Optimization of Exergy Output Rate in a Supercritical CO2 Brayton Cogeneration System
Abstract
1. Introduction
1.1. S-CO2 Background and Motivation
1.2. Limitations of Classical Thermodynamics and the Development of FTT
1.3. Recent Research on S-CO2 Brayton Cycles
1.4. Research Gap and Contributions of This Study
2. Physical Model
3. Results and Discussion
3.1. Model Validation
3.2. Exergy Output Rate Analysis of System
3.3. Performance Optimization
3.4. Exergy Destruction Analysis
4. Conclusions
- (1)
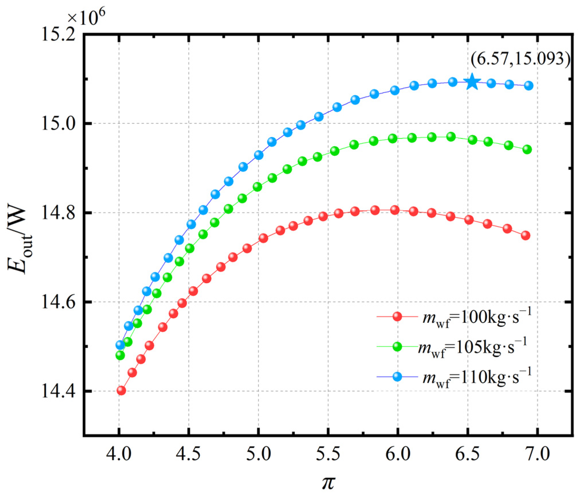
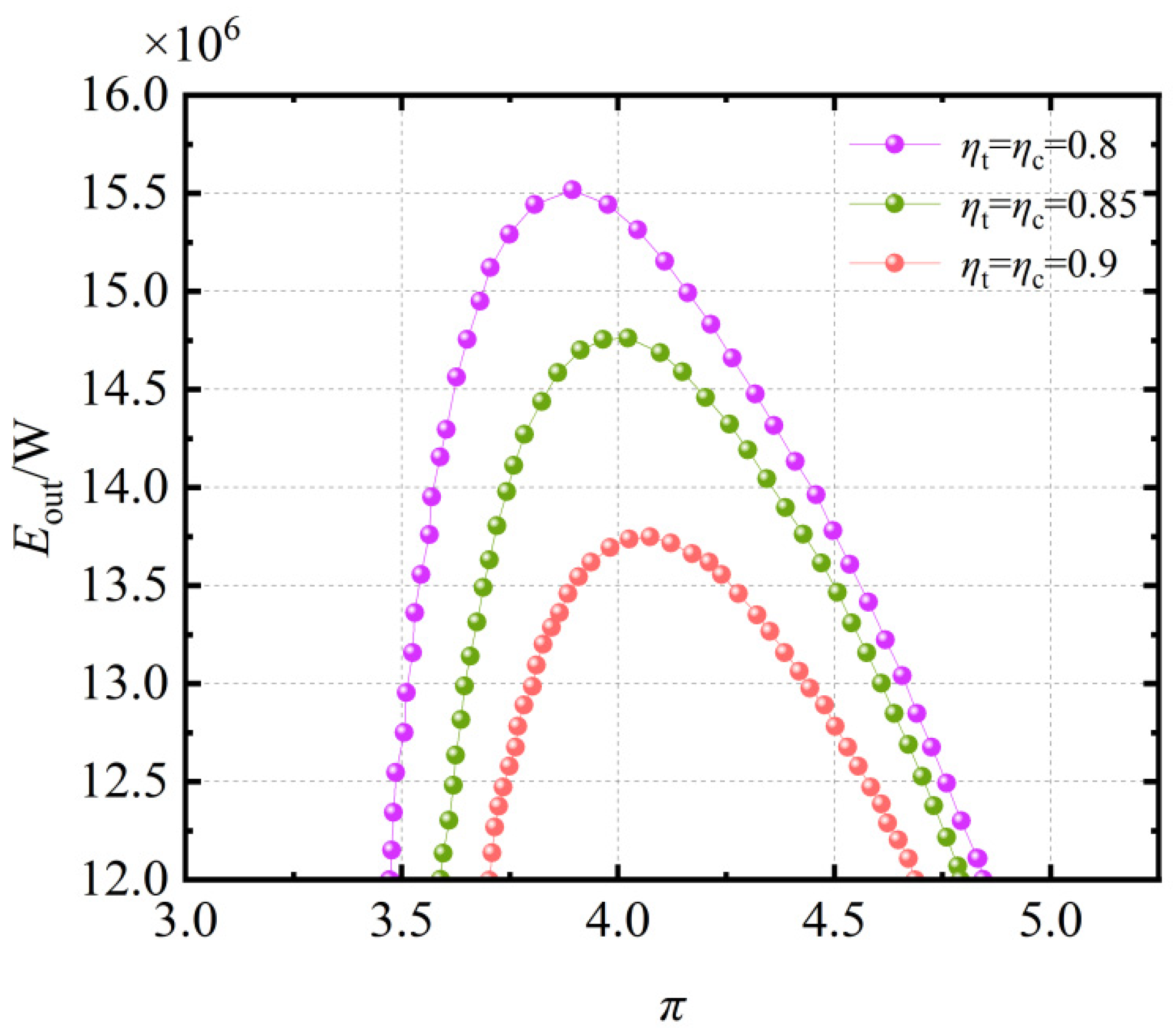
- For fixed compressor and turbine efficiencies, total thermal conductance, and working fluid mass flow rate, there exists an optimal pressure ratio that maximizes the exergy output rate. As the compressor and turbine efficiencies increase, the irreversibility within the system decreases, leading to an increase in both the exergy output rate and its corresponding optimal pressure ratio.
- (2)
- With the objective of maximizing the exergy output rate , performance analysis and optimization of the cycle were carried out. Under varying conditions of working fluid mass flow rate , turbine efficiency , compressor efficiency , and thermal conductance allocation ratio of the water heater , an optimal pressure ratio exists that maximizes the cycle exergy output rate. The optimal parameter combination was found to be a working fluid mass flow rate of 79 and a pressure ratio of 5.64. After optimization, the system’s exergy output rate improved by 16.06%. Increasing the thermal conductance allocation ratios of the recuperator and the cooler, while decreasing that of the heater, can enhance the system exergy output rate. The obtained results could provide theoretical guidance for the design of S-CO2 Brayton cycle cogeneration systems, with potential applications in industrial waste heat recovery and marine power systems.
- (3)
- This study has limitations, such as the assumption of constant total thermal conductance and fixed component efficiencies. Future work could consider part-load conditions, multi-objective optimization, and the integration of renewable energy sources.
Author Contributions
Funding
Data Availability Statement
Acknowledgments
Conflicts of Interest
Nomenclature
| cp | Specific heat capacity at constant pressure, J·kg−1·K−1 |
| E | Ecological function, W |
| h | Specific enthalpy, J·kg−1 |
| m | Mass flow rate, kg·s−1 |
| P | Power, W |
| P | Pressure, Mpa |
| Q | Heat transfer rate, W |
| T | Temperature, K |
| U | Heat conductance, |
| W | Net power output, W |
| Greek letters | |
