Sign in to use this feature.

Years

Between: -

Subjects

remove_circle_outline
remove_circle_outline
remove_circle_outline
remove_circle_outline
remove_circle_outline
remove_circle_outline
remove_circle_outline
remove_circle_outline
remove_circle_outline

Journals

Article Types

Countries / Regions

remove_circle_outline
remove_circle_outline
remove_circle_outline

Search Results (253)

Search Parameters:
Keywords = stiffness and damping properties

Order results
Result details
Results per page
Select all
Export citation of selected articles as:
14 pages, 4436 KB  
Article
Identification of Mechanical Parameters of the Silicon Structure of a Capacitive MEMS Accelerometer
by Kamil Kurpanik, Klaudiusz Gołombek, Edyta Krzystała, Jonasz Hartwich and Sławomir Kciuk
Materials 2025, 18(24), 5676; https://doi.org/10.3390/ma18245676 - 17 Dec 2025
Abstract
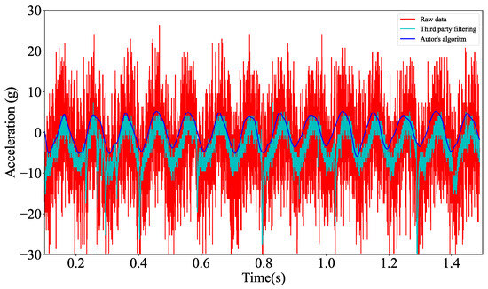
The aim of this study was to conduct an advanced analysis of the MEMS sensor, including both experimental tests and numerical simulations, in order to determine its mechanical properties and operational dynamics in detail. It is challenging to find publications in the literature [...] Read more.
The aim of this study was to conduct an advanced analysis of the MEMS sensor, including both experimental tests and numerical simulations, in order to determine its mechanical properties and operational dynamics in detail. It is challenging to find publications in the literature that are not based on theoretical assumptions or general manufacturer data, which do not reflect the actual microstructural characteristics of the sensor. This study uses a numerical model developed in MATLAB/Simulink, which allows the experimentally determined material characteristics to be combined with predictive dynamic modelling. The model takes into account key mechanical parameters such as stiffness, damping and response to dynamic loads, and the built-in optimisation algorithm allows the structural parameters of the MEMS accelerometer to be estimated directly from experimental data. In addition, SEM microscopic studies and EDS chemical composition analysis provided detailed information on the sensor’s microstructure, allowing its impact on mechanical properties and dynamic parameters to be assessed. The integration of advanced experimental methods with numerical modelling has resulted in a model whose response closely matches the measurement results, which is an important step towards further research on design optimisation and improving the reliability of MEMS sensors in diverse operating conditions. Full article
(This article belongs to the Special Issue Multiscale Mechanical Behaviors of Advanced Materials and Structures)
Show Figures

Figure 1

21 pages, 3854 KB  
Article
Model Updating of an Offshore Wind Turbine Support Structure Based on Modal Identification and Bayesian Inference
by Chi Yu, Jiayi Deng, Chao Chen, Mumin Rao, Congtao Luo and Xugang Hua
J. Mar. Sci. Eng. 2025, 13(12), 2354; https://doi.org/10.3390/jmse13122354 - 10 Dec 2025
Viewed by 141
Abstract
Offshore wind turbine support structures are in harsh and unsteady marine environments, and their dynamic characteristics could change gradually after long-term service. To better understand the status and improve remaining life estimation, it is essential to conduct in situ measurement and update the [...] Read more.
Offshore wind turbine support structures are in harsh and unsteady marine environments, and their dynamic characteristics could change gradually after long-term service. To better understand the status and improve remaining life estimation, it is essential to conduct in situ measurement and update the numerical models of these support structures. In this paper, the modal properties of a 5.5 MW offshore wind turbine were first identified by a widely used operational modal analysis technique, frequency-domain decomposition, given the acceleration data obtained from eight sensors located at four different heights on the tower. Then, a finite element model was created in MATLAB R2020a and a set of model parameters including scour depth, foundation stiffness, hydrodynamic added mass and damping coefficients was updated in a Bayesian inference frame. It is found that the posterior distributions of most parameters significantly differ from their prior distributions, except for the hydrodynamic added mass coefficient. The predicted natural frequencies and damping ratios with the updated parameters are close to those values identified with errors less than 2%. But relatively large differences are found when comparing some of the predicted and identified mode shape coefficients. Specifically, it is found that different combinations of the scour depth and foundation stiffness coefficient can reach very similar modal property predictions, meaning that model updating results are not unique. This research demonstrates that the Bayesian inference framework is effective in constructing a more accurate model, even when confronting the inherent challenge of non-unique parameter identifiability, as encountered with scour depth and foundation stiffness. Full article
Show Figures

