Sign in to use this feature.

Years

Between: -

Subjects

remove_circle_outline
remove_circle_outline
remove_circle_outline
remove_circle_outline
remove_circle_outline
remove_circle_outline
remove_circle_outline
remove_circle_outline
remove_circle_outline

Journals

remove_circle_outline
remove_circle_outline
remove_circle_outline
remove_circle_outline
remove_circle_outline
remove_circle_outline
remove_circle_outline
remove_circle_outline
remove_circle_outline
remove_circle_outline

Article Types

Countries / Regions

remove_circle_outline
remove_circle_outline
remove_circle_outline
remove_circle_outline
remove_circle_outline
remove_circle_outline
remove_circle_outline
remove_circle_outline

Search Results (5,095)

Search Parameters:
Keywords = turbine modeling

Order results
Result details
Results per page
Select all
Export citation of selected articles as:
15 pages, 1247 KB  
Article
Improved Evaluation of Wind Turbine Lightning Exposure: Modeling Upward Leader Effects on Equivalent Collection Area
by Ning Yang, Ying Wen, Zheng Shi, Hongyu Zheng, Cuicui Ji and Maowen Liu
Atmosphere 2025, 16(11), 1228; https://doi.org/10.3390/atmos16111228 - 23 Oct 2025
Abstract
There has been a growing demand for clean energy in recent years, with the advancement of the carbon neutrality vision. Wind power has occupied a significant percentage of clean energy sources. Usually deployed in open fields, on mountaintops, and in offshore areas, wind [...] Read more.
There has been a growing demand for clean energy in recent years, with the advancement of the carbon neutrality vision. Wind power has occupied a significant percentage of clean energy sources. Usually deployed in open fields, on mountaintops, and in offshore areas, wind turbines are particularly vulnerable to lightning strikes due to their unique operational characteristics. Therefore, accurately evaluating the lightning strike risk of wind turbines is an important issue that should be addressed. Current IEC standards lack a physically grounded approach for calculating the equivalent collection area, leading to an overestimation of this value. This paper employs an upward leader initiation model to develop a novel calculation method for the equivalent collection area of wind turbines. By considering the impact of upward leader channel initiation and development, the model demonstrates accuracy through comparison with observational data (0.7761 strikes/year), showing only a −7.1% discrepancy. This study also examines the impact of various blade rotation angles, stepped leader speeds, and peak current of the return stroke on the equivalent collection area. Results indicate that the lightning strike distance specified in IEC standards underestimates the equivalent collection area due to neglecting the upward leader channel, resulting in significant differences compared to our approach, with a maximum deviation of up to 313.12%. Full article
41 pages, 4380 KB  
Article
A Two-Layer HiMPC Planning Framework for High-Renewable Grids: Zero-Exchange Test on Germany 2045
by Alexander Blinn, Joshua Bunner and Fabian Kennel
Energies 2025, 18(21), 5579; https://doi.org/10.3390/en18215579 - 23 Oct 2025
Abstract
High-renewables grids are planned in min but judged in milliseconds; credible studies must therefore resolve both horizons within a single model. Current adequacy tools bypass fast frequency dynamics, while detailed simulators lack multi-hour optimization, leaving investors without a unified basis for sizing storage, [...] Read more.
High-renewables grids are planned in min but judged in milliseconds; credible studies must therefore resolve both horizons within a single model. Current adequacy tools bypass fast frequency dynamics, while detailed simulators lack multi-hour optimization, leaving investors without a unified basis for sizing storage, shifting demand, or upgrading transfers. We present a two-layer Hierarchical Model Predictive Control framework that links 15-min scheduling with 1-s corrective action and apply it to Germany’s four TSO zones under a stringent zero-exchange stress test derived from the NEP 2045 baseline. Batteries, vehicle-to-grid, pumped hydro and power-to-gas technologies are captured through aggregators; a decentralized optimizer pre-positions them, while a fast layer refines setpoints as forecasts drift; all are subject to inter-zonal transfer limits. Year-long simulations hold frequency within ±2 mHz for 99.9% of hours and below ±10 mHz during the worst multi-day renewable lull. Batteries absorb sub-second transients, electrolyzers smooth surpluses, and hydrogen turbines bridge week-long deficits—none of which violate transfer constraints. Because the algebraic core is modular, analysts can insert new asset classes or policy rules with minimal code change, enabling policy-relevant scenario studies from storage mandates to capacity-upgrade plans. The work elevates predictive control from plant-scale demonstrations to system-level planning practice. It unifies adequacy sizing and dynamic-performance evaluation in a single optimization loop, delivering an open, scalable blueprint for high-renewables assessments. The framework is readily portable to other interconnected grids, supporting analyses of storage obligations, hydrogen roll-outs and islanding strategies. Full article
17 pages, 2427 KB  
Article
Is It Possible to Improve Energy Efficiency in Water Purification Plants? The Case of Drinking Water in La Presa DWPP in Valencia, (Spain)
by Harold de León Fabián, Pura Almenar Llorens, P. Amparo López-Jiménez and Modesto Pérez-Sánchez
Appl. Sci. 2025, 15(21), 11340; https://doi.org/10.3390/app152111340 - 22 Oct 2025
Abstract
This research analyzes the energy balance of the purification water pumping system at the La Presa drinking water purification plant (DWPP) in Manises (Valencia) and evaluates alternatives to improve its energy efficiency. These alternatives include the construction of a storage tank at an [...] Read more.
This research analyzes the energy balance of the purification water pumping system at the La Presa drinking water purification plant (DWPP) in Manises (Valencia) and evaluates alternatives to improve its energy efficiency. These alternatives include the construction of a storage tank at an elevation of 75 m between La Presa Plant and Valencia city, allowing the lower area of the city to be supplied independently from the upper zone. This configuration will adapt to the pressure levels of the whole city and control the residence time in the tanks, thereby improving both energy and quality parameters in the whole network. Hydraulic simulations were conducted in EPANET using models representing the system from the La Presa gallery to the delivery points under various demand scenarios and operational criteria. Three alternatives for feeding the new tank are studied: using additional pumps; using turbines; and a combination of both. From the data obtained in the simulations (flows and heads), the net energy consumed was calculated, and the average water residence time in the tanks was simulated as an indicator of water quality, using certain theoretical criteria. The results indicate that all alternatives represent a significant energy saving and maintain water quality at any moment. The best solution is proposed, which involves combining pumps and turbines and minimizing residence time in the tanks. In this case, a saving of 42.26% of energy is achieved when compared with the actual situation, with an average residence time in the tanks of less than 50 h. The combination of both restrictions of quality and energy savings represents a novelty in the management of future decisions for purification plants supplying real networks. Full article
Show Figures

