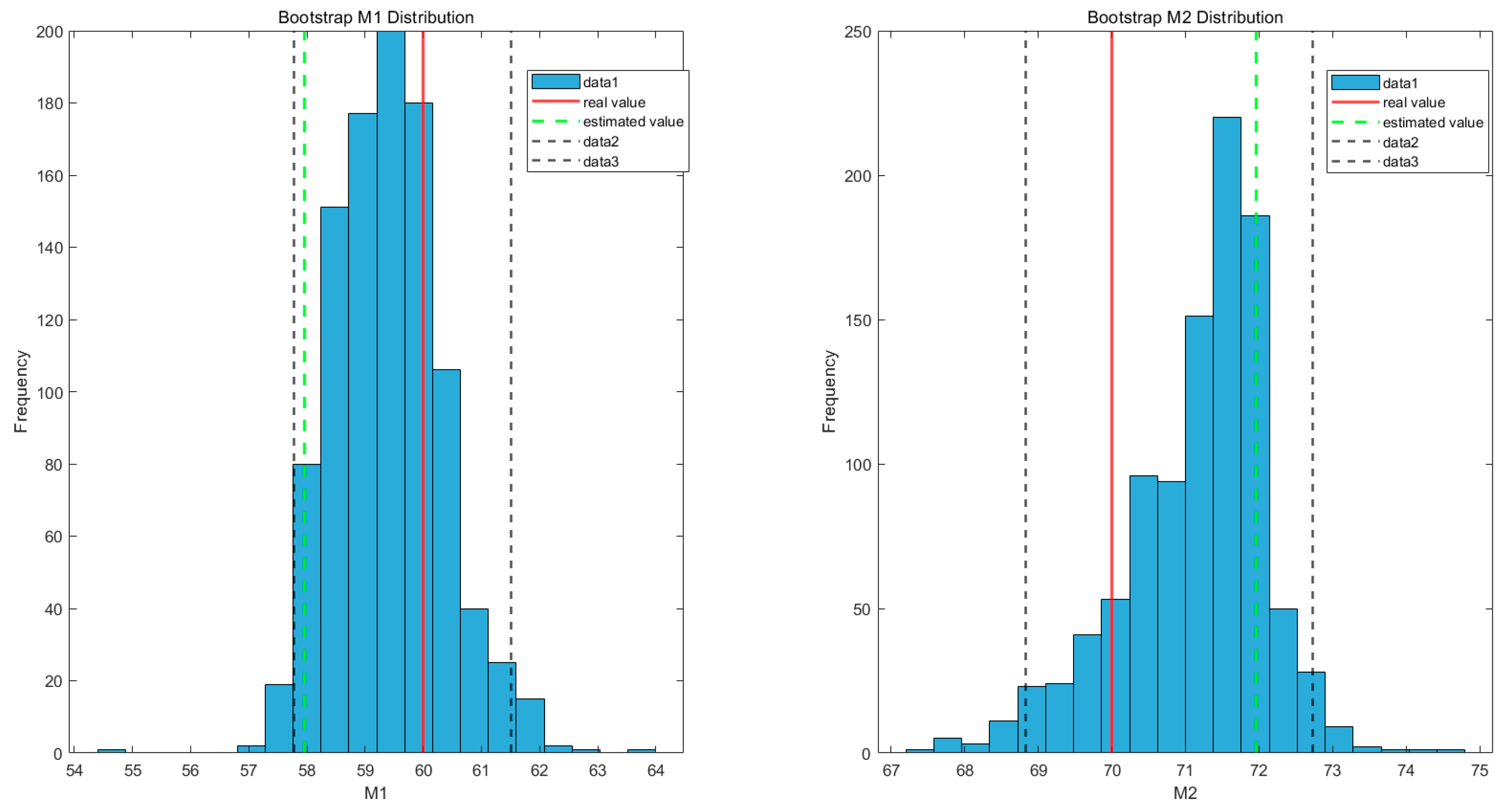
5.4. Robustness Test of Critical Thresholds
- Developer Subsidy Threshold (M1): The critical value for M1 demonstrated high robustness. Its estimates remained tightly clustered within a narrow range of [575 k RMB, 625 k RMB] around the baseline value of 600 k RMB. This indicates that the fiscal limit for developer subsidies is a stable and reliable feature of the model, relatively insensitive to uncertainties in other inputs.
