Optimization of a Hybrid Recompression Supercritical Carbon Dioxide–Organic Rankine Cycle Regenerative Combined System
Abstract
1. Introduction
2. Models and Methods
2.1. Research Subjects
- (1)
- The combined system maintains a stable operating state.
- (2)
- The temperature and pressure of the environmental conditions are 35 °C and 1.013 bar, respectively.
- (3)
- The variations in potential energy and kinetic energy are negligible.
- (4)
- The isentropic efficiencies of GT, GT2, T1, T2 and T3 are 85%, 85%, 80%, 80% and 75%, respectively.
- (5)
- The isentropic efficiencies of C1, C2, C3, and pump are 88%, 85%, 85% and 80%, respectively.
2.2. Model Description
2.2.1. Compactness Assessment Model
2.2.2. Exergoeconomic Model
2.3. Model Validation
3. Results
3.1. Influence Mechanisms of Supercritical CO2 Cycle Parameters
3.1.1. Analysis of the Impact of Compressor Inlet Temperature on Cycle Performance
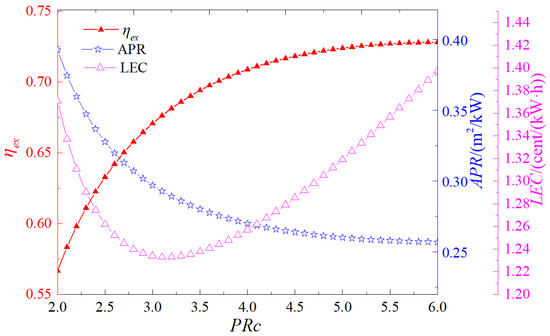
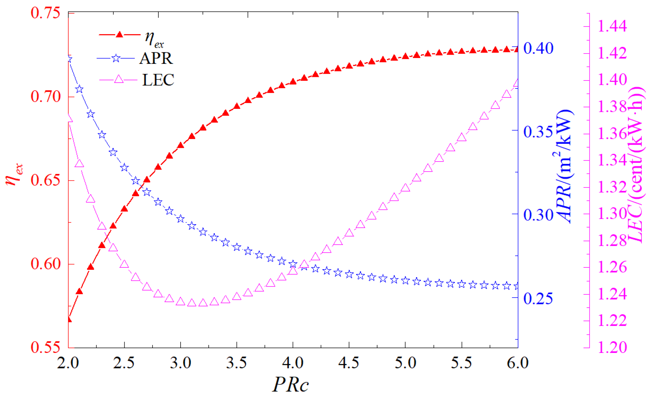
3.1.2. Analysis of the Influence of Pressure Ratio on Cycle Performance