Figure 1

19 pages, 5946 KB  
Article
Impact of Chemical Treatment on Banana-Fibre-Reinforced Carbon–Kevlar Hybrid Composites: Short-Beam Shear Strength, Vibrational, and Acoustic Properties
by Kanchan B. M., Kulmani Mehar and Yogeesha Pai
J. Compos. Sci. 2025, 9(12), 661; https://doi.org/10.3390/jcs9120661 - 2 Dec 2025
Viewed by 402
Abstract
This study evaluates the effect of chemical treatments on the short-beam shear strength, vibrational, and acoustic performance of banana-fibre-reinforced carbon–Kevlar hybrid composites. Banana fibres were treated with 5% NaOH and 0.5% KMnO4 to improve fibre surface characteristics and interfacial bonding within a [...] Read more.
This study evaluates the effect of chemical treatments on the short-beam shear strength, vibrational, and acoustic performance of banana-fibre-reinforced carbon–Kevlar hybrid composites. Banana fibres were treated with 5% NaOH and 0.5% KMnO4 to improve fibre surface characteristics and interfacial bonding within a sandwich laminate of carbon–Kevlar intraply skins and banana fibre core fabricated by hand lay-up and compression moulding. Short-beam shear strength (SBSS) increased from 14.27 MPa in untreated composites to 17.65 MPa and 19.52 MPa with KMnO4 and NaOH treatments, respectively, due to enhanced fibrematrix adhesion and removal of surface impurities. Vibrational analysis showed untreated composites had low stiffness (7780.23 N/m) and damping ratio (0.00716), whereas NaOH treatment increased stiffness (9480.51 N/m) and natural frequency (28.68 Hz), improving rigidity and moderate damping. KMnO4 treatment yielded the highest damping ratio (0.0557) with reduced stiffness, favouring vibration energy dissipation. Acoustic tests revealed KMnO4-treated composites have superior sound transmission loss across low to middle frequencies, peaking at 15.6 dB at 63 Hz, indicating effective acoustic insulation linked to better mechanical damping. Scanning electron microscopy confirmed enhanced fibre impregnation and fewer defects after treatments. These findings highlight the significant role of chemical surface modification in optimising structural integrity, vibration control, and acoustic insulation in sustainable banana fibre/carbon–Kevlar hybrids. The improved multifunctional properties suggest promising applications in aerospace, automotive, and structural fields requiring lightweight, durable, and sound-mitigating materials. Full article
(This article belongs to the Section Polymer Composites)
Show Figures