- Resident Subsidy Threshold (M2): In contrast, the critical value for M2 exhibited low robustness and high sensitivity. Under parameter perturbation, its estimates varied widely across a range of approximately [550 k RMB, 850 k RMB]. This suggests that the precise monetary incentive required to secure resident participation is not a fixed point but is highly contingent on the specific configuration of socio-economic factors and individual perceptions captured by other model parameters.
6. Discussion
6.1. Dynamic Evolution of Policy Intervention and Collaborative Governance for Long-Term Sustainability
6.2. Balancing Nonlinear Policy Effects and Fiscal Sustainability in Community Renewal
6.3. Stage-Sensitive Policy Adjustment for Long-Term Sustainability
- For Chinese cities: Implement phase-sensitive interventions (e.g., FAR incentives during the factor-integration stage) to avoid fiscal overload. Chinese policymakers should shift toward stage-adjusted strategies: In the resource-oriented phase, the government should lead the trust framework (e.g., transparent cost–benefit demonstration platforms) rather than relying solely on large-scale subsidies. In the factor integration phase, the focus should shift to market-driven mechanisms, such as incentives for increased volume (R3), without exhausting fiscal resources. In the shared governance phase, participatory budgeting becomes viable—introducing resident involvement earlier increases transaction costs (C3↑) and destabilizes initial collaboration. This systematic advancement counters China’s one-size-fits-all participatory empowerment, criticized by Haoyu & Tao [10].
- For Global South contexts (e.g., Lagos, Jakarta, Indonesia), embed subsidy caps (e.g., M1 ≤ 0.1% × local GDP per capita) into renewal statutes. In Jakarta’s Kampung Improvement Program, studies suggest that subsidy thresholds aligned with fiscal capacity may help reduce fiscal pressure while maintaining relatively high levels of resident participation [31,55,56,57]. It should be stressed that available data on cost per dwelling, GHG reduction, and resident satisfaction remain fragmented and inconsistent, so these cases are presented here as qualitative illustrations, not as strict quantitative validations. Globally, this study offers principles to address socio-institutional tensions:
- Fiscal policy should supersede short-term political demands: Adjust subsidies to local capacity (e.g., M1 ≤ 25% of project costs).
- Active participation requires demonstrated outcomes: “Show then participate” outperforms “pay then pray”.
- Stage-by-stage analysis informs intervention timing: Track developer participation rates as key indicators for phase transition readiness.
6.4. Limitations and Future Research
7. Conclusions
Supplementary Materials
Author Contributions
Funding
Data Availability Statement
Acknowledgments
Conflicts of Interest
Abbreviations
| EGT | Evolutionary Game Theory |
| SD | System Dynamic |
| GHG | Greenhouse gases |
| C1 | Project construction funds are borne by the government when it incentivizes developers to participate in regeneration. |
| C2 | Project construction funds are borne by the government when it does not incentivize developers to participate in regeneration. |
| W | Government incentives for developers and residents to receive incentives from higher-level authorities |
| M1 | Government economic subsidies and tax incentives for developers to participate in regeneration |