Figure 1

22 pages, 2443 KB  
Article
Frequency Regulation Performance of a Wind–Energy Storage Hybrid System During Turbine Shutdown Due to Extreme Wind
by Yi Zhang, Yang Yu, Yingying Zhang, Baoping Chen and Zehuan Liu
Processes 2025, 13(11), 3383; https://doi.org/10.3390/pr13113383 - 22 Oct 2025
Abstract
The growing penetration of wind power has led to a continuous decline in system rotational inertia, posing serious challenges to the stability of next-generation power systems. Moreover, the strong dependence of wind generation on weather conditions, particularly the increasing frequency of extreme wind [...] Read more.
The growing penetration of wind power has led to a continuous decline in system rotational inertia, posing serious challenges to the stability of next-generation power systems. Moreover, the strong dependence of wind generation on weather conditions, particularly the increasing frequency of extreme wind events, further exacerbates system vulnerability, making stability enhancement under adverse conditions an urgent research priority. To address this issue, this study proposes a virtual inertia-based control strategy for hybrid wind–storage systems, formulated through transfer function modeling of wind turbines, thermal generators, and energy storage units. By appropriately simplifying the dynamic characteristics of individual components, a comprehensive system-level transfer function model is developed to characterize the frequency response of the hybrid system. Virtual inertia support is provided by controlling the outputs of wind and storage units. A conventional wind–energy storage hybrid system without a virtual inertia control strategy was developed for comparison to evaluate the frequency regulation performance against the proposed system. Simulation studies under large load disturbance scenarios demonstrate that the hybrid wind–storage system achieves a smaller frequency nadir and faster steady-state recovery compared with standalone wind power system and a conventional wind–energy storage hybrid system without a virtual inertia control strategy. Notably, even under extreme wind conditions requiring complete curtailment of wind turbines, the energy storage unit continues to deliver virtual inertia, thereby maintaining system stability, superior to the conventional wind–energy storage hybrid system without virtual inertia control. These findings highlight the enhanced reliability and dynamic performance of wind–storage hybrid systems in mitigating frequency deviations within high-renewable environments, while also demonstrating the proposed control strategy’s robust adaptability to extreme weather conditions. The proposed approach offers valuable insights into strengthening the operational resilience of future low-carbon power systems. Full article
Show Figures

