Model Updating of an Offshore Wind Turbine Support Structure Based on Modal Identification and Bayesian Inference
Abstract
1. Introduction
2. Methodology
2.1. Modal Identification Method
2.2. Model Updating Based on Bayesian Inference Frame
3. Measurement Campaign
3.1. Description
3.2. Modal Identification Results
4. Model Updating
4.1. Finite Element Model and Parameters to Be Updated
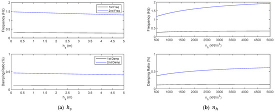
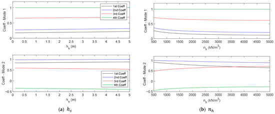
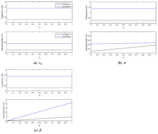
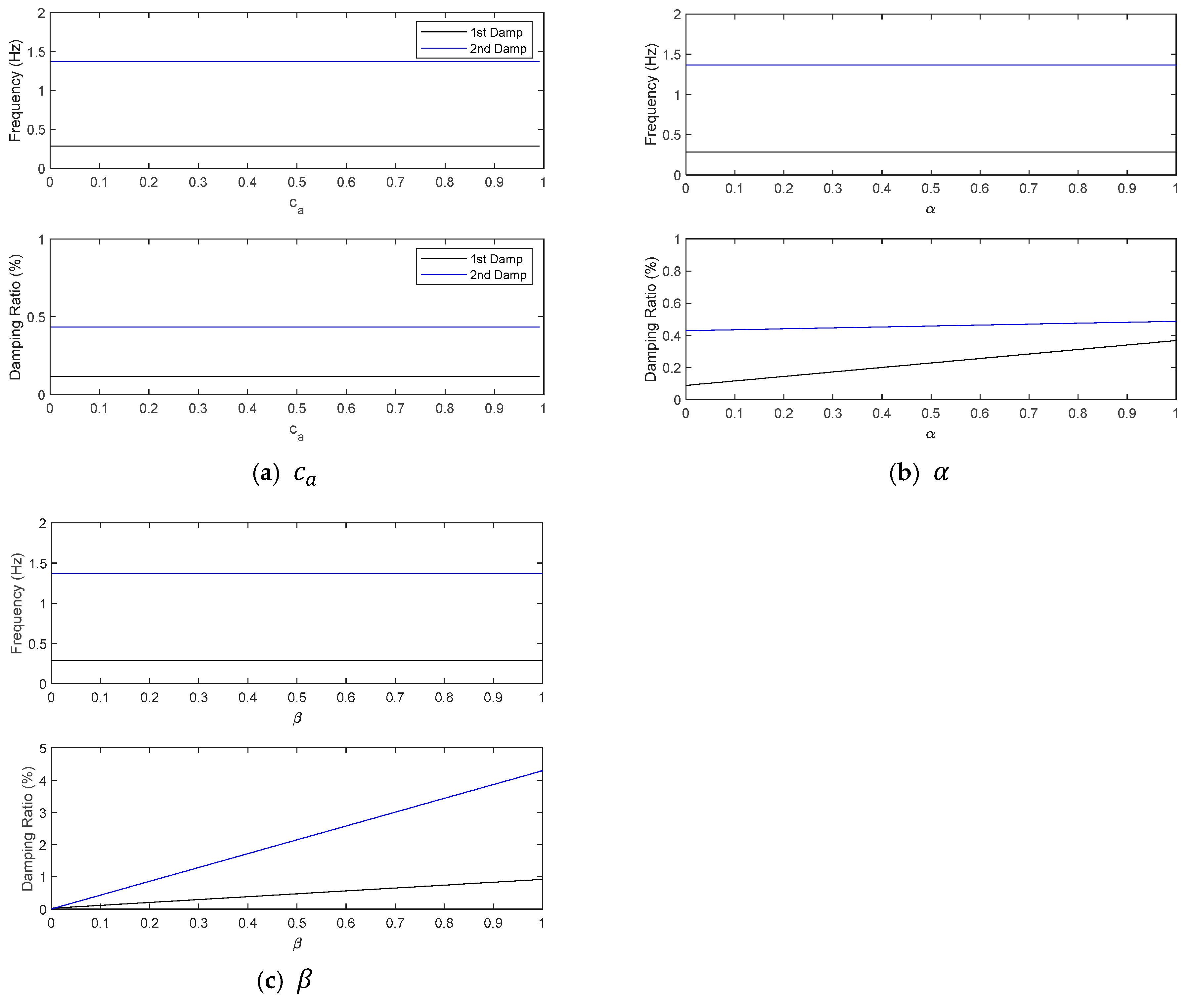
4.2. Sensitivity Analysis of Parameters
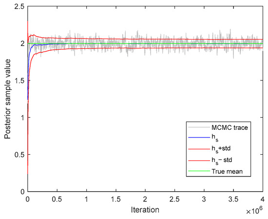
4.3. Parameter Updating Results
5. Conclusions
- (1)
- The modal identification results show that the uncertainties in identified natural frequencies are relatively low, especially for the first natural frequency. However, the identified damping ratios and mode shape coefficients are more scattered, indicating the limitation of the identification technique in dealing with vibration signals collected in a complex ocean environment.