| M2 | Government subsidies for residents to participate in regeneration |
| S2 | When governments are not incentivized, residents are negatively engaged, developers are uncooperative, and governments are penalized for losses. |
| R4 | The social benefits of government incentives for community renewal include three parts of sustainability: environmental, social, and economic. |
| C3 | Community residents are actively involved in the cost of community renewal. |
| R1 | Social benefits of normal life for community residents before community regeneration |
| R2 | Neighborhood residents receive additional benefits for their active participation in community regeneration. |
| S1 | Community residents who participate negatively in community regeneration and are dissatisfied with the results of the regeneration and transformation will bear certain losses. |
| C4 | Developer Participation in Community Renewal Project Construction Funding. |
| R3 | Economic benefits to developers of participating in community regeneration. |
| R5 | Normal social benefits when developers do not cooperate. |
| x | The probability that the government chooses an incentive strategy. |
| y | Probability of community residents choosing to actively participate. |
| z | The probability that a developer will choose to cooperate. |
Appendix A
| Parameter | Original Estimated Value | Original Unit | Scaling Factor | Simulation Value |
|---|---|---|---|---|
| C1 | 200,000 | RMB | 100,000 | 20 |
| C2 | 400,000 | RMB | 100,000 | 45 |
| C3 | 100,000 | RMB | 100,000 | 10 |
| C4 | 300,000 | RMB | 100,000 | 30 |
| M1 | 150,000 | RMB | 100,000 | 15 |
| M2 | 100,000 | RMB | 100,000 | 10 |
| W | 300,000 | RMB | 100,000 | 30 |
| R1 | 100,000 | RMB | 100,000 | 10 |
| R2 | 150,000 | RMB | 100,000 | 15 |
| R3 | 450,000 | RMB | 100,000 | 45 |
| R4 | 500,000 | RMB | 100,000 | 50 |
| R5 | 150,000 | RMB | 100,000 | 15 |
| S1 | 300,000 | RMB | 100,000 | 30 |
| S2 | 200,000 | RMB | 100,000 | 20 |

References
- United Nations. Goal 11: Make Cities and Human Settlements Inclusive, Safe, Resilient and Sustainable. Available online: https://sdgs.un.org/goals/goal11 (accessed on 30 July 2023).
- United Nations. Goal 13: Take Urgent Action to Combat Climate Change and Its Impacts. Sustainable Development Goals. Available online: https://www.un.org/sustainabledevelopment/climate-change/ (accessed on 30 July 2025).
- Hassen, N.; Kaufman, P. Examining the role of urban street design in enhancing community engagement: A literature review. Health Place 2016, 41, 119–132. [Google Scholar] [CrossRef]
- Wang, D.; Li, S. Social conflicts and their resolution paths in the commercialized renewal of old urban communities in China under the perspective of public value. J. Urban Manag. 2025, 14, 402–417. [Google Scholar] [CrossRef]
- Zheng, X.; Sun, C.; Liu, J. Exploring stakeholder engagement in urban village renovation projects through a mixed-method approach to social network analysis: A case study of Tianjin. Humanit. Soc. Sci. Commun. 2024, 11, 27. [Google Scholar] [CrossRef]
- Wang, H.; Zhao, Y.; Gao, X.; Gao, B. Collaborative decision-making for urban regeneration: A literature review and bibliometric analysis. Land Use Policy 2021, 107, 105479. [Google Scholar] [CrossRef]
- Zhong, J.; Li, B.; Shen, G.; Zhou, L. Ally, deterrence, or leverage in the tripartite game? The effects of indirect stakeholders in historic urban regeneration. Cities 2024, 149, 104931. [Google Scholar] [CrossRef]