Figure 1

21 pages, 2934 KB  
Article
Tribological Assessment of FFF-Printed TPU Under Dry Sliding Conditions for Sustainable Mobility Components
by Patricia Isabela Brăileanu, Marius-Teodor Mocanu and Nicoleta Elisabeta Pascu
Future Transp. 2025, 5(4), 184; https://doi.org/10.3390/futuretransp5040184 - 2 Dec 2025
Viewed by 234
Abstract
We are witnessing a global commitment to sustainable mobility that requires advanced materials and manufacturing techniques, such as fused filament fabrication (FFF), to create lightweight, durable, and recyclable machine components. Acknowledging that friction and wear significantly contribute to energy loss globally, developing high-performance [...] Read more.
We are witnessing a global commitment to sustainable mobility that requires advanced materials and manufacturing techniques, such as fused filament fabrication (FFF), to create lightweight, durable, and recyclable machine components. Acknowledging that friction and wear significantly contribute to energy loss globally, developing high-performance polymeric materials with customizable properties is essential for greener mechanical systems. FFF inherently drives resource efficiency and offers the geometric freedom necessary to engineer complex internal structures, such as the gyroid pattern, enabling substantial mass reduction. This study evaluates the tribological performance of FFF-printed thermoplastic polyurethane (TPU 82A) specimens fabricated with three distinct gyroid infill densities (10%, 50%, and 100%). Ball-on-disc testing was conducted under dry sliding conditions against a 100Cr6 spherical ball, with a constant normal load of 5 N, resulting in an initial maximum theoretical Hertz contact pressure of 231 MPa, over a total sliding distance of 300 m. Shore A hardness and surface roughness (Ra) were also measured to correlate mechanical and structural characteristics with frictional response. Results reveal a non-monotonic relationship between infill density and friction, with a particular absence of quantifiable mass loss across all samples. The intermediate 50% infill (75.9 ± 1.80 Shore A) exhibited the peak mean friction coefficient of μ¯=1.002 (μmax=1.057), which can be attributed to its balanced structural stiffness that promotes localized surface indentation and an increased real contact area during sliding. By contrast, the rigid 100% infill (86.3 ± 1.92 Shore A) yielded the lowest mean friction (μ¯ = 0.465), while the highly compliant 10% infill (44.3 ± 1.94 Shore A) demonstrated viscoelastic energy damping, stabilizing at μ¯ = 0.504. This work highlights the novelty of using FFF gyroid architectures to precisely tune TPU 82A’s tribological behavior, offering design pathways for sustainable mobility. The ability to tailor components for low-friction operations (e.g., μ ≈ 0.465 for bushings) or high-grip requirements (e.g., μ ≈ 1.002 for anti-slip systems) provides eco-efficient solutions for automotive, railway, and micromobility applications, while the exceptional wear resistance supports extended service life and material circularity. Full article
Show Figures

Figure 1

22 pages, 4624 KB  
Article
Optimizing Timber Roof Diaphragms for Seismic Damping in the Retrofit of Masonry Churches
by Nicola Longarini, Pietro Crespi and Luigi Cabras
Appl. Sci. 2025, 15(23), 12705; https://doi.org/10.3390/app152312705 - 30 Nov 2025
Viewed by 199
Abstract
This paper addresses the seismic retrofitting of masonry churches with timber roofs by designing a ductile roof diaphragm with a new energy-based methodology. The proposed approach relies on nonlinear dynamic analyses conducted on an equivalent structural model. In this model, masonry nonlinearity is [...] Read more.
This paper addresses the seismic retrofitting of masonry churches with timber roofs by designing a ductile roof diaphragm with a new energy-based methodology. The proposed approach relies on nonlinear dynamic analyses conducted on an equivalent structural model. In this model, masonry nonlinearity is represented by rotational plastic hinges at the base of the equivalent wall elements. Roof system nonlinearity is modeled by shear plastic hinges simulating the energy dissipation of steel connections. In the equivalent model, the earthquake is implemented using a set of spectrum-compatible accelerograms. The dynamic response of the aforementioned plastic hinges is analyzed in terms of equivalent damping during the seismic events by extracting the relevant hysteresis cycles. This allows for the evaluation of both dissipated and strain energy. The estimation of the equivalent damping ratio provided by the roof diaphragm is based on multiple design configurations. After identifying the maximum achievable damping ratio, the study suggests ways to determine the corresponding roof stiffness, which defines the optimal retrofit configuration. This configuration is then implemented in a three-dimensional model that includes nonlinear properties for both masonry and connection elements, allowing a validation of the seismic response obtained from the initial equivalent model with a more complex and detailed model. Finally, a seismic response comparison is conducted between the optimized dissipated energy configuration, based on damping ratio evaluation, and an overstrength design variant determined considering the elastic behavior of the roof connections. Full article
Show Figures