Figure 1

24 pages, 4662 KB  
Article
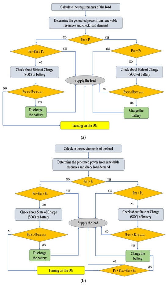
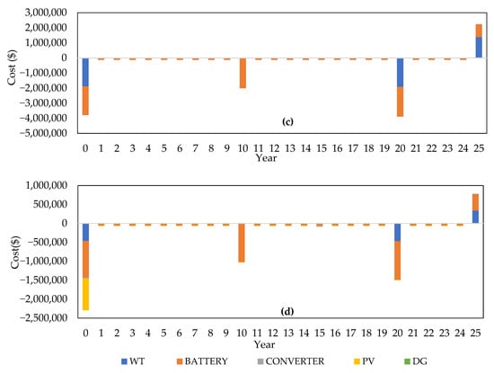
Optimal Dispatch and Energy Management of Hybrid Microgrids: A Case Study of an Urban Community
by Mohamed Hussein, Abdallah Mohamed, Ahmed F. Bendary, Helmy El Zoghby, Heba Hassan, Matti Lehtonen, Mohamed M. F. Darwish and Ramy S. A. Afia
Electronics 2025, 14(21), 4141; https://doi.org/10.3390/electronics14214141 - 22 Oct 2025
Abstract
Energy is a vital component of life today, and providing reliable power access remains a significant global challenge, particularly in remote areas. In Egypt, several isolated regions, including parts of South Sinai, suffer from limited electricity access. This study presents an enhanced environmental [...] Read more.
Energy is a vital component of life today, and providing reliable power access remains a significant global challenge, particularly in remote areas. In Egypt, several isolated regions, including parts of South Sinai, suffer from limited electricity access. This study presents an enhanced environmental and techno-economic modeling of an off-grid hybrid renewable energy microgrid (HREM) tailored for such regions. A proposed configuration combining photovoltaic (PV) panels, wind turbines (WTs), a converter (CONV), and battery energy storage is evaluated to meet the residential energy demand of an isolated community in South Sinai. Four feasible system models, PV/CONV/BAT, WT/CONV/BAT, PV/WT/CONV/BAT, and a standalone diesel generator, were simulated using hybrid optimization of multiple energy resources. The cost of energy was analyzed under different scenarios. The results show that the combination of a 1109 kW PV system, 16 × 25 kW WTs, 439 kW converter, and 353 batteries is the best configuration that leads to the lowest values of Net Present Cost (NPC) and Levelized Cost of Energy (COE), and zero unmet load, making it the most economically and environmentally viable configuration. Full article
(This article belongs to the Special Issue Smart Grid Technologies and Energy Conversion Systems)
Show Figures