- Wang, Y.; Xiang, P. Investigate the Conduction Path of Stakeholder Conflict of Urban Regeneration Sustainability in China: The Application of Social-Based Solutions. Sustainability 2019, 11, 5271. [Google Scholar] [CrossRef]
- Ibarloza, A.; Malles, E.; Ibarloza, E.; Heras-Saizarbitoria, I. The needs and effects of housing renewal policies in Spain: Implications for sustainability and accessibility. Sustain. Cities Soc. 2018, 40, 244–253. [Google Scholar] [CrossRef]
- Haoyu, F.; Tao, Y. Study on the Path and Strategy of Upgrading Renovation of Old Community Based on the Residents’ Needs: A Case of Youdian Xincun Community, Wuhan. In Proceedings of the 2023 5th International Conference on Civil Architecture and Urban Engineering (ICCAUE 2023), Xiamen, China, 17–19 November 2023. [Google Scholar]
- Li, Y.; Zhang, S.; Zhu, D. Co-creation of community micro-renewals: Model analysis and case studies in Shanghai, China. Habitat Int. 2023, 142, 102951. [Google Scholar] [CrossRef]
- Ghisellini, P.; Cialani, C.; Ulgiati, S. A review on circular economy: The expected transition to a balanced interplay of environmental and economic systems. J. Clean. Prod. 2016, 114, 11–32. [Google Scholar] [CrossRef]
- Wang, H.; Xu, Y. Achieving Neighborhood-Level Collaborative Governance through Participatory Regeneration: Cases of Three Residential Heritage Neighborhoods in Shanghai. Sustainability 2024, 16, 2082. [Google Scholar] [CrossRef]
- Knittel, R.E. The effect of urban renewal on community development. Am. J. Public Health Nations Health 1963, 53, 67–70. [Google Scholar] [CrossRef]
- Aiken, M.; Cairns, B.; Thake, S. Community Ownership and Management of Assets; Institute for Voluntary Action Research: London, UK, 2008. [Google Scholar]
- Xu, S.; Liu, B. Functional preference and spatial response of urban renewal entities in Beijing. Habitat Int. 2024, 153, 103191. [Google Scholar] [CrossRef]
- He, S.; Wu, F. China’s Emerging Neoliberal Urbanism: Perspectives from Urban Redevelopment. Antipode 2009, 41, 282–304. [Google Scholar] [CrossRef]
- Atkinson, R.; Tallon, A.; Williams, D. Governing urban regeneration in the UK: A case of ‘variegated neoliberalism’ in action? Eur. Plan. Stud. 2019, 27, 1083–1106. [Google Scholar] [CrossRef]
- Mirzaei, R. Building Trust and Enhancing Governance in Urban Management: Strategies for Sustainable Development and Improved Urban Quality. In Proceedings of the 4th International Congress on Civil Engineering Architecture Building Materials and Environment, Helsinki, Finland, 10 March 2025. [Google Scholar]
- Sun, G.; Li, M.; Dong, J.; Wan, S.; Feng, J. Evaluation of key factors for promoting green construction practices based on a hybrid decision-making framework: A case study on the renovation of old residential communities in China. Axioms 2023, 12, 971. [Google Scholar] [CrossRef]
- World Bank. Lagos Diagnostic Study and Pathway for Transformation; World Bank: Washington, DC, USA, 2023. [Google Scholar]
- Mulligan, B. Housing Rights in Jakarta: Collective Action and Policy Advocacy, Indonesia; World Habitat: Leicester, UK, 2023; Available online: https://world-habitat.org/wp-content/uploads/2024/01/Housing-Rights-in-Jakarta-Collective-Action-and-Policy-Advocacy-Indonesia.pdf (accessed on 17 September 2025).
- Miles, S. Stakeholder Theory Classification: A Theoretical and Empirical Evaluation of Definitions. J. Bus. Ethics 2017, 142, 437–459. [Google Scholar] [CrossRef]
- Freeman, R.E. Strategic Management: A Stakeholder Approach; Cambridge University Press: Cambridge, UK, 2010. [Google Scholar]