- (2)
- The finite element model with the updated parameters has close modal properties compared to those identified, especially for natural frequencies and damping ratios. The errors between the predicted and measured natural frequencies and damping ratios are less than 2%. This confirms that the model updating process is generally successful. However, the updating results for some of the mode shape coefficients are very poor, with relative errors up to 300%, indicating that the selection of parameters to be updated is not robust enough for mode shape coefficient updating.
- (3)
- Apart from other parameters, the added mass coefficient cannot be effectively updated, which implies that the change in water added mass seldomly impacts the modal properties.
- (4)
- The model updating result is not unique, which is confirmed by the fact that the combination of the scour depth and foundation stiffness coefficient cannot be uniquely determined given only the identified modal properties. It is suggested that scour monitoring could assist in obtaining a better model updating result.
- (5)
- With the five selected parameters to be updated, good approximation can be obtained for natural frequencies and damping ratios, but the predicted first mode shape coefficients for the first and second modes are still away from those identified. This implies that the updating results could be improved if a more robust set of parameters is chosen.
Author Contributions
Funding
Data Availability Statement
Conflicts of Interest
Nomenclature
| damping matrices | |
| hydrodynamic added mass coefficient | |
| diameter vector of the monopile | |
| external force vector | |
| input power spectral density matrix | |
| output power spectral density matrix | |
| frequency response function matrix | |
| scour depth | |
| stiffness matrix | |
| lateral soil stiffness | |
| rotational soil stiffness | |
| cross-coupling soil stiffness | |
| length of the monopile embedded in soil | |
| mass matric | |
| average subgrade reaction constant | |
| number of parameters | |
| evidence or marginal likelihood | |
| prior probability density function | |
| conditional probability of given data | |
| conditional probability given | |
| displacement vector | |
| Greek Symbols | |
| Rayleigh mass coefficient | |
| Rayleigh stiffness coefficient | |
| variance of error | |
| damping ratio | |
| pole of the mode | |
| parameter vector to be identified | |
| density of sea water | |
| observed data vector | |
| the mode shape of the mode | |
| damped natural frequency of the mode | |
References
- Ciang, C.C.; Lee, J.-R.; Bang, H.-J. Structural health monitoring for a wind turbine system: A review of damage detection methods. Meas. Sci. Technol. 2008, 19, 122001. [Google Scholar] [CrossRef]
- Lian, J.; Cai, O.; Dong, X.; Jiang, Q.; Zhao, Y. Health monitoring and safety evaluation of the offshore wind turbine structure: A review and discussion of future development. Sustainability 2019, 11, 494. [Google Scholar] [CrossRef]
- Martinez-Luengo, M.; Kolios, A.; Wang, L. Structural health monitoring of offshore wind turbines: A review through the Statistical Pattern Recognition Paradigm. Renew. Sustain. Energy Rev. 2016, 64, 91–105. [Google Scholar] [CrossRef]