Figure 1

13 pages, 2049 KB  
Article
Polymerization Reaction Kinetics of Poly α-Olefin and Numerical Simulation of a Continuous Polymerization Reactor
by Jianxin Shi, Jinxue He, Qiang Yao, Ruilong Li, Dan Liu, Xuemei Liang and Lin Wang
Processes 2025, 13(11), 3375; https://doi.org/10.3390/pr13113375 - 22 Oct 2025
Viewed by 16
Abstract
The hydrodynamic and reaction characteristics of poly-alpha-olefin (PAO) polymerization in a continuous stirred tank reactor (CSTR) under Eulerian–Eulerian multiphase flow and a finite-rate chemical kinetics model were studied in this paper. A mathematical framework correlating 1-decene conversion with operational and structural parameters was [...] Read more.
The hydrodynamic and reaction characteristics of poly-alpha-olefin (PAO) polymerization in a continuous stirred tank reactor (CSTR) under Eulerian–Eulerian multiphase flow and a finite-rate chemical kinetics model were studied in this paper. A mathematical framework correlating 1-decene conversion with operational and structural parameters was established. Numerical simulations revealed an axial circulation flow pattern driven by combined impellers, with internal coils enhancing heat exchange and flow guidance. The gaseous catalyst, injected below the turbine impeller, achieved rapid dispersion and low gas holdup. The results demonstrated that 1-decene conversion exhibited insensitivity to impeller speed under fully turbulent mixing (mixing time <0.15% of space time), suggesting limited mass transfer benefits from further speed increases. Conversion positively correlated with temperature and space time, albeit with diminishing returns at prolonged durations. Series reactor configurations improved conversion efficiency, though incremental gains decreased with additional units. Optimal reactor design should balance conversion targets with economic factors, including energy consumption and capital investment. These findings provide critical insights into scaling PAO polymerization processes, emphasizing the interplay between reactor geometry, mixing dynamics, and reaction kinetics for industrial applications. Full article
Show Figures

Figure 1

21 pages, 10644 KB  
Article
Structural Response Research for a Submarine Power Cable with Corrosion-Damaged Tensile Armor Layers Under Pure Tension
by Weidong Ruan, Chengcheng Zhou, Erjian Qiu, Xu Zheng, Zhaohui Shang, Pan Fang and Yong Bai
J. Mar. Sci. Eng. 2025, 13(11), 2026; https://doi.org/10.3390/jmse13112026 - 22 Oct 2025
Viewed by 33
Abstract
Submarine power cables (SPCs), as critical infrastructure for offshore wind farms, are the primary conduits for transmitting electricity from turbines to the grid. Actions such as seabed friction can cause damage to the submarine power cable’s outer sheath, accelerating the penetration of seawater [...] Read more.
Submarine power cables (SPCs), as critical infrastructure for offshore wind farms, are the primary conduits for transmitting electricity from turbines to the grid. Actions such as seabed friction can cause damage to the submarine power cable’s outer sheath, accelerating the penetration of seawater corrosion media. This subsequently leads to corrosion fatigue or excessive loading in the tensile armor layer, which seriously threatens the long-term operational reliability of SPCs and the security of energy transmission. Based on homogenization theory and periodic boundary conditions, a repetitive unit cell (RUC) ABAQUS finite element model for a single-core submarine power cable (SPC) was established in this paper. And the mechanical response of the single-core SPC with the corroded tensile armor layers under tensile loading condition were systematically investigated. By comparing with a full-scale model, the feasibility and accuracy of the cable RUC damaged model proposed in this paper were effectively verified. It was found that the RUC damaged model exhibits significant stress concentration phenomena due to localized corrosion damage in the tensile armor layers, with its maximum von Mises stress being considerably higher than that of the RUC intact model; the elastic tensile stiffness of the SPC continuously decreases with increasing corrosion damage depth, but the magnitude of this reduction is small. This is because the corroded region is relatively small compared to the entire cable model dimension. This research reveals the potential impact of localized corrosion on the mechanical performance of the tensile armor layer, which can hold significant engineering importance for assessing the remaining load-bearing capacity of in-service SPCs and ensuring the reliability of subsea energy transmission corridors. Full article
(This article belongs to the Special Issue Marine Cable Technology: Cutting-Edge Research and Development Trends)
Show Figures