- Mitchell, R.K.; Agle, B.R.; Wood, D.J. Toward a Theory of Stakeholder Identification and Salience: Defining the Principle of Who and What Really Counts. Acad. Manag. Rev. 1997, 22, 853–886. [Google Scholar] [CrossRef]
- Zhang, R.; Nie, L.; Zhao, C.; Zhao, X. Eco-efficiency as a Catalyst for Citizen Co-production: Evidence from Chinese Cities. arXiv 2025, arXiv:2504.13290. [Google Scholar]
- Fan, C.; Li, X. Exploring effective incentive policies for sustainable development of green buildings in China: Based on evolutionary game theory and numerical simulation analysis. Eng. Constr. Archit. Manag. 2025, 32, 3326–3348. [Google Scholar] [CrossRef]
- Ofek, S.; Portnov, B.A. Differential effect of knowledge on stakeholders’ willingness to pay green building price premium: Implications for cleaner production. J. Clean. Prod. 2020, 251, 119575. [Google Scholar] [CrossRef]
- Lord, F.; Prior, J. How do governance visions, institutions and practices enable urban sustainability transformations? A study of Battambang and Sihanoukville, Cambodia. Front. Sustain. Cities 2024, 6, 1342524. [Google Scholar] [CrossRef]
- Jung, H.-J. Urban Planning Policy for Realizing Public Objectives Through Private Development in Seoul. Sustainability 2019, 11, 2698. [Google Scholar] [CrossRef]
- Lin, C.L.; Chan, E.H.W.; Chiang, W.-H. Urban renewal governance and manipulation of plot ratios: A comparison between Taipei, Hong Kong and, Singapore. Land Use Policy 2022, 119, 106158. [Google Scholar] [CrossRef]
- Gan, B.-L.; Zhang, D.-M.; Huang, Z.-K.; Zheng, F.-Y.; Zhu, R.; Zhang, W. Ontology-driven knowledge graph for decision-making in resilience enhancement of underground structures: Framework and application. Tunn. Undergr. Space Technol. 2025, 163, 106739. [Google Scholar] [CrossRef]
- Song, W.; Elahi, E.; Hou, G.; Wang, P. Collaborative governance for urban waste management: A case study using evolutionary game theory. Sustain. Cities Soc. 2025, 126, 106380. [Google Scholar] [CrossRef]
- Xu, B.; Maimaitituerxun, M. Research on the Promotion Strategy of Green Renovation in Old Residential Areas. J. Phys. Conf. Ser. 2025, 3005, 012028. [Google Scholar] [CrossRef]
- Wu, X.; Li, H. Gated Communities and Market-Dominated Governance in Urban China. J. Urban Plan. Dev. 2020, 146, 04020025. [Google Scholar] [CrossRef]
- Tipple, G. Settlement upgrading and home-based enterprises: Discussions from empirical data. Cities 2004, 21, 371–379. [Google Scholar] [CrossRef]
- Davidson, F. Planning for performance: Requirements for sustainable development. Habitat Int. 1996, 20, 445–462. [Google Scholar] [CrossRef]
- Li, F.; Lynam, A.; Huang, H.; Wei, J. Institutional co-production at neighbourhood scale: Cases of urban renewal for Shanghai’s ageing population. Habitat Int. 2024, 144, 103000. [Google Scholar] [CrossRef]
- Dezhi, L.; Qianli, X.; Guanying, H.; Bingzhen, D.; Haibo, F. How to share benefits of old community renewal project in China? An improved Shapley Value approach. Habitat Int. 2022, 126, 102611. [Google Scholar] [CrossRef]
- Xu, X.; Shi, F.; Zhu, J. Analyzing the critical factors influencing residents’ willingness to pay for old residential neighborhoods renewal: Insights from Nanjing, China. Environ. Dev. Sustain. 2025, 27, 13461–13487. [Google Scholar] [CrossRef]
- Devisscher, T.; Ordóñez-Barona, C.; Dobbs, C.; Dias Baptista, M.; Navarro, N.M.; Orozco Aguilar, L.A.; Cercas Perez, J.F.; Rojas Mancebo, Y.; Escobedo, F.J. Urban forest management and governance in Latin America and the Caribbean: A baseline study of stakeholder views. Urban For. Urban Green. 2022, 67, 127441. [Google Scholar] [CrossRef]