| Heat conductance distribution ratio | |
| Pressure ratio | |
| Lowercase delta | |
| η | Efficiency |
| Subscripts | |
| c | Compressor |
| H | Heat source |
| hg | Flue gas |
| K | User |
| in | Inlet or inside |
| Cold source | |
| Max | Maximum |
| Min | Minimum |
| out | Outlet or outside |
| R | Regenerator |
| T | Gross amount |
| t | Turbine |
| wf | Working fluid |
| 0 | Ambient temperature |
| 1–7 | State points |
| Abbreviations | |
| CCES-CCHP | Comprehensive combined energy system-combined cooling, heating and power |
| CCHP | Combined cooling, heating, and power |
| CHP | Combined heat and power |
| CSP | Concentrated solar power |
| EGM | Entropy Generation Minimization |
| FTT | Finite-time thermodynamics |
| NN | Neural network |
| NSGA-II | Non-dominated sorting genetic algorithm II |
| TC-CCES | Transcritical compressed carbon dioxide energy storage system |
| S-CO2 | Supercritical Carbon-dioxide |
| OO | Optimization objective |
| OV | Optimization variable |
| SOO | Single-objective optimization |
References
- Huang, D.X.; Xu, J.G.; Chen, R.Y.; Meng, H. Large Eddy simulations of turbulent combustion of kerosene-air in a dual swirl gas turbine model combustor at high pressures. Fuel 2020, 282, 118820. [Google Scholar] [CrossRef]
- Li, C.; Hao, J.; Wang, X.C.; Ge, Z.H.; Du, X.Z. Dual-effect evaluation of heat transfer deterioration of supercritical carbon dioxide in variable cross-section horizontal tubes under heating conditions. Int. J. Heat Mass Transf. 2022, 183, 122103. [Google Scholar] [CrossRef]
- Wei, X.D. Utilization status and progress of carbon dioxide at home and abroad. Low Temp. Spec. Gases 1997, 4, 3–9. (In Chinese) [Google Scholar]
- Ahn, Y.; Bae, S.J.; Kim, M.; Cho, S.K.; Baik, S.; Lee, J.I.; Cha, J.E. Review of supercritical CO2 power cycle technology and current status of research and development. Nucl. Eng. Technol. 2015, 47, 647–661. [Google Scholar] [CrossRef]
- Yildiz, B.; Hohnholt, K.J.; Kazimi, M.S. Hydrogen production using high-temperature steam electrolysis supported by advanced gas reactor with supercritical CO2 cycles. Nucl. Technol. 2006, 155, 1–21. [Google Scholar] [CrossRef]
- Zhao, H.; Deng, Q.; Huang, W.; Wang, D.; Feng, Z.P. Thermodynamic and economic analysis and multi-objective optimization of supercritical CO2 Brayton cycles. J. Eng. Gas Turbines Power 2016, 138, 081602. [Google Scholar] [CrossRef]
- Wang, X.J.; Wang, S.S.; Wu, C.; Liu, Y.T.; Sun, X.D.; Chen, D. Thermodynamic analysis of supercritical CO2/Organic flash cycle for waste heat recovery in marine gas turbine. J. Xi’an Jiaotong Univ. 2019, 53, 71–78. (In Chinese) [Google Scholar]