Figure 1

26 pages, 5373 KB  
Article
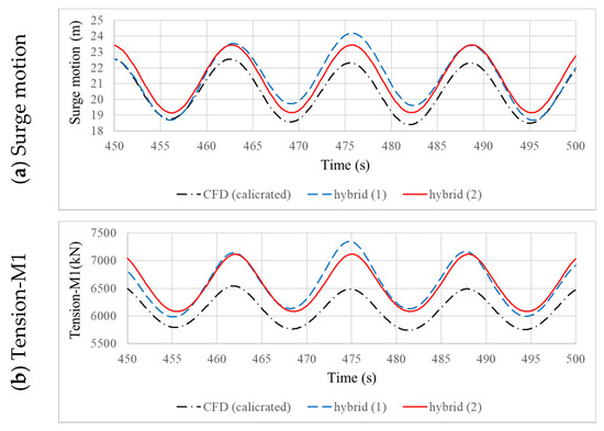
Toward Reliable FOWT Modeling: A New Calibration Approach for Extreme Environmental Loads
by Ho-Seong Yang, Ali Alkhabbaz and Young-Ho Lee
Energies 2025, 18(20), 5545; https://doi.org/10.3390/en18205545 - 21 Oct 2025
Viewed by 110
Abstract
The current paper presents a comparative analysis between a high-fidelity simulation tool and computational fluid dynamics (CFD) in evaluating the behavior of a fully coupled floating offshore wind turbine (FOWT) system subjected to three distinct design load cases, with a particular emphasis on [...] Read more.
The current paper presents a comparative analysis between a high-fidelity simulation tool and computational fluid dynamics (CFD) in evaluating the behavior of a fully coupled floating offshore wind turbine (FOWT) system subjected to three distinct design load cases, with a particular emphasis on extreme weather scenarios. While both approaches yielded comparable results under standard operational conditions, noticeable discrepancies emerged in surge drift and mooring line tension during typhoon conditions. The present work highlighted a significant limitation of standard calibration methods based on free-deck motion that are not reflective of the unique features of extreme environmental responses. To address this limitation, a novel calibration methodology is suggested that uses drag coefficients derived from direct measurement of extreme load cases. The prediction accuracy of the high-fidelity simulation model was significantly improved by refining the transverse component of the drag coefficients of major structural components, decreasing prediction accuracy of surge and mooring tension responses from almost 30% error to about 5%. Further, despite increasing the fidelity of calibration under extreme environmental conditions, it is primarily contingent on high-fidelity measurements corresponding to the use of the most conventional calibration approach under normal environmental conditions. Ultimately, the results demonstrate the need for accurate calibration approaches to provide reliable performance predictions of FOWT systems under varying extreme environmental conditions. Full article
Show Figures

Figure 1

22 pages, 6207 KB  
Article
Structural Analysis Methods and Key Influencing Factors on the Performance of Segmented Steel–Concrete Hybrid Wind Turbine Towers
by Yifan Dong, Minjuan He, Kun Zeng, Haiyan Fu, Zhongxiang Tu, Wenbing Peng and Ziwei Wang
Buildings 2025, 15(20), 3786; https://doi.org/10.3390/buildings15203786 - 20 Oct 2025
Viewed by 199
Abstract
The development of wind power aligns with the strategy of low-carbon development and plays a crucial role in the global transition to a green economy. The segmented steel–concrete wind turbine tower offers advantages such as modular fragment prefabrication, prestressed structural enhancement, and integrated [...] Read more.
The development of wind power aligns with the strategy of low-carbon development and plays a crucial role in the global transition to a green economy. The segmented steel–concrete wind turbine tower offers advantages such as modular fragment prefabrication, prestressed structural enhancement, and integrated intelligent construction. To investigate the structural performance of such towers, this paper established a numerical model based on an existing project. The model was validated against previous experiments and used for parametric analysis. A numerical model of a segmented steel–concrete wind turbine tower was developed to evaluate its overall deformation, stress distribution, and vertical and horizontal joint separation under various conditions. The concrete segment of the tower was numerically simplified, and a comparative analysis of structural performance was conducted between the detailed and simplified models. Based on the simplified model, the effects of the friction coefficient, prestress loss, and contact area on the anti-slip performance of the transition section of the towers were investigated and analyzed. The results indicated that the validity of the modeling approach was confirmed through the existing experimental results. The top displacement of the model incorporating vertical and horizontal joints (Model 1) did not exceed the limit of 1/100 under the safety factor considerations, indicating that the structure could ensure safety. The simplified model (Model 2) showed consistent behavior with Model 1, thereby providing a reliable basis for parametric studies. A reduction in the steel-to-steel friction coefficient, steel strand prestress, and contact area between the steel transition section and the embedded anchor plate resulted in an increase in the horizontal relative displacement between the steel transition section and the embedded anchor plate to varying extents. Notably, a more pronounced increase in displacement was observed under higher loading conditions. Overall, the horizontal relative displacement between the steel transition section and embedded anchor plate under single-loading conditions was below one millimeter in most of the studied conditions, which was relatively small compared to the assembly tolerance of the structure. Full article
(This article belongs to the Section Building Structures)
Show Figures