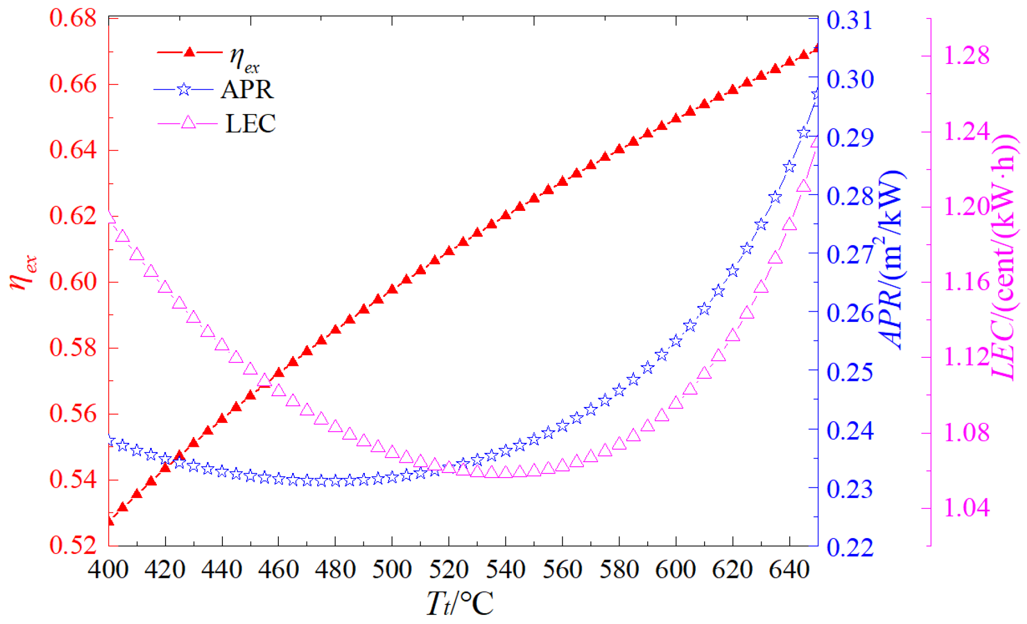
3.1.3. Analysis of the Influence of the Expander Inlet Temperature on the Cycle Performance
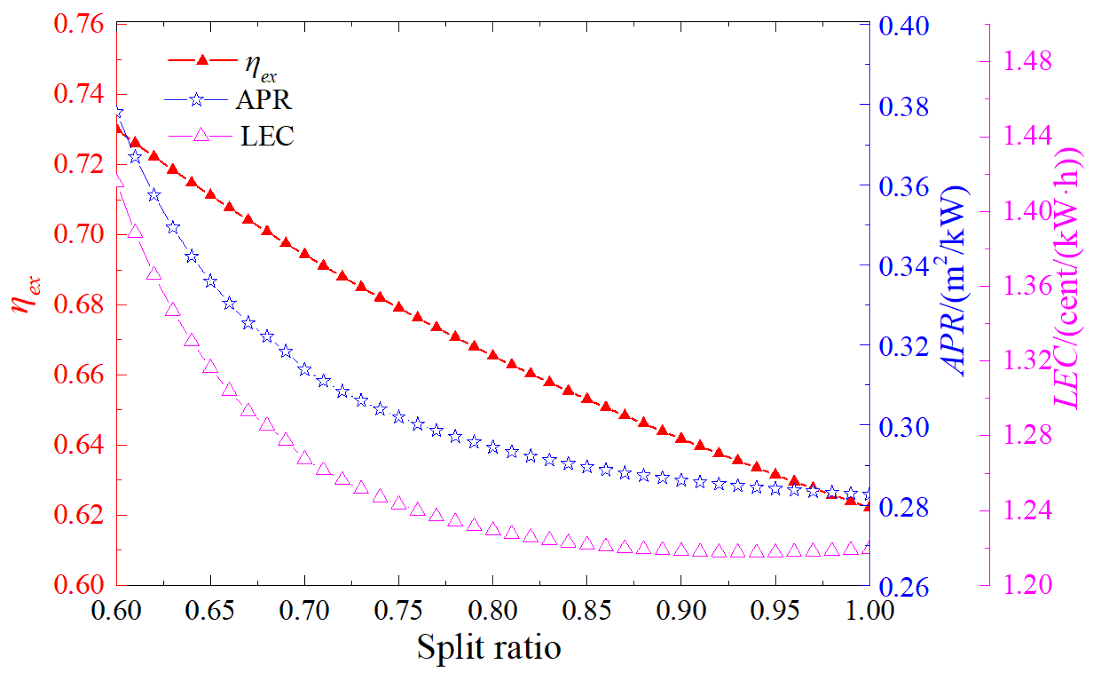
3.1.4. Analysis of the Influence of the Split Ratio on the Cycle Performance
3.2. Influence of Organic Rankine Cycle Parameters on System Performance
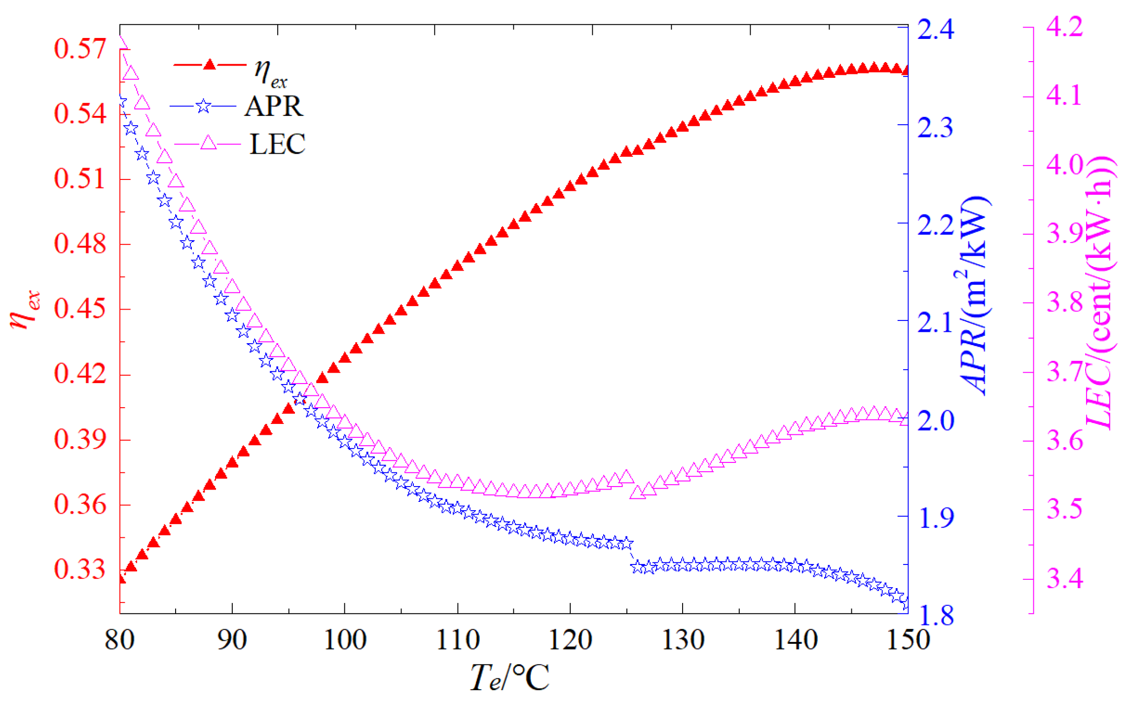
3.2.1. Analysis of the Impact of Evaporation Temperature on System Performance
3.2.2. Effect of Condensation Temperature on System Performance
3.2.3. Effect of Working Fluid Composition on System Performance
4. Discussion
5. Conclusions
- The supercritical carbon dioxide cycle exhibits enhanced thermodynamic performance, compactness, and economic efficiency when compression occurs near the critical point. The thermodynamic performance of the recompression cycle improves as the inlet temperature of the expander increases. Moreover, there exists an optimal expander inlet temperature that optimizes the APR and LEC of the recompression cycle. An increase in the split ratio is beneficial to the thermodynamic performance; however, it raises the APR and the LEC of the cycle.
- In the Organic Rankine Cycle, an increase in the evaporation temperature is advantageous for the thermodynamic performance. Nevertheless, it is not necessarily beneficial for the APR and the LEC. During the evaporation and condensation processes, the mixed working fluid exhibits temperature glide, enabling a better match with the heat source and heat sink. This reduces the cost rate of the heat exchanger.
- Through single-objective and multi-objective optimization of the system, the results indicate that when the LEC is adopted as the objective function, the decision variables—namely, the inlet temperature of the SCO2 expander, the pressure ratio of the SCO2 cycle, the split ratio of the SCO2 cycle, the evaporation temperature of the ORC, and the mass fraction of R601a—are optimized to 560 °C, 3.2, 0.87, 112 °C, and 0.19, respectively. In the case of multi-objective optimization considering both the exergy efficiency and the LEC, the corresponding decision variables are determined as 585 °C, 3.8, 0.73, 135 °C, and 0.67.