- Andresen, B.; Berry, R.; Nitzan, A.; Salamon, P. Thermodynamics in finite time. I. The step-Carnot cycle. Phys. Rev. A 1977, 15, 2086–2093. [Google Scholar] [CrossRef]
- Salamon, P.; Andresen, B.; Berry, R. Thermodynamics in finite time. II. Potentials for finite-time processes. Phys. Rev. A 1977, 15, 2094. [Google Scholar] [CrossRef]
- Andresen, B. Finite-Time Thermodynamics; University of Copenhagen: Copenhagen, Denmark, 1983. [Google Scholar]
- Andresen, B.; Berry, R.S.; Ondrechen, M.J.; Salamon, P. Thermodynamics for processes in finite time. Acc. Chem. Res. 1984, 17, 266–271. [Google Scholar] [CrossRef]
- Andresen, B.; Salamon, P.; Berry, R.S. Thermodynamics in finite time. Phys. Today 1984, 37, 62–70. [Google Scholar] [CrossRef]
- Andresen, B. Current trends in finite-time thermodynamics. Angew. Chem. Int. Ed. 2011, 50, 2690–2704. [Google Scholar] [CrossRef]
- Berry, R.S.; Salamon, P.; Andresen, B. How it all began. Entropy 2020, 22, 908. [Google Scholar] [CrossRef] [PubMed]
- Andresen, B.; Salamon, P. Future perspectives of finite-time thermodynamics. Entropy 2022, 24, 690. [Google Scholar] [CrossRef]
- Bejan, A. The concept of irreversibility in heat exchanger design: Counter-flow heat exchangers for gas-to-gas applications. Trans. ASME J. Heat Transf. 1977, 99, 374–380. [Google Scholar] [CrossRef]
- Bejan, A. General criterion for rating heat-exchanger performance. Int. J. Heat Mass Transf. 1978, 21, 655–658. [Google Scholar] [CrossRef]
- Bejan, A. Entropy Generation Through Heat and Fluid Flow; Wiley: New York, NY, USA, 1982. [Google Scholar]
- Bejan, A. Entropy generation minimization: The new thermodynamics of finite-size devices and finite-time processes. J. Appl. Phys. 1996, 79, 1191–1218. [Google Scholar] [CrossRef]
- Bejan, A. Fundamentals of exergy analysis, entropy generation minimization, and the generation of flow architecture. Int. J. Energy Res. 2002, 26, 545–565. [Google Scholar] [CrossRef]
- Bejan, A. Entropy generation minimization, exergy analysis, and the constructal law. Ara. J. Sci. Eng. 2013, 38, 329–340. [Google Scholar] [CrossRef]
- Chen, L.G.; Wu, C.; Sun, F.R. Finite time thermodynamic optimization or entropy generation minimization of energy systems. J. Non-Equilibrium Thermodyn. 1999, 24, 327–359. [Google Scholar] [CrossRef]
- Chen, L.G.; Meng, F.K.; Sun, F.R. Thermodynamic analyses and optimization for thermoelectric devices: The state of the arts. Sci. China Technol. Sci. 2016, 59, 442–455. [Google Scholar] [CrossRef]
- Ge, Y.L.; Chen, L.G.; Sun, F.R. Progress in finite time thermodynamic studies for internal combustion engine cycles. Entropy 2016, 18, 139. [Google Scholar] [CrossRef]