Figure 1

27 pages, 2075 KB  
Review
Physics-Informed Machine Learning for Intelligent Gas Turbine Digital Twins: A Review
by Hiyam Farhat and Amani Altarawneh
Energies 2025, 18(20), 5523; https://doi.org/10.3390/en18205523 - 20 Oct 2025
Viewed by 339
Abstract
This review surveys recent progress in hybrid artificial intelligence (AI) approaches for gas turbine intelligent digital twins, with an emphasis on models that integrate physics-based simulations and machine learning. The main contribution is the introduction of a structured classification of hybrid AI methods [...] Read more.
This review surveys recent progress in hybrid artificial intelligence (AI) approaches for gas turbine intelligent digital twins, with an emphasis on models that integrate physics-based simulations and machine learning. The main contribution is the introduction of a structured classification of hybrid AI methods tailored to gas turbine applications, the development of a novel comparative maturity framework, and the proposal of a layered roadmap for integration. The classification organizes hybrid AI approaches into four categories: (1) artificial neural network (ANN)-augmented thermodynamic models, (2) physics-integrated operational architectures, (3) physics-constrained neural networks (PcNNs) with computational fluid dynamics (CFD) surrogates, and (4) generative and model discovery approaches. The maturity framework evaluates these categories across five criteria: data dependency, interpretability, deployment complexity, workflow integration, and real-time capability. Industrial case studies—including General Electric (GE) Vernova’s SmartSignal, Siemens’ Autonomous Turbine Operation and Maintenance (ATOM), and the Electric Power Research Institute (EPRI) turbine digital twin—illustrate applications in real-time diagnostics, predictive maintenance, and performance optimization. Together, the classification and maturity framework provide the means for systematic assessment of hybrid AI methods in gas turbine intelligent digital twins. The review concludes by identifying key challenges and outlining a roadmap for the future development of scalable, interpretable, and operationally robust intelligent digital twins for gas turbines. Full article
Show Figures

Figure 1

21 pages, 5705 KB  
Article
Research on Internal Flow and Runner Force Characteristics of Francis Turbine
by Jianwen Xu, Peirong Chen, Yanhao Li, Xuelin Yang and An Yu
Water 2025, 17(20), 3004; https://doi.org/10.3390/w17203004 - 19 Oct 2025
Viewed by 207
Abstract
Francis turbines are widely used due to their large capacity and broad head adaptability, placing higher demands on the internal flow characteristics and runner performance of the units. In this paper, numerical simulations of a Francis turbine model were conducted using ANSYS CFX [...] Read more.
Francis turbines are widely used due to their large capacity and broad head adaptability, placing higher demands on the internal flow characteristics and runner performance of the units. In this paper, numerical simulations of a Francis turbine model were conducted using ANSYS CFX 2022 R1. The SST turbulence model, ZGB cavitation model, and VOF multiphase flow model were selected for the calculations. The internal flow characteristics and pressure pulsations in the runner and draft tube under different operating conditions were analyzed, and the variations in normal and tangential forces acting on the runner blades during operation were investigated. The results indicate significant differences in the internal flow within the runner and draft tube under various guide vane opening conditions. The pressure pulsation in the unit is influenced by both the internal flow in the draft tube and the rotation of the runner. The mechanical load on the runner blades is affected by multiple factors, including the wake from upstream fixed guide vanes, rotor–stator interaction, and downstream vortex ropes. Under low-flow conditions, the variation in forces acting on the runner blades is relatively small, whereas under high-flow conditions, the runner blades are prone to abrupt force fluctuations at 0.6–0.8 times the rotational frequency. This is manifested as periodic abrupt force changes in both the X and Y directions of the runner blades under high-flow conditions. The normal force in the Z-direction of the runner blades increases instantaneously and then decreases immediately, while the tangential force decreases instantaneously and then increases promptly. Full article
(This article belongs to the Section Hydraulics and Hydrodynamics)
Show Figures