Figure 1

17 pages, 3410 KB  
Article
Research on Temperature Dependence and Temperature Self-Adaptability of Laminated Rubber Isolation Bearings
by Changsheng Wang, Tao Li and Rongzheng Xu
Buildings 2025, 15(23), 4333; https://doi.org/10.3390/buildings15234333 - 28 Nov 2025
Viewed by 146
Abstract
As the rubber constituting laminated rubber isolation bearings is a temperature-sensitive material, its performance is susceptible to temperature disturbances. Firstly, this study systematically analyzed the effects of temperature on the mechanical properties of natural rubber bearings (LNR), lead–rubber bearings (LRB), and high–damping rubber [...] Read more.
As the rubber constituting laminated rubber isolation bearings is a temperature-sensitive material, its performance is susceptible to temperature disturbances. Firstly, this study systematically analyzed the effects of temperature on the mechanical properties of natural rubber bearings (LNR), lead–rubber bearings (LRB), and high–damping rubber bearings (HDR), including horizontal equivalent stiffness, equivalent damping ratio, and yield load. The variation trends of the mechanical property parameters of the three types of bearings with temperature are basically the same. LNR exhibits a strong linear variation law, while the mechanical properties of HDR bearings are the most sensitive to temperature changes. Secondly, based on the analysis of the temperature characteristics of the mechanical properties of the bearings, the temperature dependence of the seismic mitigation effect of the bearings was further studied. The results show that the displacement response of the isolation layer has the best temperature stability when using LRB bearings, and the displacement response of the superstructure is most susceptible to temperature changes when using HDR bearings. When the temperature is lower than the normal temperature, the displacement responses of isolation systems with different types of bearings all show the characteristic that the lower the temperature, the greater the deviation from the displacement response at normal temperature. Finally, to overcome the influence of temperature, a temperature-controlled isolation rubber bearing integrating laminated rubber isolation bearings with a temperature regulation system was proposed. This can solve the problems that the mechanical properties of rubber bearings deteriorate and the aging rate accelerates in a wide temperature range, which affect their isolation effect and service life. Thus, it endows new theoretical connotations to rubber isolation bearings and has practical application value for engineering seismic resistance. Full article
(This article belongs to the Section Building Structures)
Show Figures

Figure 1

8 pages, 1238 KB  
Proceeding Paper
Effect of Lubricant Aging and Flow Rate on Bifurcation Speed and Vibration in Automotive Turbochargers
by Máté Boros, Adam Agocs and Márk Pesthy
Eng. Proc. 2025, 113(1), 14; https://doi.org/10.3390/engproc2025113014 - 28 Oct 2025
Viewed by 193
Abstract
Lubricants significantly influence the performance and durability of internal combustion engines (ICEs), yet fresh oils seldom represent in-service conditions. To replicate realistic end-of-life scenarios, lubricants were artificially degraded in sufficient quantities for experimental investigation. This study introduces a methodology to evaluate the impact [...] Read more.
Lubricants significantly influence the performance and durability of internal combustion engines (ICEs), yet fresh oils seldom represent in-service conditions. To replicate realistic end-of-life scenarios, lubricants were artificially degraded in sufficient quantities for experimental investigation. This study introduces a methodology to evaluate the impact of altered lubricants on turbocharger dynamics under controlled laboratory conditions. A comparative analysis was performed on turbochargers operating with fresh and aged oils of varying compositions to establish correlations between lubricant properties and vibrational response. Particular attention was given to sub-synchronous phenomena and their implications for rotordynamic stability. Variations in damping and stiffness were assessed under constant pressure and temperature to support mathematical modeling of lubricant degradation and viscosity evolution. Experiments were conducted on a cold turbocharger test bench equipped with acceleration, speed, and displacement sensors, while a mobile oil control unit ensured precise regulation of inlet oil pressure and temperature. Full article
(This article belongs to the Proceedings of The Sustainable Mobility and Transportation Symposium 2025)
Show Figures