Author Contributions
Funding
Data Availability Statement
Conflicts of Interest
Nomenclature
| Glossary | Subscripts | ||
| A | heat transfer area, m2 | 0 | ambient (temperature) |
| APR | heat exchanger area per unit power output, m2/kW | 1, 2… | state points |
| C1 | compressor 1 | C1 | compressor 1 |
| C2 | compressor 2 | C2 | compressor 2 |
| CC | combustion chamber | GT | gas turbine |
| GT | gas turbine | CC | combustion chamber |
| h | specific enthalpy, kJ/kg | e | exit |
| PRc | pressure ratio | F | fuel |
| Te | evaporation temperature, °C | GT | gas turbine |
| Tc | condensation temperature, °C | H1 | heat exchanger 1 |
| LEC | levelized energy cost, cent/(kW·h) | H2 | heat exchanger 2 |
| LHV | lower heating value, kJ/kg | H3 | heat exchanger 3 |
| m | mass flow rate, kg/s | i | inlet |
| ORC | organic Rankine cycle | net | net power |
| P | pressure, bar | HTR | high-temperature regenerator |
| Q | heat capacity, kW | LTR | low-temperature regenerator |
| HTR | high-temperature regenerator | T1 | turbine 1 |
| LTR | low-temperature regenerator | T2 | turbine 2 |
| T | temperature, °C | co2 | cooler2 |
| T1 | turbine 1 | Greek symbols | |
| T2 | turbine 2 | α | coefficient |
| U | heat transfer coefficient, kW/(m2·K) | ηc | isentropic efficiency of compressor |
| W | power output, kW | ηt | isentropic efficiency of turbine |
| K | coefficient | ηex | exergy efficiency |
References
- Motamed, M.A.; Genrup, M.; Nord, L.O. Part-load thermal efficiency enhancement in gas turbine combined cycles by exhaust gas recirculation. Appl. Therm. Eng. 2024, 244, 122716. [Google Scholar] [CrossRef]
- Carcasci, C.; Ferraro, R.; Miliotti, E. Thermodynamic analysis of an organic Rankine cycle for waste heat recovery from gas turbines. Energy 2014, 65, 91–100. [Google Scholar] [CrossRef]
- Parma, E.J.; Wright, S.A.; Vernon, M.E.; Fleming, D.D.; Rochau, G.E.; Suo-Anttila, A.J. Supercritical CO2 Direct Cycle Gas Fast Reactor (SC-GFR) Concept; No. SAND2011-1804C; Sandia National Lab. (SNL-NM): Albuquerque, NM, USA, 2010. [Google Scholar]
- Dostal, V.; Hejzlar, P.; Driscoll, M.J. Driscoll. High-performance supercritical carbon dioxide cycle for next-generation nuclear reactors. Nucl. Technol. 2006, 154, 265–282. [Google Scholar] [CrossRef]
- Du, Y.; Yu, Z.; Yang, C.; Wang, H.; Zhang, H. Comprehensive evaluation of part-load exergy performance of a supercritical carbon dioxide recompression cycle controlled by various strategies. Energy Convers. Manag. 2024, 301, 118013. [Google Scholar] [CrossRef]
- Li, H.; Ju, Y.; Zhang, C. Optimization of supercritical carbon dioxide recompression Brayton cycle considering anti-condensation design of centrifugal compressor. Energy Convers. Manag. 2022, 254, 115207. [Google Scholar] [CrossRef]
- Feng, J.; Cheng, X.; Yan, Y.; Zhao, L.; Dong, H. Thermodynamic and thermo-economic analysis, performance comparison and parameter optimization of basic and regenerative organic Rankine cycles for waste heat recovery. Case Stud. Therm. Eng. 2023, 52, 103816. [Google Scholar] [CrossRef]
- Fu, G.; Zhang, S.; Ge, Z.; Li, J.; Xu, J.; Xie, J.; Xie, Z.; Yao, D.; Zhao, T.; Wang, Z.; et al. Thermo-Economic Performance Analysis of a Novel Organic Flash Rankine Cycle Using R600/R245fa Mixtures. Energies 2022, 15, 8055. [Google Scholar] [CrossRef]
- Wang, X.; Dai, Y. Exergoeconomic analysis of utilizing the transcritical CO2 cycle and the ORC for a recompression supercritical CO2 cycle waste heat recovery: A comparative study. Appl. Energy 2016, 170, 193–207. [Google Scholar] [CrossRef]
- Cao, Y.; Li, P.; Qiao, Z.; Ren, S.; Si, F. A concept of a supercritical CO2 Brayton and organic Rankine combined cycle for solar energy utilization with typical geothermal as auxiliary heat source: Thermodynamic analysis and optimization. Energy Rep. 2022, 8, 322–333. [Google Scholar] [CrossRef]