Figure 1

21 pages, 7039 KB  
Article
Optimizing Film Cooling Hole Arrangement Along Conjugate Isotherms on Turbine Vanes: A Combined Numerical and Experimental Investigation
by Zhengyu Shi, Changxin Liu, Yuhao Jia, Xing He, Ge Xia and Yongbao Liu
Processes 2025, 13(10), 3344; https://doi.org/10.3390/pr13103344 - 18 Oct 2025
Viewed by 203
Abstract
This study introduces a method for positioning film holes guided by conjugate isotherms. The aerodynamic performance exhibited by the turbine blade was evaluated, and the cooling effectiveness of various film hole configurations were systematically compared through combined numerical simulations and cascade wind tunnel [...] Read more.
This study introduces a method for positioning film holes guided by conjugate isotherms. The aerodynamic performance exhibited by the turbine blade was evaluated, and the cooling effectiveness of various film hole configurations were systematically compared through combined numerical simulations and cascade wind tunnel experiments. Key influencing factors were investigated, and the underlying flow field structures and optimization mechanisms were elucidated. Numerical models reliably captured the aerodynamic and heat transfer characteristics, including pressure distribution and overall cooling effectiveness trends. Elevating the mass flow rate ratio was shown to enhance the overall cooling effectiveness across the blade surface. Modifications in film hole layout altered the cooling effectiveness along the blade region downstream of the holes and influenced cooling behavior in non-perforated areas near the endwall. While mid-blade cooling effectiveness showed minimal variation between Hole pattern #1 and #2, the latter exhibited superior overall cooling effectiveness at both the leading and trailing edges. Moreover, Hole pattern #2 diminished the temperature gradient between the suction and pressure sides, thereby augmenting blade structural integrity. Furthermore, Hole pattern #2 promoted a more even distribution of cooling effectiveness over the blade surface, leading to improved thermal protection. Therefore, strategic arrangement of film holes along conjugate isotherms serves as a vital approach for increasing gas turbine efficiency. Full article
(This article belongs to the Section Materials Processes)
Show Figures

Figure 1

18 pages, 2486 KB  
Article
Optimization of Exergy Output Rate in a Supercritical CO2 Brayton Cogeneration System
by Jiachi Shan, Shaojun Xia and Qinglong Jin
Entropy 2025, 27(10), 1078; https://doi.org/10.3390/e27101078 - 18 Oct 2025
Viewed by 155
Abstract
To address low energy utilization efficiency and severe exergy destruction from direct discharge of high-temperature turbine exhaust, this study proposes a supercritical CO2 Brayton cogeneration system with a series-connected hot water heat exchanger for stepwise waste heat recovery. Based on finite-time thermodynamics, [...] Read more.
To address low energy utilization efficiency and severe exergy destruction from direct discharge of high-temperature turbine exhaust, this study proposes a supercritical CO2 Brayton cogeneration system with a series-connected hot water heat exchanger for stepwise waste heat recovery. Based on finite-time thermodynamics, a physical model that provides a more realistic framework by incorporating finite temperature difference heat transfer, irreversible compression, and expansion losses is established. Aiming to maximize exergy output rate under the constraint of fixed total thermal conductance, the decision variables, including working fluid mass flow rate, pressure ratio, and thermal conductance distribution ratio, are optimized. Optimization yields a 16.06% increase in exergy output rate compared with the baseline design. The optimal parameter combination is a mass flow rate of 79 kg/s and a pressure ratio of 5.64, with thermal conductance allocation increased for the regenerator and cooler, while decreased for the heater. The obtained results could provide theoretical guidance for enhancing energy efficiency and sustainability in S-CO2 cogeneration systems, with potential applications in industrial waste heat recovery and power generation. Full article
(This article belongs to the Special Issue Thermodynamic Optimization of Energy Systems)
Show Figures