- Bejan, A. Theory of heat transfer-irreversible power plants. Int. J. Heat Mass Transf. 1988, 31, 1211–1219. [Google Scholar] [CrossRef]
- Chen, L.G.; Sun, F.R.; Wu, C. Performance analysis of an irreversible Brayton heat engine. J. Inst. Energy 1997, 70, 2–8. [Google Scholar]
- Xia, S.J.; Chen, L.G.; Sun, F.R. Optimal paths for minimizing entransy dissipation during heat transfer processes with generalized radiative heat transfer law. Appl. Math. Model. 2010, 34, 2242–2255. [Google Scholar] [CrossRef]
- Lanzetta, F. Compressor power and efficiency optimization: A finite-time thermodynamics approach. Entropy 2025, 27, 842. [Google Scholar] [CrossRef]
- Feidt, M. Optimisation d’un cycle de Brayton moteur en contact avec des capacites thermiques finies. Rev. Gen. Therm. 1996, 35, 662–666. [Google Scholar] [CrossRef]
- Chen, L.G.; Ni, N.; Cheng, G.; Sun, F.; Wu, C. Performance analysis for a real closed regenerated Brayton cycle via methods of finite-time thermodynamics. Int. J. Ambient Energy 1999, 20, 95–104. [Google Scholar] [CrossRef]
- Chen, L.G.; Sun, F.R.; Wu, C. Effect of heat resistance on performance of closed gas turbine regenerative cycle. Int. J. Power Energy Syst. 1999, 19, 141–145. [Google Scholar]
- Yang, Y.P.; Huang, Y.L.; Jiang, P.X.; Zhu, Y.H. Multi-objective optimization of combined cooling, heating, and power systems with supercritical CO2 recompression Brayton Cycle. Appl. Energy 2020, 271, 115189. [Google Scholar] [CrossRef]
- Khadse, A.B.; Lanchette, L.; Kapat, J.; Vasu, S.; Hossain, J.; Donazzolo, A. Optimization of supercritical CO2 Brayton cycle for simple cycle gas turbines exhaust heat recovery using genetic algorithm. J. Energy Resour. Technol. 2018, 140, 071601. [Google Scholar] [CrossRef]
- Jin, Q.L.; Xia, S.J.; Xie, T.C.; Huang, J.L. Multi-objective optimization of recompression S-CO2 cycle for gas turbine waste heat recovery. Appl. Therm. Eng. 2023, 229, 120601. [Google Scholar] [CrossRef]
- Jin, Q.L.; Xia, S.J.; Li, P.L.; Xie, T.C. Multi-objective performance optimization of regenerative S-CO2 Brayton cycle based on neural network prediction. Energy Convers. Manag. X 2022, 14, 100203. [Google Scholar] [CrossRef]
- Jin, Q.L.; Xia, S.J.; Xie, T.C. Ecological function analysis and optimization of a recompression S-CO2 cycle for gas turbine waste heat recovery. Entropy 2022, 24, 732. [Google Scholar] [CrossRef]
- Chen, J.L.; Jin, Q.L.; Huang, J.L. Ecological function and exergy efficiency of split-heating split-expansion S-CO2 Brayton cycle. In Proceedings of the 2023 9th International Conference on Advances in Energy Resources and Environment Engineering, Shanghai, China, 20–22 September 2024; pp. 668–677. [Google Scholar]