- He, X.; Du, Y.; Yang, C.; Hu, C.; Zhang, H.; Zhao, B.; Gao, J.; Zhao, W. Off-design performance of supercritical carbon dioxide cycle combined with organic Rankine cycle for maritime nuclear propulsion system under different control strategies. Int. J. Energy Res. 2022, 46, 23020–23038. [Google Scholar] [CrossRef]
- Nami, H.; Mahmoudi, S.; Nemati, A. Exergy, economic and environmental impact assessment and optimization of a novel cogeneration system including a gas turbine, a supercritical CO2 and an organic Rankine cycle (GT-HRSG/SCO2). Appl. Therm. Eng. 2017, 110, 1315–1330. [Google Scholar] [CrossRef]
- Mohammadi, K.; Ellingwood, K.; Powell, K. A novel triple power cycle featuring a gas turbine cycle with supercritical carbon dioxide and organic Rankine cycles: Thermoeconomic analysis and optimization. Energy Convers. Manag. 2020, 220, 113123. [Google Scholar] [CrossRef]
- Song, J.; Li, X.; Wang, K.; Markides, C.N. Parametric optimisation of a combined supercritical CO2 (S-CO2) cycle and organic Rankine cycle (ORC) system for internal combustion engine (ICE) waste-heat recovery. Energy Convers. Manag. 2020, 218, 112999. [Google Scholar] [CrossRef]
- Ochoa, G.V.; Valencia, G.; Forero, J.D.; Rojas, J.P. Thermoeconomic analysis of a combined supercritical CO2 reheating under different configurations of Organic Rankine cycle ORC as a bottoming cycle. Heliyon 2022, 8, 12. [Google Scholar] [CrossRef]
- Besarati, S.M.; Goswami, D.Y. Analysis of advanced supercritical carbon dioxide power cycles with a bottoming cycle for concentrating solar power applications. J. Sol. Energy Eng. 2014, 136, 010904. [Google Scholar] [CrossRef]
- Arjunan, P.; Muthu, J.H.G.; Radha, S.L.S.; Suryan, A. Selection of working fluids for solar organic Rankine cycle—A review. Int. J. Energy Res. 2022, 46, 20573–20599. [Google Scholar] [CrossRef]
- Kim, Y.M.; Sohn, J.L.; Yoon, E.S. Supercritical CO2 Rankine cycles for waste heat recovery from gas turbine. Energy 2017, 118, 893–905. [Google Scholar] [CrossRef]
- Turja, A.I.; Sadat, K.N.; Khan, Y.; Ehsan, M.M. Cascading the transcritical CO2 and organic Rankine cycles with supercritical CO2 cycles for waste heat recovery. Int. J. Thermofluids 2023, 20, 100508. [Google Scholar] [CrossRef]
- Sahu, M.K. Comparative exergoeconomics of power utilities: Air-cooled gas turbine cycle and combined cycle configurations. Energy 2017, 139, 42–51. [Google Scholar] [CrossRef]
- Akbari, A.D.; Mahmoudi, S.M. Thermoeconomic analysis & optimization of the combined supercritical CO2 (carbon dioxide) recompression Brayton/organic Rankine cycle. Energy 2014, 78, 501–512. [Google Scholar]
- Ancona, M.A.; Bianchi, M.; Branchini, L.; De Pascale, A.; Melino, F.; Peretto, A.; Torricelli, N. Systematic comparison of ORC and s-CO2 combined heat and power plants for energy harvesting in industrial gas turbines. Energies 2021, 14, 3402. [Google Scholar] [CrossRef]
- Sun, X.; Liu, L.; Zhang, T.; Zhao, Y.; Dai, Y. Optimization and comparative analysis of various organic Rankine cycle-based integrated systems for cooling and power cogeneration utilizing waste heat. Energy Convers. Manag. 2025, 325, 119328. [Google Scholar] [CrossRef]
- Zhao, T.; Xu, R.; Xin, Y.; He, K.; Ma, H.; Yuan, M.; Chen, Q. A comprehensive study of a low-grade heat-driven cooling and power system based on heat current method. J. Therm. Sci. 2024, 33, 1523–1541. [Google Scholar] [CrossRef]
- Xin, Y.-L.; Sun, Q.-H.; Zhao, T.; Li, X.; Chen, Q. A categorized and decomposed algorithm for thermal system simulation based on generalized benders decomposition. Energy 2023, 282, 128954. [Google Scholar] [CrossRef]