- Branlard, E.; Jonkman, J.; Brown, C.; Zhang, J. A digital twin solution for floating offshore wind turbines validated using a full-scale prototype. Wind Energy Sci. 2024, 9, 1–24. [Google Scholar] [CrossRef]
- Dai, K.; Wang, Y.; Huang, Y.; Zhu, W.; Xu, Y. Development of a modified stochastic subspace identification method for rapid structural assessment of in-service utility-scale wind turbine towers. Wind Energy 2017, 20, 1687–1710. [Google Scholar] [CrossRef]
- Dong, X.; Lian, J.; Wang, H.; Yu, T.; Zhao, Y. Structural vibration monitoring and operational modal analysis of off-shore wind turbine structure. Ocean Eng. 2018, 150, 280–297. [Google Scholar] [CrossRef]
- Koukoura, C.; Natarajan, A.; Vesth, A. Identification of support structure damping of a full scale offshore wind turbine in normal operation. Renew. Energy 2015, 81, 882–895. [Google Scholar] [CrossRef]
- Hu, W.-H.; Thöns, S.; Rohrmann, R.G.; Said, S.; Rücker, W. Vibration-based structural health monitoring of a wind turbine system Part II: Environmental/operational effects on dynamic properties. Eng. Struct. 2015, 89, 273–290. [Google Scholar] [CrossRef]
- Song, M.; Mehr, N.P.; Moaveni, B.; Hines, E.; Ebrahimian, H.; Bajric, A. One year monitoring of an offshore wind turbine: Variability of modal parameters to ambient and operational conditions. Eng. Struct. 2023, 297, 117022. [Google Scholar] [CrossRef]
- Chen, C.; Duffour, P.; Dai, K.; Wang, Y.; Fromme, P. Identification of aerodynamic damping matrix for operating wind turbines. Mech. Syst. Signal Process. 2021, 154, 107568. [Google Scholar] [CrossRef]
- Cong, S.; Hu, S.-L.J.; Li, H.-J. Using incomplete complex modes for model updating of monopiled offshore wind turbines. Renew. Energy 2022, 181, 522–534. [Google Scholar] [CrossRef]
- Schröder, K.; Gebhardt, C.G.; Rolfes, R. A two-step approach to damage localization at supporting structures of offshore wind turbines. Struct. Health Monit. 2018, 17, 1313–1330. [Google Scholar] [CrossRef]
- McAdam, R.A.; Chatzis, M.N.; Kuleli, M.; Anderson, E.F.; Byrne, B.W. Monopile foundation stiffness estimation of an instrumented offshore wind turbine through model updating. Struct. Contr. Health Monit. 2023, 2023, 4474809. [Google Scholar] [CrossRef]
- Tamizifar, M.; Mosayebi, M.; Ziaei-Rad, S. Optimal sensor placement and model updating applied to the operational modal analysis of a nonuniform wind turbine tower. Mech. Sci. 2022, 13, 331–340. [Google Scholar] [CrossRef]
- Amador, S.D.R.; Rasmussen, S.; Brincker, R.; Rex, S.; Skog, M.; Gjødvad, J.F. Vibration-based FE-model updating for strain history estimation of a 3MW offshore wind turbine tower. J. Phys. Conf. Ser. 2024, 2647, 182035. [Google Scholar] [CrossRef]
- Xu, Y.; Nikitas, G.; Zhang, T.; Han, Q.; Chryssanthopoulos, M.; Bhattacharya, S.; Wang, Y. Support condition monitoring of offshore wind turbines using model updating techniques. Struct. Health Monit. 2020, 19, 1017–1031. [Google Scholar] [CrossRef]
- Ren, X.; Xu, Y.; Shen, T.; Wang, Y.; Bhattacharya, S. Support condition monitoring of monopile-supported offshore wind turbines in layered soil based on model updating. Mar. Struct. 2023, 87, 103342. [Google Scholar] [CrossRef]
- Augustyn, D.; Smolka, U.; Tygesen, U.T.; Ulriksen, M.D.; Sørensen, J.D. Data-driven model updating of an offshore wind jacket substructure. Appl. Ocean Res. 2020, 104, 102366. [Google Scholar] [CrossRef]