- Yousef, M.S.; Santana, D. Thermodynamic and exergoeconomic optimization of a new combined cooling and power system based on supercritical CO2 recompression Brayton cycle. Energy Convers. Manag. 2023, 295, 117592. [Google Scholar] [CrossRef]
- Fashtali, M.S.; Javaherdeh, K.; Naghashzadegan, M. Enhancing energy efficiency and cost-effectiveness of a solar-driven supercritical CO2 Brayton cycle through multi-objective optimization. Energy Convers. Manag. X 2025, 27, 101098. [Google Scholar]
- Qi, W.; Wang, W.H.; Chen, L.G. Power and efficiency performance analyses for a closed endoreversible binary Brayton cycle with two isothermal processes. Therm. Sci. Eng. Prog. 2018, 7, 131–137. [Google Scholar] [CrossRef]
- Na, S.; Kim, M.S.; Baik, Y.J.; Kim, M. Optimal allocation of heat exchangers in a supercritical carbon dioxide power cycle for waste heat recovery. Energy Convers. Manag. 2019, 199, 112002. [Google Scholar] [CrossRef]
- Wang, W.H.; Chen, L.G.; Sun, F.R.; Wu, C. Performance analysis for an irreversible closed variable-temperature heat reservoir intercooled regenerated Brayton cycle. Energy Convers. Manag. 2003, 44, 2713–2732. [Google Scholar] [CrossRef]
- Jin, Q.L.; Xia, S.J.; Wang, C. Exergy efficiency analysis and optimization of a preheated S-CO2 Brayton cycle. Proc. CSEE 2023, 43, 1072–1084. (In Chinese) [Google Scholar]
- Xia, S.J.; Jin, Q.L.; Wu, Z.X. Exergy efficiency analysis and optimization of a recuperated S-CO2 Brayton cycle. J. South China Univ. Technol. (Nat. Sci. Ed.) 2022, 55, 111–120. (In Chinese) [Google Scholar]
- Chen, L.G.; Sun, F.R.; Wu, C. Theoretical analysis of the performance of a regenerative closed Brayton cycle with internal irreversibilities. Energy Convers. Manag. 1997, 38, 871–877. [Google Scholar] [CrossRef]
- Chen, L.G.; Wang, J.H.; Sun, F.R. Power density optimization of endoreversible closed intercooled regenerated Brayton cycle. J. Energy Ins. 2007, 80, 105–109. [Google Scholar] [CrossRef]
- Chen, L.G.; Wang, J.H.; Sun, F.R.; Wu, C. Power density optimization of an irreversible variable-temperature heat reservoir closed intercooled regenerated Brayton cycle. Int. J. Ambient Energy 2009, 30, 9–26. [Google Scholar] [CrossRef]
- Chen, L.G.; Zheng, J.L.; Sun, F.R.; Wu, C. Power, power density and efficiency optimization for a closed cycle helium turbine nuclear power plant. Energy Convers. Manag. 2003, 44, 2393–2401. [Google Scholar] [CrossRef]