- Chen, W.Y. Public willingness-to-pay for conserving urban heritage trees in Guangzhou, south China. Urban For. Urban Green. 2015, 14, 796–805. [Google Scholar] [CrossRef]
- Cressman, R.; Tao, Y. The replicator equation and other game dynamics. Proc. Natl. Acad. Sci. USA 2014, 111, 10810–10817. [Google Scholar] [CrossRef]
- Hu, Y.; Chi, Y.; Zhou, W.; Li, J.; Wang, Z.; Yuan, Y. The interactions between renewable portfolio standards and carbon emission trading in China: An evolutionary game theory perspective. Energy 2023, 271, 127047. [Google Scholar] [CrossRef]
- Zhao, D.; Wang, J.; Li, Y.-K.; Tang, J.-H.; Zhang, S.-W. How to promote the transition of fuel vehicle enterprises under dual credit policy? An improved tripartite evolutionary game analysis with time delay. Energy 2024, 293, 130696. [Google Scholar] [CrossRef]
- Friedman, D. Evolutionary Games in Economics. Econometrica 1991, 59, 637–666. [Google Scholar] [CrossRef]
- Primc, K.; Kalar, B.; Slabe-Erker, R.; Dominko, M.; Ogorevc, M. Circular economy configuration indicators in organizational life cycle theory. Ecol. Indic. 2020, 116, 106532. [Google Scholar] [CrossRef]
- Zhang, X.; Du, L.; Song, X. Identification of Urban Renewal Potential Areas and Analysis of Influential Factors from the Perspective of Vitality Enhancement: A Case Study of Harbin City’s Core Area. Land 2024, 13, 1934. [Google Scholar] [CrossRef]
- Park, E.J.; Kang, E.; Shin, Y.-J. Urban Regeneration and Community Participation: A Critical Review of Project-Based Research; Open House International: London, UK, 2025. [Google Scholar]
- Jiayu, Z.; Xiaodong, Y.; Manman, X.; Dagang, L. Guidance experiments on residents’ participation in decision-making activities related to urban settlement regeneration in China. Humanit. Soc. Sci. Commun. 2024, 11, 873. [Google Scholar] [CrossRef]
- Zhao, T.; Zhu, J.; Jian, Z.; Zhou, X.; Zhang, P. Effects of the “Urban Double Repairs” Policy on Urban Land-Use Carbon Emission Efficiency. Sustainability 2024, 16, 10531. [Google Scholar] [CrossRef]
- Boonyabancha, S. Baan Mankong: Going to scale with “slum” and squatter upgrading in Thailand. Environ. Urban. 2005, 17, 21–46. [Google Scholar] [CrossRef] [PubMed]
- Devas, N. Indonesia’s Kampung Improvement Program: An evaluative case study. Ekistics 1981, 48, 19–36. [Google Scholar]
- Zhao, Y.; Zhang, L.; Li, S. Green game among government, enterprises, and the public: A study on the dynamics of enterprise green transformation from the perspective of Tripartite evolution. Sustain. Futures 2025, 10, 100894. [Google Scholar] [CrossRef]
- The World Bank. Urban Community Upgrading; The World Bank: Washington, DC, USA, 2002; Available online: https://documents1.worldbank.org/curated/en/385661467999127434/pdf/99012-WP-Box393181B-PUBLIC-Urban-community-upgrading.pdf (accessed on 17 September 2025).
- Indonesian Ministry of Public Works and Housing. Kampung Improvement Program: Achievements and Challenges. Available online: https://spada.uns.ac.id/pluginfile.php/632973/mod_resource/content/1/Paper%20KIP.pdf (accessed on 17 September 2025).
- Asian Development Bank. Financing Integrated Settlements Development Project; Asian Development Bank: Mandaluyong, Philippines, 2006; Available online: https://www.adb.org/sites/default/files/project-documents//37473-ino-tacr.pdf (accessed on 17 September 2025).