- Liang, J.; Kato, B.; Fu, Y.; Wang, Y. Support condition identification for monopile-supported offshore wind turbines based on time domain model updating. Mar. Struct. 2025, 99, 103709. [Google Scholar] [CrossRef]
- Nabiyan, M.-S.; Khoshnoudian, F.; Moaveni, B.; Ebrahimian, H. Mechanics-based model updating for identification and virtual sensing of an offshore wind turbine using sparse measurements. Struct. Contr. Health Monit. 2021, 28, e2647. [Google Scholar] [CrossRef]
- Moynihan, B.; Mehrjoo, A.; Moaveni, B.; McAdam, R.; Rüdinger, F.; Hines, E. System identification and finite element model updating of a 6 MW offshore wind turbine using vibrational response measurements. Renew. Energy 2023, 219, 11943. [Google Scholar] [CrossRef]
- Song, M.; Moaveni, B.; Ebrahimian, H.; Hines, E.; Bajric, A. Joint parameter-input estimation for digital twinning of the Block Island wind turbine using output-only measurements. Mech. Syst. Signal Process. 2023, 198, 110425. [Google Scholar] [CrossRef]
- Xu, P.; Chen, J.; Li, J.; Fan, S.; Xu, Q. Using Bayesian updating for monopile offshore wind turbines monitoring. Ocean Eng. 2023, 280, 114801. [Google Scholar] [CrossRef]
- Valikhani, M.; Nabiyan, M.; Song, M.; Jahangiri, V.; Ebrahimian, H.; Moaveni, B. Bayesian finite element model inversion of offshore wind turbine structures for joint parameter-load estimation. Ocean Eng. 2024, 313, 119458. [Google Scholar] [CrossRef]
- Gebel, J.; Rezaei, A.; Vemuri, A.; Liverud, K.V.; Daems, P.-J.; Matthys, J.J.; Sterckx, J.; Vratsinis, K.; Kestel, K.; Nejad, A.R.; et al. System identification of offshore wind turbines for model updating and validation using field measurements. Wind Energy Sci. Discuss. 2025, preprint. [Google Scholar] [CrossRef]
- Brincker, R.; Zhang, L.; Andersen, P. Modal identification of output-only systems using frequency domain decomposition. Smart Mater. Struct. 2001, 10, 441–445. [Google Scholar] [CrossRef]
- Zhang, E.L.; Feissel, P.; Antoni, J. A comprehensive Bayesian approach for model updating and quantification of modeling errors. Probab. Eng. Mech. 2011, 26, 550–560. [Google Scholar] [CrossRef]
- Chen, C.; Duffour, P. Modelling damping sources in monopile-supported offshore wind turbines. Wind Energy 2018, 21, 1121–1140. [Google Scholar] [CrossRef]
- Cao, Y.; Wu, N.; Yang, J.; Chen, C.; Zhu, R.; Hua, X. Effect of scour on the fatigue life of offshore wind turbines and its prevention through passive structural control. Wind Energy Sci. 2024, 9, 1089–1104. [Google Scholar] [CrossRef]
- Rezaei, R.; Duffour, P.; Fromme, P. Scour influence on the fatigue life of operational monopile-supported offshore wind turbines. Wind Energy 2018, 21, 683–696. [Google Scholar] [CrossRef]
- Darvishi-Alamouti, S.; Bahaari, M.-R.; Moradi, M. Natural frequency of offshore wind turbines on rigid and flexible monopiles in cohesionless soils with linear stiffness distribution. Appl. Ocean Res. 2017, 68, 91–102. [Google Scholar] [CrossRef]
- Wang, S.; Larsen, T.J.; Bredmose, H. Ultimate load analysis of a 10 MW offshore monopile wind turbine incorporating fully nonlinear irregular wave kinematics. Mar. Struct. 2021, 76, 102922. [Google Scholar] [CrossRef]















| Number of Blades | 3 |
| Rotor diameter | 152 m |
| Hub height from MSL | 96.78 m |
| Water depth | 19.16 m |
| Tower diameter | 4.5–7.0 m |
| Tower thickness | 40–80 mm |