- Chen, L.G.; Sun, F.R.; Wu, C. Optimum heat conductance distribution for power optimization of a regenerated closed Brayton cycle. Int. J. Green Energy 2005, 2, 243–258. [Google Scholar] [CrossRef]
- Zhou, K.K.; Wang, J.F.; Xia, J.X.; Guo, Y.M.; Zhao, P.; Dai, Y.P. Design and performance analysis of a supercritical CO2 radial inflow turbine. J. Appl. Thermal Eng. 2019, 167, 114757. [Google Scholar] [CrossRef]
- Johannsen, M.G.; Rønne, M.S. Pitfalls of exergy analysis. J. Non-Equilibrium Thermodyn. 2017, 42, 223–231. [Google Scholar]








| Parameter | Value | Unit |
|---|---|---|
| 12.65 | ||
| 19.31 | MPa | |
| 7.63 | MPa | |
| 0.8 | ||
| 0.8 | ||
| 9 | ||
| 50 | ||
| 792.15 | K | |
| 298.15 | K |
| Parameter | Reference [50] | This Paper | Comparative Results |
|---|---|---|---|
| T1 | 305.15 K | 305.44 K | 0.01% |
| T2 | 335.88 K | 347.88 K | 3.57% |
| T3 | 485.25 K | 480.85 K | −0.91% |
| T4 | 673.15 K | 680.23 K | 1.05% |
| T5 | 584.02 K | 598.31 K | 2.45% |
| T6 | 344.97 K | 347.37 K | 0.70% |
| Wnet | 0.80 MW | 0.82 MW | 2.50% |
| Parameter | Reference [50] | This Paper | Comparative Results |
|---|---|---|---|
| T1 | 305.15 K | 305.45 K | 0.01% |
| T2 | 335.88 K | 339.80 K | 3.92% |
| T3 | 485.25 K | 485.01 K | −0.05% |
| T4 | 673.15 K | 680.15 K | 1.04% |
| T5 | 584.02 K | 582.99 K | −0.02% |
| T6 | 344.97 K | 335.20 K | 2.83% |
| Wnet | 0.80 MW | 0.79 MW | −1.25% |
| Parameter | Value | Unit |
|---|---|---|
| 805.15 | ||
| 298.15 | ||
| 298.15 | ||
| 89.9 | ||
| 1000 | ||
| 100 | ||
| 100 | ||
| 7.7 | ||
| 30.8 | ||
| 0.89 | ||
| 0.89 | ||
| 0.45 | ||
| 0.15 | ||
| 0.3 | ||
| 0.1 | ||
| 4181.3 | ||
| 1103.7 | ||
| UAT | 3000 | /K |
| Parameter Name | T1 | |
|---|---|---|
| samples | 8000 | 8000 |
| input nodes | 4 | 4 |
| output | 1 | 1 |
| Hidden layers | 2 | 2 |
| Number of hidden layer nodes layer nodes | 30, 15 | 30, 15 |
| Hidden layer activation function | tansig, logsig | tansig, logsig |
| Training times | 80,000 | 80,000 |
| Minimum number of confirmation failures | 60 | 39 |
| Learning rate | 1.0 | 0.4 |
| Minimum training target error | 3 × 10−6 | 2 × 10−7 |
| Performance function | mse | mse |
| Parameters and Objective | Initial Design Point | First Optimization Result | Second Optimization Result | Third Optimization Result |
|---|---|---|---|---|
| 6.570 | 6.570 | 2.950 | 5.640 | |
| 100.00 | 100.00 | 83.94 | 79.00 | |
| 0.150 | 0.185 | 0.229 | 0.161 | |
| 0.450 | 0.382 | 0.346 | 0.301 | |
| 0.300 | 0.264 | 0.285 | 0.345 | |
| 0.100 | 0.164 | 0.184 | 0.192 | |
| 15.093 | 15.912 | 16.844 | 17.517 | |
| —— | 5.426 | 11.601 | 16.062 |
| Optimization Variables | Optimization Objective | Optimization Results | |||||
|---|---|---|---|---|---|---|---|