| Working Fluid | Critical Temperature/°C | Critical Pressure/MPa | Safety Classification | Ozone Depletion Potential (ODP) | Global Warming Potential (GWP) |
|---|---|---|---|---|---|
| R245fa | 154.01 | 3.65 | A1 | 0 | 858 |
| R601a | 187.20 | 3.38 | A3 | 0 | 0.001 |
| Components | Energy Balance Model | Investment Model |
|---|---|---|
| C1 | ||
| CC1 | ||
| CC2 | ||
| GT |
| Components | Energy Balance Model | Investment Model |
|---|---|---|
| C2 | ||
| C3 | ||
| H1 | ||
| H2 | ||
| H3 | ||
| HTR | ||
| LTR | ||
| T1 | ||
| T2 |
| Components | Energy Balance Model | Investment Model |
|---|---|---|
| T3 | ||
| Pump | ||
| H4 | ||
| Cooler2 |
| Operation and Performance Parameters | Reference | This Model | Deviation | |
|---|---|---|---|---|
| Input parameters | SCO2 circulation split ratio | 0.25 | 0.25 | / |
| Main compressor pressure ratio | 3.21 | 3.21 | / | |
| Condenser temperature/°C | 30.08 | 30.08 | / | |
| Regenerator hot end temperature differential/°C | 9.83 | 9.83 | / | |
| Output parameters | Thermal efficiency/% | 32.14 | 31.68 | 1.43% |
| Exergy efficiency/% | 48.85 | 48.23 | 1.27% | |
| Net income/(M$) | 41.30 | 40.18 | 2.71% | |
| Unit energy cost/($·GJ−1) | 11.2 | 11.7 | 4.46% | |
| Parameter | Value |
|---|---|
| Power Generation Capacity (MW) | 35.3 |
| Efficiency (%) | 37.4 |
| LEC/(cent·kW−1·h−1) | 6.15 |
| Pressure Ratio | 24 |
| Fuel Mass Flow Rate/(kg·s−1) | 2.03 |
| Air Mass Flow Rate/(kg·s−1) | 92.9 |
| Exhaust Gas Mass Flow Rate/(kg·s−1) | 94.93 |
| Exhaust Gas Temperature/°C | 670 |
| Objective Function | Tt/°C | PRc | Split Ratio | Te/°C | x |
|---|---|---|---|---|---|
| ηx = 0.578 | 640 | 5.8 | 0.63 | 143 | 0.96 |
| LEC = 4.21(cent·kW−1·h−1) | 560 | 3.2 | 0.87 | 112 | 0.19 |
| APR = 0.092 (m2·kW−1) | 480 | 5.7 | 0.91 | 132 | 0.15 |
| Multi-Objective Functions | Tt/°C | PRc | Split Ratio | Te/°C | x | |
|---|---|---|---|---|---|---|
| ηx = 0.571 | LEC = 4.27 (cent/kW·h) | 585 | 3.8 | 0.73 | 135 | 0.67 |
| APR = 0.104 (m2/kW) | LEC = 4.28 (cent/kW·h) | 524 | 3.7 | 0.86 | 123 | 0.18 |
| ηx = 0.556 | APR = 0.118 (m2/kW) | 561 | 5.2 | 0.75 | 137 | 0.59 |
Disclaimer/Publisher’s Note: The statements, opinions and data contained in all publications are solely those of the individual author(s) and contributor(s) and not of MDPI and/or the editor(s). MDPI and/or the editor(s) disclaim responsibility for any injury to people or property resulting from any ideas, methods, instructions or products referred to in the content. |
© 2025 by the authors. Licensee MDPI, Basel, Switzerland. This article is an open access article distributed under the terms and conditions of the Creative Commons Attribution (CC BY) license (https://creativecommons.org/licenses/by/4.0/).
Share and Cite
Hou, S.; Yang, S.; Yang, Q. Optimization of a Hybrid Recompression Supercritical Carbon Dioxide–Organic Rankine Cycle Regenerative Combined System. Energies 2025, 18, 5493. https://doi.org/10.3390/en18205493
Hou S, Yang S, Yang Q. Optimization of a Hybrid Recompression Supercritical Carbon Dioxide–Organic Rankine Cycle Regenerative Combined System. Energies. 2025; 18(20):5493. https://doi.org/10.3390/en18205493
Chicago/Turabian StyleHou, Shengya, Shuaiwei Yang, and Qiguo Yang. 2025. "Optimization of a Hybrid Recompression Supercritical Carbon Dioxide–Organic Rankine Cycle Regenerative Combined System" Energies 18, no. 20: 5493. https://doi.org/10.3390/en18205493
APA StyleHou, S., Yang, S., & Yang, Q. (2025). Optimization of a Hybrid Recompression Supercritical Carbon Dioxide–Organic Rankine Cycle Regenerative Combined System. Energies, 18(20), 5493. https://doi.org/10.3390/en18205493