Figure 1

22 pages, 4424 KB  
Article
Research into the Influence of Volume Fraction on the Bending Properties of Selected Thermoplastic Cellular Structures from a Mechanical and Energy Absorption Perspective
by Katarina Monkova, Peter Pavol Monka, Damir Godec and Monika Torokova
Polymers 2025, 17(20), 2795; https://doi.org/10.3390/polym17202795 - 19 Oct 2025
Cited by 1 | Viewed by 497
Abstract
The aim of the manuscript is to study the effect of volume fraction on the bending properties of selected thermoplastic cellular structures (Primitive, Diamond, and Gyroid) from a mechanical and energy absorption perspective, with a view to their promising prospects and use not [...] Read more.
The aim of the manuscript is to study the effect of volume fraction on the bending properties of selected thermoplastic cellular structures (Primitive, Diamond, and Gyroid) from a mechanical and energy absorption perspective, with a view to their promising prospects and use not only for bumpers, but also for various vehicle and aircraft components, or other applications. Samples belonging to the group of so-called complex structures with Triply Periodic Minimal Surfaces, dimensions of 20 × 20 × 250 mm, and volume fractions of 30, 35, 40, 45, and 55%, were prepared by PTC Creo 10.0 software and produced using the Fused Filament Fabrication technique from Nylon CF12 material, while the basic cell size of 10 × 10 × 10 mm was maintained for all samples and the volume fraction was controlled by the wall thickness of the structure. Experimental bending tests were performed on a Zwick 1456 machine and based on recorded data; in addition to the maximum forces, the stiffness, yield strength, and effective modulus of elasticity in bending were evaluated for individual structures and volume fractions. Furthermore, the amount of energy absorbed until reaching the maximum force and until failure was compared, as well as the ductility indices μd and μU (derived from deformation and absorbed energy, respectively), as an important dissipation factor in absorbers, based on which it is also possible to predict which of the structures will have better damping. Full article
(This article belongs to the Special Issue Polymeric Materials in Energy Conversion and Storage, 2nd Edition)
Show Figures

Figure 1

15 pages, 3834 KB  
Article
Nanomechanical Properties of Rib Bones in Diabetic vs. Healthy Rat Models
by Tamás Tarjányi, Csaba Rosztóczy, Ferenc Peták, Fruzsina Kun-Szabó, Gábor Gulyás, József Tolnai, Krisztián Bali, Petra Somogyi, Rebeka Anna Kiss and Gergely H. Fodor
Nanomaterials 2025, 15(20), 1582; https://doi.org/10.3390/nano15201582 - 17 Oct 2025
Viewed by 639
Abstract
This study examines how diabetes mellitus and physiological aging influence the nanomechanical behavior of rat rib cortical bone using combined static and dynamic nanoindentation. Ribs from young control, old, and streptozotocin-induced diabetic rats were analyzed to quantify both intrinsic and frequency-dependent mechanical properties. [...] Read more.
This study examines how diabetes mellitus and physiological aging influence the nanomechanical behavior of rat rib cortical bone using combined static and dynamic nanoindentation. Ribs from young control, old, and streptozotocin-induced diabetic rats were analyzed to quantify both intrinsic and frequency-dependent mechanical properties. Static nanoindentation revealed markedly higher hardness and elastic modulus in the diabetic group (0.47 ± 0.22 GPa and 9.53 ± 3.03 GPa, respectively) compared to controls (0.11 ± 0.03 GPa and 3.21 ± 0.51 GPa; p < 0.001). The modulus-to-hardness ratio, an indicator of fracture toughness, was reduced from 30.34 in controls to 20.45 in diabetics, suggesting increased stiffness but greater brittleness. Dynamic nanoindentation (0–4.5 Hz) demonstrated significant aging-related changes in the storage and loss moduli (p < 0.001), while the loss factor (tan δ < 1) and viscosity remained similar across groups, indicating predominantly solid-like behavior. These results show that diabetes stiffens bone tissue through matrix-level alterations, whereas aging primarily affects its viscoelastic damping capacity. The combined static–dynamic nanoindentation protocol provides a robust framework for distinguishing disease- and age-related bone degradation at the tissue scale. Translationally, the findings help explain why bones in diabetic or elderly individuals may fracture despite normal mineral density, underscoring the need to assess bone quality beyond conventional densitometry. Full article
(This article belongs to the Special Issue Advances in Nanoindentation and Nanomechanics)
Show Figures