Figure 1

24 pages, 3969 KB  
Article
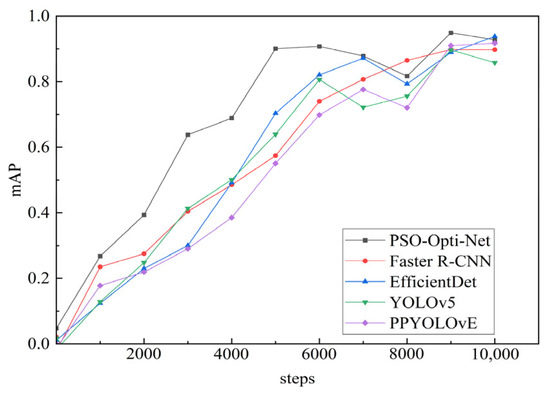
Icing Detection of Wind Turbine Blades Based on an Improved PP-YOLOE Detection Network
by Zhangzhuo Sun, Jiangbo Qian, Ao Liu, Shangyun Yao, Xinzhu Lv and Liwei Shao
Sensors 2025, 25(20), 6438; https://doi.org/10.3390/s25206438 - 17 Oct 2025
Viewed by 316
Abstract
In cold and highly humid regions, wind turbine blades (WTB) are susceptible to icing, which can have a significant impact on the security and economic operation of turbines. Therefore, precise and prompt icing status detection is pivotal for maintaining wind turbine operational normalcy. [...] Read more.
In cold and highly humid regions, wind turbine blades (WTB) are susceptible to icing, which can have a significant impact on the security and economic operation of turbines. Therefore, precise and prompt icing status detection is pivotal for maintaining wind turbine operational normalcy. In this research, an improved PP-YOLOE network is developed for classifying and detecting the icing state of WTB. First, a dataset of WTB icing is constructed based on a wind tunnel laboratory and expanded to improve the generalization of the model. To enhance feature representation, the network architecture was improved by embedding a coordinate attention (CA) mechanism and integrating atrous spatial pyramid pooling (ASPP) to better capture multi-scale contextual information. Moreover, a key innovation of this work is the novel application of a particle swarm optimization (PSO) algorithm to systematically automate hyperparameter tuning. Through ablation experiments and comparative tests, the improved PP-YOLOE network demonstrates superior overall performance on this dataset, achieving a multiple average precision of 0.94. It surpasses the original model across multiple evaluation metrics, indicating a robust and meaningful enhancement. The improved PP-YOLOE network proposed in this study provides a promising and effective method for WTB icing detection. This work provides a paradigm for applying advanced deep learning techniques to enhance intelligent industrial inspection tasks. Full article
(This article belongs to the Section Intelligent Sensors)
Show Figures

Figure 1

17 pages, 1364 KB  
Article
Optimization of a Hybrid Recompression Supercritical Carbon Dioxide–Organic Rankine Cycle Regenerative Combined System
by Shengya Hou, Shuaiwei Yang and Qiguo Yang
Energies 2025, 18(20), 5493; https://doi.org/10.3390/en18205493 - 17 Oct 2025
Viewed by 304
Abstract
To efficiently recover waste heat from gas turbines, a hybrid recompression supercritical carbon dioxide (SCO2)–organic Rankine cycle (ORC) regenerative combined system is proposed. The ORC employs a mixed working fluid to enhance thermodynamic matching. Thermodynamic, compactness, and economic models are established [...] Read more.
To efficiently recover waste heat from gas turbines, a hybrid recompression supercritical carbon dioxide (SCO2)–organic Rankine cycle (ORC) regenerative combined system is proposed. The ORC employs a mixed working fluid to enhance thermodynamic matching. Thermodynamic, compactness, and economic models are established to analyze the influence of key operating parameters on system performance. Based on parametric analysis, decision variables are identified and used for single-objective and multi-objective optimizations of system performance metrics. Results show that increasing the split ratio in the recompression cycle improves thermodynamic performance but simultaneously increases both heat transfer area per unit output power (APR) and the levelized electricity cost (LEC). In the ORC, the temperature glide during evaporation and condensation of the mixed working fluid enables better thermal match with the heat source and sink, thereby reducing the required heat transfer area and associated cost rate. Under multi-objective optimization targeting APR and LEC, the optimal decision variables are determined as 560 °C, 4.2, 0.71, 44 °C, and 0.71, respectively. Full article
(This article belongs to the Section B3: Carbon Emission and Utilization)
Show Figures

Figure 1

Back to TopTop