- Chongqing Municipal Bureau of Statistics. Chongqing Statistical Yearbook 2023; China Statistics Press: Beijing, China, 2023. [Google Scholar]















| Parameter | Meaning |
|---|---|
| C1 | Project construction funds are borne by the government when it incentivizes developers to participate in regeneration. |
| C2 | Project construction funds are borne by the government when it does not incentivize developers to participate in regeneration. |
| W | Government incentives for developers and residents to receive incentives from higher-level authorities |
| M1 | Government economic subsidies and tax incentives for developers to participate in regeneration |
| M2 | Government subsidies for residents to participate in regeneration |
| S2 | When governments are not incentivized, residents are negatively engaged, developers are uncooperative, and governments are penalized for losses. |
| R4 | The social benefits of government incentives for community renewal include three parts of sustainability: environmental, social, and economic. |
| C3 | Community residents are actively involved in the cost of community renewal. |
| R1 | Social benefits of normal life for community residents before community regeneration |
| R2 | Neighborhood residents receive additional benefits for their active participation in community regeneration. |
| S1 | Community residents who participate negatively in community regeneration and are dissatisfied with the results of the regeneration and transformation will bear certain losses. |
| C4 | Developer Participation in Community Renewal Project Construction Funding. |
| R3 | Economic benefits to developers of participating in community regeneration. |
| R5 | Normal social benefits when developers do not cooperate. |
| x | The probability that the government chooses an incentive strategy. |
| y | Probability of community residents choosing to actively participate. |
| z | The probability that a developer will choose to cooperate. |
| Governments | |||||
|---|---|---|---|---|---|
| Incentives (x) | Disincentive (1 − x) | ||||
| people living in the community | Remodel (y) | developer | participate actively (z) | (W − C11 − M1 − M2 + R4, M2 + R2 − C3, M1 + R3 − C4) | (−C2, R2 − C3, R3 − C4) |
| non-participation (1 − z) | (W − M1 − C1 + R4, R1 − S1, M1 + R3 − C4) | (−C2, R1 − S1, R3 − C4) | |||
| no remodeling (1 − y) | developer | participate actively (z) | (W − C1 − M2 + R4, M2 + R2 − C3, R5) | (−C2, R2 − C3, R5) | |
| non-participation (1 − z) | (W − C1 + R4, R1 − S1, R5) | (−S2, R1 − S1, R5) | |||
| Equilibrium Point | Eigenvalue 1 | Eigenvalue 2 | Eigenvalue 3 |
|---|---|---|---|
| (0,0,0) | λ1 = W + S2 + R4 − C1 | λ2 = R2 − R1 − C3 + S1 | λ3 = R3 − C4 − R5 |
| (0,0,1) | λ1 = C2 − C1 − M1 + R4 + W | λ2 = R2 − R1 − C3 + S1 | λ3 = C4 − R3 + R5 |
| (0,1,0) | λ1 = C2 − C1 − M2 + R4 + W | λ2 = C3 + R1 − R2 − S1 | λ3 = R3 − C4 − R5 |
| (0,1,1) | λ1 = C2 − C1 − M1 − M2 + R4 + W | λ2 = C3 + R1 − R2 − S1 | λ3 = C4 − R3 + R5 |
| (1,0,0) | λ1 = C1 − R4 − S2 − W | λ2 = M2 − C3 − R1 + R2 + S1 | λ3 = M1 − C4 + R3 − R5 |
| (1,0,1) | λ1 = C1 − C2 + M1 − R4 − W | λ2 = M2 − C3 − R1 + R2 + S1 | λ3 = C4 − R3 − M1 + R5 |
| (1,1,0) | λ1 = C1 − C2 + M2 − R4 − W | λ2 = C3 − M2 + R1 − R2 − S1 | λ3 = M1 − C4 + R3 − R5 |
| (1,1,1) | λ1 = C1 − C2 + M1 + M2 − R4 − W | λ2 = C3 − M2 + R1 − R2 − S1 | λ3 = C4 − R3 − M1 + R5 |
| Parameters | Simulation Data (10 k RMB) | Rationale and Description |
|---|---|---|
| C1 | 20 | Estimation based on the case: In the LZ renewal pilot, the government participates in infrastructure investment through guiding capital and special funds, representing approximately 20–30% of the construction cost, with the value set within the range of [30, 50]. |
| C2 | 40 | At this time, the developer does not cooperate, the government needs to independently bear the renewal expenditure, according to the “full coverage” logic set higher than C1, set to [60, 80], and used for sensitivity testing. |