Graphical abstract

22 pages, 11599 KB  
Article
Development and Modeling of a Novel Magnetorheological Elastomer Isolator in Hybrid Mode with a Compression–Shear Hybrid Fractional-Derivative Parametric Model
by Yun Tian, Zhongwei Hu, Yingqing Guo, Lihua Zhu, Jun Dai, Yuxuan Tao and Xin Wang
Sensors 2025, 25(20), 6376; https://doi.org/10.3390/s25206376 - 15 Oct 2025
Viewed by 987
Abstract
Magnetorheological elastomers (MREs) are composed of soft silicone rubber, carbonyl iron particles (CIPs), and various additives. This study designs and fabricates a novel hybrid-mode MRE isolator that can operate in both compression and shear modes simultaneously. Experimental and modeling investigations are conducted to [...] Read more.
Magnetorheological elastomers (MREs) are composed of soft silicone rubber, carbonyl iron particles (CIPs), and various additives. This study designs and fabricates a novel hybrid-mode MRE isolator that can operate in both compression and shear modes simultaneously. Experimental and modeling investigations are conducted to examine the dynamic mechanical properties of the hybrid-mode MRE isolator under varying excitation frequencies, displacement amplitudes, and magnetic field strengths. The equivalent stiffness, energy dissipation, and equivalent damping of the MRE isolator are determined. Experimental results reveal that the hybrid-mode MRE isolator exhibits a pronounced MR effect by utilizing a hybrid magnetic field generation system, with all three parameters significantly increasing as the magnetic field strength increases. However, as the excitation frequency increases, the equivalent stiffness and energy dissipation increase, while the equivalent damping decreases. Based on the experimental findings, a compression–shear hybrid fractional-derivative parametric (CSHF) model is proposed to describe the impact of different operating conditions on the dynamic viscoelastic properties of the MRE isolator. A comparative analysis of the experimental results and model predictions indicates that the proposed mechanical model can accurately describe the dynamic mechanical characteristics of the hybrid-mode MRE isolator. Full article
(This article belongs to the Special Issue Structural Health Monitoring and Smart Disaster Prevention)
Show Figures

Figure 1

28 pages, 3326 KB  
Article
Non-Dimensional Parameters to Design Damper Systems in RC Existing Framed Buildings
by Eliana Parcesepe, Alessandra De Angelis and Maria Rosaria Pecce
Appl. Sci. 2025, 15(20), 11029; https://doi.org/10.3390/app152011029 - 14 Oct 2025
Viewed by 448
Abstract
The use of dissipative bracing systems by hysteretic dampers represents one of the most efficient innovative techniques for the seismic retrofitting of existing structures, especially for reinforced concrete (RC) frame buildings. Many studies on design approaches and case studies have been developed in [...] Read more.
The use of dissipative bracing systems by hysteretic dampers represents one of the most efficient innovative techniques for the seismic retrofitting of existing structures, especially for reinforced concrete (RC) frame buildings. Many studies on design approaches and case studies have been developed in recent decades and are still in progress; however, the importance of the relation between the properties of the existing structure and of the damper system has not been analyzed, and the influence of the type of arrangement inside or outside the structure, has not been pointed out. In this paper, an innovative dimensionless approach is proposed to describe the dynamic structural properties of the retrofitted structure introducing ratios between the properties of the existing structure and damper system. Therefore, indications to optimize the design of the passive energy dissipation (PED) system can be clearly established for each case. Furthermore, a generalization of the design approach considering different solutions with internal and external bracings is proposed. The application of the dimensionless parameters to the design of a dissipation system for a single-bay three-story RC frame building and points out that damping can be reduced by two times if the capacity of the existing structure is used, further reducing the base shear transmitted to foundation. This result is also obtained by mounting the PED system on an external structure. The effect of infill walls on the stiffness of the existing structure requires an increment of the stiffness of the PED system with double the stiffness of the devices further than the buckling-restrained braces (BRBs). Full article
(This article belongs to the Special Issue Advances in Earthquake Engineering and Seismic Resilience)
Show Figures