| Pile diameter | 7.0–8.0 m |
| Pile thickness | 75–80 mm |
| Rotor–nacelle assembly mass | 390,012 kg |
| Rated wind speed | 10.1 m/s |
| Parameter | Distribution Type | Unit | Mean Value | Standard Deviation | Range |
|---|---|---|---|---|---|
| Normal | m | 1 | 0.3 | 0~5 | |
| Normal | KN/m3 | 1000 | 300 | 500~2000 | |
| Normal | - | 0.5 | 0.1 | 0~1 | |
| Normal | - | 0.2 | 0.05 | 0~1 | |
| Normal | - | 0.2 | 0.05 | 0~1 |
| Parameter | P1 | P2 | P3 | P4 | ||||
|---|---|---|---|---|---|---|---|---|
| Mean | Std | Mean | Std | Mean | Std | Mean | Std | |
| 1.99 | 0.06 | 3.47 | 0.08 | 2.65 | 0.07 | 2.00 | - | |
| 909 | 6.9 × 10−4 | 1088 | 5.9 × 10−4 | 984 | 5.4 × 10−4 | 889 | 2.2 × 10−5 | |
| 0.49 | 0.11 | 0.51 | 0.10 | 0.49 | 0.10 | 0.16 | 0.015 | |
| 0.07 | 3.1 × 10−3 | 0.07 | 3.1 × 10−3 | 0.07 | 3.1 × 10−3 | 0.07 | 0.01 | |
| 6.7 × 10−3 | 2.8 × 10−4 | 6.7 × 10−3 | 2.4 × 10−4 | 6.7 × 10−3 | 2.6 × 10−4 | 6.9 × 10−3 | 4.3 × 10−3 | |
| (Hz) | (Hz) | Mode Shape 1 | Mode Shape 2 | (%) | (%) | |||||||
|---|---|---|---|---|---|---|---|---|---|---|---|---|
| Obs | 0.285 | 1.392 | 0.05 | 0.22 | 0.60 | 0.96 | 0.34 | 0.93 | 0.62 | −0.21 | 2.46 | 3.28 |
| Initial | 0.297 | 1.440 | 0.19 | 0.28 | 0.66 | 1.00 | 0.84 | 0.98 | 0.58 | −0.35 | 24.0 | 91.9 |
| P1 | 0.287 | 1.371 | 0.20 | 0.30 | 0.68 | 1.00 | 0.86 | 0.99 | 0.56 | −0.37 | 2.48 | 3.28 |
| P2 | 0.287 | 1.378 | 0.20 | 0.30 | 0.68 | 1.00 | 0.86 | 0.99 | 0.56 | −0.37 | 2.48 | 3.28 |
| P3 | 0.287 | 1.375 | 0.20 | 0.30 | 0.68 | 1.00 | 0.86 | 0.99 | 0.56 | −0.37 | 2.47 | 3.28 |
| P4 | 0.286 | 1.364 | 0.20 | 0.30 | 0.68 | 1.00 | 0.86 | 0.99 | 0.56 | −0.37 | 2.47 | 3.34 |
Disclaimer/Publisher’s Note: The statements, opinions and data contained in all publications are solely those of the individual author(s) and contributor(s) and not of MDPI and/or the editor(s). MDPI and/or the editor(s) disclaim responsibility for any injury to people or property resulting from any ideas, methods, instructions or products referred to in the content. |
© 2025 by the authors. Licensee MDPI, Basel, Switzerland. This article is an open access article distributed under the terms and conditions of the Creative Commons Attribution (CC BY) license (https://creativecommons.org/licenses/by/4.0/).
Share and Cite
Yu, C.; Deng, J.; Chen, C.; Rao, M.; Luo, C.; Hua, X. Model Updating of an Offshore Wind Turbine Support Structure Based on Modal Identification and Bayesian Inference. J. Mar. Sci. Eng. 2025, 13, 2354. https://doi.org/10.3390/jmse13122354
Yu C, Deng J, Chen C, Rao M, Luo C, Hua X. Model Updating of an Offshore Wind Turbine Support Structure Based on Modal Identification and Bayesian Inference. Journal of Marine Science and Engineering. 2025; 13(12):2354. https://doi.org/10.3390/jmse13122354
Chicago/Turabian StyleYu, Chi, Jiayi Deng, Chao Chen, Mumin Rao, Congtao Luo, and Xugang Hua. 2025. "Model Updating of an Offshore Wind Turbine Support Structure Based on Modal Identification and Bayesian Inference" Journal of Marine Science and Engineering 13, no. 12: 2354. https://doi.org/10.3390/jmse13122354
APA StyleYu, C., Deng, J., Chen, C., Rao, M., Luo, C., & Hua, X. (2025). Model Updating of an Offshore Wind Turbine Support Structure Based on Modal Identification and Bayesian Inference. Journal of Marine Science and Engineering, 13(12), 2354. https://doi.org/10.3390/jmse13122354