| Eout/×106 W | δEout/% | ||||||
| 70 | 6.744 | 0.050 | 0.200 | 0.406 | 0.344 | 17.297 | 14.603 |
| 73 | 6.200 | 0.090 | 0.230 | 0.386 | 0.293 | 17.318 | 14.741 |
| 76 | 6.021 | 0.111 | 0.251 | 0.355 | 0.283 | 17.484 | 15.842 |
| 79 | 5.640 | 0.161 | 0.301 | 0.345 | 0.192 | 17.517 | 16.062 |
| 82 | 5.201 | 0.192 | 0.321 | 0.314 | 0.172 | 17.457 | 15.666 |
| 85 | 5.354 | 0.222 | 0.352 | 0.304 | 0.122 | 17.416 | 15.393 |
| 88 | 4.601 | 0.243 | 0.382 | 0.263 | 0.112 | 17.103 | 13.317 |
| 91 | 4.202 | 0.273 | 0.392 | 0.232 | 0.103 | 16.681 | 10.522 |
| 94 | 4.101 | 0.303 | 0.403 | 0.173 | 0.121 | 16.372 | 8.472 |
| 97 | 3.843 | 0.344 | 0.429 | 0.141 | 0.086 | 15.436 | 4.921 |
| 100 | 3.203 | 0.395 | 0.443 | 0.100 | 0.063 | 14.504 | 3.387 |
| 103 | 2.994 | 0.403 | 0.445 | 0.100 | 0.052 | 14.304 | 2.235 |
| 106 | 2.544 | 0.411 | 0.455 | 0.100 | 0.034 | 14.283 | 1.371 |
| Component | Initial Exergy Destruction (kW) | Optimized Exergy Destruction (kW) | Reduction Rate (%) |
|---|---|---|---|
| Compressor | 850 | 752 | 11.5 |
| Turbin | 720 | 630 | 12.5 |
| Heater | 1500 | 1275 | 15.0 |
| Recuperator | 600 | 540 | 10.0 |
| Cooler | 300 | 315 | −5.0 |
| Water Heater | 200 | 188 | 6.0 |
| System Total | 4170 | 3700 | 11.3 |
Disclaimer/Publisher’s Note: The statements, opinions and data contained in all publications are solely those of the individual author(s) and contributor(s) and not of MDPI and/or the editor(s). MDPI and/or the editor(s) disclaim responsibility for any injury to people or property resulting from any ideas, methods, instructions or products referred to in the content. |
© 2025 by the authors. Licensee MDPI, Basel, Switzerland. This article is an open access article distributed under the terms and conditions of the Creative Commons Attribution (CC BY) license (https://creativecommons.org/licenses/by/4.0/).
Share and Cite
Shan, J.; Xia, S.; Jin, Q. Optimization of Exergy Output Rate in a Supercritical CO2 Brayton Cogeneration System. Entropy 2025, 27, 1078. https://doi.org/10.3390/e27101078
Shan J, Xia S, Jin Q. Optimization of Exergy Output Rate in a Supercritical CO2 Brayton Cogeneration System. Entropy. 2025; 27(10):1078. https://doi.org/10.3390/e27101078
Chicago/Turabian StyleShan, Jiachi, Shaojun Xia, and Qinglong Jin. 2025. "Optimization of Exergy Output Rate in a Supercritical CO2 Brayton Cogeneration System" Entropy 27, no. 10: 1078. https://doi.org/10.3390/e27101078
APA StyleShan, J., Xia, S., & Jin, Q. (2025). Optimization of Exergy Output Rate in a Supercritical CO2 Brayton Cogeneration System. Entropy, 27(10), 1078. https://doi.org/10.3390/e27101078