Figure 1

27 pages, 11163 KB  
Article
Analysis of Vehicle Vibration Considering Fractional Damping in Suspensions and Tires
by Xianglong Su, Shuangning Xie and Jipeng Li
Fractal Fract. 2025, 9(10), 620; https://doi.org/10.3390/fractalfract9100620 - 24 Sep 2025
Viewed by 887
Abstract
Vehicle dynamics play a crucial role in assessing vehicle performance, comfort, and safety. To precisely depict the dynamic behaviors of a vehicle, fractional damping is employed to substitute the conventional damping in suspensions and tires. Taking the fractional damping into account, a four-degrees-of-freedom [...] Read more.
Vehicle dynamics play a crucial role in assessing vehicle performance, comfort, and safety. To precisely depict the dynamic behaviors of a vehicle, fractional damping is employed to substitute the conventional damping in suspensions and tires. Taking the fractional damping into account, a four-degrees-of-freedom vehicle model is developed, which encompasses the vertical vibration and pitch motion of the vehicle body, as well as the vertical motions of the front and rear axles. The vibration equations are solved in the Laplace domain using the transfer function method. The validity of the transfer function method is verified through comparison with a benchmark case. The vibrations of the vehicle are analyzed under the effects of suspension and tire properties, pavement excitation, and vehicle speed. The assessment methods employed include the time-domain vibration response, amplitude–frequency curves, phase diagrams, the frequency response function matrix, and weighted root mean square acceleration. The results show that the larger fractional order results in higher energy dissipation. Elevated values of the fractional order α, suspension stiffness, and the damping coefficient contribute to greater stable vibration amplitudes in vehicles and a consequent degradation in ride comfort. Higher tire stiffness reduces vehicle vibration amplitude, while the fractional order β and tire damping have a negligible effect. Moreover, increased vehicle speed and a greater pavement input amplitude adversely affect ride comfort. Full article
Show Figures

Figure 1

21 pages, 20900 KB  
Article
Balancing Accuracy and Efficiency in Wire-Rope Isolator Modeling: A Simplified Beam-Element Framework
by Claudia Marin-Artieda
Vibration 2025, 8(3), 55; https://doi.org/10.3390/vibration8030055 - 22 Sep 2025
Viewed by 767
Abstract
Wire-rope isolators (WRIs) are widely used in vibration and seismic protection due to their multidirectional flexibility and amplitude-dependent hysteretic damping. However, their complex nonlinear behavior, especially under inclined and combined-mode loading, poses challenges for predictive modeling. This study presents a simplified finite-element modeling [...] Read more.
Wire-rope isolators (WRIs) are widely used in vibration and seismic protection due to their multidirectional flexibility and amplitude-dependent hysteretic damping. However, their complex nonlinear behavior, especially under inclined and combined-mode loading, poses challenges for predictive modeling. This study presents a simplified finite-element modeling framework using constant-property Timoshenko beam elements with tuned Rayleigh damping to simulate WRI behavior across various configurations. Benchmark validation against analytical ring deformation confirmed the model’s ability to capture geometric nonlinearities. The framework was extended to five WRI types, with effective cross-sectional properties calibrated against vendor-supplied quasi-static data. Dynamic simulations under sinusoidal excitation demonstrated strong agreement with experimental force-displacement loops in pure modes and showed moderate accuracy (within 29%) in inclined configurations. System-level validation using a rocking-control platform with four inclined WRIs showed that the model reliably predicts global stiffness and energy dissipation under base accelerations. While the model does not capture localized nonlinearities such as pinched hysteresis due to interstrand friction, it offers a computationally efficient tool for engineering design. The proposed method enables rapid evaluation of WRI performance in complex scenarios, supporting broader integration into performance-based seismic mitigation strategies. Full article
(This article belongs to the Special Issue Nonlinear Vibration of Mechanical Systems)
Show Figures