| C3 | 10 | Referring to the special incentive ratio mentioned in the National Urban Renewal Pilot Fund Management Measures (2021), it is set at 5–10% of the total project investment, which is taken as [8, 12]. |
| C4 | 30 | Based on national and local urban renewal preferential policies (e.g., tax rebates, subsidized loans, the value is set to [15, 25]. |
| M1 | 15 | Based on [28] quantitative analysis of the impact of incentives on developer behavior in green building, the amount of subsidies and tax credits is set to be 15–25% of the developer’s total investment in total to motivate cooperation. |
| M2 | 10 | This loss is difficult to quantify and is set to a medium–high value [30, 50] for modeling the feedback pressure on the government from policy incentive failures. |
| W | 30 | Drawing on research on multi-tiered intergovernmental incentives, the central/provincial incentives were set at 5–10% of total investment at the prefecture and municipal levels, which reasonably reflects the resource feedback from higher levels on the performance of renewal projects. |
| R1 | 10 | Referring to [20], the quantitative weights of the three types of indicators, namely, “environmental improvement, public service, and governance capacity”, are used in the performance assessment of urban resilience regeneration. |
| R2 | 15 | Based on the marginal benefits from housing improvements, environmental enhancements, etc., in Lin and Park [31,49], set up and measure the elasticity of their impacts in a sensitivity analysis. |
| R3 | 45 | Based on ROI assumptions, estimated at a reasonable profit range of 15–30 percent. |
| R4 | 50 | Same as R1 |
| R5 | 15 | Based on Jiayu and Xiaodong et al.’s “conservative profit” setting in the green development game model [50]. |
| S1 | 30 | Lacking a direct quantitative basis, this paper estimates the cost of negative events in an old district project in Wuhan by [10,51]. |
| S2 | 20 | Same as S1 |
| Equilibrium Point | Eigenvalue 1 | Eigenvalue 2 | Eigenvalue 3 |
|---|---|---|---|
| (0,0,0) | λ1 = 80 | λ2 = 25 | λ3 = 0 |
| (0,0,1) | λ1 = 85 | λ2 = 25 | λ3 = 0 |
| (0,1,0) | λ1 = 90 | λ2 = −25 | λ3 = 0 |
| (0,1,1) | λ1 = 75 | λ2 = −25 | λ3 = 0 |
| (1,0,0) | λ1 = −80 | λ2 = 35 | λ3 = 15 |
| (1,0,1) | λ1 = −85 | λ2 = 35 | λ3 = −15 |
| (1,1,0) | λ1 = −90 | λ2 = −35 | λ3 = 15 |
| (1,1,1) | λ1 = −75 | λ2 = −35 | λ3 = −15 |
Disclaimer/Publisher’s Note: The statements, opinions and data contained in all publications are solely those of the individual author(s) and contributor(s) and not of MDPI and/or the editor(s). MDPI and/or the editor(s) disclaim responsibility for any injury to people or property resulting from any ideas, methods, instructions or products referred to in the content. |
© 2025 by the authors. Licensee MDPI, Basel, Switzerland. This article is an open access article distributed under the terms and conditions of the Creative Commons Attribution (CC BY) license (https://creativecommons.org/licenses/by/4.0/).
Share and Cite
Wang, L.; Ren, P.; Shan, Y.; Zhang, G. Subsidy Ceilings and Sequential Synergy: Steering Sustainable Outcomes Through Dynamic Thresholds in China’s Urban Renewal Tripartite Game. Sustainability 2025, 17, 8713. https://doi.org/10.3390/su17198713
Wang L, Ren P, Shan Y, Zhang G. Subsidy Ceilings and Sequential Synergy: Steering Sustainable Outcomes Through Dynamic Thresholds in China’s Urban Renewal Tripartite Game. Sustainability. 2025; 17(19):8713. https://doi.org/10.3390/su17198713
Chicago/Turabian StyleWang, Li, Pan Ren, Yongwei Shan, and Guanqiao Zhang. 2025. "Subsidy Ceilings and Sequential Synergy: Steering Sustainable Outcomes Through Dynamic Thresholds in China’s Urban Renewal Tripartite Game" Sustainability 17, no. 19: 8713. https://doi.org/10.3390/su17198713
APA StyleWang, L., Ren, P., Shan, Y., & Zhang, G. (2025). Subsidy Ceilings and Sequential Synergy: Steering Sustainable Outcomes Through Dynamic Thresholds in China’s Urban Renewal Tripartite Game. Sustainability, 17(19), 8713. https://doi.org/10.3390/su17198713