Figure 1

21 pages, 8543 KB  
Article
Damping and Microstructure of Graphene/Carbon Nanotube-Modified Cement Composites
by Bin Liu, Jiyang Wang, Zheng Wei, Yu Peng and Jingwei Wu
Buildings 2025, 15(18), 3317; https://doi.org/10.3390/buildings15183317 - 13 Sep 2025
Viewed by 700
Abstract
The development of lightweight, high-damping building materials is critical for enhancing the seismic resilience of civil infrastructure. This study introduces a novel approach to synergistically improve the damping and mechanical properties of cementitious composites by incorporating one-dimensional carbon nanotubes (CNTs) or two-dimensional graphene [...] Read more.
The development of lightweight, high-damping building materials is critical for enhancing the seismic resilience of civil infrastructure. This study introduces a novel approach to synergistically improve the damping and mechanical properties of cementitious composites by incorporating one-dimensional carbon nanotubes (CNTs) or two-dimensional graphene nanoplatelets (GNPs). The novelty lies in (1) a direct comparison of 1D versus 2D carbon nanomaterials efficacy within a vibration-relevant frequency range (0.5–2 Hz); (2) the use of the Ca(OH)2 orientation index, derived from X-ray diffraction (XRD), to link microstructural texturing with macroscopic dynamic performance; and (3) establishing clear mechanistic link between carbon nanomaterials dispersion, pore structure evolution, and the resultant balance between stiffness and damping. Dynamic mechanical analysis identified an optimal dosage of 0.1% by weight for both nanomaterials. Comprehensive microstructural characterization (SEM, MIP, XRD, TGA/DTG) revealed that the carbon nanomaterials act as nucleation sites, promoting cement hydration and refining the pore structure. This structural enhancement concurrently improved mechanical strength and energy dissipation capacity. The primary damping mechanism was identified as interfacial friction and slippage at the nanofiller–matrix interface. These findings provide fundamental insights for the rational design of high-performance cementitious composites and offer an evidence-based pathway for creating advanced seismic-resistant materials. Full article
(This article belongs to the Section Building Materials, and Repair & Renovation)
Show Figures

Figure 1

25 pages, 9252 KB  
Article
Mechanical Performance and Parameter Sensitivity Analysis of Small-Diameter Lead-Rubber Bearings
by Guorong Cao, Zhaoqun Chang, Guizhi Deng, Wenbo Ma and Boquan Liu
Buildings 2025, 15(18), 3284; https://doi.org/10.3390/buildings15183284 - 11 Sep 2025
Viewed by 665
Abstract
Small-diameter lead-rubber bearings (LRBs) are widely employed in shaking table tests of isolated structures, particularly reinforced concrete base-isolated structures. Accurately determining their mechanical properties and identifying their restoring force model parameters are essential for seismic response analysis and numerical simulation of scaled models. [...] Read more.
Small-diameter lead-rubber bearings (LRBs) are widely employed in shaking table tests of isolated structures, particularly reinforced concrete base-isolated structures. Accurately determining their mechanical properties and identifying their restoring force model parameters are essential for seismic response analysis and numerical simulation of scaled models. In this study, quasi-static tests and shaking table tests were conducted to obtain the compression–shear hysteresis curves of LRBs under various loading amplitudes and frequencies, as well as the hysteresis curves under seismic wave excitation. The variation patterns of mechanical performance indicators were systematically analyzed. A parameter identification method was developed to determine the restoring force model of small-diameter LRBs using a genetic algorithm, and the effects of pre-yield stiffness and yield force of the isolation layer on structural response were investigated based on an equivalent two-degree-of-freedom model. By incorporating appropriately identified restoring force model parameters, a damping modeling method for the reinforced concrete high-rise over-track structures with an inter-story isolation system was proposed. The results indicate that, when the maximum bearing deformation reached 150% shear strain, the post-yield stiffness and horizontal equivalent stiffness under seismic excitation increased by 11.97% and 19.40%, respectively, compared with the compression–shear test results, while the equivalent damping ratio increased by 18.18%. Directly adopting mechanical parameters obtained from quasi-static tests would lead to an overestimation of the isolation layer displacement response. The discrepancies in the mechanical indicators of the small-diameter LRB between the theoretical hysteresis curve, obtained using the identified Bouc–Wen model parameters, and the compression–shear test results are less than 10%. In OpenSees, the seismic response of the scaled model can be accurately simulated by combining a segmented damping model with an isolation-layer hysteresis model in which the pre-yield stiffness is amplified by a factor of 1.15. Full article
(This article belongs to the Special Issue Low Carbon and Green Materials in Construction—3rd Edition)
Show Figures

Figure 1

Back to TopTop